Coronal and Root Canal Microbiota in Apical Periodontitis with Different PAI
Abstract
1. Introduction
2. Materials and Methods
2.1. Recruitment of Patients and Clinical Characteristics
2.2. DNA Extraction Quality Control
2.3. Sequencing, Raw Data Processing Taxonomic Assignment and Statistical Analysis
3. Results
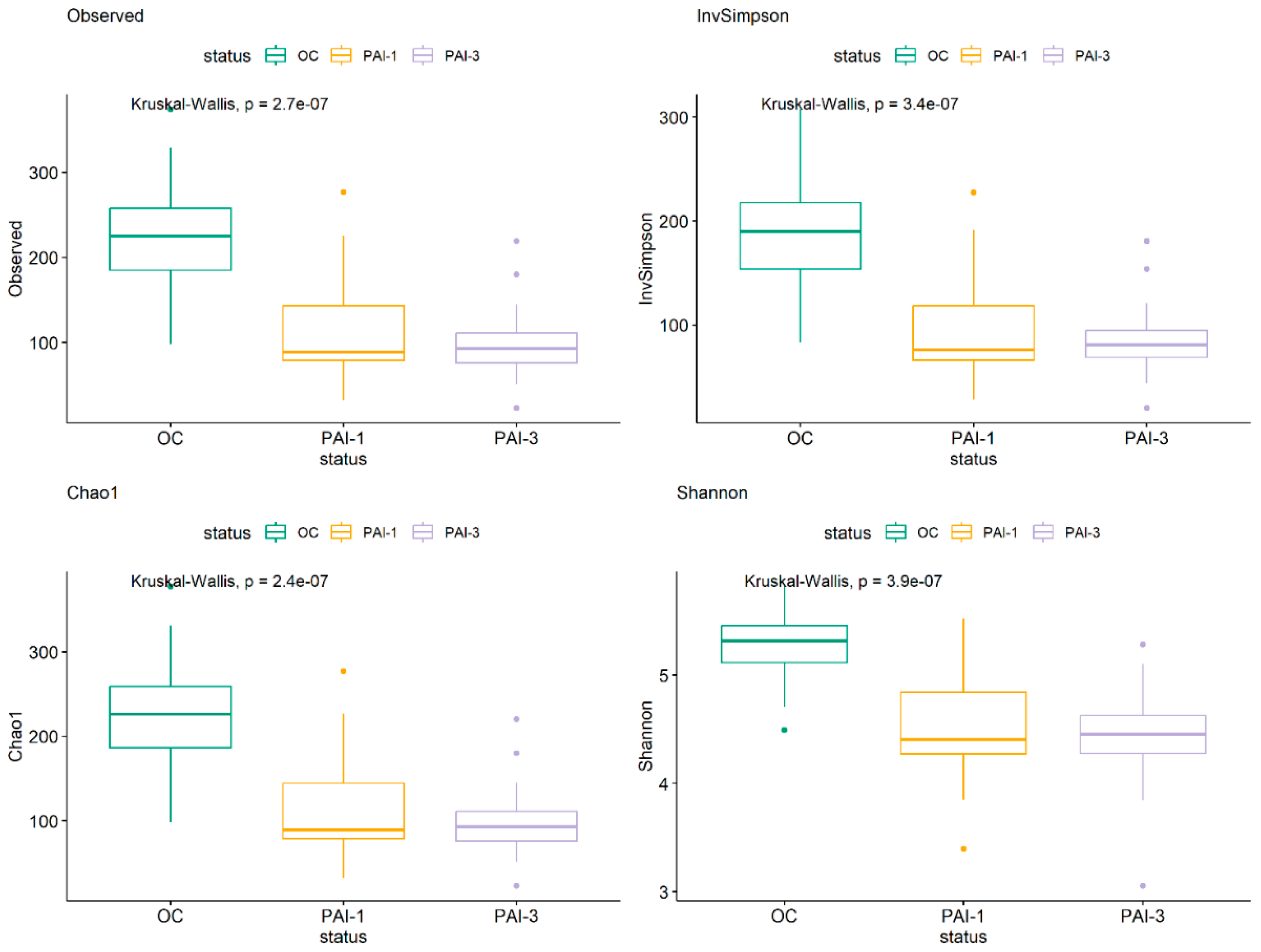
3.1. Sequencing Data and Diversity in Oral Microbiota
3.2. Differential Analysis Abundance of OC, PAI-1 and PAI-3 Phyla
3.3. Comparisons of Microbiota in Apical Periodontitis with Different PAI at the Genera and Species Levels

4. Discussion
Supplementary Materials
Author Contributions
Funding
Institutional Review Board Statement
Informed Consent Statement
Data Availability Statement
Conflicts of Interest
References
- Siqueira, J.F.; Rôças, I.N. Present Status and Future Directions: Microbiology of Endodontic Infections. Int. Endod. J. 2022, 55, 512–530. [Google Scholar] [CrossRef] [PubMed]
- Tibúrcio-Machado, C.S.; Michelon, C.; Zanatta, F.B.; Gomes, M.S.; Marin, J.A.; Bier, C.A. The Global Prevalence of Apical Periodontitis: A Systematic Review and Meta-Analysis. Int. Endod. J. 2021, 54, 712–735. [Google Scholar] [CrossRef] [PubMed]
- Nocini, R.; Lippi, G.; Mattiuzzi, C. Periodontal Disease: The Portrait of an Epidemic. J. Public Health Emerg. 2020, 4, 10. [Google Scholar] [CrossRef]
- Azeredo, S.V.; Brasil, S.C.; Antunes, H.; Marques, F.V.; Pires, F.R.; Armada, L. Distribution of Macrophages and Plasma Cells in Apical Periodontitis and Their Relationship with Clinical and Image Data. J. Clin. Exp. Dent. 2017, 9, e1060. [Google Scholar] [CrossRef][Green Version]
- Kakehashi, S.; Stanley, H.R.; Fitzgerald, R.J. The Effects of Surgical Exposures of Dental Pulps in Germ-Free and Conventional Laboratory Rats. Oral Surg. Oral Med. Oral Pathol. 1965, 20, 340–349. [Google Scholar] [CrossRef] [PubMed]
- Sundqvist, G. Associations between Microbial Species in Dental Root Canal Infections. Oral. Microbiol. Immunol. 1992, 7, 257–262. [Google Scholar] [CrossRef]
