Cast from the Past? Microbial Diversity of a Neolithic Stone Circle
Abstract
1. Introduction
2. Materials and Methods
2.1. Study Area
2.2. Characterization of the Rock Pools and Collection of Samples
2.3. Extraction of DNA, Sequencing, and Bioinformatics
2.4. Environmental and Chemical Analysis
2.5. Statistical Analysis
3. Results
3.1. Microbiome Global Structure: OTUs and Phyla
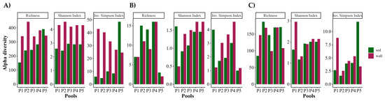
3.2. Microbiome Alpha Diversity
3.3. Microbiome Beta Diversity
3.4. Microbiome Indicator Species
3.5. Environmental Conditions of Arbor Low Rock Pools
3.6. Associations Microbiome–Chemical Environment
4. Discussion
4.1. Microbiome Global Distribution Patterns in the Rock Pools of a Neolithic Monument
4.2. Indicator OTUs for Wall Versus Sediment
4.3. Indicator OTUs for CHN Profile
4.4. Drivers of Community Assemblages
Supplementary Materials
Author Contributions
Funding
Data Availability Statement
Acknowledgments
Conflicts of Interest
References
- Cardinale, B.J.; Srivastava, D.S.; Duffy, J.E.; Wright, J.P.; Downing, A.L.; Sankaran, M.; Jouseau, C. Effects of Biodiversity on the Functioning of Trophic Groups and Ecosystems. Nature 2006, 443, 989–992. [Google Scholar] [CrossRef] [PubMed]
- Chimienti, G.; Piredda, R.; Pepe, G.; van der Werf, I.D.; Sabbatini, L.; Crecchio, C.; Ricciuti, P.; D’Erchia, A.M.; Manzari, C.; Pesole, G. Profile of Microbial Communities on Carbonate Stones of the Medieval Church of San Leonardo Di Siponto (Italy) by Illumina-Based Deep Sequencing. Appl. Microbiol. Biotechnol. 2016, 100, 8537–8548. [Google Scholar] [CrossRef] [PubMed]
- Li, Q.; Zhang, B.; Yang, X.; Ge, Q. Deterioration-Associated Microbiome of Stone Monuments: Structure, Variation, and Assembly. Appl. Environ. Microbiol. 2018, 84, e02680-17. [Google Scholar] [CrossRef]
- Warscheid, T.; Braams, J. Biodeterioration of Stone: A Review. Int. Biodeterior. Biodegrad. 2000, 46, 343–368. [Google Scholar] [CrossRef]
- Scheerer, S. Microbial Biodeterioration of Outdoor Stone Monuments: Assessment Methods and Control Strategies. Ph.D. Thesis, Cardiff University, Cardiff, UK, 2008. [Google Scholar]
- Rodriguez-Navarro, C.; Jroundi, F.; Gonzalez-Muñoz, M.T. Stone Consolidation by Bacterial Carbonatogenesis: Evaluation of in Situ Applications. Restor. Build. Monum. 2015, 21, 9–20. [Google Scholar] [CrossRef]
- Ortega-Villamagua, E.; Gudiño-Gomezjurado, M.; Palma-Cando, A. Microbiologically Induced Carbonate Precipitation in Heritage Materials. Molecules 2020, 25, 5499. [Google Scholar] [CrossRef] [PubMed]
- Graue, B.; Siegesmund, S.; Oyhantcabal, P.; Naumann, R.; Licha, T.; Simon, K. The effect of Air Pollution on Stone Decay: The Decay of the Drachenfels Trachyte in Industrial, Urban, and Rural Environments—A Case Study of the Cologne, Altenberg and Xanten Cathedrals. Environ. Earth Sci. 2013, 69, 1095–1124. [Google Scholar] [CrossRef]
- Török, Á.; Licha, T.; Simon, K.; Siegesmund, S. Urban and Rural Limestone Weathering; the Contribution of Dust to Black Crust Formation. Environ. Earth Sci. 2011, 63, 675–693. [Google Scholar] [CrossRef]
- Webster, A.; May, E. Bioremediation of Weathered-Building Stone Surfaces. Trends Biotechnol. 2006, 24, 255–260. [Google Scholar] [CrossRef]
- Ortega-Morales, B.O.; Gaylarde, C.C. Bioconservation of Historic Stone Buildings—An Updated Review. Appl. Sci. 2021, 11, 5695. [Google Scholar] [CrossRef]
- Macedo, M.F.; Miller, A.Z.; Pinheiro, A.C.; Portugal, A. Application of Biology to Cultural Heritage. Appl. Sci. 2022, 12, 841. [Google Scholar] [CrossRef]
- De Leo, F.; Jurado, V. Editorial for the Special Issue “Microbial Communities in Cultural Heritage and Their Control”. Appl. Sci. 2021, 11, 11411. [Google Scholar] [CrossRef]
- Sterflinger, K.; Piñar, G. Microbial Deterioration of Cultural Heritage and Works of Art—Tilting at Windmills? Appl. Microbiol. Biotechnol. 2013, 97, 9637–9646. [Google Scholar] [CrossRef] [PubMed]
- Vasanthakumar, A.; DeAraujo, A.; Mazurek, J.; Schilling, M.; Mitchell, R. Microbiological Survey for Analysis of the Brown Spots on the Walls of the Tomb of King Tutankhamun. Int. Biodeterior. Biodegrad. 2013, 79, 56–63. [Google Scholar] [CrossRef]
