Elevation Determines Fungal Diversity, and Land Use Governs Community Composition: A Dual Perspective from Gaoligong Mountains
Abstract
1. Introduction
2. Materials and Methods
2.1. Study Area
2.2. Sample Collection
2.3. Measurements of Soil Physicochemical Properties
2.4. Soil DNA Extraction and ITS rRNA Sequencing
2.5. Data Analyses
3. Results
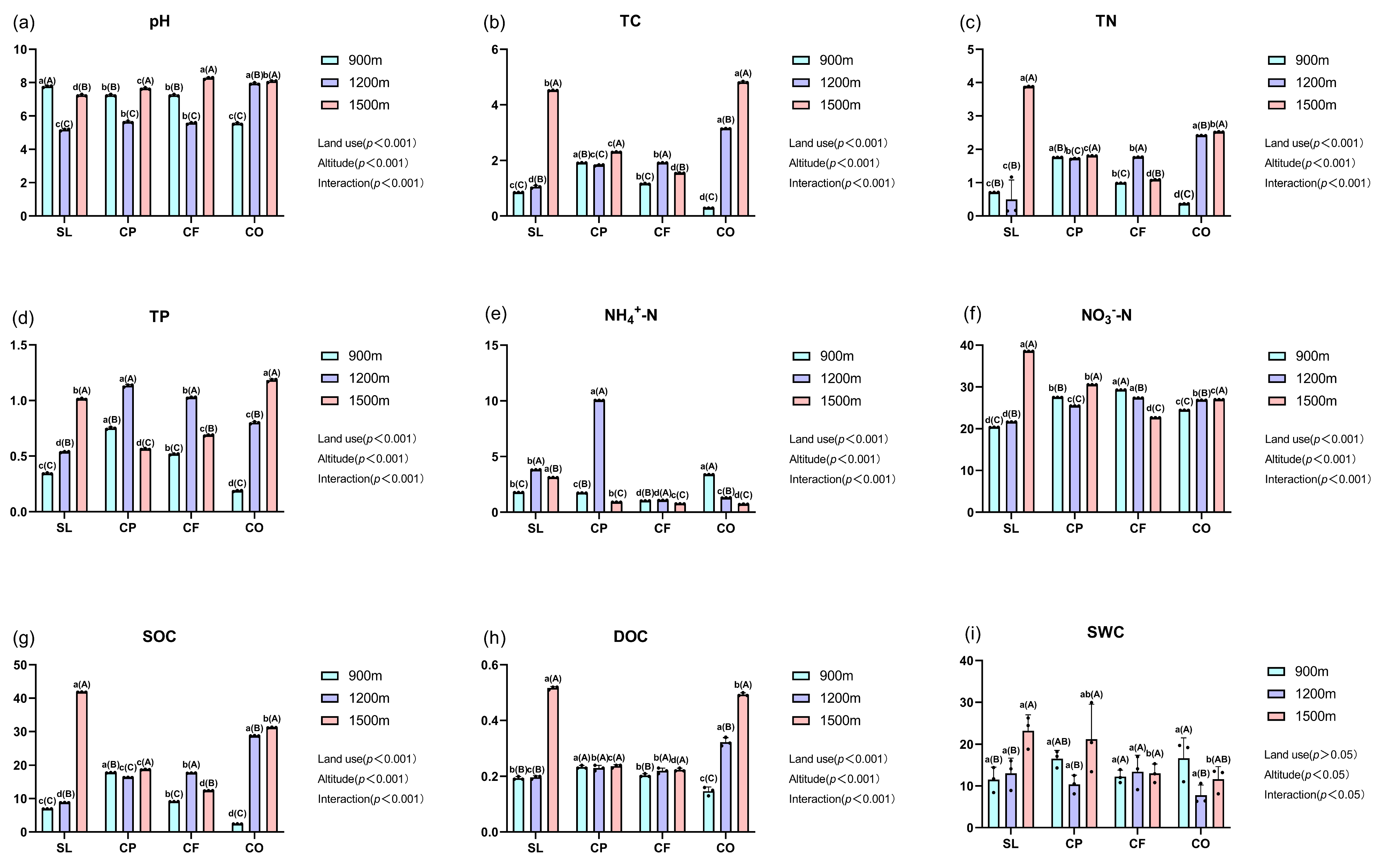
3.1. Soil Physicochemical Properties
3.2. Composition of Soil Fungal Community
3.3. Soil Fungal Community Diversity
3.4. Functional Guild of Soil Fungal Community
3.5. Relationship Between Soil Fungal Community and Environmental Factors
3.5.1. Relationship Between Fungal Community Composition and Environmental Factors
3.5.2. Relationship Between Fungal Community Diversity and Environmental Factors
3.5.3. Correlation Between Functional Fungal Guilds and Environmental Factors
4. Discussion
4.1. The Impact of Land Use on Soil Physicochemical Properties and Fungal Communities
4.2. The Impact of Altitude on Soil Physicochemical Properties and Fungal Communities
4.3. Comparative and Combined Effects of Land Use and Altitude on Fungal Communities
5. Conclusions
Supplementary Materials
Author Contributions
Funding
Data Availability Statement
Acknowledgments
Conflicts of Interest
References
- Wang, S.; Heal, K.V.; Zhang, Q.; Yu, Y.; Tigabu, M.; Huang, S.; Zhou, C. Soil microbial community, dissolved organic matter and nutrient cycling interactions change along an elevation gradient in subtropical China. J. Environ. Manag. 2023, 345, 118793. [Google Scholar] [CrossRef]
- Hartmann, M.; Six, J. Soil structure and microbiome functions in agroecosystems. Nat. Rev. Earth Environ. 2022, 4, 4–18. [Google Scholar] [CrossRef]
- Zhang, Q.; Wu, J.; Yang, F.; Lei, Y.; Zhang, Q.; Cheng, X. Alterations in soil microbial community composition and biomass following agricultural land use change. Sci. Rep. 2016, 6, 36587. [Google Scholar] [CrossRef] [PubMed]
- Berg, G.; Smalla, K. Plant species and soil type cooperatively shape the structure and function of microbial communities in the rhizosphere: Plant species, soil type and rhizosphere communities. FEMS Microbiol. Ecol. 2009, 68, 1–13. [Google Scholar] [CrossRef]
- Zhang, Y.; Dong, S.; Gao, Q.; Liu, S.; Zhou, H.; Ganjurjav, H.; Wang, X. Climate change and human activities altered the diversity and composition of soil microbial community in alpine grasslands of the Qinghai-Tibetan Plateau. Sci. Total Environ. 2016, 562, 353–363. [Google Scholar] [CrossRef] [PubMed]
- Kumar, G.; Baweja, P.; Gandhi, P.B. Impact of Anthropogenic Activities on Soil Patterns and Diversity. In Structure and Functions of Pedosphere; Springer Nature Singapore: Singapore, 2022; pp. 319–337. ISBN 9789811687693. [Google Scholar]
- Degens, B.P.; Vojvodi’c-Vukovi’c, M. A sampling strategy to assess the effects of land use on microbial functional diversity in soils. Soil Res. 1999, 37, 593. [Google Scholar] [CrossRef]
- Liu, S.; Sun, Y.; Shi, F.; Liu, Y.; Wang, F.; Dong, S.; Li, M. Composition and Diversity of Soil Microbial Community Associated with Land Use Types in the Agro–Pastoral Area in the Upper Yellow River Basin. Front. Plant Sci. 2022, 13, 819661. [Google Scholar] [CrossRef]
- Szoboszlay, M.; Dohrmann, A.B.; Poeplau, C.; Don, A.; Tebbe, C.C. Impact of land-use change and soil organic carbon quality on microbial diversity in soils across Europe. FEMS Microbiol. Ecol. 2017, 93, fix146. [Google Scholar] [CrossRef]
- Maron, P.-A.; Sarr, A.; Kaisermann, A.; Lévêque, J.; Mathieu, O.; Guigue, J.; Karimi, B.; Bernard, L.; Dequiedt, S.; Terrat, S.; et al. High Microbial Diversity Promotes Soil Ecosystem Functioning. Appl. Environ. Microbiol. 2018, 84, e02738-17. [Google Scholar] [CrossRef]
- Wang, W.; Ye, Z.; Li, J.; Liu, G.; Wu, Q.; Wang, Z.; He, G.; Yan, W.; Zhang, C. Intermediate irrigation with low fertilization promotes soil nutrient cycling and reduces CO2 and CH4 emissions via regulating fungal communities in arid agroecosystems. J. Environ. Manag. 2024, 351, 119688. [Google Scholar] [CrossRef]
- Maillard, F.; Colin, Y.; Viotti, C.; Buée, M.; Brunner, I.; Brabcová, V.; Kohout, P.; Baldrian, P.; Kennedy, P.G. A cryptically diverse microbial community drives organic matter decomposition in forests. Appl. Soil Ecol. 2024, 193, 105148. [Google Scholar] [CrossRef]
