Sulfur Oxygenase Reductase (Sor) in the Moderately Thermoacidophilic Leaching Bacteria: Studies in Sulfobacillus thermosulfidooxidans and Acidithiobacillus caldus
Abstract
:1. Introduction
2. Materials and Methods
2.1. Strains Used in This Study
2.2. Molecular Biology Techniques
| Primer | Sequence 5ʹ→3ʹ | Target Gene | Amplicon Size | References |
|---|---|---|---|---|
| 16s_27fw | agagtttgatcctggctcag | 16S rDNA | ~1.5 kb | Lane et al. 1991 [46] |
| 16s_1492rv | gcctaccttgttacgactt | Bacteria | ||
| Arch25F | cyggttgatcctgccrg | 18S rDNA | ~1.5 kb | Achenbach and Woese 1995 [47] |
| Arch1492R | tacggytaccttgttacgactt | Archaea | ||
| sorC1-F | Gtiggiccnaargtntgy * | Sor | ~230 bp | Chen et al. 2007 [41] |
| sorH1-R | rtgcatntcytcrtgrtc | |||
| bsor_1F | gtccttcgagaccatgatgmargtnggncc | bacterialsor (CODEHOP) | ~800 bp | This study |
| bsor_2R | ccgccactgggcctsytccatcatng | |||
| PCJ2_for | caggcctcccagcaggtnggnccnaa | sor(CODEHOP) | 840 bp | This study |
| PCJ3_rev | ctcccgccatgaggtgtcctccatnayngg | |||
| SULFO170F | caatcccgcatacgttcc | 16S rDNA | 436 bp | De Wulf-Durand et al. 1997 [45] |
| SULFO606R | aaaccgctacgtatcgcac | Sulfobacillus spp. | ||
| CALD460F | atccgaatacggtctgcta | 16S rDNA | ~1 kb | De Wulf-Durand et al. 1997 [45] |
| CALD1475R | tataccgtggtcgtcgcc | At. caldus | ||
| THIO458F | gggtgctaatawcgcctgctg | 16S rDNA | ~1 kb | De Wulf-Durand et al. 1997 [45] |
| THIO1473R | taccgtggtcatcgccct | At. thiooxidans | ||
| LEPTO176F | cgaatagtatccggttccg | 16S rDNA | 503 bp | De Wulf-Durand et al. 1997 [45] |
| LEPTO679R | aaattccgcttccctctcc | Leptospirillumspp. | ||
| FERRO458F | gggttctaatacaatctgct | 16S rDNA | ~1 kb | De Wulf-Durand et al. 1997 [45] |
| FERRO1473 | taccgtggtaaccgccct | At. ferrooxidans | ||
| T7 | taatacgactcactataggg | Promoterregions | 158 bp | Promega® pGEM-T vector manual |
| SP6 | atttaggtgacactatagaa | in pGEM®-T vector |
2.3. Bioinformatics and Phylogeny Analyses
2.4. Cell Harvest and Preparation of Cell-Free Extracts
2.5. Sor Enzyme Assays
2.6. Determination of Thiosulfate, Sulfite, Sulfate and Sulfide
3. Results
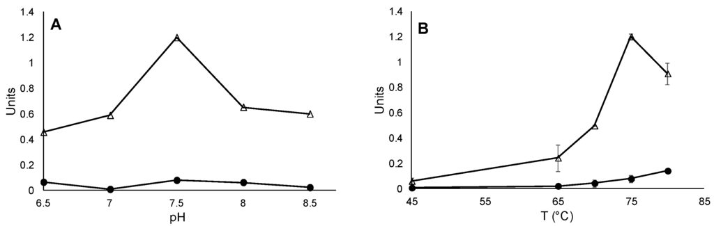
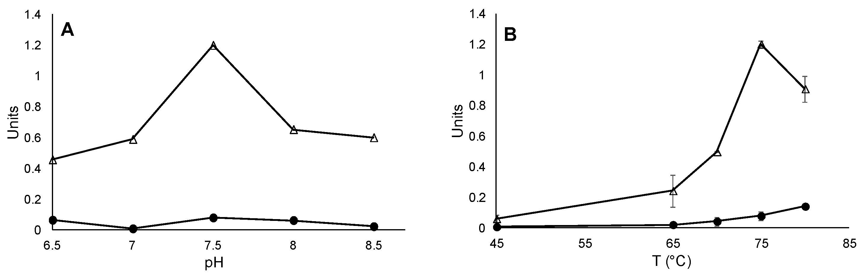
3.1. Sor Activity in Sb. Thermosulfidooxidans

