Managing Super Pests: Interplay between Pathogens and Symbionts Informs Biocontrol of Whiteflies
Abstract
1. Introduction
2. Materials and Methods
2.1. Plants, Insects, Virus, and Fungus
2.2. Metarhizium Anisopliae Bioassay of Non-Viruliferous and Viruliferous Whiteflies
2.3. Effect of M. anisopliae on the Symbiotic Bacteria to Non-Viruliferous and Viruliferous Whiteflies
2.4. Statistical Analyses
3. Results
3.1. Metarhizium Anisopliae Pathogenicity against Whitefly
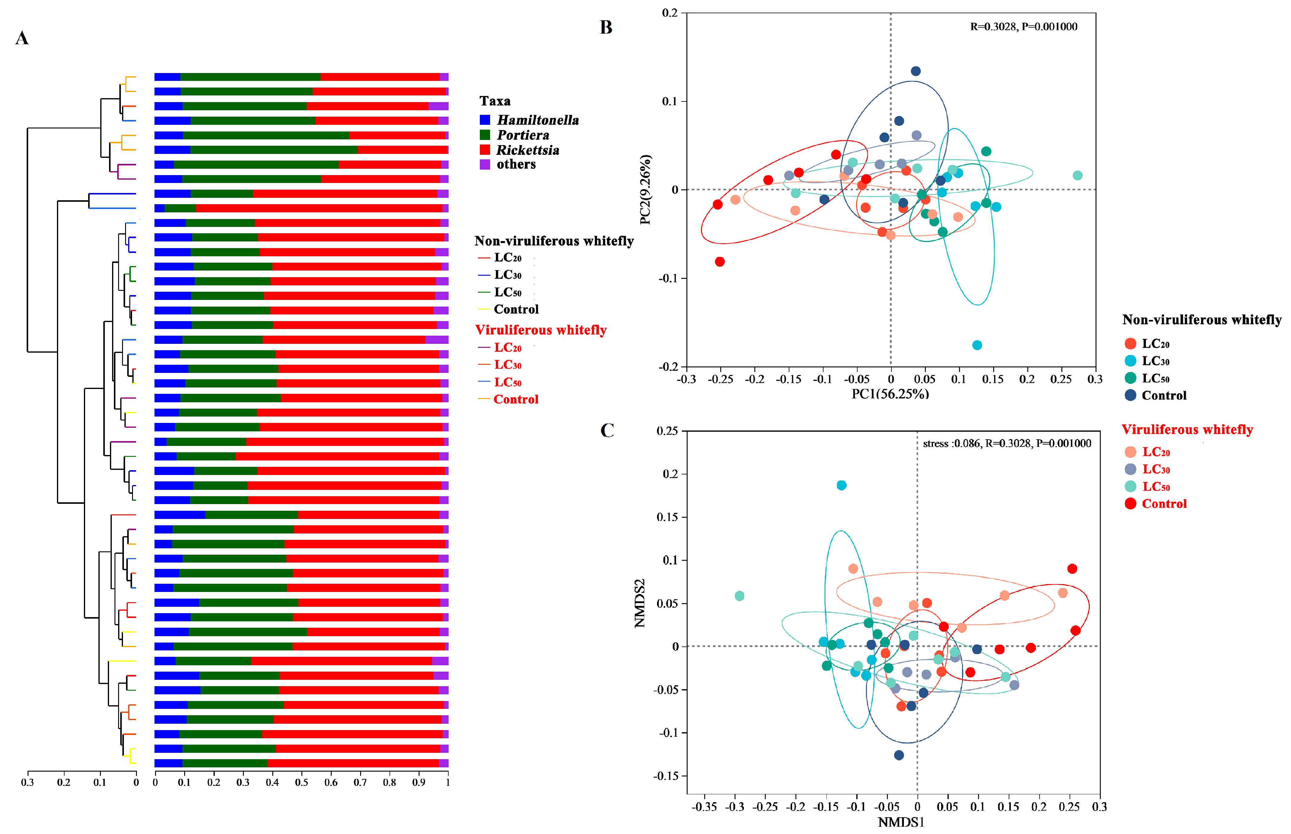
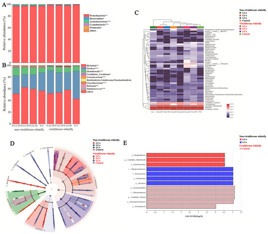
3.2. Discrimination between Bacterial Composition in Non-Viruliferous and Viruliferous Whitefly
3.2.1. Overview of Microbiotas in Whitefly Fed on M. anisopliae
3.2.2. Diversity Comparison of Bacteria in Non-Viruliferous and Viruliferous Whitefly
3.2.3. Composition of Whitefly Bacterial Community
4. Discussion
5. Conclusions
Supplementary Materials
Author Contributions
Funding
Institutional Review Board Statement
Informed Consent Statement
Data Availability Statement
Acknowledgments
Conflicts of Interest
References
- Lefeuvre, P.; Martin, D.P.; Elena, S.F.; Shepherd, D.N.; Roumagnac, P.; Varsani, A. Evolution and ecology of plant viruses. Nat. Rev. Microbiol. 2019, 17, 632–644. [Google Scholar] [CrossRef]
- Wan, J.; Liang, Q.; Zhang, R.; Cheng, Y.; Wang, X.; Wang, H.; Zhang, J.; Jia, D.; Du, Y.; Zheng, W.; et al. Arboviruses and symbiotic viruses cooperatively hijack insect sperm-specific proteins for paternal transmission. Nat. Commun. 2023, 14, 1289. [Google Scholar] [CrossRef]
- Zhang, L.; Liu, W.; Wu, N.; Wang, H.; Zhang, Z.; Liu, Y.; Wang, X. Southern rice black-streaked dwarf virus induces incomplete autophagy for persistence in gut epithelial cells of its vector insect. PLoS Pathog. 2023, 19, e1011134. [Google Scholar] [CrossRef]
- Huang, H.; Li, J.; Zhang, C.; Chen, J. Hemipteran-transmitted plant viruses: Research progress and control strategie. Front. Agric. Sci. Eng. 2022, 9, 98–109. [Google Scholar] [CrossRef]
- Zhao, P.; Yao, X.; Cai, C.; Li, R.; Du, J.; Sun, Y.; Wang, M.; Zou, Z.; Wang, Q.; Kliebenstein, D.J.; et al. Viruses mobilize plant immunity to deter nonvector insect herbivores. Sci. Adv. 2019, 5, eaav9801. [Google Scholar] [CrossRef]
- Islam, W.; Noman, A.; Naveed, H.; Alamri, S.A.; Hashem, M.; Huang, Z.; Chen, H.Y.H. Plant-insect vector-virus interactions under environmental change. Sci. Total Environ. 2020, 701, 135044. [Google Scholar] [CrossRef]
