Characterization of Bacterial Microbiota of P.D.O. Feta Cheese by 16S Metagenomic Analysis
Abstract
1. Introduction
2. Materials and Methods
2.1. Preparation of Samples
2.2. DNA Extraction and Next-Generation Sequencing
2.3. Bioinformatic and Statistical Analyses
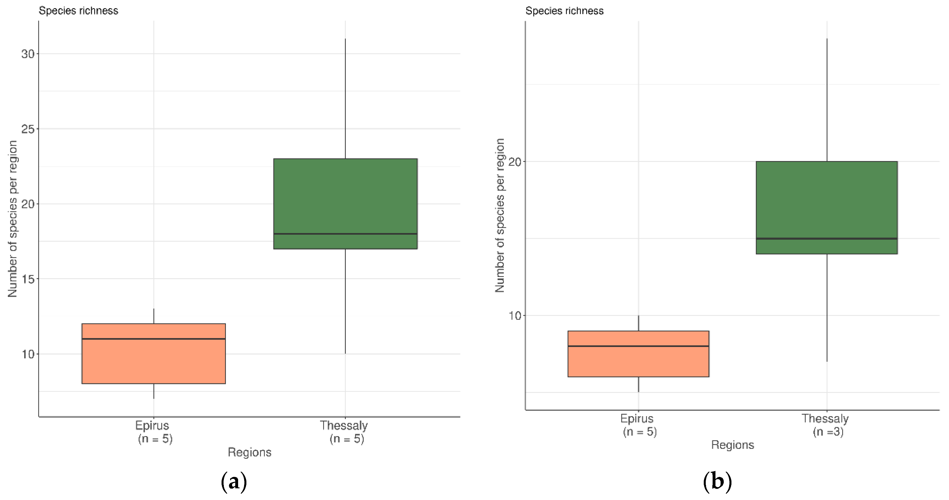
3. Results
3.1. Bacterial Diversity of Feta Cheese
3.1.1. Firmicutes: The Dominant Phylum
3.1.2. Gram-Negative Bacteria
3.2. Bioinformatic and Statistical Analysis
4. Discussion
5. Conclusions
Author Contributions
Funding
Institutional Review Board Statement
Informed Consent Statement
Data Availability Statement
Conflicts of Interest
References
- 1829/2002, E.C.C.R. (EC) N.; Journal, O.J. of E.C. 2002; Union, E. (Recast) (Text with EEA Relevance). 2017, Volume 10, pp. 1–21. Available online: https://op.europa.eu/en/publication-detail/-/publication/908f4ad3-d357-47d6-a9fb-39cf725f4649 (accessed on 11 October 2021).
- Moatsou, G.; Massouras, T.; Kandarakis, I.; Anifantakis, E. Evolution of proteolysis during the ripening of traditional Feta cheese. Lait 2002, 82, 601–611. [Google Scholar] [CrossRef][Green Version]
- Manolopoulou, E.; Sarantinopoulos, P.; Zoidou, E.; Aktypis, A.; Moschopoulou, E.; Kandarakis, I.G.; Anifantakis, E.M. Evolution of microbial populations during traditional Feta cheese manufacture and ripening. Int. J. Food Microbiol. 2003, 82, 153–161. [Google Scholar] [CrossRef]
- Spyrelli, E.D.; Stamatiou, A.; Tassou, C.C.; Nychas, G.J.E.; Doulgeraki, A.I. Microbiological and metagenomic analysis to assess the effect of container material on the microbiota of Feta cheese during ripening. Fermentation 2020, 6, 12. [Google Scholar] [CrossRef]
- Geronikou, A.; Srimahaeak, T.; Rantsiou, K.; Triantafillidis, G.; Larsen, N.; Jespersen, L. Occurrence of Yeasts in White-Brined Cheeses: Methodologies for Identification, Spoilage Potential and Good Manufacturing Practices. Front. Microbiol. 2020, 11, 1–21. [Google Scholar] [CrossRef] [PubMed]
- Tzora, A.; Nelli, A.; Voidarou, C.; Fthenakis, G.; Rozos, G.; Theodorides, G.; Bonos, E.; Skoufos, I. Microbiota “Fingerprint” of greek feta cheese through ripening. Appl. Sci. 2021, 11, 5631. [Google Scholar] [CrossRef]
- Dapkevicius, M.L.E.; Sgardioli, B.; Câmara, S.P.A.; Poeta, P.; Malcata, F.X. Current trends of enterococci in dairy products: A comprehensive review of their multiple roles. Foods 2021, 10, 821. [Google Scholar] [CrossRef] [PubMed]
