Short-Term Fertilization with the Nitrogen-Fixing Bacterium (NFB) Kosakonia radicincitans GXGL-4A Agent Can Modify the Transcriptome Expression Profiling of Cucumber (Cucumis sativus L.) Root
Abstract
1. Introduction
2. Materials and Methods
2.1. Cucumber Cultivar and NFB Strain
2.2. Cucumber Culture System
2.3. Treatments of Cucumber Seedlings
2.4. Library Preparation and Illumina HiSeq XTen/NovaSeq 6000 Sequencing
2.5. Read Mapping
2.6. Differential Expression Analysis and Functional Enrichment
2.7. The qRT-PCR Analysis of Functional Genes in Cucumber Root
2.8. Statistical Analysis
3. Results
3.1. Illumina RNA Sequencing (RNA-Seq) and Sequence Assembly
3.2. Expression Level Analysis of C. sativus Unigenes and Transcripts
3.3. Variation in Gene Expression Among Groups
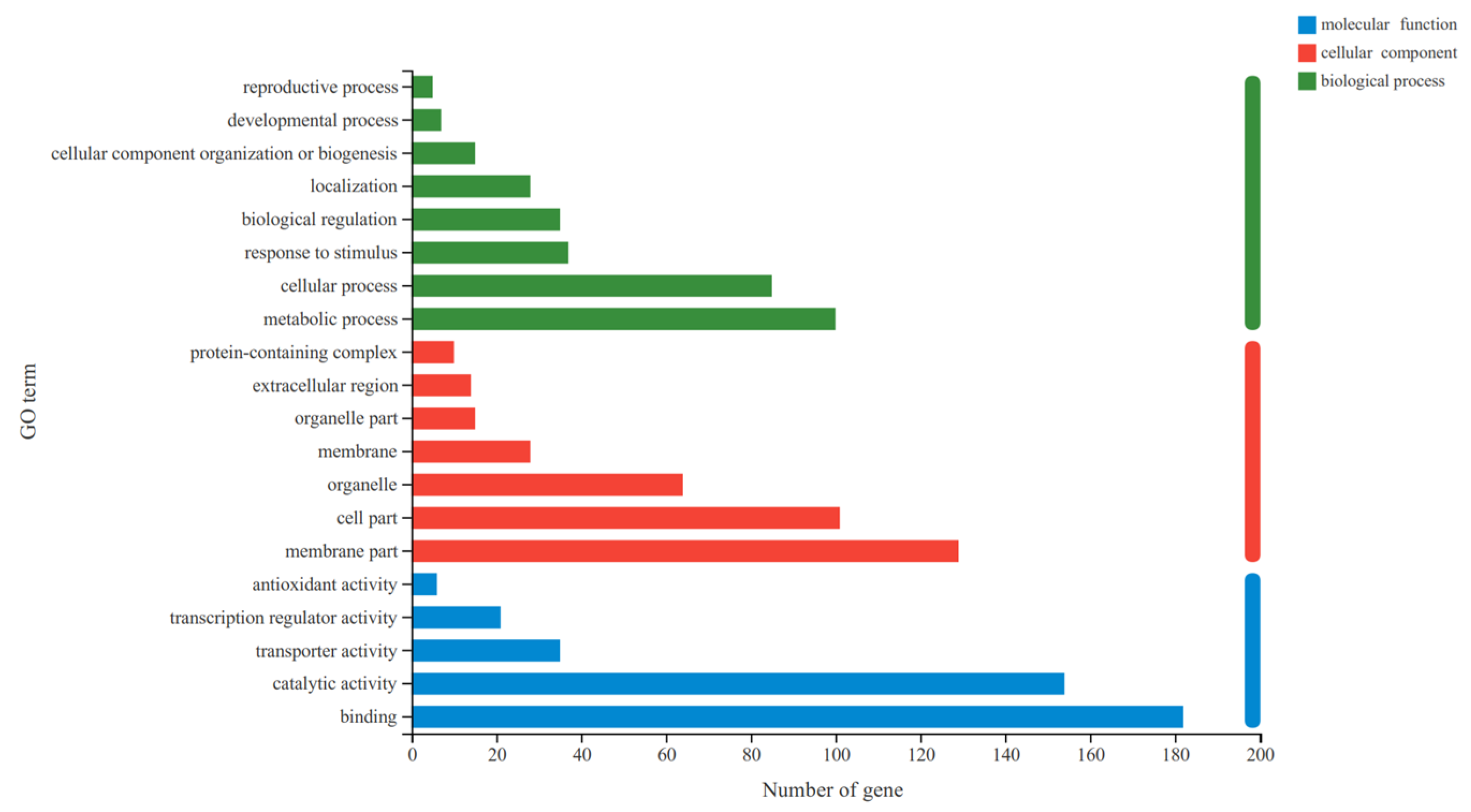
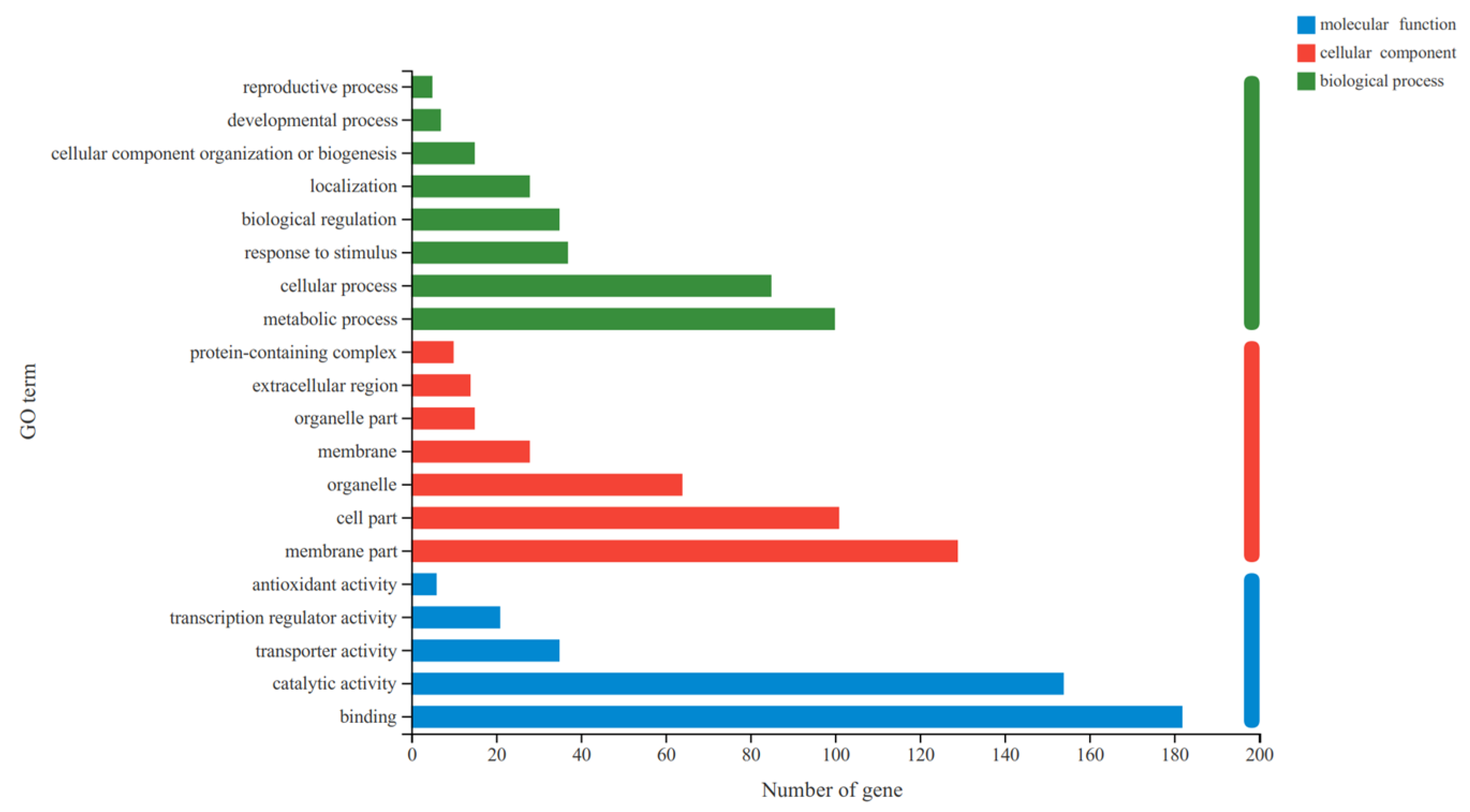
3.4. GO Functional Classification of the DEGs
3.5. Functional Classification of C. sativus DEGs by COG
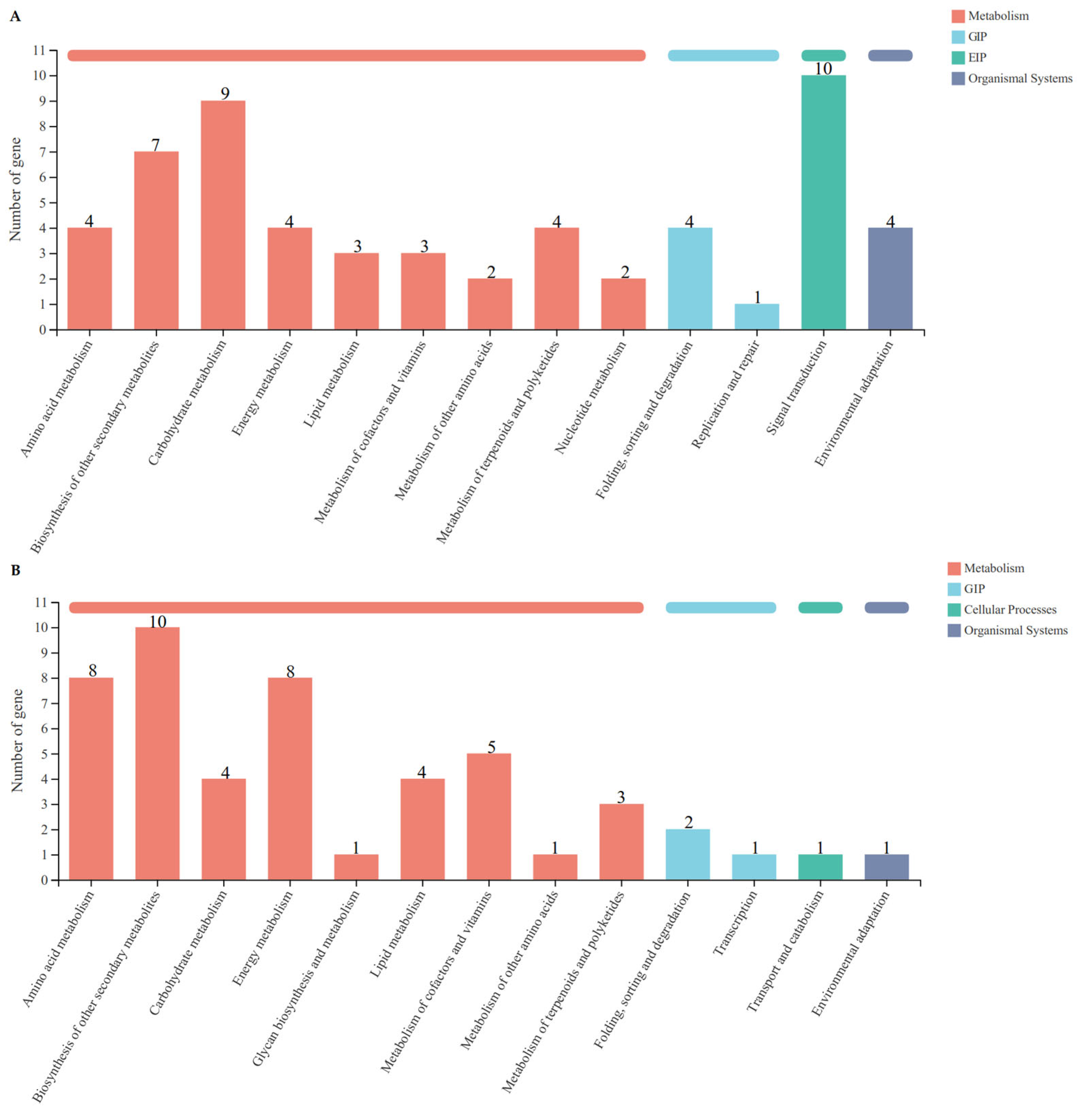
3.6. Functional Classification of C. sativus DEGs by KEGG Pathway Analysis
3.7. GO Enrichment Analysis of C. sativus DEGs
3.8. KEGG Enrichment Analysis of C. sativus DEGs
3.9. Transcription Levels of the Genes Involeved in Nitrogen Metabolism in Cucumber Root
3.10. Relative Transcription Levels of the Functional Genes Related to Hormone Synthesis
3.11. Relative Transcription Levels of the Functional Genes Related to Abiotic Stress Response
4. Discussion
5. Conclusions
Supplementary Materials
Author Contributions
Funding
Institutional Review Board Statement
Informed Consent Statement
Data Availability Statement
Acknowledgments
Conflicts of Interest
References
- Le, C.; Zha, Y.; Li, Y.; Sun, D.; Lu, H.; Yin, B. Eutrophication of lake waters in China: Cost, causes, and control. Environ. Manag. 2010, 45, 662–668. [Google Scholar] [CrossRef] [PubMed]
- Davidson, E.A. The contribution of manure and fertilizer nitrogen to atmospheric nitrous oxide since 1860. Nat. Geosci. 2009, 2, 659–662. [Google Scholar] [CrossRef]
- Matsuyama, N.; Saigusa, M.; Sakaiya, E.; Tamakawa, K.; Oyamada, Z.; Kudo, K. Acidification and soil productivity of Allophanic andosols affected by heavy application of fertilizers. Soil Sci. Plant Nutr. 2005, 51, 117–123. [Google Scholar] [CrossRef][Green Version]
- Surya, K. Understanding nitrate uptake, signaling and remobilisation for improving plant nitrogen use efficiency. Semin. Cell Dev. Biol. 2018, 74, 89–96. [Google Scholar] [CrossRef]
- Han, R.C.; Li, C.Y.; Rasheed, A.; Pan, X.H.; Shi, Q.H.; Wu, Z.M. Reducing phosphorylation of nitrate reductase improves nitrate assimilation in rice. J. Integr. Agr. 2022, 21, 15–25. [Google Scholar] [CrossRef]
