The Odor Release Regularity of Livestock and Poultry Manure and the Screening of Deodorizing Strains
Abstract
:1. Introduction
2. Materials and Methods
2.1. Experiment Material
2.2. The Culture of Deodorizing Microorganisms
2.3. Experiment on the Odor Production of Pig Manure
2.3.1. Single Factor Experiment
2.3.2. Orthogonal Experiment
2.4. Screening of High-Efficiency Anti-Odor Microbial Strains for Spraying
2.5. Screening of Microbial Strains for Terminal Absorption of Malodorous Gases
2.6. Data Processing
3. Results
3.1. Single Factor Experiment on Odor Producing Rule of Pig Manure
3.2. Orthogonal Experiment on Odor Producing Rule of Pig Manure
3.3. Different Deodorant Effects of Microbial Spray
3.4. Deodorization Effect of Different Microbial End Treatments
4. Discussion
4.1. Factors Affecting the Release of Malodorous Gases from Pig Manure
4.2. Source Deodorization and End Treatment of Microbial Strains
5. Conclusions
- (1)
- The release intensity of malodorous gas from livestock and poultry feces is related to temperature, doping amount of calcium carbonate, doping amount of wheat straw and time. Among them, the wheat straw doping amount and time had the greatest influence: when the wheat straw doping amount was 15%, the concentration of five odorous gases reached the maximum value; the comprehensive odor gas concentration in the middle of pig manure fermentation was large and persistent; ammonia gas had the characteristics of low release in the early stage, large release in the middle stage and gradually decreased in the late stage; hydrogen sulfide, methanethiol and volatile gas had the characteristics of low release in the early stage, gradually declined after reaching the peak, and not a strong persistence. The doping amount of calcium carbonate and temperature have little effect on the release of odorous gas.
- (2)
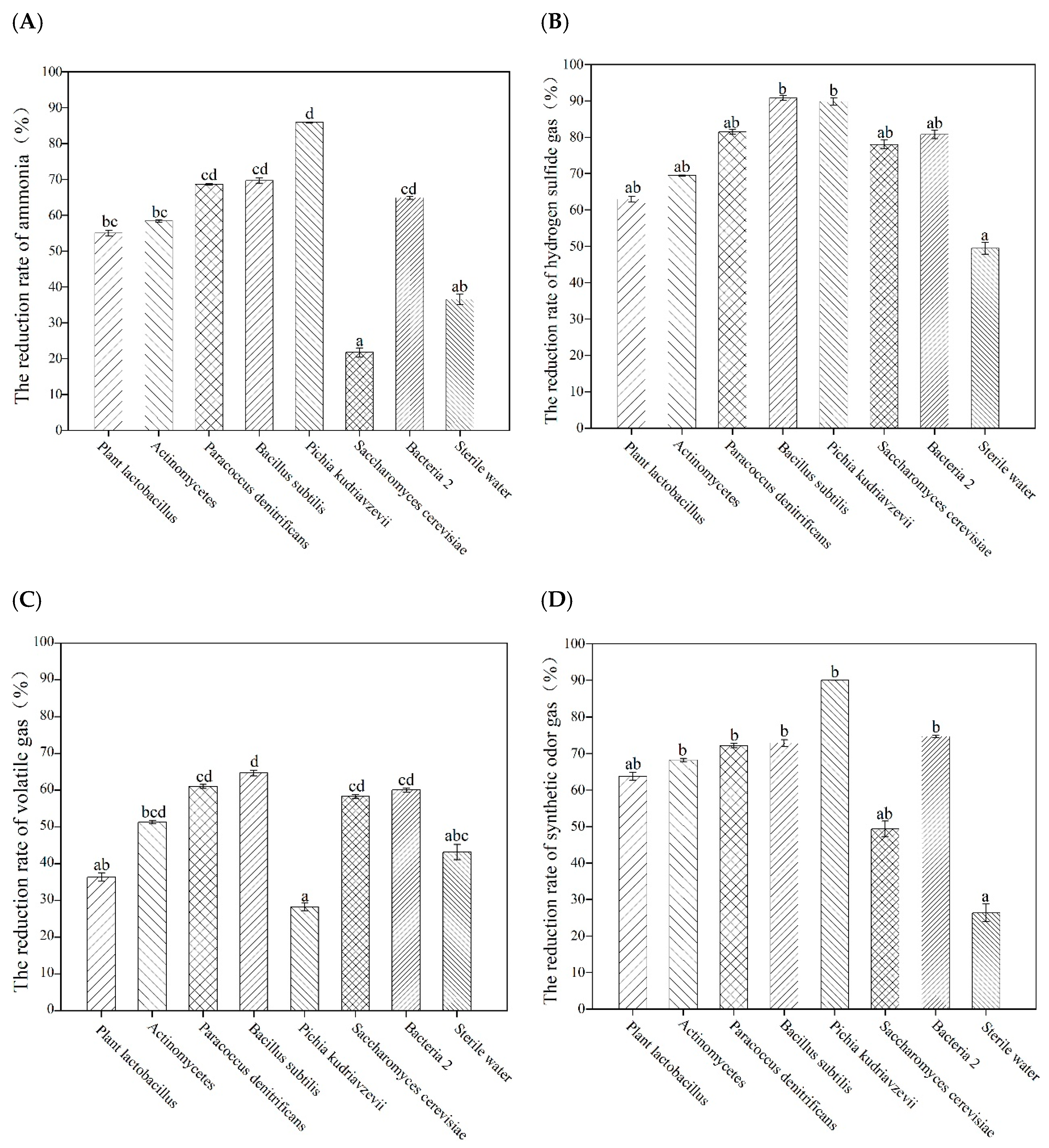
- B. licheniformis, P. denitrificans and S. cerevisiae had outstanding effects on inhibiting odor production at source. The reduction rates of B. licheniformis on ammonia and hydrogen sulfide were 85.81% and 99.29%, respectively; the reduction rates of ammonia and hydrogen sulfide by P. denitrificans were 80.25% and 82.80%, respectively. Compared with other strains, S. cerevisiae had a significant effect on volatile gas removal, with a reduction rate of 27.7%.
- (3)