- Rizk, S.M.; Magdy, M.; De Leo, F.; Werner, O.; Rashed, M.A.S.; Ros, R.M.; Urzì, C. Culturable and Unculturable Potential Heterotrophic Microbiological Threats to the Oldest Pyramids of the Memphis Necropolis, Egypt. Front. Microbiol. 2023, 14, 1167083. [Google Scholar] [CrossRef]
- Nir, I.; Barak, H.; Kramarsky-Winter, E.; Kushmaro, A. Seasonal Diversity of the Bacterial Communities Associated with Petroglyphs Sites from the Negev Desert, Israel. Ann. Microbiol. 2019, 69, 1079–1086. [Google Scholar] [CrossRef]
- Rabbachin, L.; Nir, I.; Waldherr, M.; Vassallo, Y.; Piñar, G.; Graf, A.; Kushmaro, A.; Sterflinger, K. Diversity of Fungi Associated with Petroglyph Sites in the Negev Desert, Israel, and Their Potential Role in Bioweathering. Front. Fungal Biol. 2024, 5, 1400380. [Google Scholar] [CrossRef]
- De Luca, D.; Piredda, R.; Trojsi, G.; Cennamo, P. Close but Different: Metabarcoding Analyses Reveal Different Microbial Communities in Ancient Roman Nymphaea. Int. Biodeterior. Biodegrad. 2023, 181, 105619. [Google Scholar] [CrossRef]
- McNamara, C.J.; Perry IV, T.D.; Bearce, K.A.; Hernandez-Duque, G.; Mitchell, R. Epilithic and Endolithic Bacterial Communities in Limestone from a Maya Archaeological Site. Microb. Ecol. 2006, 51, 51–64. [Google Scholar] [CrossRef]
- Coelho, C.; Mesquita, N.; Costa, I.; Soares, F.; Trovão, J.; Freitas, H.; Portugal, A.; Tiago, I. Bacterial and Archaeal Structural Diversity in Several Biodeterioration Patterns on the Limestone Walls of the Old Cathedral of Coimbra. Microorganisms 2021, 9, 709. [Google Scholar] [CrossRef]
- Soares, F.; Portugal, A.; Trovão, J.; Coelho, C.; Mesquita, N.; Pinheiro, A.C.; Gil, F.; Catarino, L.; Cardoso, S.M.; Tiago, I. Structural Diversity of Photoautotrophic Populations within the UNESCO Site ‘Old Cathedral of Coimbra’ (Portugal), Using a Combined Approach. Int. Biodeterior. Biodegrad. 2019, 140, 9–20. [Google Scholar] [CrossRef]
- Skipper, P.J.A.; Skipper, L.K.; Dixon, R.A. A Metagenomic Analysis of the Bacterial Microbiome of Limestone, and the Role of Associated Biofilms in the Biodeterioration of Heritage Stone Surfaces. Sci. Rep. 2022, 12, 4877. [Google Scholar] [CrossRef] [PubMed]
- Ogawa, A.; Celikkol-Aydin, S.; Gaylarde, C.; Baptista-Neto, J.A.; Beech, I. Microbiomes of Biofilms on Decorative Siliceous Stone: Drawbacks and Advantages of Next Generation Sequencing. Curr. Microbiol. 2017, 74, 848–853. [Google Scholar] [CrossRef] [PubMed]
- Adamiak, J.; Otlewska, A.; Tafer, H.; Lopandic, K.; Gutarowska, B.; Sterflinger, K.; Piñar, G. First Evaluation of the Microbiome of Built Cultural Heritage by Using the Ion Torrent next Generation Sequencing Platform. Int. Biodeterior. Biodegrad. 2018, 131, 11–18. [Google Scholar] [CrossRef]
- Gutarowska, B.; Celikkol-Aydin, S.; Bonifay, V.; Otlewska, A.; Aydin, E.; Oldham, A.L.; Brauer, J.I.; Duncan, K.E.; Adamiak, J.; Sunner, J.A.; et al. Metabolomic and High-Throughput Sequencing Analysis-Modern Approach for the Assessment of Biodeterioration of Materials from Historic Buildings. Front. Microbiol. 2015, 6, 979. [Google Scholar] [CrossRef]
- Silva, N.C.; Madureira, A.R.; Pintado, M.; Moreira, P.R. Biocontamination and Diversity of Epilithic Bacteria and Fungi Colonising Outdoor Stone and Mortar Sculptures. Appl. Microbiol. Biotechnol. 2022, 106, 3811–3828. [Google Scholar] [CrossRef]
- Rizk, S.M.; Magdy, M. An Indigenous Inland Genotype of the Black Yeast Hortaea werneckii Inhabiting the Great Pyramid of Giza, Egypt. Front. Microbiol. 2022, 13, 997495. [Google Scholar] [CrossRef]
- Gaylarde, C.C.; Rodríguez, C.H.; Navarro-Noya, Y.E.; Ortega-Morales, B.O. Microbial Biofilms on the Sandstone Monuments of the Angkor Wat Complex, Cambodia. Curr. Microbiol. 2012, 64, 85–92. [Google Scholar] [CrossRef]
- Isola, D.; Bartoli, F.; Morretta, S.; Caneva, G. The Roman Houses of the Caelian Hill (Rome, Italy): Multitemporal Evaluation of Biodeterioration Patterns. Microorganisms 2023, 11, 1770. [Google Scholar] [CrossRef]
- Nigro, L.; Mura, F.; Toti, M.P.; Cirigliano, A.; Rinaldi, T. Carbonatogenic Bacteria on the ‘Motya Charioteer’ Sculpture. J. Cult. Herit. 2022, 57, 256–264. [Google Scholar] [CrossRef]
- The Megalithic Portal and Megalithic Map: Arbor Low 1 Stone Circle. The Megalithic Portal. Available online: https://www.megalithic.co.uk/ (accessed on 16 July 2024).