- Jonnala, B.R.Y.; Mcsweeney, P.L.H.; Sheehan, J.J.; Abram, F. Sequencing of the Cheese Microbiome and Its Relevance to Industry. Front. Microbiol. 2018, 9, 1020. [Google Scholar] [CrossRef] [PubMed]
- Rantsiou, K.; Urso, R.; Dolci, P.; Comi, G.; Cocolin, L. Microflora of Feta cheese from four Greek manufacturers. Int. J. Food Microbiol. 2008, 126, 36–42. [Google Scholar] [CrossRef]
- Bozoudi, D.; Kotzamanidis, C.; Hatzikamari, M.; Tzanetakis, N.; Menexes, G.; Litopoulou-Tzanetaki, E. A comparison for acid production, proteolysis, autolysis and inhibitory properties of lactic acid bacteria from fresh and mature Feta PDO Greek cheese, made at three different mountainous areas. Int. J. Food Microbiol. 2015, 200, 87–96. [Google Scholar] [CrossRef] [PubMed]
- Lynch, M.D.J.; Neufeld, J.D. Ecology and exploration of the rare biosphere. Nat. Rev. Microbiol. 2015, 13, 217–229. [Google Scholar] [CrossRef]
- Kruskal, W.H.; Wallis, W.A. Use of ranks in one-criterion variance analysis. J. Am. Stat. Assoc. 1952, 47, 583–621. [Google Scholar] [CrossRef]
- Whittaker, R.H. Evolution and Measurement of Species Diversity. Taxon 1972, 21, 213–225. [Google Scholar] [CrossRef]
- Whittaker, R.H. Vegetation of the Siskiyou Mountains, Oregon and California. Ecol. Monogr. 1960, 30, 279–338. [Google Scholar] [CrossRef]
- Oksanen, J.; Blanchet, F.G.; Friendly, M.; Kindt, R.; Legendre, P.; McGlinn, D.; O’Hara, R.B.; Gavin, L.; Solymos, P.; Wanger, H.; et al. Community Ecology Package. Version 2.5-7. Available online: https://cran.r-project.org/web/packages/vegan/vegan.pdf (accessed on 11 October 2021).
- Leo, L.; Shetty, S. Microbiome R package. Bioconductor 2017, 1–71. [Google Scholar] [CrossRef]
- Anderson, M.J. Permutational Multivariate Analysis of Variance (PERMANOVA). Wiley StatsRef Stat. Ref. Online 2017, 1–15. [Google Scholar] [CrossRef]
- Pearson, K.F.R.S. On lines and planes of closest fit to systems of points in space. Lond. Edinb. Dublin Philos. Mag. J. Sci. 1901, 2, 559. [Google Scholar] [CrossRef]
- Wickham, H. Ggplot2: Elegant Graphics for Data Analysis; Springer: New York, NY, USA, 2016; ISBN 978-3-319-24277-4. Available online: https://ggplot2.tidyverse.org (accessed on 11 October 2021).
- Lloyd, S. Least squares quantization in PCM. IEEE Trans. Inf. Theory 1982, 28, 129–137. [Google Scholar] [CrossRef]
- Raivo Kolde Pheatmap: Pretty Heatmaps. R Package Version 1.0.12. Available online: https://CRAN.R-project.org/package=pheatmap (accessed on 11 October 2021).