3.2. Genes Probably Involved in RISC Metabolism of Sb. Thermosulfidooxidans
3.3. Does At. caldus Possess an Active Sor Enzyme?
| Locus_Tag | Protein Annotation | Homologous in At. caldus | BlastP Identity |
|---|---|---|---|
| Sulth_0548 | FAD-dependent pyridine nucleotide-disulfideoxidoreductase | Sqr_1 (WP_004871912) | 65% |
| Sulth_0580 | FAD-dependentpyridinenucleotide-disulfideoxidoreductase | Sqr_1 (WP_004871912) | 58% |
| Sulth_0921 | Pyrrolo-quinolinequinone repeat-containing protein | Tetrathionate hydrolase WP_004873216.1 | 40% |
| Sulth_0946 | FAD-dependentpyridinenucleotide-disulfideoxidoreductase | Sulfidequinoneoxidorreductase Sqr_1 (WP_004871912) | 62% |
| Sulth_1021 | Heterodisulfidereductase, subunit C | Heterodisulfidereductase, subunit C HdrC (WP_038472248.1) | 52% |
| Sulth_1022 | Heterodisulfidereductase, subunit B | Heterodisulfidereductase, subunit B HdrB (WP_051620817.1) | 59% |
| Sulth_1023 | FAD-dependent pyridine nucleotide-disulphide oxidoreductase | pyridinenucleotide-disulfideoxidoreductase (WP_004868630.1) | 41% |
| Sulth_1024 | Hypotheticalprotein | Hypotheticalprotein (WP_004868631.1) | 30% |
| Sulth_1025 | Iron-sulfur cluster-binding protein | Heterodisulfidereductase, subunit C HdrC(WP_004868632.1) | 32% |
| Sulth_1026 | unknown function DUF224 cysteine-rich region domain protein | Heterodisulfidereductase, subunitB HdrB (WP_004868633.1) | 38% |
| Sulth_1046 | DsrEfamilyprotein | Disulfidereductase(WP_004868633.1) | 31% |
| Sulth_1188 | Pyrrolo-quinolinequinone repeat-containing protein | Tetrathionate hydrolase (WP_004873216.1) | 31% |
| Sulth_1355 | Adenylyl-sulfate kinase | Adenylyl sulfate kinase (WP_004868315.1) | 40% |
| Sulth_1366 | Sulfate adenylyltransferrase | Adenylyl sulfate kinase (WP_004868315.1) | 39% |
| Sulth_1433 | Sulfate adenylyltransferrase | Adenylyl sulfate kinase (WP_004868315.1) | 38% |
| Sulth_1435 | Sulfate adenylyltransferrase | Adenylyl sulfate kinase (WP_004868315.1) | 44% |
| Sulth_1627 | Sulfuroxygenasereductase | Sulfuroxygenasereductase (WP_004871908.1) | 48% |
| Sulth_1680 | Rhodanese like protein | Sulfur transferase(WP_004872361.1) | 32% |
| Sulth_1689 | Tqo small subunit DoxD domain-containing | Quinol oxidase (WP_004873215.1) | 34% |
| Sulth_1798 | Sulfuroxygenasereductase | Sulfur transferase(WP_004872361.1) | 47% |
| Sulth_1878 | Rhodanese-likeprotein | Sulfurtransferase(WP_004872361.1) | 29% |
| Sulth_2335 | Rhodanese-likeprotein | Sulfurtransferase(WP_004868554.1) | 35% |
| Sulth_2366 | Nitratereductase | Formate dehydrogenase (WP_004868564.1) | 50% |
| Sulth_2367 | Sulfur reductase beta subunit | Ferredoxin (WP_004868562.1) | 55% |
| Sulth_2368 | DMSO reductase anchor subunit | dimethyl sulfoxidereductase subunit C (WP_004872154.1) | 27% |
| Sulth_2770 | Heterodisulfidereductase, subunit C | Heterodisulfidereductasesubunit C (WP_038472248.1) | 47% |
