Cross-Sectional Survey of the Training Practices of Racing Greyhounds in New Zealand
Simple Summary
Abstract
1. Introduction
2. Materials and Methods
3. Results
3.1. Respondent Demographics
3.2. Training Facilities
3.3. Training Practices
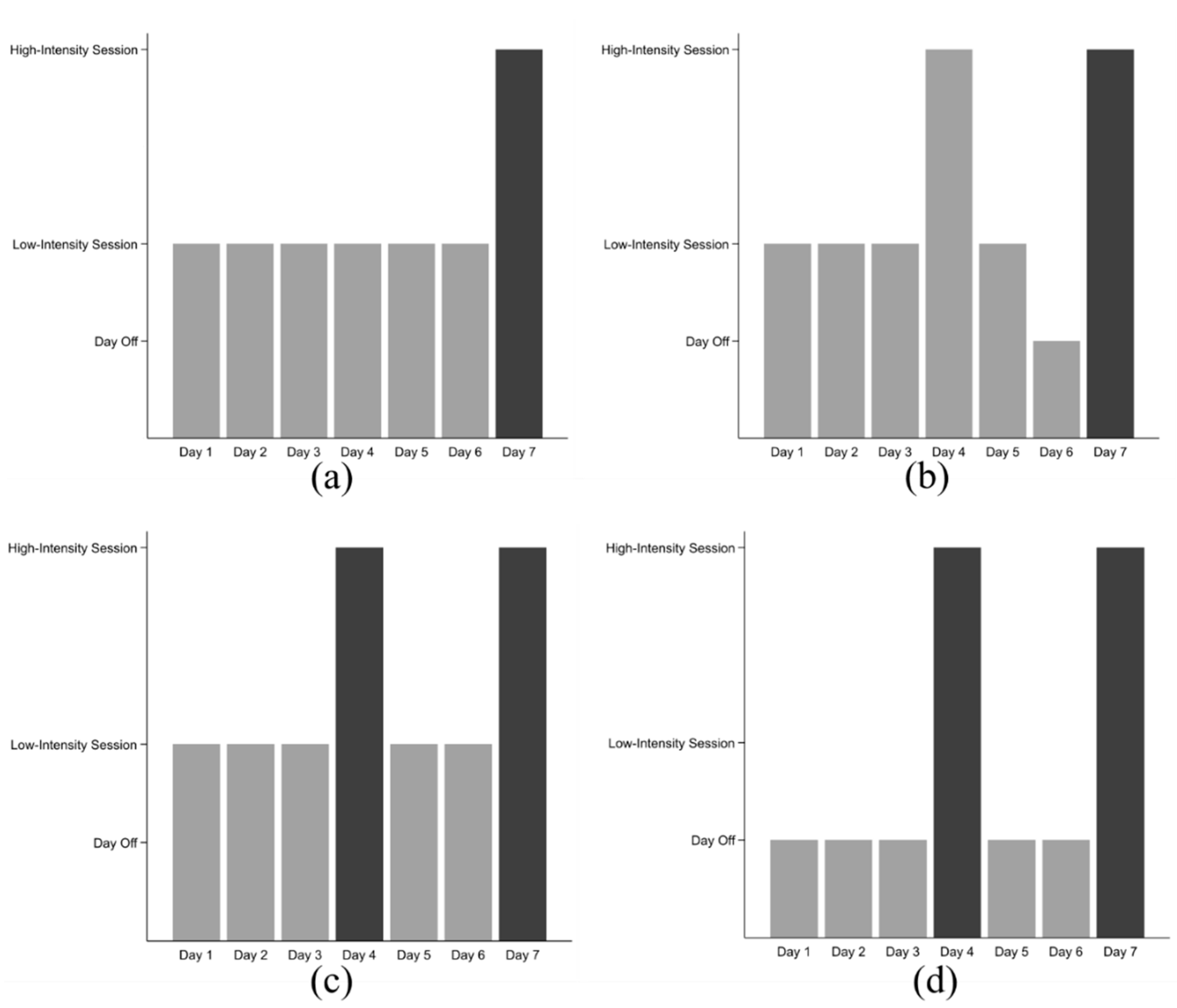
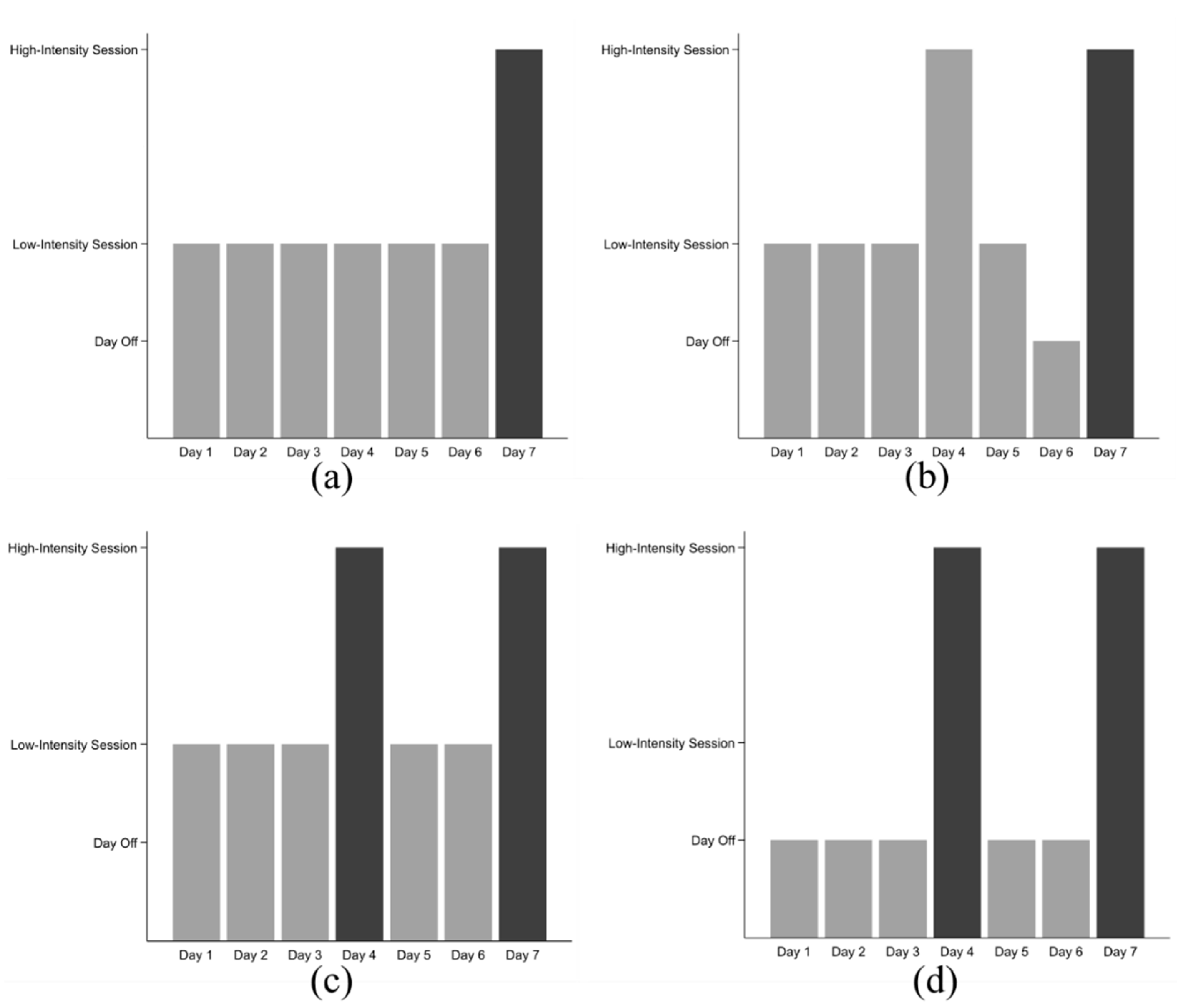
3.3.1. Preparing Young Dogs for Racing
3.3.2. Training Race-Fit Greyhounds
4. Discussion
5. Conclusions
Supplementary Materials
Author Contributions
Funding
Acknowledgments
Conflicts of Interest
References
- Kesl, L.D. The Effects of Sprint Training Regimens and Sodium Bicarbonate Loading on Muscle Glycolysis, Lactate Accumulation, Acid-Base Balance, and Performance in the Racing Greyhound. Ph.D. Thesis, Iowa State University, Ames, IA, USA, 1993; p. 10666. [Google Scholar]
- Williams, S.; Wilson, A.; Rhodes, L.; Andrews, J.; Payne, R. Functional anatomy and muscle moment arms of the pelvic limb of an elite sprinting athlete: The racing greyhound (Canis familiaris). J. Anat. 2008, 213, 361–372. [Google Scholar] [CrossRef] [PubMed]
- Howell, T.J.; Bennett, P.C. Preventing predatory behaviour in greyhounds retired from the racing industry: Expert opinions collected using a survey and interviews. Appl. Anim. Behav. Sci. 2020, 226, 104988. [Google Scholar] [CrossRef]
- Hudson, P.E.; Corr, S.A.; Wilson, A.M. High speed galloping in the cheetah (Acinonyx jubatus) and the racing greyhound (Canis familiaris): Spatio-temporal and kinetic characteristics. J. Exp. Biol. 2012, 215, 2425–2434. [Google Scholar] [CrossRef] [PubMed]
- Pellegrino, F.J.; Risso, A.; Vaquero, P.G.; Corrada, Y.A. Physiological parameter values in greyhounds before and after high-intensity exercise. Open Vet. J. 2018, 8, 64–67. [Google Scholar] [CrossRef] [PubMed]
- Palmer, A.L.; Bolwell, C.F.; Stafford, K.J.; Gal, A.; Rogers, C.W. Patterns of Racing and Career Duration of Racing Greyhounds in New Zealand. Animals 2020, 10, 796. [Google Scholar] [CrossRef] [PubMed]
- Thompson, D.; Cave, N.; Bridges, J.; Reuvers, K.; Owen, M.; Firth, E. Bone volume and regional density of the central tarsal bone detected using computed tomography in a cross-sectional study of adult racing greyhounds. N. Z. Vet. J. 2012, 60, 278–284. [Google Scholar] [CrossRef] [PubMed]
- Verheyen, K.L.; Price, J.S.; Wood, J.L. Exercise during training is associated with racing performance in Thoroughbreds. Vet. J. 2009, 181, 43–47. [Google Scholar] [CrossRef] [PubMed]