- P. kudriavzevii, P. denitrificans and B. subtilis can be used as effective end-absorbing and transforming odorous gas strains. The reduction rates of ammonia and hydrogen sulfide by P. kudriavzevii were 85.91% and 89.79%, respectively; B. subtilis had a strong ability to degrade hydrogen sulfide gas, and the reduction rates of ammonia gas and hydrogen sulfide gas were 69.69% and 90.80%, respectively; the reduction rates of ammonia and hydrogen sulfide by P. denitrificans were 68.03% and 81.48%, respectively.
Author Contributions
Funding
Institutional Review Board Statement
Informed Consent Statement
Data Availability Statement
Conflicts of Interest
References
- Fan, D.; Mao, Y.; Xu, L.; Wang, W. Effects of livestock and poultry breeding pollution on health risks: Evidence from a hog breeding case in rural China. Chin. J. Popul. Resour. Environ. 2020, 18, 342–349. [Google Scholar] [CrossRef]
- Wang, H.; Xu, J.; Liu, X.; Sheng, L.; Zhang, D.; Li, L.; Wang, A. Study on the pollution status and control measures for the livestock and poultry breeding industry in northeastern China. Environ. Sci. Pollut. Res. 2018, 25, 4435–4445. [Google Scholar] [CrossRef]
- Rappert, S.; Muller, R. Odor compounds in waste gas emissions from agricultural operations and food industries. Waste Manag. 2005, 25, 887–907. [Google Scholar] [CrossRef] [PubMed]
- Sironi, S.; Capelli, L.; Centola, P.; Rosso, R.D.; Pierucci, S. Odour impact assessment by means of dynamic olfactometry, dispersion modelling and social participation. Atmos. Environ. 2010, 44, 354–360. [Google Scholar] [CrossRef]
- Wang, K.; He, C.; You, S.; Liu, W.; Wang, W.; Zhang, R.; Qi, H.; Ren, N. Transformation of organic matters in animal wastes during composting. J. Hazard. Mater. 2015, 300, 745–753. [Google Scholar] [CrossRef] [PubMed]
- Zhang, Y.; Liang, Z.; Tang, C.; Liao, W.; Yu, Y.; Li, G.; Yang, Y.; An, T. Malodorous gases production from food wastes decomposition by indigenous microorganisms. Sci. Total. Environ. 2020, 717, 137175. [Google Scholar] [CrossRef] [PubMed]
- Maizi, A.; Dhaouadi, H.; Bournot, P.; Mhiri, H. CFD prediction of odorous compound dispersion: Case study examining a full scale waste water treatment plant. Biosyst. Eng. 2010, 106, 68–78. [Google Scholar] [CrossRef]
- Kim, H.-H.; Ha, D.-M.; Lee, J.-Y.; Shin, H.-S.; Song, J.I.; Kim, D.H. Effects of physico-chemical treatment on odor reduction of swine farm. Ann. Anim. Resour. Sci. 2017, 28, 64–71. [Google Scholar] [CrossRef]
- Yan, Z.; Xu, L.; Li, Z.; Liu, X.; Yuan, Y.; Wei, X. Progress in research and application of controlling odor from livestock manure. Chin. J. Appl. Environ. Biol. 2014, 20, 322–327. [Google Scholar]
- Dhamodharan, K.; Varma, V.S.; Veluchamy, C.; Pugazhendhi, A.; Rajendran, K. Emission of volatile organic compounds from composting: A review on assessment, treatment and perspectives. Sci. Total Environ. 2019, 695, 133725. [Google Scholar] [CrossRef]
