Diagnostic In Vivo Sensing of COVID-19 Antibody Detection Using DNA-Linking Graphene Oxide Synthetic Mimic Skin Tattoo Probes
Abstract
1. Introduction
- Heart disease, including arrhythmia, myocardial disease, and acute heart injury.
- Coagulation disorders, including blood clots and bleeding in the small and large blood vessels.
- Guillain–Barré syndrome (rare).
2. Materials and Methods
- Agarose gel casting tray and electrophoresis chamber;
- Power supply and electrode leads;
- UV light box (λ = 302 nm);
- Camera and Polaroid® film or any digital gel documentation system;
- Adjustable pipettes;
- 2% agarose gel in 1× TAE buffer;
- 1× TAE buffer
- Ethidium bromide (10 mg/mL);
- 6× Gel loading buffer (GLB);
- Molecular weight marker.
- Place a gel casting tray onto a gel casting base. Insert a comb and level the base.
- Prepare 2% agarose by weighing out 4 g of agarose powder and dissolving it in 200 mL 1× TAE buffer.
- Dissolve the agar by heating it in a microwave oven.
- Cool the melted agarose to about 60 °C, then add 10 µL of ethidium bromide.
- Pour the melted agarose into the gel casting tray.
- Allow the gel to solidify at room temperature.
- Remove the comb from the frame.
- Place the tray into the electrophoresis chamber with the wells at the cathode side.
- Fill the buffer chamber with 1× TAE at a level that can cover the top of the gel.
- Add 5 µL of the gel loading buffer to each PCR tube.
- Load the molecular weight marker to the first well of the agarose gel.
- Pipette 15 µL of the PCR product in the gel loading buffer to the gel.
- Close the lid on the chamber and attach the electrodes. Run the gel at 100 V for 30–35 min.
- Visualize the presence of the marker and PCR product bands with UV light.
- Document the gel picture by photographing it. Interpret the results [21].
3. Mimic Skin Synthesis
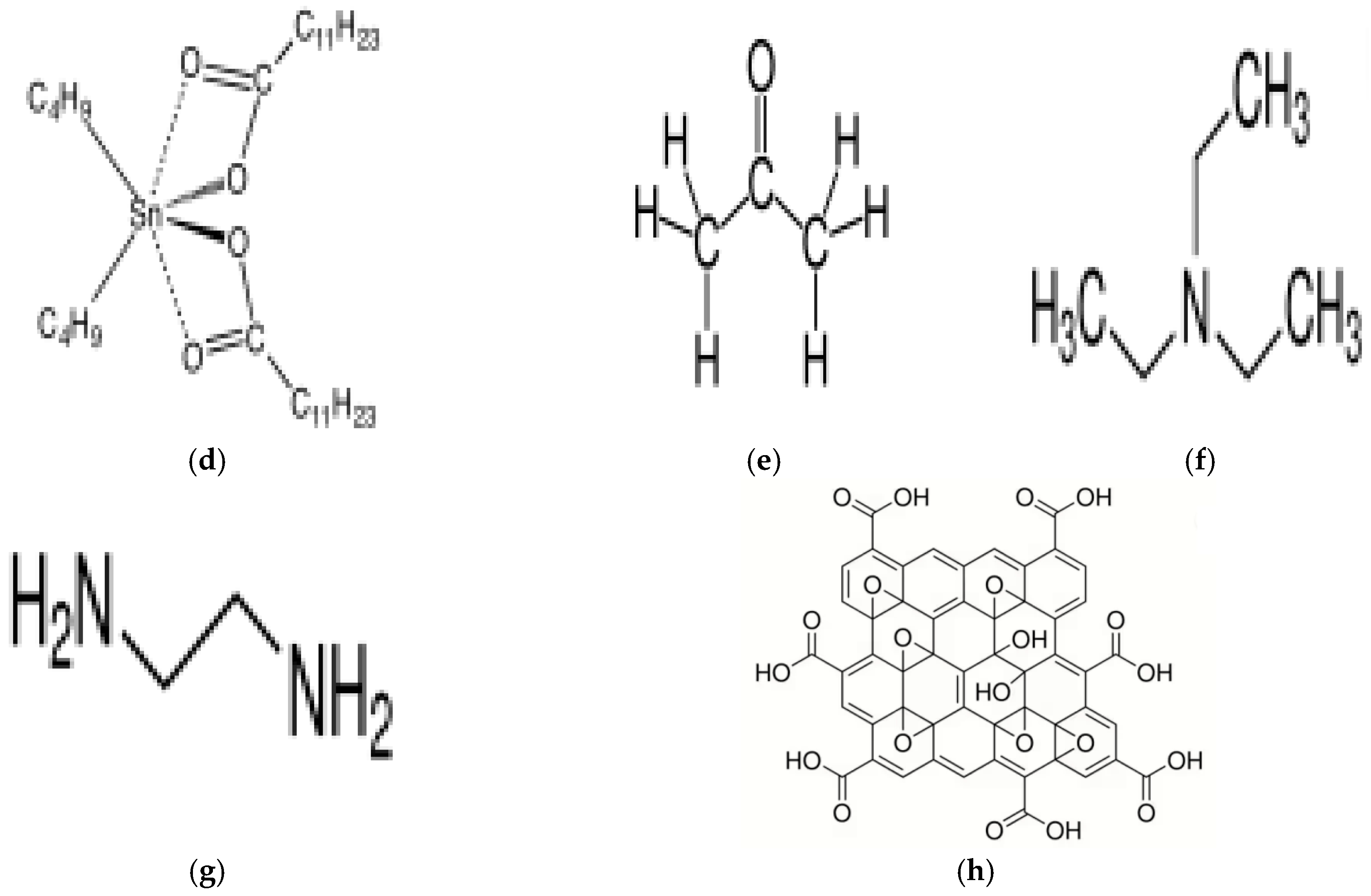
3.1. Molecular Structure of Standards
3.2. Synthetic Sequence
3.3. Electrochemical Voltametric Analyzer
3.4. COVID-19 Antigen-Immobilized Working Electrode
4. Results and Discussion
4.1. Cyclic Voltametric Ionic Titration
4.2. Cyclic Voltametric Redox Titration
4.3. Stripping Voltametric Optimization
5. Conclusions
Author Contributions
Funding
Institutional Review Board Statement
Informed Consent Statement
Data Availability Statement
Conflicts of Interest
Abbreviations
| COVID-19 | Coronavirus disease 2019 |
| WHO | World Health Organization |