- Lee, R.B.; Drew, M.C. Nitrogen-13 studies of nitrate fluxes in barley roots: II. Effect of plant N-status on the kinetic parameters of nitrate influx. J. Exp. Bot. 1986, 37, 1768–1779. [Google Scholar] [CrossRef]
- Orsel, M.; Krapp, A.; Daniel, V.F. Analysis of the NRT2 nitrate transporter family in Arabidopsis. Structure and gene expression. Plant Physiol. 2002, 129, 886–896. [Google Scholar] [CrossRef]
- Okamoto, M.; Vidmar, J.J.; Glass, A.D.M. Regulation of NRT1 and NRT2 gene families of Arabidopsis thaliana: Responses to nitrate provision. Plant Cell Physiol. 2003, 44, 304–317. [Google Scholar] [CrossRef]
- Matsumoto, H.; Wakiuchi, N.; Takahashi, E. Changes of sugar levels in cucumber leaves during ammonium toxicity. Physiol. Plantar. 1968, 21, 1210–1216. [Google Scholar] [CrossRef]
- Kronzucker, H.J.; Britto, D.T.; Davenport, R.J.; Tester, M. Ammonium toxicity and the real cost of transport. Trends Plant Sci. 2001, 6, 335–337. [Google Scholar] [CrossRef]
- Chen, F. Effects of application and ratio of nitrogen, phosphorus, and potassium on mineral nutrient absorption and yield of cucumber (Cucumis sativus L.). J. Northwest A F Univ. (Nat. Sci.) 2015, 43, 174–180. [Google Scholar]
- Wu, T.; Qin, Z.W.; Fan, L.X.; Xue, C.B.; Zhou, X.Y.; Xin, M.; Du, Y.L. Involvement of CsNRT1.7 in nitrate recycling during senescence in cucumber. J. Plant Nutr. Soil Sci. 2014, 177, 714–721. [Google Scholar] [CrossRef]
- Zhao, W.; Yang, X.; Yu, H.; Jiang, W.; Sun, N.; Liu, X.; Liu, X.; Zhang, X.; Wang, Y.; Gu, X. RNA-seq-based transcriptome profiling of early nitrogen deficiency response in cucumber seedlings provides new insight into the putative nitrogen regulatory network. Plant Cell Phys. 2014, 56, 455–467. [Google Scholar] [CrossRef] [PubMed]
- Zhou, Y.H.; Zhang, Y.L.; Wang, X.M.; Cui, J.X.; Xia, X.J.; Shi, K.; Yu, J.Q. Effects of nitrogen form on growth, CO2 assimilation, chlorophyll fluorescence, and photosynthetic electron allocation in cucumber and rice plants. J. Zhejiang Univ. Sci. B 2011, 12, 126–134. [Google Scholar] [CrossRef]
- Tünnermann, L.; Cambui, C.A.; Franklin, O.; Merkel, P.; Näsholm, T.; Gratz, R. Plant organic nitrogen nutrition: Costs, benefits, and carbon use efficiency. New Phytol. 2025, 245, 1018–1028. [Google Scholar] [CrossRef]
- Adalibieke, W.; Cui, X.; Cai, H.; You, L.; Zhou, F. Global crop-specific nitrogen fertilization dataset in 1961–2020. Sci. Data 2023, 10, 617. [Google Scholar] [CrossRef]
