Enhancing Growth in Vigna radiata through the Inhibition of Charcoal Rot Disease: A Strategic Approach Using Plant Growth-Promoting Rhizobacteria
Abstract
1. Introduction
2. Materials and Methods
2.1. Isolation and Purification of PGPR
2.2. Morphology and Gram Staining of Selected Isolates
2.3. Biochemical Profiling
2.3.1. Detection and Quantification of Indole Acetic Acid
2.3.2. Hydrogen Cyanide (H.C.N.) and Ammonia (NH3) Production
2.4. Enzyme Production
2.4.1. Protease Activity
2.4.2. Amylase Activity
2.4.3. Pectinase Activity
2.5. Phosphate Solubilization Ability
2.6. In Vitro Antagonistic Activity
2.7. Pot Experiment
2.7.1. Selection of Pot Experiment Factors
2.7.2. Selection of Mung Bean Variety
2.7.3. Seed Preparation
2.7.4. Planting and Treatment Application
2.7.5. Growth Period
2.7.6. Harvest and Data Collection
2.8. Chlorophyll Determination
2.9. Plant Antioxidant Determination
2.9.1. Peroxidases
2.9.2. Estimation of POD
2.9.3. Superoxide Dismutase
Extraction
Estimation
2.9.4. Ascorbate Peroxidase
2.9.5. Estimation of APX
2.10. Statistical Analysis
3. Results
3.1. Morphological Characterization of a Selected Strain
3.2. Biochemical Charactiristics of the Selected Isolates
3.2.1. IAA, HCN, Ammonia (NH3) Production and Phosphate Solubilization
3.2.2. Lytic Enzyme Generating Test
3.3. Dual-Culture Test
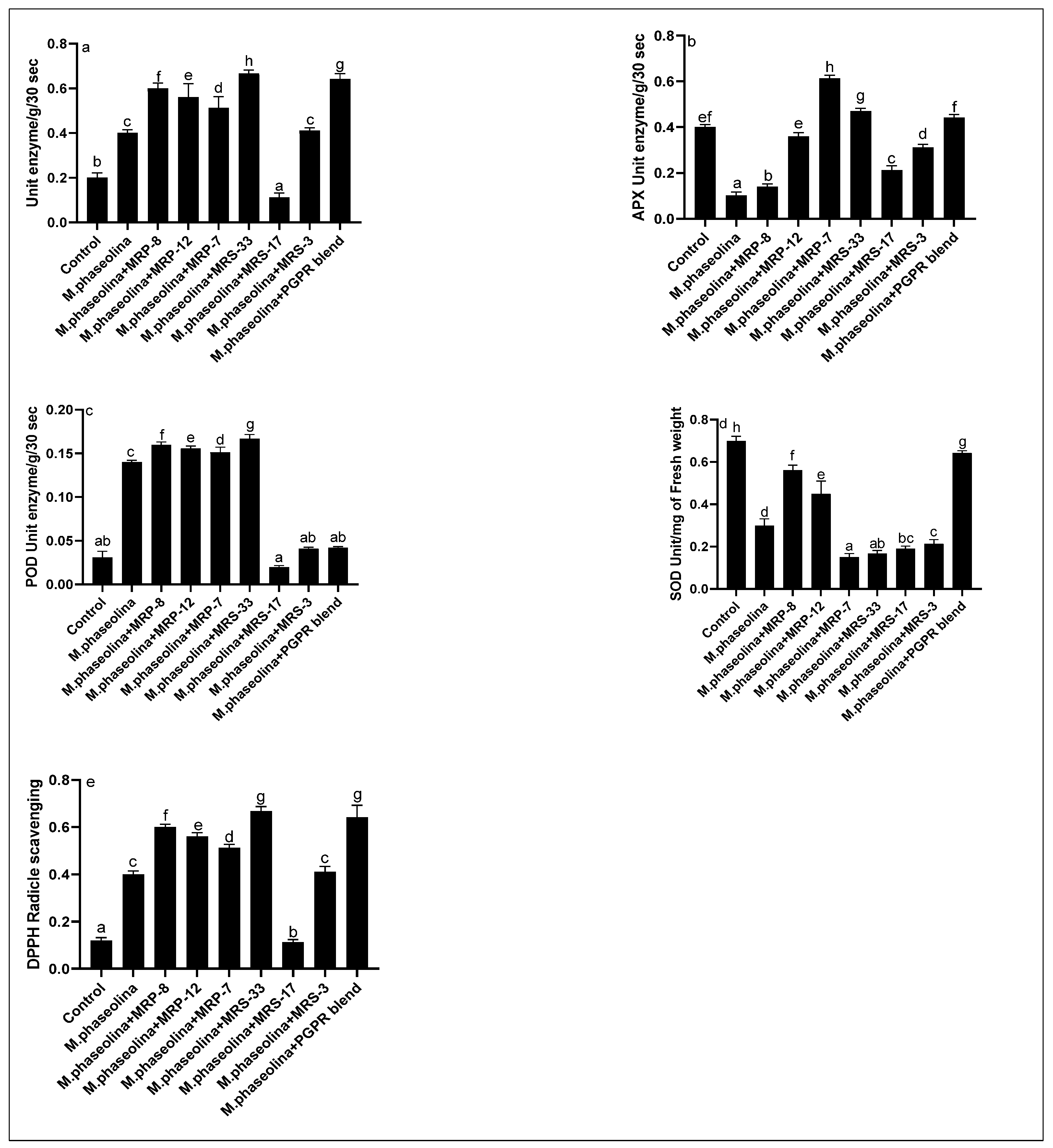
3.4. Pot Experiment Results
4. Discussion
5. Conclusions
Author Contributions
Funding
Data Availability Statement
Acknowledgments
Conflicts of Interest
References
- Aziz-ur-Rehman, M.; Kaukab, S.; Saeed, S.; Aqeel, M.; Riasat, G.; Rafiq, C.M. Prospects of Mungbean as an Additional Crop in Rice Wheat System of Punjab Pakistan. Univ. J. Agric. Res. 2019, 7, 136–141. [Google Scholar] [CrossRef]
- Pandey, A.K.; Burlakoti, R.R.; Kenyon, L.; Nair, R.M. Perspectives and challenges for sustainable management of fungal diseases of mungbean [Vigna radiata (L.) R. Wilczek var. radiata]: A Review. Front. Environ. Sci. 2018, 6, 53. [Google Scholar] [CrossRef]
- Pandey, A.K.; Basandrai, A.K. Will Macrophomina phaseolina spread in legumes due to climate change? A critical review of current knowledge. J. Plant Dis. Prot. 2020, 128, 9–18. [Google Scholar] [CrossRef]
- Lodha, S.; Mawar, R. Population dynamics of Macrophomina phaseolina in relation to disease management: A review. J. Phytopathol. 2020, 168, 1–17. [Google Scholar] [CrossRef]
- Oyebamiji, Y.O.; Adebayo, I.A.; Ismail, M.N.; Shamsuddin, N.A.A.; Ismail, N.Z.; Arsad, H. Impact of Pesticide Use in Agriculture. In Environmental Pollution Impact on Plants; Apple Academic Press: Cambridge, MA, USA, 2023; pp. 91–123. [Google Scholar]
- Kannojia, P.; Choudhary, K.K.; Srivastava, A.K.; Singh, A.K. Chapter Four—PGPR Bioelicitors: Induced Systemic Resistance (ISR) and Proteomic Perspective on Biocontrol. In PGPR Amelioration in Sustainable Agriculture; Singh, A.K., Kumar, A., Singh, P.K., Eds.; Woodhead Publishing: New Delhi, India, 2019; pp. 67–84. [Google Scholar] [CrossRef]