- Fouad, A.F.; Barry, J.; Caimano, M.; Clawson, M.; Zhu, Q.; Carver, R.; Hazlett, K.; Radolf, J.D. PCR-Based Identifica-tion of Bacteria Associated with Endodontic Infections. J. Clin. Microbiol. 2002, 40, 3223–3231. [Google Scholar] [CrossRef] [PubMed]
- Bergenholtz, G. Micro-Organisms from Necrotic Pulp of Traumatized Teeth. Odontol. Rev. 1974, 25, 347–358. [Google Scholar]
- Sundqvist, G. Bacteriological Studies of Necrotic Dental Pulps. Ph.D. Thesis, Umeå University, Umeå, Sweden, 1976. [Google Scholar]
- Molander, A.; Reit, C.; Dahlén, G.; Kvist, T. Microbiological Status of Root-Filled Teeth with Apical Periodontitis. Int. Endod. J. 1998, 31, 1–7. [Google Scholar] [CrossRef]
- Duncan, H.F.; Kirkevang, L.-L.; Peters, O.A.; El-Karim, I.; Krastl, G.; Del Fabbro, M.; Chong, B.S.; Galler, K.M.; Segura-Egea, J.J.; Kebschull, M.; et al. Treatment of Pulpal and Apical Disease: The European Society of Endodon-tology (ESE) S3-Level Clinical Practice Guideline. Int. Endod. J. 2023, 56, 238–295. [Google Scholar] [CrossRef]
- Sundqvist, G.; Figdor, D.; Persson, S.; Sjögren, U. Microbiologic Analysis of Teeth with Failed Endodontic Treatment and the Outcome of Conservative Re-Treatment. Oral Surg. Oral Med. Oral Pathol. Oral Radiol. Endodontol. 1998, 85, 86–93. [Google Scholar] [CrossRef] [PubMed]
- Khalighinejad, N.; Aminoshariae, M.R.; Aminoshariae, A.; Kulild, J.C.; Mickel, A.; Fouad, A.F. Association between Systemic Diseases and Apical Periodontitis. J. Endod. 2016, 42, 1427–1434. [Google Scholar] [CrossRef] [PubMed]
- Anderson, A.C.; Hellwig, E.; Vespermann, R.; Wittmer, A.; Schmid, M.; Karygianni, L.; Al-Ahmad, A. Comprehen-sive Analysis of Secondary Dental Root Canal Infections: A Combination of Culture and Culture-Independent Ap-proaches Reveals New Insights. PLoS ONE 2012, 7, e49576. [Google Scholar] [CrossRef] [PubMed]
- Park, D.H.; Park, O.J.; Yoo, Y.J.; Perinpanayagam, H.; Cho, E.B.; Kim, K.; Park, J.; Noblett, W.C.; Kum, K.Y.; Han, S.H. Microbiota Association and Profiling of Gingival Sulci and Root Canals of Teeth with Primary or Secondary/Persistent Endodontic Infections. J. Endod. 2024. [Google Scholar] [CrossRef] [PubMed]