- Johan, L. Eulerr: Area-Proportional Euler and Venn Diagrams with Ellipses. R Package Version 6.1.1. 2021. Available online: https://CRAN.R-project.org/package=eulerr (accessed on 11 October 2021).
- Jain, A.K.; Dubes, R.C. Algorithms for Clustering Data; Prentice Hall Inc.: Hoboken, NJ, USA, 1998. [Google Scholar]
- Galili, T. Dendextend: An R package for visualizing, adjusting and comparing trees of hierarchical clustering. Bioinformatics 2015, 31, 3718–3720. [Google Scholar] [CrossRef]
- Ward, J.H. Hierarchical Grouping to Optimize an Objective Function. J. Am. Stat. Assoc. 1963, 58, 236–244. [Google Scholar] [CrossRef]
- Wilcoxon, F. Individual Comparisons by Ranking Methods. Biometrics Bull. 1945, 1, 80. [Google Scholar] [CrossRef]
- Quigley, L.; Sullivan, O.O.; Stanton, C.; Beresford, T.P.; Ross, R.P.; Fitzgerald, G.F.; Cotter, P.D. The complex microbiota of raw milk. FEMS Microbiol. Rev. 2013, 37, 664–698. [Google Scholar] [CrossRef]
- Callon, C.; Duthoit, F.; Delbès, C.; Ferrand, M.; Le Frileux, Y.; De Crémoux, R.; Montel, M.C. Stability of microbial communities in goat milk during a lactation year: Molecular approaches. Syst. Appl. Microbiol. 2007, 30, 547–560. [Google Scholar] [CrossRef]
- Bozoudi, D.; Torriani, S.; Zdragas, A.; Litopoulou-Tzanetaki, E. LWT—Food Science and Technology Assessment of microbial diversity of the dominant microbiota in fresh and mature PDO Feta cheese made at three mountainous areas of Greece. LWT Food Sci. Technol. 2016, 72, 525–533. [Google Scholar] [CrossRef]
- Quigley, L.; Sullivan, O.O.; Beresford, T.P.; Ross, R.P.; Fitzgerald, G.F.; Cotter, P.D. Molecular approaches to analysing the microbial composition of raw milk and raw milk cheese. Int. J. Food Microbiol. 2011, 150, 81–94. [Google Scholar] [CrossRef] [PubMed]
- Michailidou, S.; Pavlou, E.; Pasentsis, K.; Rhoades, J.; Likotrafiti, E.; Argiriou, A. Microbial profiles of Greek PDO cheeses assessed with amplicon metabarcoding. Food Microbiol. 2021, 99, 103836. [Google Scholar] [CrossRef]
- Terzi, A.; Veljovi, K.; Tolina, M.; Milica, Ž.; Popovi, N.; Miljkovi, M.; Koji, M. Diversity of non-starter lactic acid bacteria in autochthonous dairy products from Western Balkan Countries—Technological and probiotic properties. Food Res. Int. 2020, 136. [Google Scholar] [CrossRef]
- Masiello, S.; Martin, N.; Trmčić, A.; Wiedmann, M.; Boor, K. Identification and characterization of psychrotolerant coliform bacteria isolated from pasteurized fluid milk. J. Dairy Sci. 2016, 99, 130–140. [Google Scholar] [CrossRef] [PubMed]
- Quigley, L.; McCarthy, R.; O’Sullivan, O.; Beresford, T.P.; Fitzgerald, G.F.; Ross, R.; Stanton, C.; Cotter, P. The microbial content of raw and pasteurized cow milk as determined by molecular approaches. J. Dairy Sci. 2013, 96, 4928–4937. [Google Scholar] [CrossRef] [PubMed]