- Verma, P.P.; Shelake, R.M.; Das, S.; Sharma, P.; Kim, J.-Y. Plant growth-promoting rhizobacteria (PGPR) and fungi (PGPF): Potential biological control agents of diseases and pests. In Microbial Interventions in Agriculture and Environment; Volume 1: Research Trends, Priorities and Prospects; Springer: Berlin/Heidelberg, Germany, 2019; pp. 281–311. [Google Scholar]
- Ji, H. Analysis of Rice Response and Improvement of Defence to the Root-Knot Nematode Meloidogyne graminicola. Doctoral Dissertation, Ghent University, Ghent, Belgium, 2014. [Google Scholar]
- Odoh, C.K. Plant growth promoting rhizobacteria (PGPR): A bioprotectant bioinoculant for sustainable agrobiology. A review. Int. J. Adv. Res. Biol. Sci. 2017, 4, 123–142. [Google Scholar]
- Cryan, J.F.; O’Riordan, K.J.; Cowan, C.S.; Sandhu, K.V.; Bastiaanssen, T.F.; Boehme, M.; Codagnone, M.G.; Cussotto, S.; Fulling, C.; Golubeva, A.V. The microbiota-gut-brain axis. Physiol. Rev. 2019, 99, 1877–2013. [Google Scholar] [CrossRef]
- Kushwaha, P.; Kashyap, P.L.; Srivastava, A.K.; Tiwari, R.K. Plant growth promoting and antifungal activity in endophytic Bacillus strains from pearl millet (Pennisetum glaucum). Braz. J. Microbiol. 2020, 51, 229–241. [Google Scholar] [CrossRef]
- Sagar, A.J.V. Comparative Analysis of Production of Hydrogen Cyanide (HCN) with Production of Siderophore (SD) and Phosphate Solubilization (PS) Activity in Plant Growth Promoting Bacteria (PGPB). Vegetos 2018, 31, 130–135. [Google Scholar] [CrossRef]
- Devine, R.; Hutchings, M.I.; Holmes, N.A. Future directions for the discovery of antibiotics from actinomycete bacteria. Emerg. Top. Life Sci. 2017. [Google Scholar] [CrossRef]
- Bloch, S.E.; Ryu, M.-H.; Ozaydin, B.; Broglie, R. Harnessing atmospheric nitrogen for cereal crop production. Curr. Opin. Biotechnol. 2020, 62, 181–188. [Google Scholar] [CrossRef]
- Chaskes, S.; Austin, R. Stains for light microscopy. In Practical Handbook of Microbiology; CRC Press: Boca Raton, FL, USA, 2021; pp. 41–50. [Google Scholar]
- Kumari, S.; Prabha, C.; Singh, A.; Kumari, S.; Kiran, S. Optimization of Indole-3-Acetic Acid Production by Diazotrophic B. subtilis DR2 (KP455653), Isolated from Rhizosphere of Eragrostis cynosuroides. Int. J. Pharma Med. Biol. Sci. 2018, 7, 20–27. [Google Scholar] [CrossRef]
- Qadir, M.; Hussain, A.; Shah, M.; Lee, I.J.; Iqbal, A.; Irshad, M.; Sayyed, A.; Ahmad, A.; Hamayun, M. Comparative assessment of chromate bioremediation potential of Pantoea conspicua and Aspergillus niger. J. Hazard. Mater. 2022, 424, 127314. [Google Scholar] [CrossRef] [PubMed]
- Verma, T.; Pal, P. Isolation and Screening of Rhizobacteria for various plant growth promoting attributes. J. Pharmacogn. Phytochem. 2020, 9, 1514–1517. [Google Scholar] [CrossRef]