- Chen, H.; Jiang, W. Application of High-Throughput Sequencing in Understanding Human Oral Microbiome Related with Health and Disease. Front. Microbiol. 2014, 5, 97067. [Google Scholar] [CrossRef] [PubMed]
- Siqueira, J.F.; Rôças, I.N. The Oral Microbiota in Health and Disease: An Overview of Molecular Findings. Methods Mol. Biol. 2017, 1537, 127–138. [Google Scholar] [CrossRef] [PubMed]
- Ørstavik, D.; Kerekes, K.; Eriksen, H.M. The Periapical Index: A Scoring System for Radiographic Assessment of Apical Periodontitis. Dent. Traumatol. 1986, 2, 20–34. [Google Scholar] [CrossRef]
- Pietrucci, D.; Teofani, A.; Unida, V.; Cerroni, R.; Biocca, S.; Stefani, A.; Desideri, A. Can Gut Microbiota Be a Good Predictor for Parkinson’s Disease? A Machine Learning Approach. Brain Sci. 2020, 10, 242. [Google Scholar] [CrossRef]
- Martin, M. Cutadapt Removes Adapter Sequences from High-Throughput Sequencing Reads. EMBnet J. 2011, 17, 10–12. [Google Scholar] [CrossRef]
- Chen, S.; Zhou, Y.; Chen, Y.; Gu, J. Fastp: An Ultra-Fast All-in-One FASTQ Preprocessor. Bioinformatics 2018, 34, i884–i890. [Google Scholar] [CrossRef]
- Bolyen, E.; Rideout, J.R.; Dillon, M.R.; Bokulich, N.A.; Abnet, C.C.; Al-Ghalith, G.A.; Alexander, H.; Alm, E.J.; Arumugam, M.; Asnicar, F.; et al. Reproducible, Interactive, Scalable and Extensible Microbiome Data Science Using QIIME 2. Nat. Biotechnol. 2019, 37, 852–857. [Google Scholar] [CrossRef]
- Callahan, B.J.; McMurdie, P.J.; Rosen, M.J.; Han, A.W.; Johnson, A.J.A.; Holmes, S.P. DADA2: High-Resolution Sample Inference from Illumina Amplicon Data. Nat. Methods 2016, 13, 581–583. [Google Scholar] [CrossRef] [PubMed]
- Oksanen, J.; Blanchet, F.G.; Friendly, M.; Kindt, R.; Legendre, P.; McGlinn, D.; Minchin, P.R.; O’Hara, R.B.; Simpson, G.L.; Solymos, P. Vegan: Community Ecology Package. R Package Version 2.5-2. 2018. Available online: http://CRAN.R-project.org/package=vegan (accessed on 24 June 2023).