- Zheng, J.; Wittouck, S.; Salvetti, E.; Franz, C.M.; Harris, H.M.; Mattarelli, P.; O’Toole, P.W.; Pot, B.; Vandamme, P.; Walter, J.; et al. A taxonomic note on the genus Lactobacillus: Description of 23 novel genera, emended description of the genus Lactobacillus Beijerinck 1901, and union of Lactobacillaceae and Leuconostocaceae. Int. J. Syst. Evol. Microbiol. 2020, 70, 2782–2858. [Google Scholar] [CrossRef]
- Stefanovic, E.; Kilcawley, K.N.; Roces, C.; Rea, M.C.; O’Sullivan, M.; Sheehan, J.J.; McAuliffe, O. Evaluation of the Potential of Lactobacillus paracasei Adjuncts for Flavor Compounds Development and Diversification in Short-Aged Cheddar Cheese. Front. Microbiol. 2018, 9, 1506. [Google Scholar] [CrossRef] [PubMed]
- Otaka, M.; Kikuchi-Hayakawa, H.; Ogura, J.; Ishikawa, H.; Yomogida, Y.; Ota, M.; Hidese, S.; Ishida, I.; Aida, M.; Matsuda, K.; et al. Effect of Lacticaseibacillus paracasei Strain Shirota on Improvement in Depressive Symptoms, and Its Association with Abundance of Actinobacteria in Gut Microbiota. Microorganisms 2021, 9, 1026. [Google Scholar] [CrossRef]
- Teixeira, P. Lactobacillus: Lactobacillus brevis. Encycl. Food Microbiol. Second Ed. 2014, 418–424. [Google Scholar] [CrossRef]
- Ibrahim, S.A. Lactic Acid Bacteria: Lactobacillus spp.: Other Species; Elsevier: Amsterdam, The Netherlands, 2016; ISBN 9780081005965. [Google Scholar]
- Gantzias, C.; Lappa, I.K.; Aerts, M.; Georgalaki, M.; Manolopoulou, E.; Papadimitriou, K.; Brandt, E.D.; Tsakalidou, E.; Vandamme, P. MALDI-TOF MS profiling of non-starter lactic acid bacteria from artisanal cheeses of the Greek island of Naxos. Int. J. Food Microbiol. 2020, 323, 108586. [Google Scholar] [CrossRef] [PubMed]
- Meslier, V.; Loux, V.; Renault, P. Genome sequence of lactococcus raffinolactis strain 4877, isolated from natural dairy starter culture. J. Bacteriol. 2012, 194, 6364. [Google Scholar] [CrossRef] [PubMed][Green Version]
- Cailliez-Grimal, C.; Afzal, M.I.; Revol-Junelles, A.M. Carnobacterium. Encycl. Food Microbiol. 2014, 379–383. [Google Scholar] [CrossRef]
- Martin, N.H.; Trmcic, A.; Hsieh, T.H.; Boor, K.J.; Wiedmann, M. The evolving role of coliforms as indicators of unhygienic processing conditions in dairy foods. Front. Microbiol. 2016, 7, 1–8. [Google Scholar] [CrossRef] [PubMed]
- Martin, N.H.; Boor, K.J.; Wiedmann, M. Symposium review: Effect of post-pasteurization contamination on fluid milk quality. J. Dairy Sci. 2018, 101, 861–870. [Google Scholar] [CrossRef]
- Selover, B.; Johnson, J.; Waite-Cusic, J.G. Population dynamics of coliforms in a commercial Cheddar cheese production facility. J. Dairy Sci. 2021, 104, 7480–7488. [Google Scholar] [CrossRef] [PubMed]
- Nörnberg, M.F.B.L.; Friedrich, R.S.C.; Weiss, R.D.N.; Tondo, E.C.; Brandelli, A. Proteolytic activity among psychrotrophic bacteria isolated from refrigerated raw milk. Int. J. Dairy Technol. 2010, 63, 41–46. [Google Scholar] [CrossRef]