| RT-PCR | Real-time polymerase chain reaction |
| nCoV | Novel coronavirus |
| PBS | Phosphate-buffered saline |
References
- Zhu, H.; Wei, L.; Niu, P. The novel corona virus outbreak in Wuhan, China. Glob. Health Res. Polic 2020, 56, 6. [Google Scholar] [CrossRef] [PubMed]
- Robinson, E.; Sutin, A.R.; Daly, M.; Jones, A. Asystematic review and meta-analysis of longitudinal cohort studies comparing mental health before versus during the COVID 9 pandemic in 2020. J. Affect. Disord. 2022, 296, 567–576. [Google Scholar] [CrossRef] [PubMed]
- Carter, L.J.; Garner, L.V.; Smoot, J.W.; Li, Y.; Zhou, Q.; Saveson, C.J.; Sasso, J.M.; Gregg, A.C.; Soares, D.J.; Beskid, T.R.; et al. Assay Techniques and Test Development for COVID-19 Diagnosis. ACS Cent. Sci. 2020, 6, 591–605. [Google Scholar] [CrossRef]
- Sicca, F.; Martinuzzi, D.; Montomoli, E.; Huckriede, A. Comparison of influenza-specific neutralizing antibody titers determined using different assay readouts and hemagglutination inhibition titers: Good correlation but poor agreement. Vaccine 2010, 38, 2527–2541. [Google Scholar] [CrossRef] [PubMed]
- Koskinen, J.O.; Vainionpaa, R.; Meltola, N.J.; Soukka, J.; Hanninen, P.E.; Soini, A.E. Rapid Method for Detection of Influenza A and B Virus Antigens by Use of a Two-Photon Excitation Assay Technique and Dry-Chemistry Reagents. J. Clin. Microbiol. 2007, 45, 3581–3588. [Google Scholar] [CrossRef]
- Smith, L.E.; Potts, H.W.W.; Amlôt, R.; Fear, N.T.; Michie, S.; Rubin, G.J. Do members of the public think they should use lateral flow tests (LFT) or polymerase chain reaction (PCR) tests when they have COVID-19-like symptoms The COVID-19 Rapid Survey of Adherence to Interventions and Responses study. Public Health 2021, 198, 260–262. [Google Scholar] [CrossRef] [PubMed]
- Shah, N.S.; Thotathil, V.; Zaidi, S.A.; Sheikh, H.; Mohamed, M.; Qureshi, A.; Sadasivuni, K.K. Picomolar or beyond Limit of Detection Using Molecularly Imprinted Polymer-Based Electrochemical Sensors: A Review. Biosensors 2022, 12, 1107. [Google Scholar] [CrossRef] [PubMed]
- Basirinia, G.; Ali, M.; Comelli, A.; Sperandeo, A.; Piana, S.; Alongi, P.; Longo, C.; Di Raimondo, D.; Tuttolomondo, A.; Benfante, V. Theranostic Approaches for Gastric Cancer: An Overview of In Vitro and In Vivo Investigations. Cancers 2024, 16, 3323. [Google Scholar] [CrossRef]