| Sulth_2771 | Heterodisulfidereductase, subunit B | Heterodisulfidereductasesubunit B (WP_051620815.1) | 50% |
| Sulth_2772 | FAD-dependent pyridine nucleotide-disulphide oxidoreductase | Pyridinenucleotide-disulfideoxidoreductase(WP_004868887.1) | 42% |
| Sulth_3040 | Rhodanese-likeprotein | Sulfurtransferase(WP_004872361.1) | 30% |
| Sulth_3251 | Pyrrolo-quinolinequinone repeat-containing protein | Tetrathionate hydrolase (WP_004873216.1) | 54% |
| Sulth_3294 | Rhodanese-likeprotein | Sulfurtransferase(WP_004872361.1) | 31% |

4. Discussion
5. Conclusions
Supplementary Files
Supplementary File 1Acknowledgments
Author Contributions
Conflicts of Interest
References
- Rawlings, D.E.; Johnson, D.B. The microbiology of biomining: Development and optimization of mineral-oxidizing microbial consortia. Microbiology 2007, 153, 315–324. [Google Scholar] [PubMed]
- Vera, M.; Schippers, A.; Sand, W. Progress in bioleaching: Fundamentals and mechanisms of bacterial metal sulfide oxidation-part A. Appl. Microbiol. Biotechnol. 2013, 97, 7529–7541. [Google Scholar] [CrossRef] [PubMed]
- Brierley, C.L.; Brierley, J.A. Progress in bioleaching: Part B: Applications of microbial processes by the minerals industries. Appl. Microbiol. Biotechnol. 2013, 97, 7543–7552. [Google Scholar] [CrossRef] [PubMed]
- Norris, P.R.; Clark, D.A.; Owen, J.P.; Waterhouse, S. Characteristics of Sulfobacillus acidophilus sp. nov. and other moderately thermophilic mineral-sulphide-oxidizing bacteria. Microbiology 1996, 142, 775–783. [Google Scholar] [CrossRef] [PubMed]
- Karavaiko, G.I.; Krasil’nikova, E.N.; Tsaplina, I.A.; Bogdanova, T.I.; Zakharchuk, L.M. Growth and carbohydrate metabolism of Sulfobacilli. Mikrobiologiia 2001, 70, 293–299. [Google Scholar] [PubMed]
- Travisany, D.; di Genova, A.; Sepulveda, A.; Bobadilla-Fazzini, R.A.; Parada, P.; Maass, A. Draft genome sequence of the Sulfobacillus thermosulfidooxidans cutipay strain, an indigenous bacterium isolated from a naturally extreme mining environment in northern chile. J. Bacteriol. 2012, 194, 6327–6328. [Google Scholar] [CrossRef] [PubMed]
- Anderson, I.; Chertkov, O.; Chen, A.; Saunders, E.; Lapidus, A.; Nolan, M.; Lucas, S.; Hammon, N.; Deshpande, S.; Cheng, J.F.; et al. Complete genome sequence of the moderately thermophilic mineral-sulfide-oxidizing firmicute Sulfobacillus acidophilus type strain Nal(T). Stand. Genomic Sci. 2013, 6, 1–13. [Google Scholar]
- Li, B.; Chen, Y.; Liu, Q.; Hu, S.; Chen, X. Complete genome analysis of Sulfobacillus acidophilus strain Tpy, isolated from a hydrothermal vent in the pacific ocean. J. Bacteriol. 2011, 193, 5555–5556. [Google Scholar] [CrossRef] [PubMed]
- Hallberg, K.B.; Lindstrom, E.B. Characterization of Thiobacillus caldus sp. nov., a moderately thermophilic acidophile. Microbiology 1994, 140, 3451–3456. [Google Scholar] [CrossRef] [PubMed]