- Li, L.; Zhang, H.; Chen, C.; Huang, H.; Tan, X.; Wei, Z.; Li, J.; Yan, F.; Zhang, C.; Chen, J.; et al. A class of independently evolved transcriptional repressors in plant RNA viruses facilitates viral infection and vector feeding. Proc. Natl. Acad. Sci. USA 2021, 118, e2016673118. [Google Scholar] [CrossRef]
- De Barro, P.J.; Liu, S.S.; Boykin, L.M.; Dinsdale, A.B. Bemisia tabaci: A statement of species status. Annu. Rev. Entomol. 2011, 56, 1–19. [Google Scholar] [CrossRef]
- Morin, S.; Atkinson, P.W.; Walling, L.L. Whitefly–Plant Interactions: An Integrated Molecular Perspective. Annu. Rev. Entomol. 2024, 69, 503–525. [Google Scholar] [CrossRef]
- Venkataravanappa, V.; Kodandaram, M.H.; Prasanna, H.C.; Reddy, M.K.; Reddy, C.N.L. Unraveling different begomoviruses, DNA satellites and cryptic species of Bemisia tabaci and their endosymbionts in vegetable ecosystem. Microb. Pathog. 2023, 174, 105892. [Google Scholar] [CrossRef]
- Mostafiz, M.M.; Hassan, E.; Shim, J.K.; Lee, K.Y. Insecticidal efficacy of three benzoate derivatives against Aphis gossypii and its predator Chrysoperla carnea. Ecotoxicol. Environ. Saf. 2019, 184, 109653. [Google Scholar] [CrossRef]
- Yan, M.; He, H.; Zhang, Z.; Zhang, B.; Zhu, C.; Yan, W.; Zhao, C.; Li, J.; Yan, F. Molecular basis of mutual benefits between Cucurbit chlorotic yellows virus (CCYV) transmission and imidacloprid resistance in Bemisia tabaci. J. Pest Sci. 2023, 96, 489–497. [Google Scholar] [CrossRef]
- Wilson, K.; Benton, T.G.; Graham, R.I.; Grzywacz, D. Pest control: Biopesticides’ potential. Science 2013, 342, 799. [Google Scholar] [CrossRef]
- Kumar, A.; Suroshe, S.S.; Sonam; Saini, G.K.; Singh, J. Efficacy of genetically transformed Metarhizium anisopliae against Spodoptera litura and Aphis craccivora. Saudi J. Biol. Sci. 2023, 30, 103493. [Google Scholar] [CrossRef]
- Lin, S.; Li, X.W.; Liu, J.L.; Ou-Yang, Y.Y.; Zhang, B.; Zhao, S.J.; Chai, X.Q.; Ma, Y.L.; Liu, J. The immune response mechanism of Nilaparvata lugens against a combined infection of rice ragged stunt virus and Metarhizium anisopliae. Pest. Manag. Sci. 2024, 80, 1193–1205. [Google Scholar] [CrossRef]
- Li, J.; Liang, X.; Wang, X.; Shi, Y.; Gu, Q.; Kuo, Y.W.; Falk, B.W.; Yan, F. Direct evidence for the semipersistent transmission of Cucurbit chlorotic yellows virus by a whitefly vector. Sci. Rep. 2016, 6, 36604. [Google Scholar] [CrossRef]
- Wang, K.; He, Y.; Zhang, Y.; Wu, Q.; Wang, S. Primer screening and amplification protocol optimization of rapid detection technique for Cucurbit chlorotic yellows virus. Acta Entomol. Sin. 2020, 63, 149–158. [Google Scholar]