- Arbor Low and Gib Hill Conservation Plan. 2008. Available online: https://www.peakdistrict.gov.uk/__data/assets/pdf_file/0022/46255/arbor-low-conservation-plan.pdf (accessed on 5 July 2024).
- Chan, M.A.; Moser, K.; Davis, J.M.; Southam, G.; Hughes, K.; Graham, T. Desert Potholes: Ephemeral Aquatic Microsystems. Aquat. Geochem. 2005, 11, 279–302. [Google Scholar] [CrossRef]
- De Meester, L.; Declerck, S.; Stoks, R.; Louette, G.; Van De Meutter, F.; De Bie, T.; Michels, E.; Brendonck, L. Ponds and Pools as Model Systems in Conservation Biology, Ecology and Evolutionary Biology. Aquat. Conserv. Mar. Freshw. Ecosyst. 2005, 15, 715–725. [Google Scholar] [CrossRef]
- Brendonck, L.; Jocque, M.; Hulsmans, A.; Vanschoenwinkel, B. Pools “on the Rocks”: Freshwater Rock Pools as Model System in Ecological and Evolutionary Research. Limnetica 2010, 29, 25–40. [Google Scholar] [CrossRef]
- Jocque, M.; Vanschoenwinkel, B.; Brendonck, L. Freshwater Rock Pools: A Review of Habitat Characteristics, Faunal Diversity and Conservation Value. Freshw. Biol. 2010, 55, 1587–1602. [Google Scholar] [CrossRef]
- Anusa, A.; Ndagurwa, H.G.T.; Magadza, C.H.D. The Influence of Pool Size on Species Diversity and Water Chemistry in Temporary Rock Pools on Domboshawa Mountain, Northern Zimbabwe. Afr. J. Aquat. Sci. 2012, 37, 89–99. [Google Scholar] [CrossRef]
- Pinder, A.M.; Halse, S.A.; Shiel, R.J.; McRae, J.M. Granite Outcrop Pools in South-Western Australia: Foci of Diversification and Refugia for Aquatic Invertebrates. J. R. Soc. West. Aust. 2000, 83, 149–161. [Google Scholar]
- Velasco-González, I.; Sanchez-Jimenez, A.; Singer, D.; Murciano, A.; Díez-Hermano, S.; Lara, E.; Martín-Cereceda, M. Rain-Fed Granite Rock Basins Accumulate a High Diversity of Dormant Microbial Eukaryotes. Microb. Ecol. 2020, 79, 882–897. [Google Scholar] [CrossRef]
- Madsen, M. Patterns of Microbial Diversity and Community Composition in Slot Canyons, Rock Pools, and Other Ephemeral and Perennial Aquatic Habitats. Master’s Thesis, Utah State University, Logan, UT, USA, 2020. [Google Scholar]
- Pérez-Uz, B.; Velasco-González, I.; Murciano, A.; Sanchez-Jimenez, A.; García-Rodríguez, M.; Centeno, J.D.; Montero, E.; Muñoz, B.; Olmedo, C.; Quintela-Alonso, P.; et al. Rain-Fed Granite Rock Pools in a National Park: Extreme Niches for Protists. Limnetica 2021, 40, 1–18. [Google Scholar] [CrossRef]
- Velasco-González, I.; Lara, E.; Singer, D.; de Cos-Gandoy, A.; García-Rodríguez, M.; Murciano, A.; Pérez-Uz, B.; Williams, R.; Sanchez-Jimenez, A.; Martín-Cereceda, M. Diversity of DNA Sequences from Pathogenic and Potentially Pathogenic Eukaryotic Microorganisms in Protected Granite Mountain Rocks. Diversity 2023, 15, 594. [Google Scholar] [CrossRef]
- Chen, J.; Zhao, Q.; Li, F.; Zhao, X.; Wang, Y.; Zhang, L.; Liu, J.; Yan, L.; Yu, L. Nutrient Availability and Acid Erosion Determine the Early Colonization of Limestone by Lithobiontic Microorganisms. Front. Microbiol. 2023, 14, 1194871. [Google Scholar] [CrossRef]
- Chen, H.; Boutros, P.C. VennDiagram: A Package for the Generation of Highly-Customizable Venn and Euler Diagrams in R. BMC Bioinform. 2011, 12, 35. [Google Scholar] [CrossRef] [PubMed]
- Hsieh, T.C.; Ma, K.H.; Chao, A. NEXT: INterpolation and EXTrapolation for Species Diversity; R Package Version 3.0.1. 2024. Available online: https://cran.r-project.org/web/packages/iNEXT/iNEXT.pdf (accessed on 14 July 2024).
- R Core Team. R: A Language and Environment for Statistical Computing; R Foundation for Statistical Computing: Vienna, Austria, 2024. [Google Scholar]
- De Cáceres, M.; Legendre, P. Associations between Species and Groups of Sites: Indices and Statistical Inference. Ecology 2009, 90, 3566–3574. [Google Scholar] [CrossRef]
- Oksanen, J.; Simpson, G.; Blanchet, F.; Kindt, R.; Legendre, P.; Minchin, P.R.; O’Hara, R.B.; Solymos, P.; Stevens, M.H.; Szoecs, E.; et al. Vegan: Community Ecology Package; R Package Version 2.6-4. 2022. Available online: https://cran.r-project.org/web/packages/vegan/vegan.pdf (accessed on 3 July 2024).