- Dumont, E. Impact of the treatment of NH3 emissions from pig farms on greenhouse gas emissions. Quantitative assessment from the literature data. New Biotechnol. 2018, 46, 31–37. [Google Scholar] [CrossRef]
- Rybarczyk, P.; Szulczynski, B.; Gebicki, J.; Hupka, J. Treatment of malodorous air in biotrickling filters: A review. Biochem. Eng. J. 2019, 141, 146–162. [Google Scholar] [CrossRef]
- Wang, K.; Li, W.; Li, X.; Ren, N. Spatial nitrifications of microbial processes during composting of swine, cow and chicken manure. Sci. Rep. 2015, 5, 14932. [Google Scholar] [CrossRef]
- Zhao, K.; Xu, R.; Zhang, Y.; Tang, H.; Zhou, C.; Cao, A.; Zhao, G.; Guo, H. Development of a novel compound microbial agent for degradation of kitchen waste. Braz. J. Microbiol. 2017, 48, 442–450. [Google Scholar] [CrossRef]
- Chavez, C.; Coufal, C.D.; Lacey, R.E.; Carey, J.B. The impact of methionine source on poultry fecal matter odor volatiles. Poult. Sci. 2004, 83, 359–364. [Google Scholar] [CrossRef]
- Higgins, M.J.; Adams, G.; Chen, Y.-C.; Erdal, Z.; Forbes, R.H., Jr.; Glindemann, D.; Hargreaves, J.R.; McEwen, D.; Murthy, S.N.; Novak, J.T. Role of protein, amino acids, and enzyme activity on odor production from anaerobically digested and dewatered biosolids. Water Environ. Res. 2008, 80, 127–135. [Google Scholar] [CrossRef] [PubMed] [Green Version]
- Wang, Y.-C.; Han, M.-F.; Jia, T.-P.; Hu, X.-R.; Zhu, H.-Q.; Tong, Z.; Lin, Y.-T.; Wang, C.; Liu, D.-Z.; Peng, Y.-Z.; et al. Emissions, measurement, and control of odor in livestock farms: A review. Sci. Total Environ. 2021, 776, 145735. [Google Scholar] [CrossRef]
- Zeng, S.; Li, N.-H.; Sheng, H.-C.; He, K.; Hu, Z.-Q. Screening, combination of microbial deodorizer and the optimization of its deodorizing conditions. Huan Jing Ke Xue 2015, 36, 259–265. [Google Scholar]
- Kim, J.D.; Park, K.M. Effectiveness of Lactobacillus plantarum strain KJ-10311 to remove characteristic malodorous gases in piggery slurry. Asian-Australas. J. Anim. Sci. 2006, 19, 144–152. [Google Scholar]
- Ye, F.; Zhu, R.; Ye, Y. Preparation of complex microbial adsorbent for deodorization and its application to deodorization. Trans. Chin. Soc. Agric. Eng. 2008, 24, 254–257. [Google Scholar]
- Le, P.D.; Aarnink, A.J.A.; Ogink, N.W.M.; Verstegen, M.W.A. Effects of environmental factors on odor emission from pig manure. Trans. ASAE 2005, 48, 757–765. [Google Scholar]