- Ly, S.Y.; Yoo, H.S.; Chun, S.K. Detection of trace metal in distilled alcoholic drinks. Food Chem. 2013, 137, 168–171. [Google Scholar] [CrossRef]
- Ly, S.Y.; Yoo, H.S.; Chun, S.K. Detection of trace cobalt ions in in vivo plant cells using a voltammetric interlocking system. Water Sci. Technol. 2013, 6, 1339–1344. [Google Scholar] [CrossRef]
- Ly, S.Y. Implementation of a Biocircuit Implants for Neurotransmitter Release During Neuro Stimulation. Curr. Neurovascular Res. 2013, 10, 238–246. [Google Scholar] [CrossRef] [PubMed]
- Ly, S.Y.; Choi, D.W.; Kim, D.H. Diagnostic Assay of Glucose in Diabetes Patients Urine. Sens. Lett. 2013, 11, 1996–1999. [Google Scholar] [CrossRef]
- Rosa, R.B.; Dantas, W.M.; do Nascimento, J.C.F.; da Silva, M.V.; de Oliveira, R.N.; Pena, L.J. In Vitro and In Vivo Models for Studying SARS-CoV-2, the Etiological Agent Responsible for COVID-19 Pandemic. Viruses 2021, 13, 379. [Google Scholar] [CrossRef]
- Ly, S.Y.; Cho, N.S. Diagnosis of human hepatitis B virus in non-treated blood by the bovine IgG DNA-linked carbon nanotube biosensor. J. Clin. Virol. 2008, 44, 43–47. [Google Scholar] [CrossRef] [PubMed]
- Ly, S.Y.; Yoo, H.S.; Choa, S.H. Diagnosis of Helicobacter pylori bacterial infections using a voltammetric biosensor. J. Microbiol. Methods 2011, 87, 44–48. [Google Scholar] [CrossRef] [PubMed]
- Meng, H.; Jiang, S.; Zhang, Y.; Hu, Y.; Liu, Y. In Vivo Detection of Tetrodotoxin in Takifugu obscurus Based on Solid-Phase Microextraction Coupled with Ultrahigh-Performance Liquid Chromatography–Tandem Mass Spectrometry. Molecules 2022, 27, 6122. [Google Scholar] [CrossRef] [PubMed]
- Ly, S.Y.; Kim, Y.K. Assay of glucose in urine and drinking water with voltammetric working sensors of infrared photo diode electrode. Sens. Actuators A Phys. 2006, 127, 41–48. [Google Scholar] [CrossRef]
- Ly, S.Y.; Lee, C.H. Clinical In Vivo Bio Assay of Glucose in Human Skin by a Tattoo Film Carbon Nano Tube Sensor. J. Oil Appl. Sci. 2017, 34, 595–601. [Google Scholar]
- Ly, S.Y.; Heo, H.J.; Kim, M.J. Real Time Analysis of Neurotransmitters in the Brain Using a Micro-Electrode System. Curr. Neurovascular Res. 2010, 7, 32–38. [Google Scholar] [CrossRef] [PubMed]
- Lee, K.; Jun, S.; Lee, S.J.; Oh, Y.J.; Kim, K.S.; Ly, S.Y. Pathological in vivo Analysis of Helicobacter DNA infaction in Stomach cells Using Carbon Nanotube Microsensor. Microorganisms 2024, 12, 2531. [Google Scholar] [CrossRef]