- RStudio Team. RStudio: Integrated Development for R; RStudio, PBC: Boston, MA, USA, 2024; Available online: http://www.rstudio.com/ (accessed on 13 July 2024).
- McBride, M.J. Cytophaga-Flavobacterium Gliding Motility. J. Mol. Microbiol. Biotechnol. 2004, 7, 63–71. [Google Scholar] [CrossRef]
- Kim, M.K.; Park, S.; Kim, T.S.; Joung, Y.; Han, J.H.; Kim, S.B. Mucibacter soli gen. nov., sp. nov., a New Member of the Family Chitinophagaceae Producing Mucin. J. Microbiol. 2019, 57, 356–361. [Google Scholar] [CrossRef]
- Albuquerque, L.; Simões, C.; Nobre, M.F.; Pino, N.M.; Battista, J.R.; Silva, M.T.; Rainey, F.A.; Da Costa, M.S. Truepera radiovictrix gen. nov., sp. nov., a New Radiation Resistant Species and the Proposal of Trueperaceae fam. nov. FEMS Microbiol. Lett. 2005, 247, 161–169. [Google Scholar] [CrossRef] [PubMed]
- Tahon, G.; Tytgat, B.; Lebbe, L.; Carlier, A.; Willems, A. Abditibacterium utsteinense sp. nov., the First Cultivated Member of Candidate Phylum FBP, Isolated from Ice-Free Antarctic Soil Samples. Syst. Appl. Microbiol. 2018, 41, 279–290. [Google Scholar] [CrossRef]
- Chang, X.; Jiang, F.; Wang, T.; Kan, W.; Qu, Z.; Ren, L.; Fang, C.; Peng, F. Spirosoma arcticum sp. nov., Isolated from High Arctic Glacial Till. Int. J. Syst. Evol. Microbiol. 2014, 64, 2233–2237. [Google Scholar] [CrossRef] [PubMed]
- Dai, J.; Wang, Y.; Zhang, L.; Tang, Y.; Luo, X.; An, H.; Fang, C. Hymenobacter tibetensis sp. nov., a UV-Resistant Bacterium Isolated from Qinghai-Tibet Plateau. Syst. Appl. Microbiol. 2009, 32, 543–548. [Google Scholar] [CrossRef]
- Kim, M.C.; Pak, S.H.; Rim, S.G.; Ren, L.; Jiang, F.; Chang, X.; Liu, P.; Zhang, Y.; Fang, C.; Zheng, C.; et al. Luteolibacter arcticus sp. nov., Isolated from High Arctic Tundra Soil, and Emended Description of the Genus Luteolibacter. Int. J. Syst. Evol. Microbiol. 2015, 65, 1922–1928. [Google Scholar] [CrossRef]
- Kim, E.H.; Jeong, H.J.; Lee, Y.K.; Moon, E.Y.; Cho, J.C.; Lee, H.K.; Hong, S.G. Actimicrobium antarcticum gen. nov., sp. nov., of the Family Oxalobacteraceae, Isolated from Antarctic Coastal Seawater. Curr. Microbiol. 2011, 63, 213–217. [Google Scholar] [CrossRef]
- Tytgat, B.; Verleyen, E.; Sweetlove, M.; Van den Berge, K.; Pinseel, E.; Hodgson, D.A.; Chown, S.L.; Sabbe, K.; Wilmotte, A.; Willems, A.; et al. Polar Lake Microbiomes Have Distinct Evolutionary Histories. Sci. Adv. 2023, 9, eade7130. [Google Scholar] [CrossRef] [PubMed]
- Li, Q.; Zhang, B.; He, Z.; Yang, X. Distribution and Diversity of Bacteria and Fungi Colonization in Stone Monuments Analyzed by High-Throughput Sequencing. PLoS ONE 2016, 11, e0163287. [Google Scholar] [CrossRef] [PubMed]
- Macedo, M.F.; Miller, A.Z.; Dionísio, A.; Saiz-Jimenez, C. Biodiversity of Cyanobacteria and Green Algae on Monuments in the Mediterranean Basin: An Overview. Microbiology 2009, 155, 3476–3490. [Google Scholar] [CrossRef] [PubMed]
- Bolívar-Galiano, F.; Abad-Ruiz, C.; Sánchez-Castillo, P.; Toscano, M.; Romero-Noguera, J. Frequent Microalgae in the Fountains of the Alhambra and Generalife: Identification and Creation of a Culture Collection. Appl. Sci. 2020, 10, 6603. [Google Scholar] [CrossRef]
- Gorbushina, A.A. Life on the Rocks. Environ. Microbiol. 2007, 9, 1613–1631. [Google Scholar] [CrossRef] [PubMed]
- Liang, X.; Meng, S.; He, Z.; Zeng, X.; Peng, T.; Huang, T.; Wang, J.; Gu, J.D.; Hu, Z. Higher Abundance of Ammonia-Oxidizing Bacteria than Ammonia-Oxidizing Archaea in Biofilms and the Microbial Community Composition of Kaiping Diaolou of China. Int. Biodeterior. Biodegrad. 2023, 184, 105647. [Google Scholar] [CrossRef]
- Hauer, T.; Mühlsteinová, R.; Bohunická, M.; Kaštovský, J.; Mareš, J. Diversity of Cyanobacteria on Rock Surfaces. Biodivers. Conserv. 2015, 24, 759–779. [Google Scholar] [CrossRef]