- Okibe, N.; Johnson, D.B. Biooxidation of pyrite by defined mixed cultures of moderately thermophilic acidophiles in pH-controlled bioreactors: Significance of microbial interactions. Biotechnol. Bioeng. 2004, 87, 574–583. [Google Scholar] [CrossRef] [PubMed]
- Dopson, M.; Lindstrom, E.B. Analysis of community composition during moderately thermophilic bioleaching of pyrite, arsenical pyrite, and chalcopyrite. Microb. Ecol. 2004, 48, 19–28. [Google Scholar] [CrossRef] [PubMed]
- Valdes, J.; Quatrini, R.; Hallberg, K.; Dopson, M.; Valenzuela, P.D.; Holmes, D.S. Draft genome sequence of the extremely acidophilic bacterium Acidithiobacillus caldus ATCC 51756 reveals metabolic versatility in the genus Acidithiobacillus. J. Bacteriol. 2009, 191, 5877–5878. [Google Scholar] [CrossRef] [PubMed]
- You, X.Y.; Guo, X.; Zheng, H.J.; Zhang, M.J.; Liu, L.J.; Zhu, Y.Q.; Zhu, B.; Wang, S.Y.; Zhao, G.P.; Poetsch, A.; et al. Unraveling the Acidithiobacillus caldus complete genome and its central metabolisms for carbon assimilation. J. Genet. Genomics 2011, 38, 243–252. [Google Scholar] [CrossRef] [PubMed]
- Kletzin, A. Coupled enzymatic production of sulfite, thiosulfate, and hydrogen sulfide from sulfur: Purification and properties of a sulfur oxygenase reductase from the facultatively anaerobic archaebacterium Desulfurolobus ambivalens. J. Bacteriol. 1989, 171, 1638–1643. [Google Scholar] [PubMed]
- Urich, T.; Gomes, C.M.; Kletzin, A.; Frazao, C. X-ray structure of a self-compartmentalizing sulfur cycle metalloenzyme. Science 2006, 311, 996–1000. [Google Scholar] [CrossRef] [PubMed]
- Kletzin, A.; Urich, T.; Müller, F.; Bandeiras, T.M.; Gomes, C.M. Dissimilatory oxidation and reduction of elemental sulfur in thermophilic archaea. J. Bioenerg. Biomembr. 2004, 36, 77–91. [Google Scholar] [CrossRef] [PubMed]
- Urich, T.; Bandeiras, T.M.; Leal, S.S.; Rachel, R.; Albrecht, T.; Zimmermann, P.; Scholz, C.; Teixeira, M.; Gomes, C.M.; Kletzin, A. The sulphur oxygenase reductase from Acidianus ambivalens is a multimeric protein containing a low-potential mononuclear non-haem iron centre. Biochem. J. 2004, 381, 137–146. [Google Scholar] [CrossRef] [PubMed]
- Sun, C.W.; Chen, Z.W.; He, Z.G.; Zhou, P.J.; Liu, S.J. Purification and properties of the sulfur oxygenase/reductase from the acidothermophilic archaeon, Acidianus strain s5. Extremophiles 2003, 7, 131–134. [Google Scholar] [PubMed]
- Pelletier, N.; Leroy, G.; Guiral, M.; Giudici-Orticoni, M.T.; Aubert, C. First characterisation of the active oligomer form of sulfur oxygenase reductase from the bacterium Aquifex aeolicus. Extremophiles 2008, 12, 205–215. [Google Scholar] [CrossRef] [PubMed]
- Veith, A.; Botelho, H.M.; Kindinger, F.; Gomes, C.M.; Kletzin, A. The sulfur oxygenase reductase from the mesophilic bacterium Halothiobacillus neapolitanus is a highly active thermozyme. J. Bacteriol. 2012, 194, 677–685. [Google Scholar] [CrossRef] [PubMed]