- Tempini, P.N.; Aly, S.S.; Karle, B.M.; Pereira, R.V. Multidrug residues and antimicrobial resistance patterns in waste milk from dairy farms in Central California. J. Dairy Sci. 2018, 101, 8110–8122. [Google Scholar] [CrossRef] [PubMed]
- Cai, L.; Wang, H.; Liang, L.; Wang, G.; Xu, X.; Wang, H. Response of Formed-Biofilm of Enterobacter cloacae, Klebsiella oxytoca, and Citrobacter freundii to Chlorite-Based Disinfectants. J. Food Sci. 2018, 83, 1326–1332. [Google Scholar] [CrossRef]
- Liu, L.; Qin, L.; Hao, S.; Lan, R.; Xu, B.; Guo, Y.; Jiang, R.; Sun, H.; Chen, X.; Lv, X.; et al. Lineage, Antimicrobial Resistance and Virulence of Citrobacter spp. Pathogens 2020, 9, 195. [Google Scholar] [CrossRef] [PubMed]
- Hantsis-Zacharov, E.; Halpern, M. Culturable Psychrotrophic Bacterial Communities in Raw Milk and Their Proteolytic and Lipolytic Traits. Appl. Environ. Microbiol. 2007, 73, 7162–7168. [Google Scholar] [CrossRef] [PubMed]
- Rodríguez-Medina, N.; Barrios-Camacho, H.; Duran-Bedolla, J.; Garza-Ramos, U. Klebsiella variicola: An emerging pathogen in humans. Emerg. Microbes Infect. 2019, 8, 973–988. [Google Scholar] [CrossRef] [PubMed]
- Halder, U.; Banerjee, A.; Biswas, R.; Sharma, A.; Pal, S.; Adhikary, A.; Bandopadhyay, R. Production of prodigiosin by a drug-resistant Serratia rubidaea HB01 isolated from sewage. Environ. Sustain. 2020, 3, 279–287. [Google Scholar] [CrossRef]
- Seng, P.; Boushab, B.M.; Romain, F.; Gouriet, F.; Bruder, N.; Martin, C.; Paganelli, F.; Bernit, E.; Le Treut, Y.P.; Thomas, P.; et al. Emerging role of Raoultella ornithinolytica in human infections: A series of cases and review of the literature. Int. J. Infect. Dis. 2016, 45, 65–71. [Google Scholar] [CrossRef]
- Sun, Q.; Wang, H.; Shu, L.; Dong, N.; Yang, F.; Zhou, H.; Chen, S.; Zhang, R. Leclercia adecarboxylata From Human Gut Flora Carries mcr-4.3 and blaIMP-4-Bearing Plasmids. Front. Microbiol. 2019, 10, 2805. [Google Scholar] [CrossRef] [PubMed]
- Hunter, C.J.; Bean, J.F. Cronobacter: An emerging opportunistic pathogen associated with neonatal meningitis, sepsis and necrotizing enterocolitis. J. Perinatol. 2013, 33, 581–585. [Google Scholar] [CrossRef]
- Milori, E.; Miliori, E.; Gkatsis, I.; Koletti, G.B.; Vogiatzi, A. Infectious Diarrhea with Sepsis Symptoms from Yokenella regensburgei. J. Microbiol. Exp. 2017, 5, 1–3. [Google Scholar] [CrossRef]
- Chou, J.-H.; Chen, W.-M.; Arun, A.B.; Young, C.-C. Trabulsiella odontotermitis sp. nov., isolated from the gut of the termite Odontotermes formosanus Shiraki. Int. J. Syst. Evol. Microbiol. 2007, 57, 696–700. [Google Scholar] [CrossRef] [PubMed]
- Riquelme, C.; Câmara, S.; Dapkevicius, M.D.L.N.E.; Vinuesa, P.; Silva, C.; Malcata, F.; Rego, O. Characterization of the bacterial biodiversity in Pico cheese (an artisanal Azorean food). Int. J. Food Microbiol. 2015, 192, 86–94. [Google Scholar] [CrossRef] [PubMed]