- Avalos, M.; Garbeva, P.; Raaijmakers, J.M.; van Wezel, G.P. Production of ammonia as a low-cost and long-distance antibiotic strategy by Streptomyces species. ISME J. 2020, 14, 569–583. [Google Scholar] [CrossRef] [PubMed]
- Ezemba, C.; Obinabo, C.; Archibong, E.; Mbah, O. Microbial Assessment of Kunu Sold in Awka Metropolis. Microbiol. Res. J. Int. 2021, 31, 18–25. [Google Scholar] [CrossRef]
- Aung, A.; Cui, A.; Maiorino, L.; Amini, A.P.; Gregory, J.R.; Bukenya, M.; Zhang, Y.; Lee, H.; Cottrell, C.A.; Morgan, D.M. Low protease activity in B cell follicles promotes retention of intact antigens after immunization. Science 2023, 379, eabn8934. [Google Scholar] [CrossRef]
- Pranay, K.; Padmadeo, S.R.; Jha, V.; Prasad, B. Screening and identification of amylase producing strains of Bacillus. J. Appl. Biol. Biotechnol. 2019, 7, 57–62. [Google Scholar]
- Haile, S.; Ayele, A. Pectinase from microorganisms and its industrial applications. Sci. World J. 2022, 2022, 1881305. [Google Scholar] [CrossRef]
- Elias, F.; Diriba, M.; Delelegn, W. Effects of phosphate solubilizing fungi on growth and yield of haricot bean (Phaseolus vulgaris L.) Plants. J. Agric. Sci. 2016, 8, 204–218. [Google Scholar] [CrossRef]
- Sethi, S.K. 8 Role of microbial endophytes and their oxidases on effective biocontrol activity against different pathogens of cereal crops in India. In Microbial Oxidative Enzymes: Biotechnological Applications; De Gruyter: Berlin, Germany, 2023; p. 155. [Google Scholar]
- Khan, I.; Zada, A.; Jia, T.; Hu, X. Effect of the Enhanced Production of Chlorophyll b on the Light Acclimation of Tomato. Int. J. Mol. Sci. 2023, 24, 3377. [Google Scholar] [CrossRef]
- Wang, M.; Qiu, S.; Yang, H.; Huang, Y.; Dai, L.; Zhang, B.; Zou, J. Spectrophotometric determination of hydrogen peroxide in water with peroxidase-catalyzed oxidation of potassium iodide and its applications to hydroxylamine-involved Fenton and Fenton-like systems. Chemosphere 2021, 270, 129448. [Google Scholar] [CrossRef] [PubMed]
- Qadir, M.; Hussain, A.; Shah, M.; Hamayun, M.; Iqbal, A.; Irshad, M.; Khan, Z.H.; Islam, B.; Elansary, H.O.; Mahmoud, E.A. Pantoea conspicua promoted sunflower growth and engulfed rhizospheric arsenate by secreting exopolysaccharide. Plant Physiol. Biochem. 2023, 201, 107826. [Google Scholar] [CrossRef] [PubMed]
- Sun, H.; Liu, X.; Wang, X.; Han, Q.; Qi, C.; Li, Y.; Wang, C.; Chen, Y.; Yang, R. Colorimetric determination of ascorbic acid using a polyallylamine-stabilized IrO2/graphene oxide nanozyme as a peroxidase mimic. Microchim. Acta 2020, 187, 1–9. [Google Scholar] [CrossRef]
- Elavarthi, S.; Martin, B. Spectrophotometric assays for antioxidant enzymes in plants. In Plant Stress Tolerance: Methods and Protocols; Springer: Berlin/Heidelberg, Germany, 2010; pp. 273–280. [Google Scholar]