- McMurdie, P.J.; Holmes, S. Phyloseq: An R Package for Reproducible Interactive Analysis and Graphics of Microbiome Census Data. PLoS ONE 2013, 8, e61217. [Google Scholar] [CrossRef]
- Love, M.I.; Huber, W.; Anders, S. Moderated Estimation of Fold Change and Dispersion for RNA-Seq Data with DESeq2. Genome Biol. 2014, 15, 1–21. [Google Scholar] [CrossRef]
- Chen, T.; Yu, W.H.; Izard, J.; Baranova, O.V.; Lakshmanan, A.; Dewhirst, F.E. The Human Oral Microbiome Database: A Web Accessible Resource for Investigating Oral Microbe Taxonomic and Genomic Information. Database 2010, 2010, baq013. [Google Scholar] [CrossRef] [PubMed]
- Minty, M.; Lê, S.; Canceill, T.; Thomas, C.; Azalbert, V.; Loubieres, P.; Sun, J.; Sillam, J.; Terce, F.; Servant, F.; et al. Low-Diversity Microbiota in Apical Periodontitis and High Blood Pressure Are Signatures of the Severity of Apical Lesions in Humans. Int. J. Mol. Sci. 2023, 24, 1589. [Google Scholar] [CrossRef] [PubMed]
- de Brito, L.C.N.; Doolittle-Hall, J.; Lee, C.T.; Moss, K.; Bambirra Júnior, W.; Tavares, W.L.F.; Ribeiro Sobrinho, A.P.; Teles, F.R.F. The Apical Root Canal System Microbial Communities Determined by Next-Generation Sequencing. Sci. Rep. 2020, 10, 10932. [Google Scholar] [CrossRef] [PubMed]
- Könönen, E.; Fteita, D.; Gursoy, U.K.; Gursoy, M. Prevotella Species as Oral Residents and Infectious Agents with Potential Impact on Systemic Conditions. J. Oral. Microbiol. 2022, 14, 2079814. [Google Scholar] [CrossRef]
- Siqueira, J.F.; Rôças, I.N. Dialister Pneumosintes Can Be a Suspected Endodontic Pathogen. Oral. Surg. Oral. Med. Oral. Pathol. Oral. Radiol. Endod. 2002, 94, 494–498. [Google Scholar] [CrossRef]
- Ai, D.; Huang, R.; Wen, J.; Li, C.; Zhu, J.; Xia, L.C. Integrated Metagenomic Data Analysis Demonstrates That a Loss of Diversity in Oral Microbiota Is Associated with Periodontitis. BMC Genom. 2017, 18, 1–15. [Google Scholar] [CrossRef]
- Do Cabo Fernandes, C.; Rechenberg, D.K.; Zehnder, M.; Belibasakis, G.N. Identification of Synergistetes in Endodontic Infections. Microb. Pathog. 2014, 73, 1–6. [Google Scholar] [CrossRef][Green Version]
- Yu, X.L.; Chan, Y.; Zhuang, L.F.; Lai, H.C.; Lang, N.P.; Lacap-Bugler, D.C.; Leung, W.K.; Watt, R.M. Distributions of Synergistetes in Clinically-Healthy and Diseased Periodontal and Peri-Implant Niches. Microb. Pathog. 2016, 94, 90–103. [Google Scholar] [CrossRef]
- Korona-Glowniak, I.; Piatek, D.; Fornal, E.; Lukowiak, A.; Gerasymchuk, Y.; Kedziora, A.; Bugla-Płoskonska, G.; Grywalska, E.; Bachanek, T.; Malm, A. Patterns of Oral Microbiota in Patients with Apical Periodontitis. J. Clin. Med. 2021, 10, 2707. [Google Scholar] [CrossRef]