- Cellamare, M.; Duval, C.; Drelin, Y.; Djediat, C.; Touibi, N.; Agogué, H.; Leboulanger, C.; Ader, M.; Bernard, C. Characterization of Phototrophic Microorganisms and Description of New Cyanobacteria Isolated from the Saline-Alkaline Crater-Lake Dziani Dzaha (Mayotte, Indian Ocean). FEMS Microbiol. Ecol. 2018, 94, fiy108. [Google Scholar] [CrossRef]
- Jung, P.; Mikhailyuk, T.; Emrich, D.; Baumann, K.; Dultz, S.; Büdel, B. Shifting Boundaries: Ecological and Geographical Range Extension Based on Three New Species in the Cyanobacterial Genera Cyanocohniella, Oculatella and Aliterella. J. Phycol. 2020, 56, 1216–1231. [Google Scholar] [CrossRef]
- Berrendero Gómez, E.; Johansen, J.R.; Kaštovský, J.; Bohunická, M.; Čapková, K. Macrochaete Gen. Nov. (Nostocales, Cyanobacteria), a Taxon Morphologically and Molecularly Distinct from Calothrix. J. Phycol. 2016, 52, 638–655. [Google Scholar] [CrossRef]
- Taton, A.; Wilmotte, A.; Šmarda, J.; Elster, J.; Komárek, J. Plectolyngbya Hodgsonii: A Novel Filamentous Cyanobacterium from Antarctic Lakes. Polar Biol. 2011, 34, 181–191. [Google Scholar] [CrossRef]
- Panou, M.; Gkelis, S. Corrigendum to “Unravelling Unknown Cyanobacteria Diversity Linked with HCN Production” [Mol. Phylogenet. Evol. 166 (2022) 107322]. Mol. Phylogenet. Evol. 2022, 168, 107376. [Google Scholar] [CrossRef]
- Sciuto, K.; Moschin, E.; Moro, I. Cryptic Cyanobacterial Diversity in the Giant Cave (Trieste, Italy): The New Genus Timaviella (Leptolyngbyaceae). Cryptogam. Algol. 2017, 38, 285–323. [Google Scholar] [CrossRef]
- Trujillo, M.E.; Goodfellow, M.; Busarakam, K.; Riesco, R. Modestobacter lapidis sp. nov. and Modestobacter muralis sp. nov., Isolated from a Deteriorated Sandstone Historic Building in Salamanca, Spain. Antonie Leeuwenhoek Int. J. Gen. Mol. Microbiol. 2015, 108, 311–320. [Google Scholar] [CrossRef] [PubMed]
- Gibbons, N.E.; Murray, R.G.E. Proposals Concerning the Higher Taxa of Bacteria. Int. J. Syst. Evol. Microbiol. 1978, 28, 1–6. [Google Scholar] [CrossRef]
- Drent, W.I.M.J.; Lahpor, G.A.; Wiegant, W.I.M.M.; Gottschal, J.A.N.C. A Thermophilic Anaerobic Bacterium Isolated from Various Habitats. Mycologia 1991, 57, 455–462. [Google Scholar] [CrossRef]
- Shiratori, H.; Ohiwa, H.; Ikeno, H.; Ayame, S.; Kataoka, N.; Miya, A.; Beppu, T.; Ueda, K. Lutispora thermophila gen. nov., sp. nov., a Thermophilic, Spore-Forming Bacterium Isolated from a Thermophilic Methanogenic Bioreactor Digesting Municipal Solid Wastes. Int. J. Syst. Evol. Microbiol. 2008, 58, 964–969. [Google Scholar] [CrossRef]
- Ueki, A.; Ohtaki, Y.; Kaku, N.; Ueki, K. Descriptions of Anaerotaenia torta gen. nov., sp. nov. and Anaerocolumna cellulosilytica gen. nov., sp. nov. Isolated from a Methanogenic Reactor of Cattle Waste and Reclassification of Clostridium aminovalericum, Clostridium jejuense and Clostridium xyla. Int. J. Syst. Evol. Microbiol. 2016, 66, 2936–2943. [Google Scholar] [CrossRef]
- Tripathy, S.; Sen, R.; Padhi, S.K.; Sahu, D.K.; Nandi, S.; Mohanty, S.; Maiti, N.K. Survey of the Transcriptome of Brevibacillus borstelensis Exposed to Low Temperature Shock. Gene 2014, 550, 207–213. [Google Scholar] [CrossRef]
- Hadad, D.; Geresh, S.; Sivan, A. Biodegradation of Polyethylene by the Thermophilic Bacterium Brevibacillus borstelensis. J. Appl. Microbiol. 2005, 98, 1093–1100. [Google Scholar] [CrossRef]
- Xu, J.M.; Lu, C.; Wang, W.J.; Du, Z.Y.; Pan, J.J.; Cheng, F.; Wang, Y.S.; Liu, Z.Q.; Zheng, Y.G. Strain Screening and Particle Formation: A Lysinibacillus boronitolerans for Self-Healing Concrete. Appl. Environ. Microbiol. 2022, 88, e00804-22. [Google Scholar] [CrossRef] [PubMed]