- Tripathi, K.M.; Ahn, H.T.; Chung, M.; Le, X.A.; Saini, D.; Bhati, A.; Sonkar, S.K.; Kim, M.I.; Kim, T. N, S, and P-co-doped carbon quantum dots: Intrinsic peroxidase activity in a wide pH range and its antibacterial applications. ACS Biomater. Sci. Eng. 2020, 6, 5527–5537. [Google Scholar] [CrossRef]
- Hemaiswarya, S.; Kruthiventi, A.K.; Doble, M. Synergism between natural products and antibiotics against infectious diseases. Phytomedicine 2008, 15, 639–652. [Google Scholar] [CrossRef]
- Narayanasamy, P. Biological Management of Diseases of Crops; Springer: Berlin/Heidelberg, Germany, 2013; Volume 673. [Google Scholar]
- Raza, T.; Villalobos, S.d.L.S.; Shehzad, M.; Imran, S.; Silva, D. PGPR characterization of rhizobacteria associated with apple gourd (Praecitrullus fistulosus L.). Pak. J. Agric. Res. 2020, 33, 926–939. [Google Scholar]
- Hussain, I.; Irshad, M.; Hussain, A.; Qadir, M.; Mehmood, A.; Rahman, M.; Alrefaei, A.F.; Almutairi, M.H.; Ali, S.; Hamayun, M. Phosphate solubilizing Aspergillus Niger PH1 ameliorates growth and alleviates lead stress in maize through improved photosynthetic and antioxidant response. BMC Plant Biol. 2024, 24, 642. [Google Scholar] [CrossRef]
- Mehta, S.; Nautiyal, C.S. An efficient method for qualitative screening of phosphate-solubilizing bacteria. Curr. Microbiol. 2001, 43, 51–56. [Google Scholar] [CrossRef] [PubMed]
- Xia, Y.; Farooq, M.A.; Javed, M.T.; Kamran, M.A.; Mukhtar, T.; Ali, J.; Tabassum, T.; ur Rehman, S.; Munis, M.F.H.; Sultan, T.; et al. Multi-stress tolerant PGPR Bacillus xiamenensis PM14 activating sugarcane (Saccharum officinarum L.) red rot disease resistance. Plant Physiol. Biochem. 2020, 151, 640–649. [Google Scholar]
- Hussain, A.; Shah, M.; Hamayun, M.; Iqbal, A.; Qadir, M.; Alataway, A.; Dewidar, A.Z.; Elansary, H.O.; Lee, I.-J. Phytohormones producing rhizobacteria alleviate heavy metals stress in soybean through multilayered response. Microbiol. Res. 2023, 266, 127237. [Google Scholar] [CrossRef]
- Husna; Hussain, A.; Shah, M.; Hamayun, M.; Iqbal, A.; Murad, W.; Irshad, M.; Qadir, M.; Kim, H.-Y. Pseudocitrobacter anthropi reduces heavy metal uptake and improves phytohormones and antioxidant system in Glycine max L. World J. Microbiol. Biotechnol. 2021, 37, 195. [Google Scholar]
- Qadir, M.; Hussain, A.; Hamayun, M.; Shah, M.; Iqbal, A.; Murad, W. Phytohormones producing rhizobacterium alleviates chromium toxicity in Helianthus annuus L. by reducing chromate uptake and strengthening antioxidant system. Chemosphere 2020, 258, 127386. [Google Scholar] [CrossRef]
- Qadir, M.; Hussain, A.; Hamayun, M.; Shah, M.; Iqbal, A.; Irshad, M.; Ahmad, A.; Lodhi, M.A.; Lee, I.-J. Phytohormones producing Acinetobacter bouvetii P1 mitigates chromate stress in sunflower by provoking host antioxidant response. Antioxidants 2021, 10, 1868. [Google Scholar] [CrossRef] [PubMed]