- Kappler, U.; Dahl, C. Enzymology and molecular biology of prokaryotic sulfite oxidation. FEMS Microbiol. Lett. 2001, 203, 1–9. [Google Scholar] [CrossRef] [PubMed]
- Muller, F.H.; Bandeiras, T.M.; Urich, T.; Teixeira, M.; Gomes, C.M.; Kletzin, A. Coupling of the pathway of sulphur oxidation to dioxygen reduction: Characterization of a novel membrane-bound thiosulphate:quinone oxidoreductase. Mol. Microbiol. 2004, 53, 1147–1160. [Google Scholar] [CrossRef] [PubMed]
- Valenzuela, L.; Chi, A.; Beard, S.; Orell, A.; Guiliani, N.; Shabanowitz, J.; Hunt, D.F.; Jerez, C.A. Genomics, metagenomics and proteomics in biomining microorganisms. Biotechnol. Adv. 2006, 24, 197–211. [Google Scholar] [CrossRef] [PubMed]
- Mangold, S.; Valdes, J.; Holmes, D.S.; Dopson, M. Sulfur metabolism in the extreme acidophile Acidithiobacillus caldus. Front Microbiol 2011, 2, 17. [Google Scholar] [CrossRef] [PubMed]
- Bugaytsova, Z.; Lindstrom, E.B. Localization, purification and properties of a tetrathionate hydrolase from Acidithiobacillus caldus. Eur. J. Biochem. 2004, 271, 272–280. [Google Scholar] [CrossRef] [PubMed]
- Protze, J.; Muller, F.; Lauber, K.; Nass, B.; Mentele, R.; Lottspeich, F.; Kletzin, A. An extracellular tetrathionate hydrolase from the thermoacidophilic archaeon Acidianus ambivalens with an activity optimum at pH 1. Front. Microbiol. 2011, 2, 68. [Google Scholar] [CrossRef] [PubMed]
- Zimmermann, P.; Laska, S.; Kletzin, A. Two modes of sulfite oxidation in the extremely thermophilic and acidophilic archaeon Acidianus ambivalens. Arch. Microbiol. 1999, 172, 76–82. [Google Scholar] [CrossRef] [PubMed]
- Wakai, S.; Kikumoto, M.; Kanao, T.; Kamimura, K. Involvement of sulfide:quinone oxidoreductase in sulfur oxidation of an acidophilic iron-oxidizing bacterium, Acidithiobacillus ferrooxidans NASF-1. Biosci. Biotechnol. Biochem. 2004, 68, 2519–2528. [Google Scholar] [CrossRef] [PubMed]
- Brasseur, G.; Levican, G.; Bonnefoy, V.; Holmes, D.; Jedlicki, E.; Lemesle-Meunier, D. Apparent redundancy of electron transfer pathways via bc(1) complexes and terminal oxidases in the extremophilic chemolithoautotrophic Acidithiobacillus ferrooxidans. Biochim. Biophys. Acta 2004, 1656, 114–126. [Google Scholar] [CrossRef] [PubMed]
- Brito, J.A.; Sousa, F.L.; Stelter, M.; Bandeiras, T.M.; Vonrhein, C.; Teixeira, M.; Pereira, M.M.; Archer, M. Structural and functional insights into sulfide:quinone oxidoreductase. Biochemistry 2009, 48, 5613–5622. [Google Scholar] [CrossRef] [PubMed]
- Friedrich, C.G.; Quentmeier, A.; Bardischewsky, F.; Rother, D.; Orawski, G.; Hellwig, P.; Fischer, J. Redox control of chemotrophic sulfur oxidation of Paracoccus pantotrophus. In Microbial Sulfur Metabolism; Dahl, C., Friedrich, C.G., Eds.; Springer: Berlin, Germany, 2008; pp. 139–150. [Google Scholar]