- Chaparro-Acuña, S.P.; Becerra-Jiménez, M.L.; Martínez-Zambrano, J.J.; Rojas-Sarmiento, H.A. Soil Bacteria That Precipitate Calcium Carbonate: Mechanism and Applications of the Process. Acta Agron. 2020, 67, 277–288. [Google Scholar] [CrossRef]
- Tahon, G.; Geesink, P.; Ettema, T.J.G. Expanding Archaeal Diversity and Phylogeny: Past, Present, and Future. Annu. Rev. Microbiol. 2021, 75, 359–381. [Google Scholar] [CrossRef] [PubMed]
- Cai, M.; Richter-Heitmann, T.; Yin, X.; Huang, W.C.; Yang, Y.; Zhang, C.; Duan, C.; Pan, J.; Liu, Y.; Liu, Y.; et al. Ecological Features and Global Distribution of Asgard Archaea. Sci. Total Environ. 2021, 758, 143581. [Google Scholar] [CrossRef] [PubMed]
- Ortega-Calvo, J.J.; Hernández Marine, M.; Saiz-Jimenez, C. Cyanobacteria and Algae on Historic Buildings and Monuments. Recent Adv. Biodeterior. Biodegrad. 1993, 1, 173–203. [Google Scholar]
- Ortega-Calvo, J.J.; Ariño, X.; Hernandez-Marine, M.; Saiz-Jimenez, C. Factors Affecting the Weathering and Colonization of Monuments by Phototrophic Microorganisms. Sci. Total Environ. 1995, 167, 329–341. [Google Scholar] [CrossRef]
- Lan, W.; Li, H.; Wang, W.D.; Katayama, Y.; Gu, J.D. Microbial Community Analysis of Fresh and Old Microbial Biofilms on Bayon Temple Sandstone of Angkor Thom, Cambodia. Microb. Ecol. 2010, 60, 105–115. [Google Scholar] [CrossRef]
- Wu, F.; Zhang, Y.; Gu, J.D.; He, D.; Zhang, G.; Liu, X.; Guo, Q.; Cui, H.; Zhao, J.; Feng, H. Community Assembly, Potential Functions and Interactions between Fungi and Microalgae Associated with Biodeterioration of Sandstone at the Beishiku Temple in Northwest China. Sci. Total Environ. 2022, 835, 155372. [Google Scholar] [CrossRef]
- Westblade, L.F.; Ranganath, S.; Dunne, W.M.J.; Burnham, C.-A.D.; Fader, R.; Ford, B.A. Infection with a Chlorophyllic Eukaryote after a Traumatic Freshwater Injury. N. Engl. J. Med. 2015, 372, 982–984. [Google Scholar] [CrossRef]
- Friedl, T.; O’Kelly, C.J. Phylogenetic Relationships of Green Algae Assigned to the Genus Planophila (Chlorophyta): Evidence from 18S RDNA Sequence Data and Ultrastructure. Eur. J. Phycol. 2002, 37, 373–384. [Google Scholar] [CrossRef]
- Tatyana, D.; Pröschold, T. Toward a Monograph of Non-Marine Ulvophyceae Using an Integrative Approach (Molecular Phylogeny and Systematics of Terrestrial Ulvophyceae II.). Phytotaxa 2017, 324, 1–41. [Google Scholar] [CrossRef]
- Škaloud, P.; Friedl, T.; Hallmann, C.; Beck, A.; Dal Grande, F. Taxonomic Revision and Species Delimitation of Coccoid Green Algae Currently Assigned to the Genus Dictyochloropsis (Trebouxiophyceae, Chlorophyta). J. Phycol. 2016, 52, 599–617. [Google Scholar] [CrossRef] [PubMed]
- Hamida, R.S.; Ali, M.A.; Mugren, N.; Al-Zaban, M.I.; Bin-Meferij, M.M.; Redhwan, A. Planophila laetevirens-Mediated Synthesis of Silver Nanoparticles: Optimization, Characterization, and Anticancer and Antibacterial Potentials. ACS Omega 2023, 8, 29169–29188. [Google Scholar] [CrossRef]
- Bass, D.; Cavalier-Smith, T. Phylum-specific Environmental DNA Analysis Reveals Remarkably High Global Biodiversity of Cercozoa (Protozoa). Int. J. Syst. Evol. Microbiol. 2004, 54, 2393–2404. [Google Scholar] [CrossRef]
- Page, F.C. Taxonomic Criteria for Limax Smoebae, with Descriptions of 3 New Species of Hartmannella and 3 of Vahlkampfia. J. Protozool. 1967, 14, 499–521. [Google Scholar] [CrossRef]
- Wang, J.; Li, L.; Warren, A.; Shao, C. Morphogenesis and Molecular Phylogeny of the Soil Ciliate Rigidohymena quadrinucleata (Dragesco and Njine, 1971) Berger, 2011 (Ciliophora, Hypotricha, Oxytrichidae). Eur. J. Protistol. 2017, 60, 1–12. [Google Scholar] [CrossRef]
- Zhang, Y.; Wu, F.; Gu, J.D.; He, K.; Fang, Z.; Liu, X.; He, D.; Ding, X.; Li, J.; Han, Z.; et al. Dominance by Cyanobacteria in the Newly Formed Biofilms on Stone Monuments under a Protective Shade at the Beishiku Temple in China. Environ. Res. 2024, 251, 118576. [Google Scholar] [CrossRef] [PubMed]