- Nga, T.D.; Duc, A.T.; Virginia, N.P.; Suzanne, M.; Hannah, R.; Andrew, C.G.H.; Andrew, R.G.L.; Christopher, R.H. Human activity controls nitrogen loads in a large sub-tropical delta from 2000 to 2020. Resour. Conserv. Recy. 2025, 213, 108021. [Google Scholar] [CrossRef]
- Zhang, Y.; Ye, C.; Su, Y.; Peng, W.; Lu, R.; Liu, Y.; Huang, H.; He, X.; Yang, M.; Zhu, S. Soil acidification caused by excessive application of nitrogen fertilizer aggravates soil-borne diseases: Evidence from literature review and field trials. Agric. Ecosyst. Environ. 2022, 340, 108176. [Google Scholar] [CrossRef]
- Dolkhani, F.; Bijanzadeh, E.; Boostani, H.R.; Hardie, A.G. Effect of nitrogen-fixing bacteria application on biochemical properties, yield, and nutrients of barley. J. Soil Sci. Plant Nutr. 2022, 22, 5021–5035. [Google Scholar] [CrossRef]
- Angel, L.; Esperanza, L.M.; Manuel, T.J. Microalgal and Nitrogen-Fixing Bacterial Consortia: From Interaction to Biotechnological Potential. Plants 2023, 12, 2476. [Google Scholar] [CrossRef]
- Zhou, L.; Liu, W.; Duan, H.; Dong, H.; Li, J.; Zhang, S.; Zhang, J.; Ding, S.; Xu, T.; Guo, B. Improved effects of combined application of nitrogen-fixing bacteria Azotobacter beijerinckii and microalgae Chlorella pyrenoidosa on wheat growth and saline-alkali soil quality. Chemosphere 2023, 313, 137409. [Google Scholar] [CrossRef] [PubMed]
- Sun, S.X.; Chen, Y.P.; Cheng, J.J.; Li, Q.J.; Zhang, Z.C.; Lan, Z.L. Isolation, characterization, genomic sequencing, and GFP-marked insertional mutagenesis of a high-performance nitrogen-fixing bacterium, Kosakonia radicincitans GXGL-4A and visualization of bacterial colonization on cucumber roots. Folia Microbiol. 2018, 63, 789–802. [Google Scholar] [CrossRef]
- Feng, B.Y.; Zhang, M.T.; Su, G.X.; Bao, Y.Q.; Xu, Y.; Chen, Y.P. Siderophore Synthesis Ability of the Nitrogen-Fixing Bacterium (NFB) GXGL-4A is Regulated at the Transcriptional Level by a Transcriptional Factor (trX) and an Aminomethyltransferase Encoding Gene (amt). Curr. Microbiol. 2022, 79, 369–382. [Google Scholar] [CrossRef] [PubMed]
- Li, H.Z.; Cheng, Z.H. Hoagland nutrient solution promotes the growth of cucumber seedlings under light-emitting diode light. Acta Agric. Scand. Sect. B—Soil Plant Sci. 2015, 65, 74–82. [Google Scholar] [CrossRef]
- Kim, D.; Langmead, B.; Salzberg, S.L. HISAT: A fast spliced aligner with low memory requirements. Nat. Methods 2015, 12, 357–362. [Google Scholar] [CrossRef] [PubMed]
- Pertea, M.; Pertea, G.M.; Antonescu, C.M.; Chang, T.C.; Mendell, J.T.; Salzberg, S.L. StringTie enables improved reconstruction of a transcriptome from RNA-seq reads. Nat. Biotechnol. 2015, 33, 290–295. [Google Scholar] [CrossRef]