- Liu, L.; Yan, Y.; Ding, H.; Zhao, J.; Cai, Z.; Dai, C.; Huang, X. The fungal community outperforms the bacterial community in predicting plant health status. Appl. Microbiol. Biotechnol. 2021, 105, 6499–6513. [Google Scholar] [CrossRef] [PubMed]
- Yang, G.; Liu, N.; Lu, W.; Wang, S.; Kan, H.; Zhang, Y.; Xu, L.; Chen, Y. The interaction between arbuscular mycorrhizal fungi and soil phosphorus availability influences plant community productivity and ecosystem stability. J. Ecol. 2014, 102, 1072–1082. [Google Scholar] [CrossRef]
- Liu, S.; García-Palacios, P.; Tedersoo, L.; Guirado, E.; Van Der Heijden, M.G.A.; Wagg, C.; Chen, D.; Wang, Q.; Wang, J.; Singh, B.K.; et al. Phylotype diversity within soil fungal functional groups drives ecosystem stability. Nat. Ecol. Evol. 2022, 6, 900–909. [Google Scholar] [CrossRef] [PubMed]
- Mueller, R.C.; Rodrigues, J.L.M.; Nüsslein, K.; Bohannan, B.J.M. Land use change in the Amazon rain forest favours generalist fungi. Funct. Ecol. 2016, 30, 1845–1853. [Google Scholar] [CrossRef]
- Luo, D.; Cheng, R.-M.; Liu, S.; Shi, Z.-M.; Feng, Q.-H. Responses of Soil Microbial Community Composition and Enzyme Activities to Land-Use Change in the Eastern Tibetan Plateau, China. Forests 2020, 11, 483. [Google Scholar] [CrossRef]
- Liu, G.; Bai, Z.; Cui, G.; He, W.; Kongling, Z.; Ji, G.; Gong, H.; Li, D. Effects of Land Use on the Soil Microbial Community in the Songnen Grassland of Northeast China. Front. Microbiol. 2022, 13, 865184. [Google Scholar] [CrossRef]
- Wang, J.; Hu, A.; Meng, F.; Zhao, W.; Yang, Y.; Soininen, J.; Shen, J.; Zhou, J. Embracing mountain microbiome and ecosystem functions under global change. New Phytol. 2022, 234, 1987–2002. [Google Scholar] [CrossRef]
- Bayranvand, M.; Akbarinia, M.; Salehi Jouzani, G.; Gharechahi, J.; Kooch, Y.; Baldrian, P. Composition of soil bacterial and fungal communities in relation to vegetation composition and soil characteristics along an altitudinal gradient. FEMS Microbiol. Ecol. 2021, 97, fiaa201. [Google Scholar] [CrossRef]
- Lin, Y.-T.; Jia, Z.; Wang, D.; Chiu, C.-Y. Effects of temperature on the composition and diversity of bacterial communities in bamboo soils at different elevations. Biogeosciences 2017, 14, 4879–4889. [Google Scholar] [CrossRef]
- Zhou, Y.; Jia, X.; Han, L.; Liu, Z.; Kang, S.; Zhao, Y. Fungal community diversity in soils along an elevation gradient in a Quercus aliena var. acuteserrata forest in Qinling Mountains, China. Appl. Soil Ecol. 2021, 167, 104104. [Google Scholar] [CrossRef]
- Jamil, A.; Yang, J.-Y.; Su, D.-F.; Tong, J.-Y.; Chen, S.-Y.; Luo, Z.-W.; Shen, X.-M.; Wei, S.-J.; Cui, X.-L. Rhizospheric soil fungal community patterns of Duchesnea indica in response to altitude gradient in Yunnan, southwest China. Can. J. Microbiol. 2020, 66, 359–367. [Google Scholar] [CrossRef] [PubMed]
- Schön, M.E.; Nieselt, K.; Garnica, S. Belowground fungal community diversity and composition associated with Norway spruce along an altitudinal gradient. PLoS ONE 2018, 13, e0208493. [Google Scholar] [CrossRef] [PubMed]
- Tian, J.; Wu, B.; Chen, H.; Jiang, N.; Kang, X.; Liu, X. Patterns and drivers of fungal diversity along an altitudinal gradient on Mount Gongga, China. J. Soils Sediments 2017, 17, 2856–2865. [Google Scholar] [CrossRef]
- Bahram, M.; Põlme, S.; Kõljalg, U.; Zarre, S.; Tedersoo, L. Regional and local patterns of ectomycorrhizal fungal diversity and community structure along an altitudinal gradient in the Hyrcanian forests of northern Iran. New Phytol. 2012, 193, 465–473. [Google Scholar] [CrossRef]
- Shi, Z.; Wang, F.; Zhang, K.; Chen, Y. Diversity and distribution of arbuscular mycorrhizal fungi along altitudinal gradients in Mount Taibai of the Qinling Mountains. Can. J. Microbiol. 2014, 60, 811–818. [Google Scholar] [CrossRef]
- Liu, L.; Hart, M.M.; Zhang, J.; Cai, X.; Gai, J.; Christie, P.; Li, X.; Klironomos, J.N. Altitudinal distribution patterns of AM fungal assemblages in a Tibetan alpine grassland. FEMS Microbiol. Ecol. 2015, 91, fiv078. [Google Scholar] [CrossRef]
- Li, Z.; Wang, Z.; Zhang, W.; Zhu, J.; Chen, B.; Jiang, L.; Xu, D.; Li, W.; Liu, J.; He, Z. Soil Environments Regulate Dominant Soil Fungal Communities along an Elevational Gradient in Subtropical Forests. Forests 2024, 15, 643. [Google Scholar] [CrossRef]