- Buonavoglia, A.; Zamparini, F.; Lanave, G.; Pellegrini, F.; Diakoudi, G.; Spinelli, A.; Lucente, M.S.; Camero, M.; Vasinioti, V.I.; Gandolfi, M.G.; et al. Endodontic Microbial Communities in Apical Periodontitis. J. Endod. 2023, 49, 178–189. [Google Scholar] [CrossRef]
- Keskin, C.; Demiryürek, E.Ö.; Onuk, E.E. Pyrosequencing Analysis of Cryogenically Ground Samples from Primary and Secondary/Persistent Endodontic Infections. J. Endod. 2017, 43, 1309–1316. [Google Scholar] [CrossRef]
- Munson, M.A.; Pitt-Ford, T.; Chong, B.; Weightman, A.; Wade, W.G. Molecular and Cultural Analysis of the Microflora Associated with Endodontic Infections. J. Dent. Res. 2002, 81, 761–766. [Google Scholar] [CrossRef]
- Sakamoto, M.; Rôças, I.N.; Siqueira, J.F.; Benno, Y. Molecular Analysis of Bacteria in Asymptomatic and Sympto-matic Endodontic Infections. Oral. Microbiol. Immunol. 2006, 21, 112–122. [Google Scholar] [CrossRef]
- Kim, H.J.; Ahn, D.H.; Yu, Y.; Han, H.; Kim, S.Y.; Joo, J.Y.; Chung, J.; Na, H.S.; Lee, J.Y. Microbial Profiling of Peri-Implantitis Compared to the Periodontal Microbiota in Health and Disease Using 16S RRNA Sequencing. J. Periodontal Implant. Sci. 2023, 53, 69–84. [Google Scholar] [CrossRef]
- Socransky, S.S.; Haffajee, A.D.; Cugini, M.A.; Smith, C.; Kent, R.L. Microbial Complexes in Subgingival Plaque. J. Clin. Periodontol. 1998, 25, 134–144. [Google Scholar] [CrossRef]
- Darveau, R.P. Periodontitis: A Polymicrobial Disruption of Host Homeostasis. Nat. Rev. Microbiol. 2010, 8, 481–490. [Google Scholar] [CrossRef]
- Hajishengallis, G.; Lamont, R.J. Beyond the Red Complex and into More Complexity: The Polymicrobial Synergy and Dysbiosis (PSD) Model of Periodontal Disease Etiology. Mol. Oral. Microbiol. 2012, 27, 409–419. [Google Scholar] [CrossRef] [PubMed]
- Antezack, A.; Etchecopar-Etchart, D.; La Scola, B.; Monnet-Corti, V. New Putative Periodontopathogens and Periodontal Health-Associated Species: A Systematic Review and Meta-Analysis. J. Periodontal Res. 2023, 58, 893–906. [Google Scholar] [CrossRef] [PubMed]
- Zhang, J.L.; Yun, J.; Yue, L.; Du, W.; Liang, Y.H. Distinctive Microbiota Distribution from Healthy Oral to Post-Treatment Apical Periodontitis. Front. Cell Infect. Microbiol. 2022, 12, 980157. [Google Scholar] [CrossRef]
- Bhuyan, R.; Bhuyan, S.K.; Mohanty, J.N.; Das, S.; Juliana, N.; Abu, I.F. Periodontitis and Its Inflammatory Changes Linked to Various Systemic Diseases: A Review of Its Underlying Mechanisms. Biomedicines 2022, 10, 2659. [Google Scholar] [CrossRef] [PubMed]



| Species | OC vs. PAI-3 | OC vs. PAI-1 | PAI-1 vs. PAI-3 | 
|---|---|---|---|
| Fusobacterium periodonticum | ↓ 1 | ↓ | - | 