- Zhou, W.; Huang, Q.; Zhao, X.; Liu, L.; Mehmood, N. Silencing of selenium-binding protein disrupted the active immunization of the termite Reticulitermes chinensis and improved the lethal effect of the entomopathogenic fungus Metarhizium anisopliae. Biol. Control 2021, 157, 104588. [Google Scholar] [CrossRef]
- Xu, N.; Tan, G.C.; Wang, H.Y.; Gai, X.P. Effect of biochar additions to soil on nitrogen leaching, microbial biomass and bacterial community structure. Eur. J. Soil Biol. 2016, 74, 1–8. [Google Scholar] [CrossRef]
- Zhang, S.; Luo, J.; Jiang, W.; Wu, L.; Zhang, L.; Ji, J.; Wang, L.; Ma, Y.; Cui, J. Response of the bacterial community of Propylea japonica (Thunberg) to Cry2Ab protein. Environ. Pollut. 2019, 254, 113063. [Google Scholar] [CrossRef]
- Chen, B.; Du, K.; Sun, C.; Vimalanathan, A.; Liang, X.; Li, Y.; Wang, B.; Lu, X.; Li, L.; Shao, Y. Gut bacterial and fungal communities of the domesticated silkworm (Bombyx mori) and wild mulberry-feeding relatives. ISME J. 2018, 12, 2252–2262. [Google Scholar] [CrossRef]
- Caporaso, J.G.; Kuczynski, J.; Stombaugh, J.; Bittinger, K.; Bushman, F.D.; Costello, E.K.; Fierer, N.; Pena, A.G.; Goodrich, J.K.; Gordon, J.I.; et al. QIIME allows analysis of high-throughput community sequencing data. Nat. Methods 2010, 7, 335–336. [Google Scholar] [CrossRef]
- Schloss, P.D.; Westcott, S.L.; Ryabin, T.; Hall, J.R.; Hartmann, M.; Hollister, E.B.; Lesniewski, R.A.; Oakley, B.B.; Parks, D.H.; Robinson, C.J.; et al. Introducing mothur: Open-source, platform-independent, community-supported software for describing and comparing microbial communities. Appl. Environ. Microbiol. 2009, 75, 7537–7541. [Google Scholar] [CrossRef]
- Edgar, R.C. UPARSE: Highly accurate OTU sequences from microbial amplicon reads. Nat. Methods 2013, 10, 996–998. [Google Scholar] [CrossRef]
- Hamady, M.; Lozupone, C.; Knight, R. Fast UniFrac: Facilitating high-throughput phylogenetic analyses of microbial communities including analysis of pyrosequencing and PhyloChip data. ISME J. 2010, 4, 17–27. [Google Scholar] [CrossRef]
- Oksanen, J.; Blanchet, F.G.; Kindt, R.; Legendre, P.; O’Hara, R.G.; Simpson, G. Vegan: Community Ecology Package. R Package Version 1.16-33. 2009. Available online: http://CRAN.R-project.org/package=vegan (accessed on 5 June 2023).
- Liu, S.; Fu, B.; Zhang, C.; He, C.; Gong, P.; Huang, M.; Du, T.; Liang, J.; Wei, X.; Yang, J.; et al. 20E biosynthesis gene CYP306A1 confers resistance to imidacloprid in the nymph stage of Bemisia tabaci by detoxification metabolism. Pest Manag. Sci. 2023, 79, 3883–3892. [Google Scholar] [CrossRef]