- McNamara, C.; Mitchell, R. Microbial Deterioration of Historic Stone. Front. Ecol. Environ. 2005, 3, 445. [Google Scholar] [CrossRef]
- Coleine, C.; Stajich, J.E.; Selbmann, L. Fungi are Key Players in Extreme Ecosystems. Trends Ecol. Evol. 2022, 37, 517–528. [Google Scholar] [CrossRef]
- Banos, S.; Lentendu, G.; Kopf, A.; Wubet, T.; Glöckner, F.O.; Reich, M. A comprehensive Fungi-specific 18S rRNA Gene Sequence Primer Toolkit Suited for Diverse Research issues and Sequencing Platforms. BMC Microbiol. 2018, 18, 190. [Google Scholar] [CrossRef]
- St-Pierre, B.; Wright, A.D.G. Diversity of Gut Methanogens in Herbivorous Animals. Animal 2013, 7, 49–56. [Google Scholar] [CrossRef] [PubMed]
- Miller, T.L.; Lin, C. Description of Methanobrevibacter gottschalkii sp. nov., Methanobrevibacter thaueri sp. nov., Methanobrevibacter woesei sp. nov. and Methanobrevibacter wolinii sp. nov. Int. J. Syst. Evol. Microbiol. 2002, 52, 819–822. [Google Scholar] [CrossRef] [PubMed]
- Stieglmeier, M.; Klingl, A.; Alves, R.J.E.; Rittmann, S.K.M.R.; Melcher, M.; Leisch, N.; Schleper, C. Nitrososphaera viennensis gen. nov., sp. nov., an Aerobic and Mesophilic, Ammonia-Oxidizing Archaeon from Soil and a Member of the Archaeal Phylum Thaumarchaeota. Int. J. Syst. Evol. Microbiol. 2014, 64, 2738–2752. [Google Scholar] [CrossRef] [PubMed]
- Wu, L.; Chen, X.; Wei, W.; Liu, Y.; Wang, D.; Ni, B.-J. A Critical Review on Nitrous Oxide Production by Ammonia-Oxidizing Archaea. Environ. Sci. Technol. 2020, 54, 9175–9190. [Google Scholar] [CrossRef]
- Gaylarde, C.C.; Gaylarde, P.M.; Neilan, B.A. Endolithic Phototrophs in Built and Natural Stone. Curr. Microbiol. 2012, 65, 183–188. [Google Scholar] [CrossRef]












| Phylum | Family | Species | Indicator Value | Abund (W) | Abund (S) |
|---|---|---|---|---|---|
| Abditibacteriota | Abditibacteriaceae | Abditibacterium utsteinense | 0.989 | 0.98 * | 0.02 |
| Acidobacteriota | Vicinamibacteraceae | Luteitalea pratensis | 0.991 | 0.98 * | 0.02 |
| Actinomycetota | Geodermatophilaceae | Modestobacter lapidist | 0.983 | 0.97 * | 0.03 |
| Micromonosporaceae | Micromonospora tarapacensis | 0.953 | 0.09 | 0.89 * | |
| Bacillota | Bacillaceae | Lysinibacillus boronitolerans | 0.985 | 0.03 | 0.91 * |
| Clostridiaceae | Lutispora thermophila | 0.894 | 0 | 1 * | |
| Lachnospiraceae | Anaerotaenia torta | 0.894 | 0 | 1 * | |
| Oscillospiraceae | Pseudoclostridium thermosuccinogenes | 0.894 | 0 | 1 * | |
| Paenibacillaceae | Aneurinibacillus danicus | 1 | 0 | 1 * | |
| Paenibacillaceae | Brevibacillus borstelensis | 1 | 0 | 0.97 * | |
| Paenibacillaceae | Brevibacillus fluminis | 0.894 | 0 | 1 * | |
| Paenibacillaceae | Paenibacillus flagellates | 0.894 | 0 | 0.74 * | |
| Bacteroidota | Chitinophagaceae | Ferruginibacter paludism | 0.976 | 0.95 * | 0.05 |
| Chitinophagaceae | Mucibacter soli | 0.998 | 1 * | 0 | |
| Cytophagaceae | Aquirufa antheringensis | 0.89 | 0.99 * | 0.01 | |
| Cytophagaceae | Cytophaga hutchinsonii | 0.929 | 0.86 * | 0.14 | |
| Cytophagaceae | Rhabdobacter roseus | 1 | 1 * | 0 | |
| Cytophagaceae | Rudanella lutea | 0.886 | 0.78 * | 0.22 | |
| Cytophagaceae | Rudanella paleaurantiibacter | 0.894 | 1 * | 0 | |
| Cytophagaceae | Spirosoma agri | 1 | 1 * | 0 | |
| Cytophagaceae | Spirosoma arcticum | 0.993 | 0.99 * | 0.01 | |
| Cytophagaceae | Spirosoma humi | 0.894 | 1 * | 0 | |
| Cytophagaceae | Spirosoma rigui | 0.954 | 0.91 * | 0.09 | |
| Flavobacteriaceae | Flavobacterium aquariorum | 0.983 | 0.97 * | 0.03 | |
| Flavobacteriaceae | Flavobacterium phycosphaerae | 0.989 | 0.98 * | 0.02 | |