- Yang, H.; Lü, G.; Jiang, H.; Shi, D.; Liu, Z. Diversity and distribution of soil micro-fungi along an elevation gradient on the north slope of Changbai Mountain. J. For. Res. 2017, 28, 831–839. [Google Scholar] [CrossRef]
- Ma, L.; Liu, L.; Lu, Y.; Chen, L.; Zhang, Z.; Zhang, H.; Wang, X.; Shu, L.; Yang, Q.; Song, Q.; et al. When microclimates meet soil microbes: Temperature controls soil microbial diversity along an elevational gradient in subtropical forests. Soil Biol. Biochem. 2022, 166, 108566. [Google Scholar] [CrossRef]
- Wang, J.-T.; Zheng, Y.-M.; Hu, H.-W.; Zhang, L.-M.; Li, J.; He, J.-Z. Soil pH determines the alpha diversity but not beta diversity of soil fungal community along altitude in a typical Tibetan forest ecosystem. J. Soils Sediments 2015, 15, 1224–1232. [Google Scholar] [CrossRef]
- Shen, C.; Liang, W.; Shi, Y.; Lin, X.; Zhang, H.; Wu, X.; Xie, G.; Chain, P.; Grogan, P.; Chu, H. Contrasting elevational diversity patterns between eukaryotic soil microbes and plants. Ecology 2014, 95, 3190–3202. [Google Scholar] [CrossRef]
- Chen, J.; Shi, Z.; Liu, S.; Zhang, M.; Cao, X.; Chen, M.; Xu, G.; Xing, H.; Li, F.; Feng, Q. Altitudinal Variation Influences Soil Fungal Community Composition and Diversity in Alpine–Gorge Region on the Eastern Qinghai–Tibetan Plateau. J. Fungi 2022, 8, 807. [Google Scholar] [CrossRef] [PubMed]
- Fierer, N.; McCain, C.M.; Meir, P.; Zimmermann, M.; Rapp, J.M.; Silman, M.R.; Knight, R. Microbes do not follow the elevational diversity patterns of plants and animals. Ecology 2011, 92, 797–804. [Google Scholar] [CrossRef]
- Ye, X.; Liu, G.; Li, Z.; Wang, H.; Zeng, Y. Assessing Local and Surrounding Threats to the Protected Area Network in a Biodiversity Hotspot: The Hengduan Mountains of Southwest China. PLoS ONE 2015, 10, e0138533. [Google Scholar] [CrossRef]
- Li, R.; Dao, Z.; Li, H. Seed Plant Species Diversity and Conservation in the Northern Gaoligong Mountains in Western Yunnan, China. Mt. Res. Dev. 2011, 31, 160. [Google Scholar] [CrossRef]
- Jablonski, N.G.; Ji, X.; Chaplin, G.; Wang, L.; Yang, S.; Li, G.; Li, Z. A Preliminary Report on New and Previously Known Vertebrate Paleontological Sites in Baoshan Prefecture, Yunnan Province, China. Proc. Calif. Acad. Sci. 2003, 54, 209–224. [Google Scholar]
- Wang, Z.; Tang, Z.; Fang, J. Altitudinal patterns of seed plant richness in the Gaoligong Mountains, south-east Tibet, China. Divers. Distrib. 2007, 13, 845–854. [Google Scholar] [CrossRef]
- Ai, X.; Li, Y.; Xie, H.; Zhao, C. Adaptive mechanisms of Ardisia crenata var. bicolor along an elevational gradient on Gaoligong Mountain, Southwest China. J. Mt. Sci. 2023, 20, 765–778. [Google Scholar] [CrossRef]
- Bao, S.D. Analysis of Soil Agro-Chemistry, 3rd ed.; China Agriculture Press: Beijing, China, 2000. [Google Scholar]
- Sui, X.; Li, M.; Frey, B.; Dai, G.; Yang, L.; Li, M.-H. Effect of elevation on composition and diversity of fungi in the rhizosphere of a population of Deyeuxia angustifolia on Changbai Mountain, northeastern China. Front. Microbiol. 2023, 14, 1087475. [Google Scholar] [CrossRef]
- Nguyen, N.H.; Song, Z.; Bates, S.T.; Branco, S.; Tedersoo, L.; Menke, J.; Schilling, J.S.; Kennedy, P.G. FUNGuild: An open annotation tool for parsing fungal community datasets by ecological guild. Fungal Ecol. 2016, 20, 241–248. [Google Scholar] [CrossRef]
- Praeg, N.; Seeber, J.; Leitinger, G.; Tasser, E.; Newesely, C.; Tappeiner, U.; Illmer, P. The role of land management and elevation in shaping soil microbial communities: Insights from the Central European Alps. Soil Biol. Biochem. 2020, 150, 107951. [Google Scholar] [CrossRef]
- Allendorf, T.D.; Yang, J. The role of ecosystem services in park–people relationships: The case of Gaoligongshan Nature Reserve in southwest China. Biol. Conserv. 2013, 167, 187–193. [Google Scholar] [CrossRef]
- Foley, J.A.; DeFries, R.; Asner, G.P.; Barford, C.; Bonan, G.; Carpenter, S.R.; Chapin, F.S.; Coe, M.T.; Daily, G.C.; Gibbs, H.K.; et al. Global Consequences of Land Use. Science 2005, 309, 570–574. [Google Scholar] [CrossRef]
- Wibowo, H.; Kasno, A. Soil organic carbon and total nitrogen dynamics in paddy soils on the Java Island, Indonesia. IOP Conf. Ser. Earth Environ. Sci. 2021, 648, 012192. [Google Scholar] [CrossRef]
- Xu, M.; Ma, L.; Jia, Y.; Liu, M. Integrating the effects of latitude and altitude on the spatial differentiation of plant community diversity in a mountainous ecosystem in China. PLoS ONE 2017, 12, e0174231. [Google Scholar] [CrossRef] [PubMed]