- Ely, E.; Price, J.; Smith, R.; Wood, J.; Verheyen, K. The effect of exercise regimens on racing performance in National Hunt racehorses. Equine Vet. J. 2010, 42, 624–629. [Google Scholar] [CrossRef]
- Bolwell, C.; Rogers, C.; French, N.; Firth, E. The effect of interruptions during training on the time to the first trial and race start in Thoroughbred racehorses. Prev. Vet. Med. 2013, 108, 188–198. [Google Scholar] [CrossRef]
- Estberg, L.; Gardner, I.A.; Stover, S.M.; Johnson, B.J.; Case, J.T.; Ardans, A. Cumulative racing-speed exercise distance cluster as a risk factor for fatal musculoskeletal injury in Thoroughbred racehorses in California. Prev. Vet. Med. 1995, 24, 253–263. [Google Scholar] [CrossRef]
- Bayly, W.M. Training programs. Vet. Clin. N. Am. Equine Pract. 1985, 1, 597–610. [Google Scholar] [CrossRef]
- Rogers, C.; Rivero, J.; Van Breda, E.; Lindner, A.; Van Oldruitenborgh-Oosterbaan, M.S. Describing workload and scientific information on conditioning horses. Equine Comp. Exerc. Physiol. 2007, 4, 1–6. [Google Scholar] [CrossRef]
- Webb, H.J.; Weston, J.F.; Norman, E.J.; Cogger, N.; Bolwell, C.F.; Rogers, C.W. A descriptive study of training methods for Fédération Equestre Internationale (FEI) endurance horses in New Zealand. J. Equine Vet. Sci. 2020, 92, 103155. [Google Scholar] [CrossRef]
- Anon. New Zealand Greyhound Racing Association Incorporated Health & Welfare Standards; Greyhound Racing New Zealand: Wellington, New Zealand, 2018; pp. 1–16. [Google Scholar]
- Hill, R.C.; Fox, L.E.; Lewis, D.D.; Beale, K.M.; Nachreiner, R.F.; Scott, K.C.; Sundstrom, D.A.; Jones, G.L.; Butterwick, R.F. Effects of racing and training on serum thyroid hormone concentrations in racing Greyhounds. Am. J. Vet. Res. 2001, 62, 1969–1972. [Google Scholar] [CrossRef]
- Bolwell, C.; Russell, L.; Rogers, C. A cross-sectional survey of training practices of 2-year-old racehorses in the North Island of New Zealand. Comp. Exerc. Physiol. 2010, 7, 37–42. [Google Scholar] [CrossRef]
- Legg, K.; Gee, E.; Bolwell, C.; Bridges, J.; Rogers, C.W. A Cross-Sectional Survey of the Training and Management of a Cohort of 2-Year-Old Standardbred Racehorses in New Zealand. J. Equine Vet. Sci. 2020, 87, 102936. [Google Scholar] [CrossRef]
- Bolwell, C.F.; Rogers, C.W.; Rosanowski, S.M.; Weston, J.F.; Gee, E.K.; Gordon, S.J. Cross-sectional survey of the management and training practices of endurance horses in New Zealand: A pilot study. J. Equine Vet. Sci. 2015, 35, 801–806. [Google Scholar] [CrossRef]