- Li, B.; Dewey, C.N. RSEM: Accurate transcript quantification from RNA-Seq data with or without a reference genome. BMC Bioinform. 2011, 12, 323. [Google Scholar] [CrossRef]
- Love, M.I.; Huber, W.; Anders, S. Moderated estimation of fold change and dispersion for RNA-seq data with DESeq2. Genome Biol. 2014, 15, 550. [Google Scholar] [CrossRef]
- Robinson, M.D.; McCarthy, D.J.; Smyth, G.K. edgeR: A bioconductor package for differential expression analysis of digital gene expression data. Bioinformatics 2010, 26, 139–140. [Google Scholar] [CrossRef]
- Xie, C.; Mao, X.; Huang, J.; Ding, Y.; Wu, J.; Dong, S.; Kong, L.; Gao, G.; Li, C.Y.; Wei, L. KOBAS 2.0: A web server for annotation and identification of enriched pathways and diseases. Nucleic Acids Res. 2011, 39, 316–322. [Google Scholar] [CrossRef]
- Li, Q.; Li, H.; Wang, S.; Huang, W.; Ruan, J.; Huang, S.; Xu, Y.; Zhou, Q.; Zhang, Z. A chromosome-scale genome assembly of cucumber (Cucumis sativus L.). GigaScience 2019, 8, giz072. [Google Scholar] [CrossRef] [PubMed]
- Klopfenstein, D.V.; Zhang, L.; Pedersen, B.S.; Ramírez, F.; Warwick, V.A.; Naldi, A.; Mungall, C.J.; Yunes, J.M.; Botvinnik, O.; Weigel, M.; et al. GOATOOLS: A Python library for Gene Ontology analyses. Sci. Rep. 2018, 8, 10872. [Google Scholar] [CrossRef] [PubMed]
- Sundaram, M.; Min, H. Differential regulation of the NO3− and NH4+ transporter genes AtNrt2.1 and AtAmt1.1 in Arabidopsis: Relation with long-distance and local controls by N status of the plant. Plant J. 2010, 26, 143–155. [Google Scholar] [CrossRef]
- Migocka, M.; Warzybok, A.; Kłobus, G. The genomic organization and transcriptional pattern of genes encoding nitrate transporters 1 (NRT1) in cucumber. Plant Soil 2013, 364, 245–260. [Google Scholar] [CrossRef]
- Ji, L.; Song, L.; Zou, L.; Liu, H.; Li, S.; Wang, C.; Zhang, R.; Yang, J.; Zhang, Y.; Wang, X.; et al. Genome-wide identification of nitrate transporter1/peptide transporter family (NPF) in cassava (Manihot esculenta) and functional analysis of MeNPF5.4 and MeNPF6.2 in response to nitrogen and salinity stresses in rice. Crop Sci. 2024, 64, 211–224. [Google Scholar] [CrossRef]
- Liu, K.H.; Tsay, Y.F. Switching between the two action modes of the dual-affinity nitrate transporter CHL1 by phosphorylation. EMBO J. 2003, 22, 1005–1013. [Google Scholar] [CrossRef]
- Krouk, G.; Lacombe, B.; Bielach, A.; Perrine-Walker, F.; Malinska, K.; Mounier, E.; Hoyerova, K.; Tillard, P.; Leon, S.; Ljung, K.; et al. Nitrate-regulated auxin transport by NRT1.1 defines a mechanism for nutrient sensing in plants. Dev. Cell 2010, 18, 927–937. [Google Scholar] [CrossRef]