- Huan, C.; Fang, J.; Tong, X.; Zeng, Y.; Liu, Y.; Jiang, X.; Ji, G.; Xu, L.; Lyu, Q.; Yan, Z. Simultaneous elimination of H2S and NH3 in a biotrickling filter packed with polyhedral spheres and best efficiency in compost deodorization. J. Clean. Prod. 2021, 284, 124708. [Google Scholar] [CrossRef]
- Shen, Q.; Sun, X.-J.; Wu, Y.-F.; Yao, X.-H.; Li, Y.-C.; Sun, H.; Wang, X.; Tang, J.-W. Screening and identification of deodorant microorganism for livestock manure. J. Zhejiang Agric. Sci. 2019, 60, 2110–2113. [Google Scholar]
- Zang, B.; Li, S.; Michel, F., Jr.; Li, G.; Luo, Y.; Zhang, D.; Li, Y. Effects of mix ratio, moisture content and aeration rate on sulfur odor emissions during pig manure composting. Waste Manag. 2016, 56, 498–505. [Google Scholar] [CrossRef] [PubMed]
- Li, X.; Dong, R. Characteristics of cattle manure and rice straw composting. J. China Agric. Univ. 2002, 7, 31–35. [Google Scholar] [CrossRef]
- Petersen, S.O.; Dorno, N.; Lindholst, S.; Feilberg, A.; Eriksen, J. Emissions of CH4, N2O, NH3 and odorants from pig slurry during winter and summer storage. Nutr. Cycl. Agroecosyst. 2013, 95, 103–113. [Google Scholar] [CrossRef]
- Ding, G.-Q.; Han, S.-H.; Yuan, Y.-L.; Luo, L.; Wang, L.-G.; Li, H.; Li, P. Emissions of NH3, N2O, and NO from swine manure solid storage in winter. Chin. J. Environ. Sci. 2014, 35, 2807–2815. [Google Scholar]
- Yuan, Q.; Tian, C.; Chen, G.; Zhong, H.; Lin, G. Effects of different materials addition on the aerobic composting. Trans. Chin. Soc. Agric. Mach. 2012, 43, 108–114. [Google Scholar]
- Zhu, W.; Feng, P.-G.; Ma, J.-J.; Zhang, R.; Zheng, C.; Yang, H.-M.; Ban, Z.-B.; Liang, H.; Yan, X.-G. The effect of environment temperature on the emission of harmful gases from faecal fermentation. Heilongjiang Anim. Sci. Vet. Med. 2018, 43–45, 49, 242. [Google Scholar] [CrossRef]
- Zhang, P.-Y.; Shen, Y.-J.; Liu, S.-Q. Volatile gas emissions from different types of animal manure during aerobic fermentation process. J. Agro-Environ.Sci. 2015, 34, 1378–1383. [Google Scholar]
- Heederik, D.; Sigsgaard, T.; Thorne, P.S.; Kline, J.N.; Avery, R.; Bonlokke, J.H.; Chrischilles, E.A.; Dosman, J.A.; Duchaine, C.; Kirkhorn, S.R.; et al. Health effects of airborne exposures from concentrated animal feeding operations. Environ. Health Perspect. 2007, 115, 298–302. [Google Scholar] [CrossRef] [PubMed] [Green Version]
- Matusiak, K.; Oleksy, M.; Borowski, S.; Nowak, A.; Korczynski, M.; Dobrzanski, Z.; Gutarowska, B. The use of Yucca schidigera and microbial preparation for poultry manure deodorization and hygienization. J. Environ. Manag. 2016, 170, 50–59. [Google Scholar] [CrossRef] [PubMed]