- Qadir, M.; Hussain, A.; Iqbal, A.; Shah, F.; Wu, W.; Cai, H. Microbial Utilization to Nurture Robust Agroecosystems for Food Security. Agronomy 2024, 14, 1891. [Google Scholar] [CrossRef]
- Masciarelli, O.; Urbani, L.; Reinoso, H.; Luna, V. Alternative mechanism for the evaluation of indole-3-acetic acid (IAA) production by Azospirillum brasilense strains and its effects on the germination and growth of maize seedlings. J. Microbiol. 2013, 51, 590–597. [Google Scholar] [CrossRef] [PubMed]
- Zaidi, A.; Khan, M.S.; Ahemad, M.; Oves, M.; Wani, P. Recent advances in plant growth promotion by phosphate-solubilizing microbes. In Microbial Strategies for Crop Improvement; Springer: Berlin/Heidelberg, Germany, 2009; pp. 23–50. [Google Scholar]
- Sehrawat, A.; Sindhu, S.S.; Glick, B.R. Hydrogen cyanide production by soil bacteria: Biological control of pests and promotion of plant growth in sustainable agriculture. Pedosphere 2022, 32, 15–38. [Google Scholar] [CrossRef]
- Chauhan, P.; Bhattacharya, A.; Giri, V.P.; Singh, S.P.; Gupta, S.C.; Verma, P.; Dwivedi, A.; Rajput, L.S.; Mishra, A. Bacillus subtilis suppresses the charcoal rot disease by inducing defence responses and physiological attributes in soybean. Arch. Microbiol. 2022, 204, 266. [Google Scholar] [CrossRef]
- David, B.V.; Chandrasehar, G.; Selvam, P.N. Pseudomonas fluorescens: A plant-growth-promoting rhizobacterium (PGPR) with potential role in biocontrol of pests of crops. In Crop Improvement through Microbial Biotechnology; Elsevier: Amsterdam, The Netherlands, 2018; pp. 221–243. [Google Scholar]
- Hasanuzzaman, M.; Hossain, M.A.; da Silva, J.A.T.; Fujita, M. Plant response and tolerance to abiotic oxidative stress: Antioxidant defense is a key factor. In Crop Stress and Its Management: Perspectives and Strategies; Springer: Berlin/Heidelberg, Germany, 2012; pp. 261–315. [Google Scholar]
- Murali, M.; Singh, S.B.; Gowtham, H.; Shilpa, N.; Prasad, M.; Aiyaz, M.; Amruthesh, K. Induction of drought tolerance in Pennisetum glaucum by ACC deaminase producing PGPR-Bacillus amyloliquefaciens through Antioxidant defense system. Microbiol. Res. 2021, 253, 126891. [Google Scholar] [CrossRef] [PubMed]
- Qadir, M.; Hussain, A.; Shah, M.; Hamayun, M.; Al-Huqail, A.A.; Iqbal, A.; Ali, S. Improving sunflower growth and arsenic bioremediation in polluted environments: Insights from ecotoxicology and sustainable mitigation approaches. Heliyon 2024, 10, e33078. [Google Scholar] [CrossRef]
- Carreiras, J.; Cruz-Silva, A.; Fonseca, B.; Carvalho, R.C.; Cunha, J.P.; Proença Pereira, J.; Paiva-Silva, C.A.; Santos, S.; Janeiro Sequeira, R.; Mateos-Naranjo, E.J.M. Improving Grapevine Heat Stress Resilience with Marine Plant Growth-Promoting Rhizobacteria Consortia. Microorganisms 2023, 11, 856. [Google Scholar] [CrossRef]