- Webb, H.; Weston, J.; Norman, E.; Cogger, N.; Rogers, C. Experience, riding practices and training methods of Fédération Equestre Internationale (FEI: 80–160 km) level endurance horse rider-owner-trainers in New Zealand. Comp. Exerc. Physiol. 2019, 15, 137–145. [Google Scholar] [CrossRef]
- Hsieh, H.-F.; Shannon, S.E. Three approaches to qualitative content analysis. Qual. Health Res. 2005, 15, 1277–1288. [Google Scholar] [CrossRef]
- Doherr, M.; Carpenter, T.; Wilson, W.D.; Gardner, I. Application and evaluation of a mailed questionnaire for an epidemiologic study of Corynebacterium pseudotuberculosis infection in horses. Prev. Vet. Med. 1998, 35, 241–253. [Google Scholar] [CrossRef]
- IER. Size and Scope of the New Zealand Racing Industry; IER: Wellington, New Zealand, 2018; pp. 1–92. [Google Scholar]
- Shearman, J.; Hopkins, W. Training of Standardbed maiden pacers. J. Equine Vet. Sci. 1996, 16, 116–119. [Google Scholar] [CrossRef]
- Morrice-West, A.; Hitchens, P.; Walmsley, E.; Stevenson, M.; Whitton, R. Training practices, speed and distances undertaken by Thoroughbred racehorses in Victoria, Australia. Equine Vet. J. 2020, 52, 273–280. [Google Scholar] [CrossRef] [PubMed]
- Crowne, D.P.; Marlowe, D. A new scale of social desirability independent of psychopathology. J. Consult. Psychol. 1960, 24, 349–354. [Google Scholar] [CrossRef]
- Perkins, N.; Reid, S.; Morris, R. Profiling the New Zealand Thoroughbred racing industry. 1. Training, racing and general health patterns. N. Z. Vet. J. 2005, 53, 59–68. [Google Scholar] [CrossRef]
- Rogers, C.; Firth, E. Musculoskeletal responses of 2-year-old Thoroughbred horses to early training. 2. Measurement error and effect of training stage on the relationship between objective and subjective criteria of training workload. N. Z. Vet. J. 2004, 52, 272–279. [Google Scholar] [CrossRef]
- Rogers, C.W.; Bolwell, C.F.; Gee, E.K.; Rosanowski, S.M. Equine musculoskeletal development and performance: Impact of the production system and early training. Anim. Prod. Sci. 2020. [Google Scholar] [CrossRef]
- Anon. Regulations of the New Zealand Greyhound Racing Association Incorporated Including the Rules of Racing; Greyhound Racing New Zealand: Wellington, New Zealand, 2017; pp. 1–136. [Google Scholar]