- Friedrich, C.G.; Rother, D.; Bardischewsky, F.; Quentmeier, A.; Fischer, J. Oxidation of reduced inorganic sulfur compounds by bacteria: Emergence of a common mechanism? Appl. Environ. Microbiol. 2001, 67, 2873–2882. [Google Scholar] [CrossRef] [PubMed]
- Welte, C.; Hafner, S.; Kratzer, C.; Quentmeier, A.; Friedrich, C.G.; Dahl, C. Interaction between sox proteins of two physiologically distinct bacteria and a new protein involved in thiosulfate oxidation. FEBS Lett. 2009, 583, 1281–1286. [Google Scholar] [CrossRef] [PubMed]
- Liljeqvist, M.; Valdes, J.; Holmes, D.S.; Dopson, M. Draft genome of the psychrotolerant acidophile Acidithiobacillus ferrivoransSS3. J. Bacteriol. 2011, 193, 4304–4305. [Google Scholar] [CrossRef] [PubMed]
- Bardischewsky, F.; Quentmeier, A.; Rother, D.; Hellwig, P.; Kostka, S.; Friedrich, C.G. Sulfur dehydrogenase of Paracoccus pantotrophus: The Heme-2 domain of the molybdoprotein cytochrome C complex is dispensable for catalytic activity. Biochemistry 2005, 44, 7024–7034. [Google Scholar] [CrossRef] [PubMed]
- Quatrini, R.; Appia-Ayme, C.; Denis, Y.; Jedlicki, E.; Holmes, D.S.; Bonnefoy, V. Extending the models for iron and sulfur oxidation in the extreme acidophile Acidithiobacillus ferrooxidans. BMC Genomics 2009, 10, 394. [Google Scholar] [CrossRef] [PubMed]
- Rohwerder, T.; Sand, W. The sulfane sulfur of persulfides is the actual substrate of the sulfur-oxidizing enzymes from Acidithiobacillus and Acidiphilium spp. Microbiology 2003, 149, 1699–1710. [Google Scholar] [CrossRef] [PubMed]
- Wang, H.; Liu, S.; Liu, X.; Li, X.; Wen, Q.; Lin, J. Identification and characterization of an ethe1-like sulfur dioxygenase in extremely acidophilic Acidithiobacillus spp. Appl. Microbiol. Biotechnol. 2014, 98, 7511–7522. [Google Scholar] [CrossRef] [PubMed]
- Acosta, M.; Beard, S.; Ponce, J.; Vera, M.; Mobarec, J.C.; Jerez, C.A. Identification of putative sulfurtransferase genes in the extremophilic Acidithiobacillus ferrooxidans ATCC 23270 genome: Structural and functional characterization of the proteins. Omics 2005, 9, 13–29. [Google Scholar] [CrossRef] [PubMed]
- Janosch, C.; Thyssen, C.; Vera, M.; Bonnefoy, V.; Rohwerder, T.; Sand, W. Sulfur oxygenase reductase in different Acidithiobacillus caldus-like strains. Adv. Mater. Res. 2009, 71–73, 239–242. [Google Scholar] [CrossRef]
- Chen, Z.W.; Liu, Y.Y.; Wu, J.F.; She, Q.; Jiang, C.Y.; Liu, S.J. Novel bacterial sulfur oxygenase reductases from bioreactors treating gold-bearing concentrates. Appl. Microbiol. Biotechnol. 2007, 74, 688–698. [Google Scholar] [CrossRef] [PubMed]
- Rawlings, D.E.; Coram, N.J.; Gardner, M.N.; Deane, S.M. Thiobacillus caldus and Leptospirillum ferrooxidans are widely distributed in continuous—Flow biooxidation tanks used to treat a variety of metal-containing ores and concentrates. In Biohydrometallurgy and the Environment toward the Mining of the 21st Century; Part, A., Amils, R., Ballester, A., Eds.; Elsevier Press: Amsterdam, The Netherland, 1999; pp. 777–786. [Google Scholar]