- Lin, Y.-T.; Shieh, W.-Y. Zobellella denitrificans gen. nov., sp. nov. and Zobellella taiwanensis sp. nov., denitrifying bacteria capable of fermentative metabolism. Int. J. Syst. Evol. Microbiol. 2006, 56, 1209–1215. [Google Scholar] [CrossRef] [PubMed]
- Castillo, D.; Vandieken, V.; Engelen, B.; Engelhardt, T.; Middelboe, M. Draft Genome Sequences of Six Vibrio diazotrophicus Strains Isolated from Deep Subsurface Sediments of the Baltic Sea. Genome Announc. 2018, 6, e00081-18. [Google Scholar] [CrossRef]
- Kamilari, E.; Anagnostopoulos, D.A.; Papademas, P.; Efthymiou, M.; Tretiak, S.; Tsaltas, D. Snapshot of Cyprus Raw Goat Milk Bacterial Diversity via 16S rDNA High-Throughput Sequencing; Impact of Cold Storage Conditions. Fermentation 2020, 6, 100. [Google Scholar] [CrossRef]
- Meng, L.; Zhang, Y.; Liu, H.; Zhao, S.; Wang, J.; Zheng, N. Characterization of Pseudomonas spp. and Associated Proteolytic Properties in Raw Milk Stored at Low Temperatures. Front. Microbiol. 2017, 8, 2158. [Google Scholar] [CrossRef] [PubMed]
- Ahmed, R.M.; Ismaiel, A.A.; Zeid, A.A.; Ibrahim, R.A.; Enan, G. Biological characteristics of enteropathogenic Aeromonas species isolated from different Egyptian foods. Biologia 2021, 76, 1577–1586. [Google Scholar] [CrossRef]
- Li, G.; Niu, X.; Yuan, S.; Liang, L.; Liu, Y.; Hu, L.; Liu, J.; Cheng, Z. Emergence of Morganella morganii subsp. morganii in dairy calves, China. Emerg. Microbes Infect. 2018, 7, 1–12. [Google Scholar] [CrossRef]
- Masoud, W.; Vogensen, F.; Lillevang, S.; Abu Al-Soud, W.; Sørensen, S.; Jakobsen, M. The fate of indigenous microbiota, starter cultures, Escherichia coli, Listeria innocua and Staphylococcus aureus in Danish raw milk and cheeses determined by pyrosequencing and quantitative real time (qRT)-PCR. Int. J. Food Microbiol. 2012, 153, 192–202. [Google Scholar] [CrossRef] [PubMed]
- Omaleki, L.; Barber, S.; Allen, J.L.; Browning, G. Mannheimia Species Associated with Ovine Mastitis. J. Clin. Microbiol. 2010, 48, 3419–3422. [Google Scholar] [CrossRef]
- Staley, J.T.; Irgens, R.L.; Brenner, D.J.; Pichinoty, F.; De Barjac, H.; Mandel, M.; Asselineau, J. Enhydrobacter aerosaccus gen. nov., sp. nov., a Gas-Vacuolated, Facultatively Anaerobic, Heterotrophic Rod. Int. J. Syst. Bacteriol. 1987, 37, 289–291. [Google Scholar] [CrossRef]
- Hantsis-Zacharov, E.; Halpern, M. Chryseobacterium haifense sp. nov., a psychrotolerant bacterium isolated from raw milk. Int. J. Syst. Evol. Microbiol. 2007, 57, 2344–2348. [Google Scholar] [CrossRef] [PubMed]
- Quigley, L.; O’Sullivan, O.; Beresford, T.P.; Ross, R.; Fitzgerald, G.F.; Cotter, P.D. High-Throughput Sequencing for Detection of Subpopulations of Bacteria Not Previously Associated with Artisanal Cheeses. Appl. Environ. Microbiol. 2012, 78, 5717–5723. [Google Scholar] [CrossRef] [PubMed]









| Family | Nonstarter Lactic Acid Bacteria Identified | No. of Samples Detected | % Relative Abundance |
|---|---|---|---|
| Carnobacteriaceae | Carnobacterium divergens | 1 | 0.02 |