- Bowden, R.D.; Deem, L.; Plante, A.F.; Peltre, C.; Nadelhoffer, K.; Lajtha, K. Litter Input Controls on Soil Carbon in a Temperate Deciduous Forest. Soil Sci. Soc. Am. J. 2014, 78, S66–S75. [Google Scholar] [CrossRef]
- Oshunsanya, O.; Samson, V.M.; Yu, H. Soil loss due to harvesting of peanut and cassava under traditional farming systems: Cost implications of soil nutrient loss. J. Soil Water Conserv. 2022, 77, 240–248. [Google Scholar] [CrossRef]
- Arden-Clarke, C.; Hodges, R.D. The Environmental Effects of Conventional and Organic/Biological Farming systems. II. Soil Ecology, Soil Fertility and Nutrient Cycles. Biol. Agric. Hortic. 1988, 5, 223–287. [Google Scholar] [CrossRef]
- Dong, W.-Y.; Zhang, X.-Y.; Dai, X.-Q.; Fu, X.-L.; Yang, F.-T.; Liu, X.-Y.; Sun, X.-M.; Wen, X.-F.; Schaeffer, S. Changes in soil microbial community composition in response to fertilization of paddy soils in subtropical China. Appl. Soil Ecol. 2014, 84, 140–147. [Google Scholar] [CrossRef]
- Li, M.; Zhang, K.; Yan, Z.; Liu, L.; Kang, E.; Kang, X. Soil Water Content Shapes Microbial Community Along Gradients of Wetland Degradation on the Tibetan Plateau. Front. Microbiol. 2022, 13, 824267. [Google Scholar] [CrossRef] [PubMed]
- Gao, X.; Wu, P.; Zhao, X.; Wang, J.; Shi, Y. Effects of land use on soil moisture variations in a semi-arid catchment: Implications for land and agricultural water management. Land Degrad. Dev. 2014, 25, 163–172. [Google Scholar] [CrossRef]
- Deng, W.P.; Zhang, J.; Zhang, Z.J.; Hu, S.C.; Guo, J.R.; Liu, Y.Q.; Kong, F.Q.; Zhang, Y. Stable hydrogen and oxygen isotope compositions in soil-plant-atmosphere continuum (SPAC) in rocky mountain area of Beijing, China. Ying Yong Sheng Tai Xue Bao J. Appl. Ecol. 2017, 28, 2171–2178. [Google Scholar] [CrossRef]
- Wang, Y.; Shao, M.; Liu, Z. Vertical distribution and influencing factors of soil water content within 21-m profile on the Chinese Loess Plateau. Geoderma 2013, 193–194, 300–310. [Google Scholar] [CrossRef]
- Ji, Y.; Wei, X.; Liu, F.; Li, D.; Li, J. Spatial-temporal patterns of human-wildlife conflicts under coupled impact of natural and anthropogenic factors in Mt. Gaoligong, western Yunnan, China. Glob. Ecol. Conserv. 2022, 40, e02329. [Google Scholar] [CrossRef]
- Xi, M.; Deyett, E.; Stajich, J.E.; El-Kereamy, A.; Roper, M.C.; Rolshausen, P.E. Microbiome diversity, composition and assembly in a California citrus orchard. Front. Microbiol. 2023, 14, 1100590. [Google Scholar] [CrossRef]
- Yang, L.; Muhammad, I.; Chi, Y.X.; Wang, D.; Zhou, X.B. Straw Return and Nitrogen Fertilization to Maize Regulate Soil Properties, Microbial Community, and Enzyme Activities Under a Dual Cropping System. Front. Microbiol. 2022, 13, 823963. [Google Scholar] [CrossRef]
- Semenov, M.V.; Krasnov, G.S.; Semenov, V.M.; Van Bruggen, A. Mineral and Organic Fertilizers Distinctly Affect Fungal Communities in the Crop Rhizosphere. J. Fungi 2022, 8, 251. [Google Scholar] [CrossRef]
- Nagendra, H. Opposite trends in response for the Shannon and Simpson indices of landscape diversity. Appl. Geogr. 2002, 22, 175–186. [Google Scholar] [CrossRef]
- Kerfahi, D.; Tripathi, B.M.; Dong, K.; Go, R.; Adams, J.M. Rainforest Conversion to Rubber Plantation May Not Result in Lower Soil Diversity of Bacteria, Fungi, and Nematodes. Microb. Ecol. 2016, 72, 359–371. [Google Scholar] [CrossRef]
- Tardy, V.; Spor, A.; Mathieu, O.; Lévèque, J.; Terrat, S.; Plassart, P.; Regnier, T.; Bardgett, R.D.; Van Der Putten, W.H.; Roggero, P.P.; et al. Shifts in microbial diversity through land use intensity as drivers of carbon mineralization in soil. Soil Biol. Biochem. 2015, 90, 204–213. [Google Scholar] [CrossRef]
- Tchabi, A.; Coyne, D.; Hountondji, F.; Lawouin, L.; Wiemken, A.; Oehl, F. Arbuscular mycorrhizal fungal communities in sub-Saharan Savannas of Benin, West Africa, as affected by agricultural land use intensity and ecological zone. Mycorrhiza 2008, 18, 181–195. [Google Scholar] [CrossRef] [PubMed]
- Talley, S.M.; Coley, P.D.; Kursar, T.A. The effects of weather on fungal abundance and richness among 25 communities in the Intermountain West. BMC Ecol. 2002, 2, 7. [Google Scholar] [CrossRef] [PubMed]