- Miller, C.O. Evidence for the natural occurrence of zeatin and derivatives: Compounds from maize which promote cell division. Proc. Natl. Acad. Sci. USA 1965, 54, 1052–1058. [Google Scholar] [CrossRef]
- Martin, R.C.; Mok, M.C.; Habben, J.E.; Mok, D.W.S. A maize cytokinin gene encoding an O-glucosyltransferase specific to cis-zeatin. Proc. Natl. Acad. Sci. USA 2001, 98, 5922–5926. [Google Scholar] [CrossRef]
- Khan, M.; Rozhon, W.; Unterholzner, S.J.; Chen, T.T.; Eremina, M.; Wurzinger, B.; Bachmair, A.; Teige, M.; Sieberer, T.; Isono, E.; et al. Interplay between phosphorylation and SUMOylation events determines CESTA protein fate in brassinosteroid signalling. Nat. Commun. 2014, 5, 4687. [Google Scholar] [CrossRef]
- Jiang, W.B.; Huang, H.Y.; Hu, Y.W.; Zhu, S.W.; Wang, Z.Y.; Lin, W.H. Brassinosteroid regulates seed size and shape in Arabidopsis. Plant Physiol. 2013, 162, 1965–1977. [Google Scholar] [CrossRef] [PubMed]
- Yan, M.Y.; Xie, D.L.; Cao, J.J.; Xia, X.J.; Shi, K.; Zhou, Y.H.; Zhou, J.; Foyer, C.H.; Yu, J.Q. Brassinosteroid-mediated reactive oxygen species are essential for tapetum degradation and pollen fertility in tomato. Plant J. 2020, 102, 931–947. [Google Scholar] [CrossRef] [PubMed]
- Lu, W.; Deng, F.; Jia, J.; Chen, X.; Li, J.; Wen, Q.; Li, T.; Meng, Y.; Shan, W. The Arabidopsis thaliana gene AtERF019 negatively regulates plant resistance to Phytophthora parasitica by suppressing PAMP-triggered immunity. Mol. Plant Pathol. 2020, 21, 1179–1193. [Google Scholar] [CrossRef] [PubMed]
- Becker, W.; Apel, K. Isolation and characterization of a cDNA clone encoding a novel jasmonate-induced protein of barley (Hordeum vulgare L.). Plant Mol. Biol. 1992, 19, 1065–1067. [Google Scholar] [CrossRef]
- Görschen, E.; Dunaeva, M.; Reeh, I.; Wasternack, C. Overexpression of the jasmonate-inducible 23 kDa protein (JIP 23) from barley in transgenic tobacco leads to the repression of leaf proteins. FEBS Lett. 1997, 419, 58–62. [Google Scholar] [CrossRef]
- Kumar, D.; Klessig, D.F. High-affinity salicylic acid-binding protein 2 is required for plant innate immunity and has salicylic acid-stimulated lipase activity. Proc. Natl. Acad. Sci. USA 2003, 100, 16101–16106. [Google Scholar] [CrossRef]
- Li, W.; Deng, Y.; Ning, Y.; He, Z.; Wang, G. Exploiting broad-spectrum disease resistance in crops: From molecular dissection to breeding. Annu. Rev. Plant Biol. 2020, 71, 575–603. [Google Scholar] [CrossRef]
- Balbi, V.; Devoto, A. Jasmonate signalling network in Arabidopsis thaliana: Crucial regulatory nodes and new physiological scenarios. New Phytol. 2007, 177, 301–318. [Google Scholar] [CrossRef]