- Yan, Z.Y.; Li, J.; Liu, X.; Yuan, Y.; Liao, Y.; Li, X. Deodorization of swine manure using a Lactobacillus strain. Environ. Eng. Manag. J. 2017, 16, 2191–2198. [Google Scholar]
- Sun, X.; Shen, Q.; Wu, Y.; Yao, X.; Li, Y.; Sun, H.; Wang, X.; Tang, J.; Ge, X. Screening and utilization of ammonia-nitrogen-degrading microorganism. Acta Agric. Zhejiangensis 2020, 32, 1683–1691. [Google Scholar]
- Wysocka, I.; Gebicki, J.; Namiesnik, J. Technologies for deodorization of malodorous gases. Environ. Sci. Pollut. Res. 2019, 26, 9409–9434. [Google Scholar] [CrossRef] [PubMed] [Green Version]



| The Name of Material | TS (%) | VS (%) | ω (%) | C (%) | N (%) |
|---|---|---|---|---|---|
| pig manure | 38.20 | 91.79 | 61.80 | 29.02 | 3.20 |
| wheat straw | 93.20 | 91.70 | 6.80 | 40.26 | 1.17 |
| Level | A/°C | B/% | C/% | D/h |
|---|---|---|---|---|
| 1 | 20 | 0 | 0 | 48 |
| 2 | 35 | 0.5 | 15 | 96 |
| 3 | 45 | 1 | 20 | 144 |
| Test No. | A | B | C | D | Empty Row | NH3/ ppm | H2S/ ppm | CH3SH/ppm | eVOC/ppm | OC |
|---|---|---|---|---|---|---|---|---|---|---|
| 1 | 1 | 1 | 1 | 1 | 1 | 68.94 | 19.60 | 33.70 | 89.90 | 5477.00 |
| 2 | 1 | 1 | 1 | 1 | 2 | 242.80 | 139.70 | 118.00 | 129.50 | 32,452.00 |
| 3 | 1 | 1 | 1 | 1 | 3 | 16.41 | 0.00 | 70.80 | 96.00 | 3431.00 |
| 4 | 1 | 2 | 2 | 2 | 1 | 418.40 | 99.50 | 4.95 | 41.13 | 17,946.00 |
| 5 | 1 | 2 | 2 | 2 | 2 | 396.70 | 103.70 | 4.42 | 43.26 | 17,995.00 |
| 6 | 1 | 2 | 2 | 2 | 3 | 431.30 | 77.09 | 3.37 | 40.82 | 14,564.00 |
| 7 | 1 | 3 | 3 | 3 | 1 | 16.62 | 0.00 | 0.00 | 41.52 | 24.30 |
| 8 | 1 | 3 | 3 | 3 | 2 | 140.00 | 22.40 | 1.74 | 45.65 | 4314.00 |
| 9 | 1 | 3 | 3 | 3 | 3 | 83.41 | 11.72 | 0.00 | 44.13 | 2959.00 |
| 10 | 2 | 1 | 2 | 3 | 1 | 103.20 | 3.94 | 1.09 | 50.18 | 893.60 |
| 11 | 2 | 1 | 2 | 3 | 2 | 187.90 | 14.69 | 2.89 | 44.61 | 2830.00 |
| 12 | 2 | 1 | 2 | 3 | 3 | 116.00 | 10.12 | 1.10 | 51.79 | 2045.00 |
| 13 | 2 | 2 | 3 | 1 | 1 | 38.99 | 0.00 | 0.47 | 45.17 | 88.01 |
| 14 | 2 | 2 | 3 | 1 | 2 | 35.94 | 0.63 | 0.44 | 44.78 | 80.69 |
| 15 | 2 | 2 | 3 | 1 | 3 | 34.93 | 0.00 | 0.28 | 44.04 | 67.84 |
| 16 | 2 | 3 | 1 | 2 | 1 | 991.10 | 177.70 | 0.00 | 51.44 | 41,352.00 |
| 17 | 2 | 3 | 1 | 2 | 2 | 1072.00 | 192.60 | 0.00 | 61.23 | 30,571.00 |
| 18 | 2 | 3 | 1 | 2 | 3 | 801.30 | 191.60 | 1.96 | 64.58 | 41,632.00 |
| 19 | 3 | 1 | 3 | 2 | 1 | 874.50 | 4.97 | 18.30 | 64.06 | 3139.00 |
| 20 | 3 | 1 | 3 | 2 | 2 | 112.20 | 0.00 | 18.40 | 60.53 | 995.30 |
| 21 | 3 | 1 | 3 | 2 | 3 | 1141.00 | 183.80 | 18.50 | 76.90 | 28,259.00 |
| 22 | 3 | 2 | 1 | 3 | 1 | 1135.00 | 192.10 | 18.20 | 74.07 | 38,635.00 |
| 23 | 3 | 2 | 1 | 3 | 2 | 1140.00 | 183.30 | 18.30 | 77.46 | 39,727.00 |