- Zhao, H.; Zhang, F.; Wang, Y.; Wang, J.; Li, J.; Zhang, Z. Variation and drivers of soil fungal and functional groups among different forest types in warm temperate secondary forests. Glob. Ecol. Conserv. 2023, 45, e02523. [Google Scholar] [CrossRef]
- De Beenhouwer, M.; Van Geel, M.; Ceulemans, T.; Muleta, D.; Lievens, B.; Honnay, O. Changing soil characteristics alter the arbuscular mycorrhizal fungi communities of Arabica coffee (Coffea arabica) in Ethiopia across a management intensity gradient. Soil Biol. Biochem. 2015, 91, 133–139. [Google Scholar] [CrossRef]
- Tang, C.; Zhang, Z.; Yu, L.; Li, Y. Research Progress of Arbuscular Mycorrhizal Fungi Promoting Citrus Growth. Horticulturae 2023, 9, 1162. [Google Scholar] [CrossRef]
- Wang, P.; Shu, B.; Wang, Y.; Zhang, D.J.; Liu, J.F.; Xia, R.X. Diversity of arbuscular mycorrhizal fungi in red tangerine (Citrus reticulata Blanco) rootstock rhizospheric soils from hillside citrus orchards. Pedobiologia 2013, 56, 161–167. [Google Scholar] [CrossRef]
- Miao, F.; Wang, S.; Yuan, Y.; Chen, Y.; Guo, E.; Li, Y. The Addition of a High Concentration of Phosphorus Reduces the Diversity of Arbuscular Mycorrhizal Fungi in Temperate Agroecosystems. Diversity 2023, 15, 1045. [Google Scholar] [CrossRef]
- Wang, P.; Zhang, J.J.; Shu, B.; Xia, R.X. Arbuscular mycorrhizal fungi associated with citrus orchards under different types of soil management, southern China. Plant Soil Environ. 2012, 58, 302–308. [Google Scholar] [CrossRef]
- Ghimire, S.; Thapa, S.; Khanal, B. Evaluating Soil Nutrient Status of Mandarin Orchards across Varied Altitudes in Gorkha, Nepal. Fundam. Appl. Agric. 2023, 8, 698. [Google Scholar] [CrossRef]
- Kong, J.; He, Z.; Chen, L.; Zhang, S.; Yang, R.; Du, J. Elevational variability in and controls on the temperature sensitivity of soil organic matter decomposition in alpine forests. Ecosphere 2022, 13, e4010. [Google Scholar] [CrossRef]
- Clarkson, D.T. Regulation of the absorption and release of nitrate by plant cells: A review of current ideas and methodology. In Fundamental, Ecological and Agricultural Aspects of Nitrogen Metabolism in Higher Plants; Lambers, H., Neeteson, J.J., Stulen, I., Eds.; Springer: Dordrecht, The Netherlands, 1986; pp. 3–27. ISBN 978-94-010-8437-6. [Google Scholar]
- Wallace, A. Soil acidification from use of too much fertilizer. Commun. Soil Sci. Plant Anal. 1994, 25, 87–92. [Google Scholar] [CrossRef]
- Zhang, Y.; Ai, J.; Sun, Q.; Li, Z.; Hou, L.; Song, L.; Tang, G.; Li, L.; Shao, G. Soil organic carbon and total nitrogen stocks as affected by vegetation types and altitude across the mountainous regions in the Yunnan Province, south-western China. CATENA 2021, 196, 104872. [Google Scholar] [CrossRef]
- Condron, L.; Stark, C.; O’Callaghan, M.; Clinton, P.; Huang, Z. The Role of Microbial Communities in the Formation and Decomposition of Soil Organic Matter. In Soil Microbiology and Sustainable Crop Production; Dixon, G.R., Tilston, E.L., Eds.; Springer: Dordrecht, The Netherlands, 2010; pp. 81–118. ISBN 978-90-481-9478-0. [Google Scholar]
- Fu, F.; Li, J.; Li, S.; Chen, W.; Ding, H.; Xiao, S.; Li, Y. Elevational distribution patterns and drivers of soil microbial diversity in the Sygera Mountains, southeastern Tibet, China. CATENA 2023, 221, 106738. [Google Scholar] [CrossRef]
- Zhang, T.; Wang, N.-F.; Liu, H.-Y.; Zhang, Y.-Q.; Yu, L.-Y. Soil pH is a Key Determinant of Soil Fungal Community Composition in the Ny-Ålesund Region, Svalbard (High Arctic). Front. Microbiol. 2016, 7, 227. [Google Scholar] [CrossRef] [PubMed]
- Bai, Z.; Jia, A.; Li, H.; Wang, M.; Qu, S. Explore the soil factors driving soil microbial community and structure in Songnen alkaline salt degraded grassland. Front. Plant Sci. 2023, 14, 1110685. [Google Scholar] [CrossRef] [PubMed]
- Rousk, J.; Bååth, E.; Brookes, P.C.; Lauber, C.L.; Lozupone, C.; Caporaso, J.G.; Knight, R.; Fierer, N. Soil bacterial and fungal communities across a pH gradient in an arable soil. ISME J. 2010, 4, 1340–1351. [Google Scholar] [CrossRef]
- Lauber, C.L.; Strickland, M.S.; Bradford, M.A.; Fierer, N. The influence of soil properties on the structure of bacterial and fungal communities across land-use types. Soil Biol. Biochem. 2008, 40, 2407–2415. [Google Scholar] [CrossRef]