- Guo, H.; Ecker, J.R. The ethylene signaling pathway: New insights. Curr. Opin. Plant Biol. 2004, 7, 40–49. [Google Scholar] [CrossRef]
- Kunkel, B.N.; Brooks, D.M. Cross talk between signaling pathways in pathogen defense. Curr. Opin. Plant Biol. 2002, 5, 325–331. [Google Scholar] [CrossRef]
- Lorenzo, O.; Piqueras, R.; Sánchez, S.J.J.; Solano, R. Ethylene response factor1 integrates signals from ethylene and jasmonate pathways in plant defense. Plant Cell 2002, 15, 165–178. [Google Scholar] [CrossRef]
- Spoel, S.H.; Koornneef, A.; Claessens, S.M.C.; Korzelius, J.P.; Pelt, J.A.V.; Mueller, M.J.; Buchala, A.J.; Métraux, J.P.; Brown, R.; Kazan, K.; et al. NPR1 modulates cross-talk between salicylate-and jasmonate-dependent defense pathways through a novel function in the cytosol. Plant Cell 2003, 15, 760–770. [Google Scholar] [CrossRef]
- Leon, R.A.; Spoel, S.H.; Lange, E.D.; Hiroshi, A.M.K.; Tsuda, S.; Millenaar, F.F.; Welschen, R.A.M.; Ritsema, T.; Pieterse, C.M.J. Ethylene modulates the role of nonexpressor of pathogenesis-related gene1 in cross talk between salicylate and jasmonate signaling. Plant Physiol. 2009, 149, 1797–1809. [Google Scholar] [CrossRef]
- Van Gerrewey, T.; Chung, H.S. MAPK Cascades in Plant Microbiota Structure and Functioning. J. Microbiol. 2024, 62, 231–248. [Google Scholar] [CrossRef]
- Wang, P.; Du, Y.; Li, Y.; Ren, D.; Song, C.P. Hydrogen peroxide-mediated activation of MAP kinase 6 modulates nitric oxide biosynthesis and signal transduction in Arabidopsis. Plant Cell 2010, 22, 2981–2998. [Google Scholar] [CrossRef]
- Lu, F.; Wang, Y.; Li, K.; Xu, H. NO alleviates oxidative damage and improves nitrogen metabolism in tomato under low nitrogen stress through the MAPK signaling pathway. Sci. Hortic. 2024, 338, 113733. [Google Scholar] [CrossRef]
- Gomez-Osuna, A.; Calatrava, V.; Galvan, A.; Fernandez, E.; Llamas, A. Identification of the MAPK cascade and its relationship with nitrogen metabolism in the green alga chlamydomonasreinhardtii. Int. J. Mol. Sci. 2020, 21, 3417. [Google Scholar] [CrossRef]
- La Camera, S.; Gouzerh, G.; Dhondt, S.; Hoffmann, L.; Frittig, B.; Legrand, M.; Heitz, T. Metabolic reprogramming in plant innate immunity: The contributions of phenylpropanoid and oxylipin pathways. Immunol. Rev. 2004, 198, 267–284. [Google Scholar] [CrossRef]
- Vogt, T. Phenylpropanoid biosynthesis. Mol. Plant 2010, 3, 2–20. [Google Scholar] [CrossRef]
- Chakraborty, S.; Venkataraman, M.; Infante, V.; Pfleger, B.F.; Ané, J.M. Scripting a new dialogue between diazotrophs and crops. Trends Microbiol. 2024, 32, 577–589. [Google Scholar] [CrossRef]