- Meena, M.; Swapnil, P.; Divyanshu, K.; Kumar, S.; Harish; Tripathi, Y.N.; Zehra, A.; Marwal, A.; Upadhyay, R.S. PGPR-mediated induction of systemic resistance and physiochemical alterations in plants against the pathogens: Current perspectives. J. Basic Microbiol. 2020, 60, 828–861. [Google Scholar] [CrossRef]
- Lucas, J.A.; García-Cristobal, J.; Bonilla, A.; Ramos, B.; Gutierrez-Manero, J. Beneficial rhizobacteria from rice rhizosphere confers high protection against biotic and abiotic stress inducing systemic resistance in rice seedlings. Plant Physiol. Biochem. 2014, 82, 44–53. [Google Scholar] [CrossRef] [PubMed]
- Backer, R.; Rokem, J.S.; Ilangumaran, G.; Lamont, J.; Praslickova, D.; Ricci, E.; Subramanian, S.; Smith, D.L. Plant growth-promoting rhizobacteria: Context, mechanisms of action, and roadmap to commercialization of biostimulants for sustainable agriculture. Front. Plant Sci. 2018, 9, 1473. [Google Scholar] [CrossRef] [PubMed]
- Khanna, K.; Jamwal, V.L.; Kohli, S.K.; Gandhi, S.G.; Ohri, P.; Bhardwaj, R.; Wijaya, L.; Alyemeni, M.N.; Ahmad, P. Role of plant growth promoting Bacteria (PGPRs) as biocontrol agents of Meloidogyne incognita through improved plant defense of Lycopersicon esculentum. Plant Soil 2019, 436, 325–345. [Google Scholar] [CrossRef]
- Nandi, S.; Dutta, S.; Mondal, A.; Adhikari, A.; Nath, R.; Chattopadhaya, A.; Chaudhuri, S. Biochemical responses during the pathogenesis of Sclerotium rolfsii on cowpea. Afr. J. Biotechnol. 2013, 12, 3968–3977. [Google Scholar]
- Netala, V.R.; Kotakadi, V.S.; Bobbu, P.; Gaddam, S.A.; Tartte, V. Endophytic fungal isolate mediated biosynthesis of silver nanoparticles and their free radical scavenging activity and anti microbial studies. Biotech 2016, 6, 132. [Google Scholar] [CrossRef]
- Khattak, K.F.; Simpson, T.J. Effect of gamma irradiation on the antimicrobial and free radical scavenging activities of Glycyrrhiza glabra root. Radiat. Phys. Chem. 2010, 79, 507–512. [Google Scholar] [CrossRef]





| Name | Colony Color | Form | Elevation | Margin | Opacity | Shape | Gram Reaction |
|---|---|---|---|---|---|---|---|
| MRS-3 | Off-white | Irregular | Umbonate | Lobate | Translucent | Coccus | + |
| MRP-7 | Off-white | Circular | Umbonate | Entire | Transparent | Bacillus | - |
| MRP-8 | Creamy | Punctiform | Flat | Entire | Translucent | Bacillus | - |
| MRS-10 | Creamy | Circular | Flat | Entire | Opaque | Coccus | + |
| MRP-12 | Off-white | Irregular | Umbonate | Lobate | Translucent | Bacillus | - |
| MER-15 | Light orange | Circular | Raised | Entire | Translucent | Bacillus | - |
| MRS-17 | Off-white | Circular | Flat | Entire | Translucent | Bacillus | - |
| MRS-20 | Creamy | Punctiform | Flat | Entire | Translucent | Coccus | + |
| MRP-23 | Red | Circular | Flat | Entire | Opaque | Coccus | + |
| MRS-27 | Off-white | Punctiform | Raised | Entire | Translucent | Coccus | + |