- Rattner, A.; Wang, Y.; Nathans, J. Signaling Pathways in Neurovascular Development. Annu. Rev. Neurosci. 2022, 45, 87–108. [Google Scholar] [CrossRef] [PubMed]
- Lu, X.; Wang, L.; Sakthivel, S.K.; Whitaker, B.; Murray, J.; Kamili, S.; Lynch, B.; Malapati, L.; Burke, S.A.; Harcourt, J.; et al. US CDC Real-Time Reverse Transcription PCR Panel for Detection of Severe Acute Respiratory Syndrome Coronavirus 2. Emerg. Infect. Dis. 2020, 26, 1654. [Google Scholar] [CrossRef]
- Kim, J.H.; Lee, J.; Ly, S.Y. Synthetic Fabrication of Biomimetic Artificial Skin Tissu. Int. J. Curr. Microbiol. Appl. Sci. 2019, 8, 2144–2151. [Google Scholar] [CrossRef]
- Margariti, A.; Chatzidimitriou, D.; Metallidis, S.; Pilalas, D.; Kourelis, A.; Papadimitriou, E.; Haidich, A.B.; Malisiovas, N.; Skoura, L. Comparing Abbott m2000 RealTime HIV test and Roche COBAS Ampliprep/COBAS Taqman HIV test, v2.0 in treated HIV-1 B and non-B subjects with low viraemia. Comp. Study 2016, 88, 724–727. [Google Scholar] [CrossRef]
- Fung, B.; Gopez, A.; Servellita, V.; Arevalo, S.; Ho, C.; Deucher, A.; Thornborrow, E.; Chiu, C.; Miller, S. Direct Comparison of SARS-CoV-2 Analytical Limits of Detection across Seven Molecular Assays. J. Clin. Microbiol. 2020, 58, e01535-20. [Google Scholar] [CrossRef]












| Names | Description | Oligonucleotide Sequence (5′Ç > 3′Ç) |
|---|---|---|
| 2019-nCoV_N1-F | 2019-nCoV_N1 forward primer | 5′-Ç-GAC CCC AAA ATC AGC GAA AT-3′Ç |
| 2019-nCoV_N1-R | 2019-nCoV_N1 reverse primer | 5′-TCT GGT TAC TGC CAG TTG AAT CTG-3′Ç |
| 2019-nCoV_N1-P | 2019-nCoV_N1 probe | 5′-Ç-FAM-ACC CCG CAT TAC GTT TGG TGG ACC-BHQ1-3′Ç |
| 2019-nCoV_N2-F | 2019-nCoV_N2 forward primer | 5′-Ç-TTA CAA ACA TTG GCC GCA AA-3′Ç |
| 2019-nCoV_N2-R | 2019-nCoV_N2 reverse primer | 5′-Ç-GCG CGA CAT TCC GAA GAA-3′Ç |
| 2019-nCoV_N2-P | 2019-nCoV_N2 probe | 5′-Ç-FAM-ACA ATT TGC CCC CAG CGC TTC AG-BHQ1-3′Ç |
| 2019-nCoV_N3-F | 2019-nCoV_N3 forward primer | 5′-Ç-GGG AGC CTT GAA TAC ACC AAA A-3′Ç |
| 2019-nCoV_N3-R | 2019-nCoV_N3 reverse primer | 5′-Ç-TGT AGC ACG ATT GCA GCA TTG-3′Ç |
| 2019-nCoV_N3-P | 2019-nCoV_N3 probe | 5′-Ç-FAM-AYC ACA TTG GCA CCC GCA ATC CTG-BHQ1-3′Ç |
| RP-F | RNAse P forward primer | 5′-Ç-AGA TTT GGA CCT GCG AGC G-3′Ç |
| RP-R | RNAse P reverse primer | 5′-Ç-GAG CGG CTG TCT CCA CAA GT-3′Ç |
| RP-P | RNAse P | 5′-Ç-FAM—TTC TGA CCT GAA GGC TCT GCG CG—BHQ-1-3′Ç |
| Assay | Minimum Input Vol (μL) | Sample Processed (μL) | Elution Vol (μL) | Eluate Added to Reaction (μL) | Effective Sample Vol (s) Tested (μL) |