- Yang, X.; Wei, X.; Yang, J.; Du, T.; Yin, C.; Fu, B.; Huang, M.; Liang, J.; Gong, P.; Liu, S.; et al. Epitranscriptomic regulation of insecticide resistance. Sci. Adv. 2021, 7, eabe5903. [Google Scholar] [CrossRef]
- Horowitz, A.R.; Ghanim, M.; Roditakis, E.; Nauen, R.; Ishaaya, I. Insecticide resistance and its management in Bemisia tabaci species. J. Pest Sci. 2020, 93, 893–910. [Google Scholar] [CrossRef]
- Huang, H.J.; Ye, Z.X.; Wang, X.; Yan, X.T.; Zhang, Y.; He, Y.J.; Qi, Y.H.; Zhang, X.D.; Zhuo, J.C.; Lu, G.; et al. Diversity and infectivity of the RNA virome among different cryptic species of an agriculturally important insect vector: Whitefly Bemisia tabaci. NPJ Biofilms Microbiomes 2021, 7, 43. [Google Scholar] [CrossRef]
- Liu, S.S.; De Barro, P.J.; Xu, J.; Luan, J.B.; Zang, L.S.; Ruan, Y.M.; Wan, F.H. Asymmetric mating interactions drive widespread invasion and displacement in a whitefly. Science 2007, 318, 1769–1772. [Google Scholar] [CrossRef]
- Liu, B.; Preisser, E.L.; Jiao, X.; Zhang, Y. Tomato yellow leaf curl virus infection alters Bemisia tabaci MED (Hemiptera: Aleyrodidae) vulnerability to Flupyradifurone. J. Econ. Entomol. 2020, 113, 1922–1926. [Google Scholar] [CrossRef]
- Wang, S.; Guo, H.; Ge, F.; Sun, Y. Apoptotic neurodegeneration in whitefly promotes the spread of TYLCV. eLife 2020, 9, e56168. [Google Scholar] [CrossRef]
- Zhao, K.; Liu, S.S.; Wang, X.W.; Yang, J.G.; Pan, L.L. Manipulation of whitefly behavior by plant viruses. Microorganisms 2022, 10, 2410. [Google Scholar] [CrossRef]
- Zhao, Y.; Cao, X.; Zhong, W.; Zhou, S.; Li, Z.; An, H.; Liu, X.; Wu, R.; Bohora, S.; Wu, Y.; et al. A viral protein orchestrates rice ethylene signaling to coordinate viral infection and insect vector-mediated transmission. Mol. Plant 2022, 15, 689–705. [Google Scholar] [CrossRef]
- Hogenhout, S.A.; Ammar, E.D.; Whitfield, A.E.; Redinbaugh, M.G. Insect vector interactions with persistently transmitted viruses. Annu. Rev. Phytopathol. 2008, 46, 327–359. [Google Scholar] [CrossRef]
- Zhao, D.; Zhang, Z.; Niu, H.; Guo, H. Pathogens are an important driving force for the rapid spread of symbionts in an insect host. Nat. Ecol. Evol. 2023, 7, 1667–1681. [Google Scholar] [CrossRef]
- Lu, H.; Zhu, J.; Yu, J.; Chen, X.; Kang, L.; Cui, F. A symbiotic virus facilitates aphid adaptation to host plants by suppressing jasmonic acid responses. Mol. Plant Microbe Interact. 2020, 33, 55–65. [Google Scholar] [CrossRef]