| MRS-29 | Lemon | Circular | Flat | Entire | Opaque | Coccus | + |
| MRS-33 | White | Circular | Flat | Entire | Translucent | Bacillus | - |
| MRP-34 | Off-white | Circular | Raised | Entire | Opaque | Coccus | + |
| MRS-13 | Off-white | Circular | Flat | Erose | Translucent | Coccus | + |
| MRS-35 | Off-white | Circular | Flat | Entire | Translucent | Coccus | + |
| Strain | Indole Acetic Acid | HCN | NH3 Detection/Color | P Solubilization | ||
|---|---|---|---|---|---|---|
| Detection | Quantification | Test | SI | |||
| MRS-3 | - | 0.0 ± 0.0 | - | +/Orange | + | 1.5 |
| MRP-7 | - | 0.0 ± 0.0 | +++ | +/Yellow | - | 0.0 |
| MRP-8 | + | 16.06 ± 0.21 | + | +/Yellow | + | 2.2 |
| MRS-10 | - | 0.0 ± 0.0 | - | +/Orange | - | 0.0 |
| MRP-12 | - | 0.0 ± 0.0 | + | +/Yellow | - | 0.0 |
| MRS-13 | - | 0.0 ± 0.0 | - | +/Faint yellow | + | 1.2 |
| MER-15 | - | 0.0 ± 0.0 | + | +/Orange | + | 2.2 |
| MRS-17 | - | 0.0 ± 0.0 | + | +/Orange | + | 3.2 |
| MRS-20 | - | 0.0 ± 0.0 | - | +/Faint yellow | - | 0.0 |
| MRP-23 | + | 9.7 ± 0.11 | - | +/Yellow | + | 1.5 |
| MRS-27 | - | 0.0 ± 0.0 | - | +/Orange | + | 1.1 |
| MRS-29 | - | 0.0 ± 0.0 | - | +/Faint yellow | - | 0.0 |
| MRS-33 | - | 0.0 ± 0.0 | + | +/Yellow | - | 0.0 |
| MRP-34 | - | 0.0 ± 0.0 | - | +/Yellow | + | 1.4 |
| MRS-35 | - | 0.0 ± 0.0 | - | +/Orange | + | 1.2 |
| PGPR Strain | Catalase Test | Protease Test | Amylase Test | Pectinase Test |
|---|---|---|---|---|
| MRS-3 | + | + | + | ++ |
| MRP-7 | + | + | ++ | ++ |
| MRP-8 | + | +++ | ++ | +++ |
| MRS-10 | + | + | ++ | +++ |
| MRP-12 | + | + | + | +++ |
| MRS-13 | + | + | + | +++ |
| MER-15 | + | + | - | + |
| MRS-17 | + | ++ | - | ++ |
| MRS-20 | + | +++ | ++ | ++ |
| MRP-23 | + | ++ | - | ++ |
| MRS-27 | + | ++ | + | ++ |
| MRS-29 | ++ | +++ | +++ | +++ |
| MRS-33 | + | + | ++ | ++ |
| MRP-34 | + | - | - | ++ |
| MRS-35 | - | ++ | + | +++ |
| Treatments | Fungus Growth (cm) | Bacterial Zone (cm) | Percentage Growth Inhibition (%) |
|---|---|---|---|
| Control | 0.00 i ± 0.0 | 0.00 h ± 0.0 | 0.00 i ± 0.0 |
| MRS-3 | 5.16 c ± 0.01 | 2.16 d ± 0.01 | 35.67 f ± 1.01 |
| MRP-7 | 3.36 h ± 0.011 | 2.66 a ± 0.017 | 58.33 a ± 1.91 |
| MRP-8 | 4.26 f ± 0.012 | 2.06 e ± 0.015 | 47.33 c ± 1.54 |
| MRS-10 | 0.00 i ± 0.0 | 0.00 h ± 0.0 | 0.00 i ± 0.0 |
| MRP-12 | 3.56 g ± 0.01 | 2.46 b ± 0.012 | 55.67 b ± 1.23 |
| MRS-13 | 0.00 i ± 0.0 | 0.00 h ± 0.0 | 0.00 i ± 0.0 |
| MER-15 | 5.36 b ± 0.02 | 1.76 f ± 0.009 | 33.33 g ± 1.51 |
| MRS-17 | 4.76 d ± 0.021 | 2.46 b ± 0.01 | 40.66 f ± 1.67 |
| MRS-20 | 0.00 i ± 0.0 | 0.00 h ± 0.0 | 0.00 i ± 0.0 |
| MRP-23 | 0.00 i ± 0.0 | 0.00 h ± 0.0 | 0.00 i ± 0.0 |
| MRS-27 | 6.16 a ± 0.023 | 1.23 g ± 0.01 | 23.33 h ± 1.12 |
| MRS-29 | 0.00 i ± 0.0 | 0.00 h ± 0.0 | 0.00 i ± 0.0 |
| MRS-33 | 4.46 e ± 0.01 | 2.26 c ± 0.01 | 44.33 d ± 1.21 |