- Yao, F.; Yang, S.; Wang, Z.; Wang, X.; Ye, J.; Wang, X.; DeBruyn, J.M.; Feng, X.; Jiang, Y.; Li, H. Microbial Taxa Distribution Is Associated with Ecological Trophic Cascades along an Elevation Gradient. Front. Microbiol. 2017, 8, 2071. [Google Scholar] [CrossRef]
- Praeg, N.; Pauli, H.; Illmer, P. Microbial Diversity in Bulk and Rhizosphere Soil of Ranunculus glacialis Along a High-Alpine Altitudinal Gradient. Front. Microbiol. 2019, 10, 1429. [Google Scholar] [CrossRef]
- Yang, N.; Wang, Y.; Liu, B.; Zhang, J.; Hua, J.; Liu, D.; Bhople, P.; Zhang, Y.; Zhang, H.; Zhang, C.; et al. Exploration of Soil Microbial Diversity and Community Structure along Mid-Subtropical Elevation Gradients in Southeast China. Forests 2023, 14, 769. [Google Scholar] [CrossRef]
- Manici, L.M.; Caputo, F.; De Sabata, D.; Fornasier, F. The enzyme patterns of Ascomycota and Basidiomycota fungi reveal their different functions in soil. Appl. Soil Ecol. 2024, 196, 105323. [Google Scholar] [CrossRef]
- Ni, Y.; Yang, T.; Zhang, K.; Shen, C.; Chu, H. Fungal Communities Along a Small-Scale Elevational Gradient in an Alpine Tundra are Determined by Soil Carbon Nitrogen Ratios. Front. Microbiol. 2018, 9, 1815. [Google Scholar] [CrossRef] [PubMed]
- Ma, A.; Zhuang, X.; Wu, J.; Cui, M.; Lv, D.; Liu, C.; Zhuang, G. Ascomycota Members Dominate Fungal Communities during Straw Residue Decomposition in Arable Soil. PLoS ONE 2013, 8, e66146. [Google Scholar] [CrossRef]
- Lei, H.; Yu, J.; Zang, M.; Pan, H.; Liu, X.; Zhang, Z.; Du, J. Effects of Water-Fertilizer-Air-Coupling Drip Irrigation on Soil Health Status: Soil Aeration, Enzyme Activities and Microbial Biomass. Agronomy 2022, 12, 2674. [Google Scholar] [CrossRef]
- Broeckling, C.D.; Broz, A.K.; Bergelson, J.; Manter, D.K.; Vivanco, J.M. Root Exudates Regulate Soil Fungal Community Composition and Diversity. Appl. Environ. Microbiol. 2008, 74, 738–744. [Google Scholar] [CrossRef]
- Yang, Y.; Qiu, K.; Xie, Y.; Li, X.; Zhang, S.; Liu, W.; Huang, Y.; Cui, L.; Wang, S.; Bao, P. Geographical, climatic, and soil factors control the altitudinal pattern of rhizosphere microbial diversity and its driving effect on root zone soil multifunctionality in mountain ecosystems. Sci. Total Environ. 2023, 904, 166932. [Google Scholar] [CrossRef]
- Yang, N.; Li, X.; Liu, D.; Zhang, Y.; Chen, Y.; Wang, B.; Hua, J.; Zhang, J.; Peng, S.; Ge, Z.; et al. Diversity patterns and drivers of soil bacterial and fungal communities along elevational gradients in the Southern Himalayas, China. Appl. Soil Ecol. 2022, 178, 104563. [Google Scholar] [CrossRef]
- Li, Q.; He, G.; Wen, T.; Zhang, D.; Liu, X. Distribution pattern of soil fungi community diversity in alpine meadow in Qilian Mountains of eastern Qinghai-Tibetan Plateau. Ecol. Indic. 2022, 141, 109054. [Google Scholar] [CrossRef]
- Ge, Y.; Zhang, F.; Xie, C.; Qu, P.; Jiang, K.; Du, H.; Zhao, M.; Lu, Y.; Wang, B.; Shi, X.; et al. Effects of Different Altitudes on Coffea arabica Rhizospheric Soil Chemical Properties and Soil Microbiota. Agronomy 2023, 13, 471. [Google Scholar] [CrossRef]
- Odriozola, I.; Navrátilová, D.; Tláskalová, P.; Klinerová, T.; Červenková, Z.; Kohout, P.; Větrovský, T.; Čížková, P.; Starý, M.; Baldrian, P. Predictors of soil fungal biomass and community composition in temperate mountainous forests in Central Europe. Soil Biol. Biochem. 2021, 161, 108366. [Google Scholar] [CrossRef]
- Guo, Y.; Ji, L.; Wang, M.; Shan, C.; Shen, F.; Yang, Y.; He, G.; Purahong, W.; Yang, L. View from the Top: Insights into the Diversity and Community Assembly of Ectomycorrhizal and Saprotrophic Fungi along an Altitudinal Gradient in Chinese Boreal Larix gmelinii-Dominated Forests. Microorganisms 2022, 10, 1997. [Google Scholar] [CrossRef]
- Siles, J.A.; Cajthaml, T.; Filipová, A.; Minerbi, S.; Margesin, R. Altitudinal, seasonal and interannual shifts in microbial communities and chemical composition of soil organic matter in Alpine forest soils. Soil Biol. Biochem. 2017, 112, 1–13. [Google Scholar] [CrossRef]
- Margesin, R.; Jud, M.; Tscherko, D.; Schinner, F. Microbial communities and activities in alpine and subalpine soils: Communities and activities in alpine and subalpine soils. FEMS Microbiol. Ecol. 2009, 67, 208–218. [Google Scholar] [CrossRef]
- Vašutová, M.; Edwards-Jonášová, M.; Baldrian, P.; Čermák, M.; Cudlín, P. Distinct environmental variables drive the community composition of mycorrhizal and saprotrophic fungi at the alpine treeline ecotone. Fungal Ecol. 2017, 27, 116–124. [Google Scholar] [CrossRef]