- Li, X.; Zi, H.; Carrion, V.J.; Zhu, H.; Liao, Y.; Sun, S. Conifer and broadleaf trees show a strong co-evolution with rhizosphere diazotrophic microbiome. Plant Soil 2023, 484, 487–501. [Google Scholar] [CrossRef]








| Primer Name | Primer Sequence (5′ to 3′) | Product Size (bp) |
|---|---|---|
| ACT-F | TTCTGGTGATGGTGTGAGTC | 151 |
| ACT-R | GGCAGTGGTGGTGAACATG | |
| Csa1G047430-F | GCATCGTGGAAAAGCAGTACA | 233 |
| Csa1G047430-R | GAAGCAAGCGGAGGCAATA | |
| Csa3G027720-F | GCCACATCGGAAAATCGTT | 158 |
| Csa3G027720-R | AATTCGTTGTAATGGGGTAAGG | |
| Csa5G161290-F | CTCCGACCGCCAAAATG | 240 |
| Csa5G161290-R | TCCAAGTGACCCAATGCTAAT | |
| Csa2G416080-F | AGTATCGGGTCGTTGTTTGC | 162 |
| Csa2G416080-R | AGGGCTTCCTCTTGGCTTT | |
| CsaV3_5G006200-F | TGACCTCTTTTACAGTGTTCTTGG | 178 |
| CsaV3_5G006200-R | GTAGTCGAATGTATTTTGTGCAGAT | |
| CsaV3_1G044030-F | ACTGAGATTCGTGAACAGGGAC | 113 |
| CsaV3_1G044030-R | TTTGATAGACATCCGTTCCACTT | |
| CsaV3_1G011730-F | GAATCATCCTCAAATCAGACGG | 107 |
| CsaV3_1G011730-R | CCCCAGCAGCTCAAATACATA | |
| CsaV3_6G015610-F | GGGAAAGTGAATGAGTTCTTAGTTG | 151 |
| CsaV3_6G015610-R | GACCTACATTACTCAGCAAATCCTC | |
| CsaV3_3G012910-F | TGATGGCAGAGGTAGTGAAGC | 169 |
| CsaV3_3G012910-R | TTTTGGTGGATTAATTGTTGGA | |
| CsaV3_6G003320-F | GGGGCATCGTCGTCTTCA | 220 |
| CsaV3_6G003320-R | TCATCAATTCTCTTATTTGCTTCG | |
| CsaV3_2G025610-F | CTTTCTACGACTCACAACTCTCAAC | 127 |
| CsaV3_2G025610-R | GATGCTGCTGCTGCTGCT | |
| CsaV3_3G018610-F | TGTCTCCTCCTGTAGCCTCG | 160 |
| CsaV3_3G018610-R | CCTTCTCTAAACTTCTCCTTCACC | |
| CsaV3_1G008910-F | GAAGAAGTGGCGTACGGTCA | 114 |
| CsaV3_1G008910-R | ACTGAAGCAAGCGGAGGC | |
| CsaV3_3G036500-F | TCAAATAGTAATCCGTCATCATCAC | 190 |
| CsaV3_3G036500-R | GCGTTGGTGAATCTCAGTCC |
| Category | Type | Functional Description | Gene Number |
|---|---|---|---|
| Information storage and processing | A | RNA processing and modification | 3 |
| Metabolism | C | Energy production and conversion | 5 |
| Cellular processes and signaling | D | Cell cycle control, cell division, chromosome partitioning | 1 |
| Metabolism | E | Amino acid transport and metabolism | 5 |
| Metabolism | F | Nucleotide transport and metabolism | 4 |
| Metabolism | G | Carbohydrate transport and metabolism | 14 |
| Metabolism | H | Coenzyme transport and metabolism | 5 |
| Metabolism | I | Lipid transport and metabolism | 9 |
| Information storage and processing | J | Translation, ribosomal structure, and biogenesis | 6 |
| Information storage and processing | K | Transcription | 23 |
| Information storage and processing | L | Replication, recombination, and repair | 4 |