| MRP-34 | 0.00 i ± 0.0 | 0.00 h ± 0.0 | 0.00 i ± 0.0 |
| MRS-35 | 0.00 i ± 0.0 | 0.00 h ± 0.0 | 0.00 i ± 0.0 |
| Treatment | Root Length (cm) | Shoot Length (cm) | No. of Pods | No. of Nodules |
|---|---|---|---|---|
| To-Control | 8.200 f ± 0.981 | 14.467 g ± 0.85 | 2.6667 d ± 0.3 | 3.6667 d ± 0.2 |
| T1-Control with fungus | 5.6667 g ± 0.99 | 11.667 h ± 0.77 | 1.6667 d ± 0.0 | 2.0000 d ± 0.1 |
| T2-MRP-8 | 15.767 a ± 1.34 | 24.633 a ± 0.93 | 10.333 a ± 0.1 | 11.6667 a ± 0.16 |
| T3-MRP-12 | 14.500 b ± 1.51 | 23.633 b ± 2.01 | 9.667 a ± 0.1 | 8.6667 c ± 0.41 |
| T4-MRP-7 | 11.967 de ± 1.22 | 20.067 d ± 1.02 | 8.0000 b ± 0.0 | 11.667 a ± 0.23 |
| T5-MRS-33 | 12.667 cd ± 0.93 | 20.800 c ± 1.11 | 7.6667 b ± 0.0 | 9.0000 bc ± 0.11 |
| T6-MRS-17 | 11.333 e ± 1.29 | 18.667 e ± 1.32 | 7.0000 b ± 0.1 | 11.333 ab ± 0.21 |
| T7-MRS-3 | 13.167 c ± 0.21 | 17.867 f ± 1.71 | 5.6667 c ± 0.0 | 8.3333 c ± 0.1 |
| T8-MIX | 14.500 b ± 0.89 | 22.967 b ± 1.09 | 8.0000 b ± 0.0 | 12.333 a ± 0.22 |
Disclaimer/Publisher’s Note: The statements, opinions and data contained in all publications are solely those of the individual author(s) and contributor(s) and not of MDPI and/or the editor(s). MDPI and/or the editor(s) disclaim responsibility for any injury to people or property resulting from any ideas, methods, instructions or products referred to in the content. |
© 2024 by the authors. Licensee MDPI, Basel, Switzerland. This article is an open access article distributed under the terms and conditions of the Creative Commons Attribution (CC BY) license (https://creativecommons.org/licenses/by/4.0/).
Share and Cite
Khan, I.; Mohyuddin, S.G.; Sohail; Zaman, S.; Qadir, M.; Guo, J.; Li, G. Enhancing Growth in Vigna radiata through the Inhibition of Charcoal Rot Disease: A Strategic Approach Using Plant Growth-Promoting Rhizobacteria. Microorganisms 2024, 12, 1852. https://doi.org/10.3390/microorganisms12091852
Khan I, Mohyuddin SG, Sohail, Zaman S, Qadir M, Guo J, Li G. Enhancing Growth in Vigna radiata through the Inhibition of Charcoal Rot Disease: A Strategic Approach Using Plant Growth-Promoting Rhizobacteria. Microorganisms. 2024; 12(9):1852. https://doi.org/10.3390/microorganisms12091852
Chicago/Turabian StyleKhan, Imran, Sahar Ghulam Mohyuddin, Sohail, Shah Zaman, Muhammad Qadir, Juxian Guo, and Guihua Li. 2024. "Enhancing Growth in Vigna radiata through the Inhibition of Charcoal Rot Disease: A Strategic Approach Using Plant Growth-Promoting Rhizobacteria" Microorganisms 12, no. 9: 1852. https://doi.org/10.3390/microorganisms12091852
APA StyleKhan, I., Mohyuddin, S. G., Sohail, Zaman, S., Qadir, M., Guo, J., & Li, G. (2024). Enhancing Growth in Vigna radiata through the Inhibition of Charcoal Rot Disease: A Strategic Approach Using Plant Growth-Promoting Rhizobacteria. Microorganisms, 12(9), 1852. https://doi.org/10.3390/microorganisms12091852