- Yan, P.; Hou, H.; Lv, Y.; Zhang, H.; Li, J.; Shao, L.; Xie, Q.; Liang, Y.; Li, J.; Ni, X. Diversity characteristics of arbuscular mycorrhizal fungi communities in the soil along successional altitudes of Helan Mountain, arid, and semi-arid regions of China. Front. Microbiol. 2023, 14, 1099131. [Google Scholar] [CrossRef]
- Li, X.; Gai, J.; Cai, X.; Li, X.; Christie, P.; Zhang, F.; Zhang, J. Molecular diversity of arbuscular mycorrhizal fungi associated with two co-occurring perennial plant species on a Tibetan altitudinal gradient. Mycorrhiza 2014, 24, 95–107. [Google Scholar] [CrossRef]
- Velázquez, M.S.; Stürmer, S.L.; Bruzone, C.; Fontenla, S.; Barrera, M.; Cabello, M. Occurrence of arbuscular mycorrhizal fungi in high altitude sites of the Patagonian Altoandina region in Nahuel Huapi National Park (Argentina). Acta Bot. Bras. 2016, 30, 521–531. [Google Scholar] [CrossRef]
- Zhao, W.; Yin, Y.; Li, S.; Dong, Y.; Su, S. Changes in soil fungal community composition and functional groups during the succession of Alpine grassland. Plant Soil 2023, 484, 201–216. [Google Scholar] [CrossRef]
- Qin, M.; Zhang, Q.; Pan, J.; Jiang, S.; Liu, Y.; Bahadur, A.; Peng, Z.; Yang, Y.; Feng, H. Effect of arbuscular mycorrhizal fungi on soil enzyme activity is coupled with increased plant biomass. Eur. J. Soil Sci. 2020, 71, 84–92. [Google Scholar] [CrossRef]
- Yamanaka, T. The effect of pH on the growth of saprotrophic and ectomycorrhizal ammonia fungi in vitro. Mycologia 2003, 95, 584–589. [Google Scholar] [CrossRef] [PubMed]
- Yang, Y.; Hou, Y.; Ma, M.; Zhan, A. Potential pathogen communities in highly polluted river ecosystems: Geographical distribution and environmental influence. Ambio 2020, 49, 197–207. [Google Scholar] [CrossRef] [PubMed]
- Ji, L.; Yang, Y.; Yang, L. Seasonal variations in soil fungal communities and co-occurrence networks along an altitudinal gradient in the cold temperate zone of China: A case study on Oakley Mountain. CATENA 2021, 204, 105448. [Google Scholar] [CrossRef]
- Kumar, U.; Saqib, H.S.A.; Islam, W.; Prashant, P.; Patel, N.; Chen, W.; Yang, F.; You, M.; He, W. Landscape Composition and Soil Physical—Chemical Properties Drive the Assemblages of Bacteria and Fungi in Conventional Vegetable Fields. Microorganisms 2022, 10, 1202. [Google Scholar] [CrossRef]
- Kasel, S.; Bennett, L.T.; Tibbits, J. Land use influences soil fungal community composition across central Victoria, south-eastern Australia. Soil Biol. Biochem. 2008, 40, 1724–1732. [Google Scholar] [CrossRef]
- Cai, Z.; Zhang, Y.; Yang, C.; Wang, S. Land-use type strongly shapes community composition, but not always diversity of soil microbes in tropical China. CATENA 2018, 165, 369–380. [Google Scholar] [CrossRef]
- Guo, Y.; Liao, H.-L.; Boughton, E.H.; Martens-Habbena, W.; Qiu, J. Effects of land-use intensity, grazing and fire disturbances on soil bacterial and fungal communities in subtropical wetlands. Agric. Ecosyst. Environ. 2023, 345, 108314. [Google Scholar] [CrossRef]
- Thomson, B.C.; Tisserant, E.; Plassart, P.; Uroz, S.; Griffiths, R.I.; Hannula, S.E.; Buée, M.; Mougel, C.; Ranjard, L.; Van Veen, J.A.; et al. Soil conditions and land use intensification effects on soil microbial communities across a range of European field sites. Soil Biol. Biochem. 2015, 88, 403–413. [Google Scholar] [CrossRef]
- Pedrinho, A.; Mendes, L.W.; Merloti, L.F.; Andreote, F.D.; Tsai, S.M. The natural recovery of soil microbial community and nitrogen functions after pasture abandonment in the Amazon region. FEMS Microbiol. Ecol. 2020, 96, fiaa149. [Google Scholar] [CrossRef]
- Balami, S.; Vašutová, M.; Godbold, D.; Kotas, P.; Cudlín, P. Soil fungal communities across land use types. iFor.-Biogeosci. For. 2020, 13, 548–558. [Google Scholar] [CrossRef]









| Phylum | Land Use | Altitude | Interaction | |||
|---|---|---|---|---|---|---|
| F | p | F | p | F | p | |
| Ascomycota | 12.213 | <0.001 | 126.379 | <0.001 | 17.806 | <0.001 |
| Basidiomycota | 27.841 | <0.001 | 5.759 | <0.01 | 4.961 | <0.01 |
| Mortierellomycota | 8.194 | <0.001 | 33.937 | <0.001 | 95.155 | <0.001 |
| Unassigned | 13.482 | <0.001 | 10.52 | <0.001 | 6.599 | <0.001 |
| Chytridiomycota | 5.778 | <0.01 | 5.383 | <0.05 | 2.882 | <0.05 |