| 24 | 3 | 2 | 1 | 3 | 3 | 1132.00 | 166.20 | 18.60 | 78.59 | 31,355.00 |
| 25 | 3 | 3 | 2 | 1 | 1 | 13.46 | 0.00 | 84.60 | 104.80 | 4120.00 |
| 26 | 3 | 3 | 2 | 1 | 2 | 12.94 | 0.00 | 96.10 | 112.20 | 4690.00 |
| 27 | 3 | 3 | 2 | 1 | 3 | 9.98 | 0.00 | 68.70 | 103.90 | 3317.00 |
| Evaluation Index | A | B | C | D | |
|---|---|---|---|---|---|
| NH3/ppm | 1 | 201.62 | 318.11 | 733.28 | 52.71 |
| 2 | 375.71 | 529.25 | 187.76 | 693.17 | |
| 3 | 619.01 | 348.98 | 275.29 | 450.46 | |
| R | 417.39 | 211.15 | 545.52 | 640.46 | |
| H2S/ppm | 1 | 52.63 | 41.87 | 139.34 | 17.77 |
| 2 | 63.62 | 92.50 | 34.34 | 112.47 | |
| 3 | 82.26 | 64.15 | 24.84 | 68.27 | |
| R | 29.63 | 50.63 | 114.51 | 94.70 | |
| CH3SH/ppm | 1 | 26.33 | 31.42 | 31.06 | 52.57 |
| 2 | 0.91 | 7.67 | 29.69 | 7.77 | |
| 3 | 39.97 | 28.12 | 6.46 | 6.88 | |
| R | 39.05 | 23.75 | 24.60 | 45.69 | |
| eVOC/ppm | 1 | 63.55 | 73.72 | 80.31 | 85.59 |
| 2 | 50.87 | 54.37 | 65.85 | 55.99 | |
| 3 | 83.61 | 69.94 | 51.86 | 56.44 | |
| R | 20.07 | 19.35 | 28.44 | 29.59 | |
| OC | 1 | 11,018.03 | 8835.77 | 29,403.56 | 5969.28 |
| 2 | 13,284.46 | 17,828.73 | 7600.07 | 21,828.14 | |
| 3 | 17,137.48 | 14,775.48 | 4436.35 | 13,642.54 | |
| R | 6119.44 | 8992.96 | 24,967.21 | 15,858.86 | |
Publisher’s Note: MDPI stays neutral with regard to jurisdictional claims in published maps and institutional affiliations. |
© 2021 by the authors. Licensee MDPI, Basel, Switzerland. This article is an open access article distributed under the terms and conditions of the Creative Commons Attribution (CC BY) license (https://creativecommons.org/licenses/by/4.0/).
Share and Cite
Ma, H.; Li, F.; Niyitanga, E.; Chai, X.; Wang, S.; Liu, Y. The Odor Release Regularity of Livestock and Poultry Manure and the Screening of Deodorizing Strains. Microorganisms 2021, 9, 2488. https://doi.org/10.3390/microorganisms9122488
Ma H, Li F, Niyitanga E, Chai X, Wang S, Liu Y. The Odor Release Regularity of Livestock and Poultry Manure and the Screening of Deodorizing Strains. Microorganisms. 2021; 9(12):2488. https://doi.org/10.3390/microorganisms9122488
Chicago/Turabian StyleMa, Haixia, Feier Li, Evode Niyitanga, Xicun Chai, Shipeng Wang, and Yutao Liu. 2021. "The Odor Release Regularity of Livestock and Poultry Manure and the Screening of Deodorizing Strains" Microorganisms 9, no. 12: 2488. https://doi.org/10.3390/microorganisms9122488
APA StyleMa, H., Li, F., Niyitanga, E., Chai, X., Wang, S., & Liu, Y. (2021). The Odor Release Regularity of Livestock and Poultry Manure and the Screening of Deodorizing Strains. Microorganisms, 9(12), 2488. https://doi.org/10.3390/microorganisms9122488