- Borresen, J.; Lambert, M.I. The quantification of training load, the training response and the effect on performance. Sports Med. 2009, 39, 779–795. [Google Scholar] [CrossRef]
- Nevill, M.E.; Boobis, L.H.; Brooks, S.; Williams, C. Effect of training on muscle metabolism during treadmill sprinting. J. Appl. Physiol. 1989, 67, 2376–2382. [Google Scholar] [CrossRef]
- Baker, J.S.; McCormick, M.C.; Robergs, R.A. Interaction among skeletal muscle metabolic energy systems during intense exercise. J. Nutr. Metab. 2010, 2010. [Google Scholar] [CrossRef]
- Rose, R.; Bloomberg, M. Responses to sprint exercise in the greyhound: Effects on haematology, serum biochemistry and muscle metabolites. Res. Vet. Sci. 1989, 47, 212–218. [Google Scholar] [CrossRef]
- Bayati, M.; Farzad, B.; Gharakhanlou, R.; Agha-Alinejad, H. A practical model of low-volume high-intensity interval training induces performance and metabolic adaptations that resemble ‘all-out’sprint interval training. J. Sports Sci. Med. 2011, 10, 571–576. [Google Scholar]
- Guy, P.; Snow, D. Skeletal muscle fibre composition in the dog and its relationship to athletic ability. Res. Vet. Sci. 1981, 31, 244–248. [Google Scholar] [CrossRef]
- Rodríguez-Barbudo, M.V.; Vaamonde, R.; Agüera, E.; Carpio, M.; Moreno, F.; Fuentes, S.; Robina, A. Estudios histoquímico y morfométrico del músculo tibial cranial en perros de diferentes aptitudes dinámicas (galgo, pastor alemán y fox terrier). Anat. Histol. Embryol. 1984, 13, 300–312. [Google Scholar] [CrossRef]
- McArdle, W.D.; Katch, F.I.; Katch, V.L. Exercise Physiology: Nutrition, Energy, and Human Performance; Lippincott Williams & Wilkins: Baltimore, MD, USA, 2010. [Google Scholar]
- Tomlin, J.; Lawes, T.; Blunn, G.; Goodship, A.; Muir, P. Fractographic examination of racing greyhound central (navicular) tarsal bone failure surfaces using scanning electron microscopy. Calcif. Tissue Int. 2000, 67, 260–266. [Google Scholar] [CrossRef]
- Halson, S.L. Monitoring training load to understand fatigue in athletes. Sports Med. 2014, 44, 139–147. [Google Scholar] [CrossRef]
- Beer, L.M. A Study of Injuries in Victorian Racing Greyhounds 2006–2011. Master’s Thesis, The University of Melbourne, Melbourne, Australia, 2014. [Google Scholar]
- Palmer, A.L.; Rogers, C.W.; Stafford, K.J.; Gal, A.; Bolwell, C.F. Race-day Injuries of Greyhounds in New Zealand. under review.
- Morris, D. Training and Racing the Greyhound; The Crowood Press: Ramsbury, Marlborough, UK, 2014. [Google Scholar]