| Carnobacterium maltaromaticum | 1 | 0.03 | |
| Lactobacillaceae | Lacticaseibacillus casei (former Lactobacillus casei) | 1 | 0.32 |
| Lacticaseibacillus paracasei (Lactobacillus paracasei) | 6 | 0.01–2.48 | |
| Lacticaseibacillus zeae (former Lactobacillus zeae) | 4 | 0.01–0.38 | |
| Lactobacillus helveticus | 1 | 0.04 | |
| Latilactobacillus curvatus (former Lactobacillus curvatus) | 2 | 0.01–0.02 | |
| Latilactobacillus graminis (former Lactobacillus graminis) | 1 | 0.02 | |
| Latilactobacillus sakei (former Lactobacillus sakei) | 1 | 0.03 | |
| Leuconostoc lactis | 1 | 0.02 | |
| Leuconostoc pseudomesenteroides | 1 | 0.02 | |
| Levilactobacillus brevis (former Lactobacillus brevis) | 4 | 0.01–0.07 | |
| Limosilactobacillus fermentum (former Lactobacillus fermentum) | 1 | 0.01 | |
| Pediococcus parvulus | 2 | 0.01–0.057 | |
| Streptococcaceae | Lactococcus piscium | 6 | 0.03–0.72 |
| Lactococcus raffinolactis | 8 | 0.05–0.67 | |
| Streptococcus gallolyticus | 1 | 0.01 | |
| Streptococcus parauberis | 1 | 0.05 | |
| Streptococcus salivarius | 1 | 0.01 | |
| Streptococcus uberis | 5 | 0.09–0.16 | |
| Streptococcus vestibularis | 2 | 0.01–0.04 |
Publisher’s Note: MDPI stays neutral with regard to jurisdictional claims in published maps and institutional affiliations. |
© 2021 by the authors. Licensee MDPI, Basel, Switzerland. This article is an open access article distributed under the terms and conditions of the Creative Commons Attribution (CC BY) license (https://creativecommons.org/licenses/by/4.0/).
Share and Cite
Papadakis, P.; Konteles, S.; Batrinou, A.; Ouzounis, S.; Tsironi, T.; Halvatsiotis, P.; Tsakali, E.; Van Impe, J.F.M.; Vougiouklaki, D.; Strati, I.F.; et al. Characterization of Bacterial Microbiota of P.D.O. Feta Cheese by 16S Metagenomic Analysis. Microorganisms 2021, 9, 2377. https://doi.org/10.3390/microorganisms9112377
Papadakis P, Konteles S, Batrinou A, Ouzounis S, Tsironi T, Halvatsiotis P, Tsakali E, Van Impe JFM, Vougiouklaki D, Strati IF, et al. Characterization of Bacterial Microbiota of P.D.O. Feta Cheese by 16S Metagenomic Analysis. Microorganisms. 2021; 9(11):2377. https://doi.org/10.3390/microorganisms9112377
Chicago/Turabian StylePapadakis, Panagiotis, Spyros Konteles, Anthimia Batrinou, Sotiris Ouzounis, Theofania Tsironi, Panagiotis Halvatsiotis, Efstathia Tsakali, Jan F. M. Van Impe, Despina Vougiouklaki, Irini F. Strati, and et al. 2021. "Characterization of Bacterial Microbiota of P.D.O. Feta Cheese by 16S Metagenomic Analysis" Microorganisms 9, no. 11: 2377. https://doi.org/10.3390/microorganisms9112377
APA StylePapadakis, P., Konteles, S., Batrinou, A., Ouzounis, S., Tsironi, T., Halvatsiotis, P., Tsakali, E., Van Impe, J. F. M., Vougiouklaki, D., Strati, I. F., & Houhoula, D. (2021). Characterization of Bacterial Microbiota of P.D.O. Feta Cheese by 16S Metagenomic Analysis. Microorganisms, 9(11), 2377. https://doi.org/10.3390/microorganisms9112377