- Gilbertson, R.L.; Batuman, O.; Webster, C.G.; Adkins, S. Role of the insect supervectors Bemisia tabaci and Frankliniella occidentalis in the emergence and global spread of plant viruses. Annu. Rev. Virol. 2015, 2, 67–93. [Google Scholar] [CrossRef]
- Ma, E.; Zhu, Y.; Liu, Z.; Wei, T.; Wang, P.; Cheng, G. Interaction of Viruses with the Insect Intestine. Annu. Rev. Virol. 2021, 8, 115–131. [Google Scholar] [CrossRef]
- Wu, W.; Shan, H.W.; Li, J.M.; Zhang, C.X.; Chen, J.P.; Mao, Q. Roles of bacterial symbionts in transmission of plant virus by Hemipteran vectors. Front. Microbiol. 2022, 13, 805352. [Google Scholar] [CrossRef]
- Pietri, J.E.; Liang, D.S. The links between insect symbionts and insecticide resistance: Causal relationships and physiological tradeoffs. Ann. Entomol. Soc. Am. 2018, 111, 92–97. [Google Scholar] [CrossRef]
- Pinheiro, P.V.; Kliot, A.; Ghanim, M.; Cilia, M. Is there a role for symbiotic bacteria in plant virus transmission by insects? Curr. Opin. Insect Sci. 2015, 8, 69–78. [Google Scholar] [CrossRef]
- Ren, F.-R.; Sun, X.; Wang, T.-Y.; Yan, J.-Y.; Yao, Y.-L.; Li, C.-Q.; Luan, J.-B. Pantothenate mediates the coordination of whitefly and symbiont fitness. ISME J. 2021, 15, 1655–1667. [Google Scholar] [CrossRef]
- Himler, A.G.; Adachi-Hagimori, T.; Bergen, J.E.; Kozuch, A.; Kelly, S.E.; Tabashnik, B.E.; Chiel, E.; Duckworth, V.E.; Dennehy, T.J.; Zchori-Fein, E.; et al. Rapid spread of a bacterial symbiont in an invasive whitefly is driven by fitness benefits and female bias. Science 2011, 332, 254–256. [Google Scholar] [CrossRef]
- Bockoven, A.A.; Bondy, E.C.; Flores, M.J.; Kelly, S.E.; Ravenscraft, A.M.; Hunter, M.S. What Goes Up Might Come down: The Spectacular Spread of an Endosymbiont Is Followed by Its Decline a Decade Later. Microb. Ecol. 2020, 79, 482–494. [Google Scholar] [CrossRef]
- Ghanim, M.; Kontsedalov, S. Susceptibility to insecticides in the Q biotype of Bemisia tabaci is correlated with bacterial symbiont densities. Pest Manag. Sci. 2009, 65, 939–942. [Google Scholar] [CrossRef]
- Pan, H.P.; Chu, D.; Liu, B.M.; Xie, W.; Wang, S.L.; Wu, Q.J.; Xu, B.Y.; Zhang, Y.J. Relative amount of symbionts in insect hosts changes with host-plant adaptation and insecticide resistance. Environ. Entomol. 2013, 42, 74–78. [Google Scholar] [CrossRef]
- Wang, C.; Li, X.; Jin, D.; Gong, P.; Li, Q.; Zhang, Y.; Li, X.; Deng, Y.; Cernava, T.; Zhu, X. Implications of environmentally shaped microbial communities for insecticide resistance in Sitobion miscanthi. Environ. Res. 2022, 215, 114409. [Google Scholar] [CrossRef]