|---|---|---|---|---|---|
| Abbott m2000 | 760 | 500 | 80 | 40 | 250 |
| Roche Cobas | 600 | 400 | 50 | 50 | 400 |
| Panther Fusion | 500 a | 360 | 50 | 5 | 25.4 |
| DiaSorinSimplexa | — b | — | — | — | 50 |
| GenMarkePlex | — | — | — | — | 200 |
| Abbott ID NOW | — | — | — | — | 100 (target), 100 (internal) |
| CDC ABI 7500 (MP24) | 350 | 200 | 100 | 5 | 10 |
| CDC LC 480 (MP24) | 350 | 200 | 100 | 5 | 10 |
| CDC ABI 7500 (EZ1) | 400 | 400 | 90 | 5 | 22.2 |
| CDC LC 480 (EZ1) | 400 | 400 | 90 | 5 | 22.2 |
| Our Electrochemical method | 10 | 10 | 0.5 | 0.05 | 10 |
Disclaimer/Publisher’s Note: The statements, opinions and data contained in all publications are solely those of the individual author(s) and contributor(s) and not of MDPI and/or the editor(s). MDPI and/or the editor(s) disclaim responsibility for any injury to people or property resulting from any ideas, methods, instructions or products referred to in the content. |
© 2025 by the authors. Licensee MDPI, Basel, Switzerland. This article is an open access article distributed under the terms and conditions of the Creative Commons Attribution (CC BY) license (https://creativecommons.org/licenses/by/4.0/).
Share and Cite
Lee, K.; Kim, D.H.; Jun, S.; Oh, Y.; Oh, Y.J.; Lee, S.J.; Kim, K.; Ly, S.Y. Diagnostic In Vivo Sensing of COVID-19 Antibody Detection Using DNA-Linking Graphene Oxide Synthetic Mimic Skin Tattoo Probes. Microorganisms 2025, 13, 354. https://doi.org/10.3390/microorganisms13020354
Lee K, Kim DH, Jun S, Oh Y, Oh YJ, Lee SJ, Kim K, Ly SY. Diagnostic In Vivo Sensing of COVID-19 Antibody Detection Using DNA-Linking Graphene Oxide Synthetic Mimic Skin Tattoo Probes. Microorganisms. 2025; 13(2):354. https://doi.org/10.3390/microorganisms13020354
Chicago/Turabian StyleLee, Kyung, Dong Ho Kim, Sihyun Jun, Yeseul Oh, Ye Jun Oh, Seo Jun Lee, Keumsook Kim, and Suw Young Ly. 2025. "Diagnostic In Vivo Sensing of COVID-19 Antibody Detection Using DNA-Linking Graphene Oxide Synthetic Mimic Skin Tattoo Probes" Microorganisms 13, no. 2: 354. https://doi.org/10.3390/microorganisms13020354
APA StyleLee, K., Kim, D. H., Jun, S., Oh, Y., Oh, Y. J., Lee, S. J., Kim, K., & Ly, S. Y. (2025). Diagnostic In Vivo Sensing of COVID-19 Antibody Detection Using DNA-Linking Graphene Oxide Synthetic Mimic Skin Tattoo Probes. Microorganisms, 13(2), 354. https://doi.org/10.3390/microorganisms13020354