- Mackintosh, M. Nitrogen fixation by Thiobacillus ferrooxidans. J. Gen. Microbiol. 1978, 105, 215–218. [Google Scholar] [CrossRef]
- Aljanabi, S.M.; Martinez, I. Universal and rapid salt-extraction of high quality genomic DNA for PCR-based techniques. Nucleic Acids Res. 1997, 25, 4692–4693. [Google Scholar] [CrossRef] [PubMed]
- De Wulf-Durand, P.; Bryant, L.J.; Sly, L.I. PCR-mediated detection of acidophilic, bioleaching-associated bacteria. Appl. Environ. Microbiol. 1997, 63, 2944–2948. [Google Scholar] [PubMed]
- Lane, D.J. 16s/23s rRNA sequencing. In Nucleic Acid Techniques in Bacterial Systematics; Stackebrandt, E., Goodfellow, M., Eds.; John Wiley & Sons: Chichester, UK, 1991; pp. 115–175. [Google Scholar]
- Achenbach, L.; Woese, C. 16s and 23s rRNA-like primers. In A Laboratory Manual Archaea; Sowers, R., Schreier, H.J., Eds.; Cold Spring Harbor Laboratory Press: Cold Spring Harbor, NY, USA, 1995; pp. 521–523. [Google Scholar]
- Rose, T.M.; Henikoff, J.G.; Henikoff, S. CODEHOP (Consensus-Degenerate Hybrid Oligonucleotide Primer) PCR primer design. Nucleic Acids Res. 2003, 31, 3763–3766. [Google Scholar] [CrossRef] [PubMed]
- Higgins, D.G. ClustalW: Multiple alignment of DNA and protein sequences. Methods Mol. Biol. 1994, 25, 307–318. [Google Scholar] [PubMed]
- Edgar, R.C. Muscle: Multiple sequence alignment with high accuracy and high throughput. Nucleic Acids Res. 2004, 32, 1792–1797. [Google Scholar] [CrossRef] [PubMed]
- Tamura, K.; Peterson, D.; Peterson, N.; Stecher, G.; Nei, M.; Kumar, S. Mega5: Molecular evolutionary genetics analysis using maximum likelihood, evolutionary distance, and maximum parsimony methods. Mol. Biol. Evol. 2011, 28, 2731–2739. [Google Scholar] [CrossRef] [PubMed]
- Bradford, M.M. A rapid and sensitive method for the quantitation of microgram quantities of protein utilizing the principle of protein-dye binding. Anal. Biochem. 1976, 72, 248–254. [Google Scholar] [CrossRef]
- Weiß, J. Anionenaustauch Cromatographie, Kapitel 3. In Ionenchromatographie; VCH, Verlagsgesellschaft mbH: Weinheim, Germany, 1991; pp. 32–174. [Google Scholar]
- Wasserchemische Gesellschaft, Fachgruppe in der GDCh; Gemeinschaft mit dem Normenausschuss Wasserwesen (NAW) im DIN e.V. Teil 26, Photometrische Bestimmung des gelösten Sulfids, Normenausschluß Wasserwesen. In Deutsche Einheitsverfahren zur Wasser-, Abwasser- und Schlammuntersuchung: 95 Lieferung; Wiley-VCH Verlag GmbH: Weinheim, Germany, 2015. [Google Scholar]
- Bathe, S.; Norris, P.R. Ferrous iron- and sulfur-induced genes in Sulfolobus metallicus. Appl. Environ. Microbiol. 2007, 73, 2491–2497. [Google Scholar] [CrossRef] [PubMed]
- Krasil’nikova, E.N.; Tsaplina, I.A.; Zakharchuk, L.M.; Bogdanova, T.I. Effects of exogenous factors on the activity of enzymes involved in carbon metabolism in thermoacidophilic bacteria of the genus Sulfobacillus. Prikl. Biokhim. Mikrobiol. 2001, 37, 418–423. [Google Scholar] [PubMed]