- Wang, Y.-B.; Li, C.; Yan, J.-Y.; Wang, T.-Y.; Yao, Y.-L.; Ren, F.-R.; Luan, J.-B. Autophagy regulates whitefly-symbiont metabolic interactions. Appl. Environ. Microbiol. 2022, 88, e02089-21. [Google Scholar] [CrossRef]
- Liu, X.-D.; Guo, H.-F. Importance of endosymbionts Wolbachia and Rickettsia in insect resistance development. Curr. Opin. Insect Sci. 2019, 33, 84–90. [Google Scholar] [CrossRef]
- Zhang, Y.; Cai, T.; Ren, Z.; Liu, Y.; Yuan, M.; Cai, Y.; Yu, C.; Shu, R.; He, S.; Li, J.; et al. Decline in symbiont-dependent host detoxification metabolism contributes to increased insecticide susceptibility of insects under high temperature. ISME J. 2021, 15, 3693–3703. [Google Scholar] [CrossRef]





Disclaimer/Publisher’s Note: The statements, opinions and data contained in all publications are solely those of the individual author(s) and contributor(s) and not of MDPI and/or the editor(s). MDPI and/or the editor(s) disclaim responsibility for any injury to people or property resulting from any ideas, methods, instructions or products referred to in the content. |
© 2024 by the authors. Licensee MDPI, Basel, Switzerland. This article is an open access article distributed under the terms and conditions of the Creative Commons Attribution (CC BY) license (https://creativecommons.org/licenses/by/4.0/).
Share and Cite
Yan, W.; Wang, S.; Liu, J.; Zhai, D.; Lu, H.; Li, J.; Bai, R.; Lei, C.; Song, L.; Zhao, C.; et al. Managing Super Pests: Interplay between Pathogens and Symbionts Informs Biocontrol of Whiteflies. Microorganisms 2024, 12, 887. https://doi.org/10.3390/microorganisms12050887
Yan W, Wang S, Liu J, Zhai D, Lu H, Li J, Bai R, Lei C, Song L, Zhao C, et al. Managing Super Pests: Interplay between Pathogens and Symbionts Informs Biocontrol of Whiteflies. Microorganisms. 2024; 12(5):887. https://doi.org/10.3390/microorganisms12050887
Chicago/Turabian StyleYan, Weili, Saixian Wang, Jialei Liu, Dan Zhai, Hang Lu, Jingjing Li, Rune Bai, Caiyan Lei, Luyang Song, Chenchen Zhao, and et al. 2024. "Managing Super Pests: Interplay between Pathogens and Symbionts Informs Biocontrol of Whiteflies" Microorganisms 12, no. 5: 887. https://doi.org/10.3390/microorganisms12050887
APA StyleYan, W., Wang, S., Liu, J., Zhai, D., Lu, H., Li, J., Bai, R., Lei, C., Song, L., Zhao, C., & Yan, F. (2024). Managing Super Pests: Interplay between Pathogens and Symbionts Informs Biocontrol of Whiteflies. Microorganisms, 12(5), 887. https://doi.org/10.3390/microorganisms12050887