- Dockerty, R.J. A Multifactorial Genetic Approach to Improving Welfare in the Racing Greyhound. Ph.D. Thesis, University of Liverpool, Liverpool, UK, 2017. [Google Scholar]





| Variable | Total | Public Trainer | Owner Trainer | p-Value |
|---|---|---|---|---|
| Number of Trainers | 48 | 22 (45.8) | 26 (54.2) | |
| Location of Trainers | 0.227 | |||
| Auckland | 5 (10.4) | 4 (8.3) | 1 (2.1) | |
| Waikato | 14 (29.2) | 8 (16.7) | 6 (12.5) | |
| Bay of Plenty | 1 (2.1) | 0 | 1 (2.1) | |
| Taranaki | 3 (6.3) | 0 | 3 (6.3) | |
| Manawatu-Whanganui | 11 (22.9) | 4 (8.3) | 7 (14.6) | |
| Canterbury | 11 (22.9) | 5 (10.4) | 6 (12.5) | |
| Otago | 2 (4.2) | 0 | 2 (4.2) | |
| Southland | 1 (2.1) | 1 (2.1) | 0 | |
| Facilities used for training | ||||
| Straight Track | 0.978 | |||
| Yes | 35 (72.9) | 16 (33.3) | 19 (39.6) | |
| No | 13 (27.1) | 6 (12.5) | 7 (14.6) | |
| Exercise Paddock | 0.049 | |||
| Yes | 35 (72.9) | 13 (27.2) | 22 (45.8) | |
| No | 13 (27.1) | 9 (18.8) | 4 (8.3) | |
| Training Track | 0.371 | |||
| Yes | 4 (8.3) | 1 (2.1) | 3 (6.3) | |
| No | 44 (91.7) | 21 (43.8) | 23 (47.9) | |
| Treadmill | 0.091 | |||
| Yes | 17 (35.4) | 5 (10.4) | 12 (25.0) | |
| No | 31 (64.6) | 17 (35.4) | 14 (29.2) | |
| Beach | 0.597 | |||
| Yes | 7 (14.6) | 3 (6.3) | 4 (8.3) | |
| No | 41 (85.4) | 19 (39.6) | 22 (45.8) | |
| Local Track | 0.113 | |||
| Yes | 39 (81.3) | 20 (41.7) | 19 (39.6) | |
| No | 9 (18.8) | 2 (4.2) | 7 (14.6) | |
| Train young dogs | 0.357 | |||
| Yes | 37 (77.1) | 18 (37.5) | 19 (39.6) | |
| No | 11 (22.9) | 4 (8.3) | 7 (14.6) | |
| Factors that influence trainers’ decision to register young dogs for racing | 0.347 | |||
| Appearance | 5 (10.4) | 4 (8.3) | 1 (2.1) | |
| Time milestones | 17 (35.4) | 8 (16.7) | 9 (18.8) | |
| Weeks in training | 2 (4.2) | 1 (2.1) | 1 (2.1) | |
| Owner decision | 2 (4.2) | 2 (4.2) | 0 | |
| All greyhounds are registered | 9 (18.6) | 3 (6.3) | 6 (12.5) | |
| Age of the greyhound | 1 (2.1) | 0 | 1 (2.1) | |
| Factors that influence trainers’ decision to qualify young dogs for racing | 0.722 | |||
| Appearance | 7 (14.6) | 3 (6.3) | 4 (8.3) | |
| Time milestones | 23 (47.9) | 11 (22.9) | 12 (25.0) | |
| Weeks in training | 1 (2.1) | 0 | 1 (2.1) | |
| Owner decision | 1 (2.1) | 1 (2.1) | 0 | |
| All greyhounds are qualified | 2 (4.2) | 1 (2.1) | 1 (2.1) | |
| Training regime before first race | 0.61 | |||
| Standardised | 8 (16.7) | 4 (8.3) | 4 (8.3) | |
| Similar | 25 (52.1) | 11 (22.9) | 14 (29.2) | |