| Cellular processes and signaling | M | Cell wall/membrane/envelope biogenesis | 4 |
| Cellular processes and signaling | O | Post-translational modification, protein turnover, chaperones | 20 |
| Metabolism | P | Inorganic ion transport and metabolism | 6 |
| Metabolism | Q | Secondary metabolites biosynthesis, transport, and catabolism | 6 |
| Poorly characterized | S | Function unknown | 195 |
| Cellular processes and signaling | T | Signal transduction mechanisms | 7 |
| Cellular processes and signaling | U | Intracellular trafficking, secretion, and vesicular transport | 8 |
| Cellular processes and signaling | V | Defense mechanisms | 1 |
Disclaimer/Publisher’s Note: The statements, opinions and data contained in all publications are solely those of the individual author(s) and contributor(s) and not of MDPI and/or the editor(s). MDPI and/or the editor(s) disclaim responsibility for any injury to people or property resulting from any ideas, methods, instructions or products referred to in the content. |
© 2025 by the authors. Licensee MDPI, Basel, Switzerland. This article is an open access article distributed under the terms and conditions of the Creative Commons Attribution (CC BY) license (https://creativecommons.org/licenses/by/4.0/).
Share and Cite
Feng, B.; Wang, E.; Zhang, Y.; Xu, L.; Xue, Y.; Chen, Y. Short-Term Fertilization with the Nitrogen-Fixing Bacterium (NFB) Kosakonia radicincitans GXGL-4A Agent Can Modify the Transcriptome Expression Profiling of Cucumber (Cucumis sativus L.) Root. Microorganisms 2025, 13, 506. https://doi.org/10.3390/microorganisms13030506
Feng B, Wang E, Zhang Y, Xu L, Xue Y, Chen Y. Short-Term Fertilization with the Nitrogen-Fixing Bacterium (NFB) Kosakonia radicincitans GXGL-4A Agent Can Modify the Transcriptome Expression Profiling of Cucumber (Cucumis sativus L.) Root. Microorganisms. 2025; 13(3):506. https://doi.org/10.3390/microorganisms13030506
Chicago/Turabian StyleFeng, Baoyun, Erxing Wang, Yating Zhang, Lurong Xu, Yanwen Xue, and Yunpeng Chen. 2025. "Short-Term Fertilization with the Nitrogen-Fixing Bacterium (NFB) Kosakonia radicincitans GXGL-4A Agent Can Modify the Transcriptome Expression Profiling of Cucumber (Cucumis sativus L.) Root" Microorganisms 13, no. 3: 506. https://doi.org/10.3390/microorganisms13030506
APA StyleFeng, B., Wang, E., Zhang, Y., Xu, L., Xue, Y., & Chen, Y. (2025). Short-Term Fertilization with the Nitrogen-Fixing Bacterium (NFB) Kosakonia radicincitans GXGL-4A Agent Can Modify the Transcriptome Expression Profiling of Cucumber (Cucumis sativus L.) Root. Microorganisms, 13(3), 506. https://doi.org/10.3390/microorganisms13030506