| Prevotella melaninogenica | ↓ | ↓ | - | 
| Haemophilus parainfluenzae | ↓ | ↓ | - | 
| Granulicatella adiacens | ↓ | ↓ | - | 
| Porphyromonas pasteri | ↓ | ↓ | - | 
| Leptotrichia sp. HMT_215 | ↓ | ↓ | - | 
| Rothia mucilaginosa | ↓ | ↓ | - | 
| Prevotella nanceiensis | ↓ | ↓ | - | 
| Campylobacter concisus | ↓ | ↓ | - | 
| Gemella sanguinis | ↓ | ↓ | - | 
| Streptococcus parasanguinis_clade_411 | ↓ | ↓ | - | 
| Bergeyella sp._HMT_322 | ↓ | ↓ | - | 
| Leptotrichia hongkongensis | ↓ | ↓ | - | 
| Saccharibacteria_(TM7)_[G-1] bacterium_HMT_352 | ↓ | - | - | 
| Rothia dentocariosa | ↓ | ↓ | - | 
| Lachnoanaerobaculum umeaense | ↓ | ↓ | - | 
| Fusobacterium nucleatum_subsp. vincentii | ↓ | ↓ | - | 
| Corynebacterium matruchotii | ↓ | ↓ | - | 
| Capnocytophaga gingivalis | ↓ | ↓ | - | 
| Capnocytophaga leadbetteri | ↓ | ↓ | - | 
| Veillonella atypica | ↓ | ↓ | - | 
| Lautropia mirabilis | ↓ | ↓ | - | 
| Prevotella intermedia | ↓ | ↓ | - | 
| Streptococcus salivarius | ↓ | ↓ | - | 
| Dialister invisus | ↑ | ↑ | - | 
| Veillonella dispar | ↓ | ↓ | - | 
| Slackia exigua | ↑ | - | - | 
| Prevotella salivae | ↓ | ↓ | - | 
| Atopobium parvulum | ↓ | - | - | 
| Pseudoramibacter alactolyticus | ↑ | - | ↑ | 
| Prevotella nigrescens | ↓ | ↓ | - | 
| Prevotella pallens | ↓ | ↓ | - | 
| Saccharibacteria_(TM7)_[G-3] bacterium_HMT_351 | ↓ | - | - | 
| Veillonella rogosae | ↓ | - | - | 
| Ruminococcaceae_[G-2] bacterium_HMT_085 | ↓ | - | - | 
| Olsenella uli | ↑ | - | - | 
| Gemella morbillorum | ↓ | - | - | 
| Capnocytophaga sp. HMT_326 | ↓ | - | - | 
| Alloprevotella sp. HMT_308 | ↓ | - | - | 
| Bacteroidales_[G-2] bacterium_HMT_274 | ↓ | - | - | 
| Bacteroidaceae_[G-1] bacterium_HMT_272 | ↑ | - | - | 
| Veillonella parvula | ↓ | ↓ | - | 
| Stomatobaculum sp. HMT_097 | ↓ | - | - | 
| Ruminococcaceae_[G-1] bacterium_HMT_075 | ↓ | ↓ | - | 
| Megasphaera micronuciformis | ↓ | - | - | 
| Prevotella sp. HMT_317 | ↓ | ↓ | - | 
| Schaalia sp. HMT_180 | ↓ | ↓ | - | 
| Saccharibacteria_(TM7)_[G-5] bacterium_HMT_356 | ↓ | - | - | 
| Capnocytophaga sputigena | ↓ | ↓ | ↓ | 
| Catonella morbi | ↓ | - | - | 
| Fretibacterium fastidiosum | ↑ | - | - | 
| Rothia aeria | ↓ | - | - | 
| Cardiobacterium hominis | ↓ | ↓ | - | 
| Oribacterium sp. HMT_102 | ↑ | - | - | 
| Capnocytophaga granulosa | ↓ | ↓ | - | 
| Granulicatella elegans | ↓ | - | - | 
| Kingella oralis | ↓ | ↓ | - | 
| Selenomonas sputigena | ↓ | - | - | 
| Haemophilus sputorum | ↓ | - | - | 
| Prevotella sp. HMT_396 | ↓ | - | - | 
| Campylobacter gracilis | ↓ | ↓ | - | 
| Tannerella forsythia | ↓ | ↓ | - | 
| Leptotrichia sp._HMT_417 | ↓ | - | - | 
| Corynebacterium durum | ↓ | - | - | 