| Rozellomycota | 35.561 | <0.001 | 16.544 | <0.001 | 3.737 | <0.01 |
| Glomeromycota | 37.588 | <0.001 | 7.642 | <0.01 | 23.595 | <0.001 |
| Olpidiomycota | 10.397 | <0.001 | 10.532 | <0.001 | 10.429 | <0.001 |
| Kickxellomycota | 30.606 | <0.001 | 18.797 | <0.001 | 13.366 | <0.001 |
| Blastocladiomycota | 0.411 | 0.747 | 1.229 | 0.31 | 1.252 | 0.316 |
| Guild | Land Use | Altitude | Interaction | |||
|---|---|---|---|---|---|---|
| F | p | F | p | F | p | |
| Undefined Saprotroph | 0.764 | 0.526 | 13.056 | <0.001 | 8.925 | <0.001 |
| Epiphyte | 13.459 | <0.001 | 22.846 | <0.001 | 14.687 | <0.001 |
| Endophyte-Litter Saprotroph-Soil Saprotroph-Undefined Saprotroph | 9.8 | <0.001 | 13.362 | <0.001 | 92.557 | <0.001 |
| Arbuscular Mycorrhizal | 40.282 | <0.001 | 13.522 | <0.001 | 25.556 | <0.001 |
| Wood Saprotroph | 19.061 | <0.001 | 43.719 | <0.001 | 19.474 | <0.001 |
| Animal Pathogen-Fungal Parasite-Undefined Saprotroph | 10.694 | <0.001 | 28.859 | <0.001 | 15.26 | <0.001 |
| Animal Pathogen-Undefined Saprotroph | 12.714 | <0.001 | 10.557 | <0.001 | 6.31 | <0.001 |
| Plant Pathogen-Wood Saprotroph | 20.534 | <0.001 | 24.387 | <0.001 | 36.878 | <0.001 |
| Plant Pathogen-Undefined Saprotroph | 4.902 | <0.01 | 10.756 | <0.001 | 5.418 | <0.01 |
| Endophyte-Lichen Parasite-Plant Pathogen-Undefined Saprotroph | 4.331 | <0.05 | 36.939 | <0.001 | 12.999 | <0.001 |
| Altitude | pH | TC | TN (g·kg−1) | TP (mg·kg−1) | NH4+-N (mg·kg−1) | NO3−-N (mg·kg−1) | SOC (g·kg−1) | DOC (g·kg−1) | SWC (%) | |
|---|---|---|---|---|---|---|---|---|---|---|
| 900 m | Chao1 | 0.297 | −0.355 | −0.423 | −0.394 | 0.735 ** | −0.862 ** | −0.361 | −0.449 | −0.035 |
| ACE | 0.319 | −0.362 | −0.423 | −0.401 | 0.735 ** | −0.855 ** | −0.361 | −0.438 | −0.021 | |
| Shannon | 0.107 | −0.313 | −0.38 | −0.418 | 0.271 | −0.371 | −0.406 | −0.537 | −0.119 | |
| Simpson | −0.2 | 0.035 | 0.077 | 0.049 | −0.018 | 0.144 | 0.112 | 0.251 | 0.126 | |
| 1200 m | Chao1 | −0.013 | 0.614 | 0.555 | −0.268 | −0.917 ** | 0.915 ** | 0.569 | 0.012 | 0.195 |
| ACE | −0.013 | 0.614 | 0.555 | −0.268 | −0.917 ** | 0.915 ** | 0.569 | 0.012 | 0.195 | |
| Shannon | 0.151 | 0.711 * | 0.713 * | −0.591 | −0.789 ** | 0.685 * | 0.654 * | 0.244 | −0.322 | |
| Simpson | −0.238 | −0.729 * | −0.738 * | 0.744 * | 0.661 * | −0.515 | −0.691 * | −0.36 | 0.468 | |
| 1500 m | Chao1 | −0.810 ** | 0.364 | 0.702 * | 0.141 | 0.667 * | 0.713 ** | 0.772 ** | 0.716 ** | 0.51 |
| ACE | −0.810 ** | 0.364 | 0.702 * | 0.141 | 0.667 * | 0.713 ** | 0.772 ** | 0.716 ** | 0.51 | |
| Shannon | −0.789 ** | 0.294 | 0.505 | 0.088 | 0.642 * | 0.713 ** | 0.621 * | 0.688 * | 0.336 | |
| Simpson | 0.106 | −0.287 | 0.091 | −0.063 | 0.211 | −0.028 | −0.007 | −0.099 | 0.175 | |
Disclaimer/Publisher’s Note: The statements, opinions and data contained in all publications are solely those of the individual author(s) and contributor(s) and not of MDPI and/or the editor(s). MDPI and/or the editor(s) disclaim responsibility for any injury to people or property resulting from any ideas, methods, instructions or products referred to in the content. |
© 2024 by the authors. Licensee MDPI, Basel, Switzerland. This article is an open access article distributed under the terms and conditions of the Creative Commons Attribution (CC BY) license (https://creativecommons.org/licenses/by/4.0/).
Share and Cite
Zeng, Z.; Huang, R.; Li, W. Elevation Determines Fungal Diversity, and Land Use Governs Community Composition: A Dual Perspective from Gaoligong Mountains. Microorganisms 2024, 12, 2378. https://doi.org/10.3390/microorganisms12112378
Zeng Z, Huang R, Li W. Elevation Determines Fungal Diversity, and Land Use Governs Community Composition: A Dual Perspective from Gaoligong Mountains. Microorganisms. 2024; 12(11):2378. https://doi.org/10.3390/microorganisms12112378
Chicago/Turabian StyleZeng, Zhuanfei, Ruilong Huang, and Wei Li. 2024. "Elevation Determines Fungal Diversity, and Land Use Governs Community Composition: A Dual Perspective from Gaoligong Mountains" Microorganisms 12, no. 11: 2378. https://doi.org/10.3390/microorganisms12112378
APA StyleZeng, Z., Huang, R., & Li, W. (2024). Elevation Determines Fungal Diversity, and Land Use Governs Community Composition: A Dual Perspective from Gaoligong Mountains. Microorganisms, 12(11), 2378. https://doi.org/10.3390/microorganisms12112378