| Personalised | 4 (8.3) | 3 (6.3) | 1 (2.1) | |
| Difference in training programme for greyhounds running different distances | 0.626 | |||
| Yes | 25 (52.1) | 12 (25.0) | 13 (27.1) | |
| No | 22 (45.8) | 9 (18.8) | 13 (27.1) | |
| Difference in training programme within 48 h before a race | 0.074 | |||
| Yes | 18 (37.5) | 11 (22.9) | 7 (14.6) | |
| No | 29 (60.4) | 10 (20.8) | 19 (39.6) | |
| Training sessions recorded | 0.446 | |||
| Yes | 19 (39.6) | 7 (14.6) | 12 (25.0) | |
| No | 27 (56.3) | 13 (27.1) | 14 (29.2) | |
| Training Activities | Racing Once a Week | Racing Twice a Week |
|---|---|---|
| Low-intensity training | ||
| Median times per week | 4 (3–5) | 4 (2.25–5) |
| Median Distance (m) per training session | 3000 (1875–4000) | 3000 (1800–3250) |
| Total weekly distance (m) | 7000 (2750–16,000) | 9350 (6675–13,750) |
| High-intensity training | ||
| Median times per week | 2 (1–2) | 2 (2–3) |
| Median Distance (m) per training session 1 | 457 (350–457) | 457 (440–457) |
| Total weekly distance (m) | 727 (457–907) | 989 (914–1227.75) |
Publisher’s Note: MDPI stays neutral with regard to jurisdictional claims in published maps and institutional affiliations. |
© 2020 by the authors. Licensee MDPI, Basel, Switzerland. This article is an open access article distributed under the terms and conditions of the Creative Commons Attribution (CC BY) license (http://creativecommons.org/licenses/by/4.0/).
Share and Cite
Palmer, A.L.; Rogers, C.W.; Stafford, K.J.; Gal, A.; Cochrane, D.J.; Bolwell, C.F. Cross-Sectional Survey of the Training Practices of Racing Greyhounds in New Zealand. Animals 2020, 10, 2032. https://doi.org/10.3390/ani10112032
Palmer AL, Rogers CW, Stafford KJ, Gal A, Cochrane DJ, Bolwell CF. Cross-Sectional Survey of the Training Practices of Racing Greyhounds in New Zealand. Animals. 2020; 10(11):2032. https://doi.org/10.3390/ani10112032
Chicago/Turabian StylePalmer, Anna L., Chris W. Rogers, Kevin J. Stafford, Arnon Gal, Darryl J. Cochrane, and Charlotte F. Bolwell. 2020. "Cross-Sectional Survey of the Training Practices of Racing Greyhounds in New Zealand" Animals 10, no. 11: 2032. https://doi.org/10.3390/ani10112032
APA StylePalmer, A. L., Rogers, C. W., Stafford, K. J., Gal, A., Cochrane, D. J., & Bolwell, C. F. (2020). Cross-Sectional Survey of the Training Practices of Racing Greyhounds in New Zealand. Animals, 10(11), 2032. https://doi.org/10.3390/ani10112032