| Prevotella denticola | ↓ | - | - | 
| Porphyromonas endodontalis | ↓ | - | - | 
| Peptostreptococcaceae_[XI][G-1] [Eubacterium]_infirmum | ↑ | - | - | 
| Abiotrophia defectiva | ↓ | - | - | 
| Alloprevotella sp._HMT_914 | ↓ | - | - | 
| Treponema denticola | ↓ | - | - | 
| Haemophilus sp._HMT_036 | ↓ | ↓ | - | 
| Lachnospiraceae_[G-3] bacterium_HMT_100 | ↓ | - | - | 
| Alloprevotella sp._HMT_473 | ↓ | - | - | 
| Tannerella sp._HMT_286 | ↓ | ↓ | - | 
| Actinomyces graevenitzii | ↓ | - | - | 
| Dialister pneumosintes | ↑ | - | - | 
| Prevotella baroniae | ↑ | - | - | 
| Paracoccus yeei | ↑ | ↑ | - | 
| Neisseria elongata | ↓ | - | - | 
| Filifactor alocis | ↓ | - | - | 
| Prevotella sp._HMT_300 | ↓ | - | - | 
| Prevotella oulorum | ↓ | ↓ | - | 
| Bacteroidetes_[G-5] bacterium_HMT_511 | ↓ | - | - | 
| Anaeroglobus geminatus | ↑ | - | - | 
| Mycoplasma faucium | ↓ | - | - | 
| Selenomonas noxia | - | ↓ | - | 
| Enterococcus casseliflavus | - | ↑ | - | 
| Disclaimer/Publisher’s Note: The statements, opinions and data contained in all publications are solely those of the individual author(s) and contributor(s) and not of MDPI and/or the editor(s). MDPI and/or the editor(s) disclaim responsibility for any injury to people or property resulting from any ideas, methods, instructions or products referred to in the content. | 
© 2024 by the authors. Licensee MDPI, Basel, Switzerland. This article is an open access article distributed under the terms and conditions of the Creative Commons Attribution (CC BY) license (https://creativecommons.org/licenses/by/4.0/).
Share and Cite
Teofani, A.; Libonati, A.; Unida, V.; Biocca, S.; Desideri, A.; Campanella, V. Coronal and Root Canal Microbiota in Apical Periodontitis with Different PAI. Microorganisms 2024, 12, 1518. https://doi.org/10.3390/microorganisms12081518
Teofani A, Libonati A, Unida V, Biocca S, Desideri A, Campanella V. Coronal and Root Canal Microbiota in Apical Periodontitis with Different PAI. Microorganisms. 2024; 12(8):1518. https://doi.org/10.3390/microorganisms12081518
Chicago/Turabian StyleTeofani, Adelaide, Antonio Libonati, Valeria Unida, Silvia Biocca, Alessandro Desideri, and Vincenzo Campanella. 2024. "Coronal and Root Canal Microbiota in Apical Periodontitis with Different PAI" Microorganisms 12, no. 8: 1518. https://doi.org/10.3390/microorganisms12081518
APA StyleTeofani, A., Libonati, A., Unida, V., Biocca, S., Desideri, A., & Campanella, V. (2024). Coronal and Root Canal Microbiota in Apical Periodontitis with Different PAI. Microorganisms, 12(8), 1518. https://doi.org/10.3390/microorganisms12081518
 
         
                                                


 
       