- Vera, M.; Krok, B.; Bellenberg, S.; Sand, W.; Poetsch, A. Shotgun proteomics study of early biofilm formation process of Acidithiobacillus ferrooxidans ATCC 23270 on pyrite. Proteomics 2013, 13, 1133–1144. [Google Scholar] [CrossRef] [PubMed]
- Justice, N.B.; Norman, A.; Brown, C.T.; Singh, A.; Thomas, B.C.; Banfield, J.F. Comparison of environmental and isolate Sulfobacillus genomes reveals diverse carbon, sulfur, nitrogen, and hydrogen metabolisms. BMC Genomics 2014, 15, 1107. [Google Scholar] [CrossRef] [PubMed]
- Urich, T.; Kroke, A.; Bauer, C.; Seyfarth, K.; Reuff, M.; Kletzin, A. Identification of core active site residues of the sulfur oxygenase reductase from Acidianus ambivalens by site-directed mutagenesis. FEMS Microbiol. Lett. 2005, 248, 171–176. [Google Scholar] [CrossRef] [PubMed][Green Version]
- Janosch, C.; Vera, M. Biofilm Centre, Universität Duisburg-Essen: Essen, Germany, Unpublished work. 2014.
- Mangold, S.; Rao Jonna, V.; Dopson, M. Response of Acidithiobacillus caldus toward suboptimal pH conditions. Extremophiles 2013, 17, 689–696. [Google Scholar] [CrossRef] [PubMed]
- Chen, L.; Ren, Y.; Lin, J.; Liu, X.; Pang, X. Acidithiobacillus caldus sulfur oxidation model based on transcriptome analysis between the wild type and sulfur oxygenase reductase defective mutant. PLoS ONE 2012, 7, e39470. [Google Scholar] [CrossRef] [PubMed]
© 2015 by the authors; licensee MDPI, Basel, Switzerland. This article is an open access article distributed under the terms and conditions of the Creative Commons Attribution license (http://creativecommons.org/licenses/by/4.0/).
Share and Cite
Janosch, C.; Remonsellez, F.; Sand, W.; Vera, M. Sulfur Oxygenase Reductase (Sor) in the Moderately Thermoacidophilic Leaching Bacteria: Studies in Sulfobacillus thermosulfidooxidans and Acidithiobacillus caldus. Microorganisms 2015, 3, 707-724. https://doi.org/10.3390/microorganisms3040707
Janosch C, Remonsellez F, Sand W, Vera M. Sulfur Oxygenase Reductase (Sor) in the Moderately Thermoacidophilic Leaching Bacteria: Studies in Sulfobacillus thermosulfidooxidans and Acidithiobacillus caldus. Microorganisms. 2015; 3(4):707-724. https://doi.org/10.3390/microorganisms3040707
Chicago/Turabian StyleJanosch, Claudia, Francisco Remonsellez, Wolfgang Sand, and Mario Vera. 2015. "Sulfur Oxygenase Reductase (Sor) in the Moderately Thermoacidophilic Leaching Bacteria: Studies in Sulfobacillus thermosulfidooxidans and Acidithiobacillus caldus" Microorganisms 3, no. 4: 707-724. https://doi.org/10.3390/microorganisms3040707
APA StyleJanosch, C., Remonsellez, F., Sand, W., & Vera, M. (2015). Sulfur Oxygenase Reductase (Sor) in the Moderately Thermoacidophilic Leaching Bacteria: Studies in Sulfobacillus thermosulfidooxidans and Acidithiobacillus caldus. Microorganisms, 3(4), 707-724. https://doi.org/10.3390/microorganisms3040707