| Hymenobacteraceae | Hymenobacter tibetensis | 0.996 | 0.99 * | 0.01 | |
| Hymenobacteraceae | Pontibacter humi | 0.991 | 0.98 * | 0.02 | |
| Lewinellaceae | Flavilitoribacter nigricans | 0.941 | 0.89 * | 0.11 | |
| Sphingobacteriaceae | Anseongella ginsenosidimutans | 0.904 | 0.82 * | 0.18 | |
| Sphingobacteriaceae | Pedobacter aquicola | 0.948 | 0.9 * | 0.1 | |
| Sphingobacteriaceae | Pedobacter planticolens | 0.999 | 1 * | 0 | |
| Sphingobacteriaceae | Solitalea canadensis | 0.893 | 1 * | 0 | |
| Spirosomaceae | Fibrella aquatilis | 0.983 | 0.97 * | 0.03 | |
| Spirosomaceae | Fibrivirga algicola | 1 | 1 * | 0 | |
| Bdellovibrionota | Pseudobdellovibrionaceae | Bdellovibrio bacteriovorus | 1 | 1 * | 0 |
| Cyanobacteriota | Sodaleptolyngbya stromatolitii | 0.979 | 0.96 * | 0.04 | |
| Aliterellaceae | Aliterella chasmolithica | 0.928 | 0.86 * | 0.14 | |
| Calotrichaceae | Macrochaete lichenoides | 0.936 | 0.88* | 0.12 | |
| Leptolyngbyaceae | Phormidesmis communis | 0.986 | 0.97 * | 0.03 | |
| Leptolyngbyaceae | Plectolyngbya hodgsonii | 0.894 | 1 * | 0 | |
| Nostocaceae | Komarekiella chia | 0.971 | 0.94 * | 0.06 | |
| Oculatellaceae | Oculatella lusitanica | 0.994 | 0.99 * | 0.01 | |
| Oculatellaceae | Timaviella circinate | 0.946 | 0.9 * | 0.1 | |
| Deinococcota | Trueperaceae | Truepera radiovictrix | 0.983 | 0.97 * | 0.03 |
| Myxococcota | Polyangiaceae | Chondromyces pediculatus | 0.993 | 0.99 * | 0.01 |
| Planctomycetota | Gemmataceae | Tuwongella immobilis | 0.894 | 1 * | 0 |
| Gemmataceae | Urbifossiella limnaea | 0.866 | 0.75 * | 0.25 | |
| Pirellulaceae | Aureliella helgolandensis | 0.993 | 0.99 * | 0.01 | |
| Pseudomonadota | Acetobacteraceae | Acidicaldus organivorans | 0.965 | 0.93 * | 0.07 |
| Acetobacteraceae | Roseococcus pinisoli | 0.979 | 0.96 * | 0.04 | |
| Acetobacteraceae | Roseomonas chloroacetimidivorans | 0.894 | 0 | 1 * | |
| Acetobacteraceae | Roseomonas ponticola | 0.973 | 0.95 * | 0.05 | |
| Caulobacteraceae | Brevundimonas variabilis | 0.939 | 0.88 * | 0.12 | |
| Devosiaceae | Devosia confluentis | 0.964 | 0.93 * | 0.07 | |
| Oxalobacteraceae | Actimicrobium antarcticum | 0.964 | 0.93 * | 0.07 | |
| Paracoccaceae | Albimonas pacifica | 0.894 | 1 * | 0 | |
| Paracoccaceae | Szabonella alba | 0.963 | 0.93 * | 0.07 | |
| Rhizobiaceae | Ensifer collicola | 0.93 | 0.12 | 0.78 * | |
| Roseobacteraceae | Rubellimicrobium mesophilum | 0.951 | 0.9 * | 0.1 | |
| Sphaerotilaceae | Aquincola rivuli | 0.913 | 0.83 * | 0.17 | |
| Sphingomonadaceae | Sphingomonas arenae | 0.998 | 1 * | 0 | |
| Sphingomonadaceae | Sphingomonas gotjawalisoli | 0.974 | 0.95 * | 0.05 | |
| Sphingosinicellaceae | Polymorphobacter fuscus | 0.971 | 0.94 * | 0.06 | |
| Xanthobacteraceae | Labrys soli | 0.925 | 0.86 * | 0.14 | |
| Xanthomonadaceae | Lysobacter oligotrophicus | 0.995 | 0.99 * | 0.01 | |
| Verrucomicrobiota | Verrucomicrobiaceae | Luteolibacter arcticus | 0.986 | 0.97 * | 0.03 |
| Verrucomicrobiaceae | Prosthecobacter algae | 0.894 | 1 * | 0 | |
| Verrucomicrobiaceae | Prosthecobacter fluviatilis | 0.894 | 1 * | 0 | |
| Verrucomicrobiaceae | Prosthecobacter vanneervenii | 0.894 | 1 * | 0 | |
| Verrucomicrobiaceae | Roseimicrobium gellanilyticum | 0.983 | 0.97 * | 0.03 |
| Phylum | Family | Species | Indicator Value | Abun (W) | Abun (S) |
|---|---|---|---|---|---|
| Apicomplexa | Aranciocystis muskarensis | 0.996 | 0 | 1 * | |
| Eimeriidae | uncultured Eimeriidae 1 | 0.968 | 0.01 | 0.21 * | |
| Eimeriidae | uncultured Eimeriidae 2 | 0.905 | 0 | 0.26 * | |
| Monocystidae | Monocystis agilis | 0.997 | 0 | 0.67 * | |
| Cercozoa | Cercozoa sp. | 0.984 | 0.01 | 0.29 * | |
| uncultured Cercozoa 1 | 0.973 | 0.01 | 0.24 * | ||
| uncultured Cercozoa 2 | 1 | 0 | 0.93 * | ||
| uncultured Cercozoa 3 | 0.986 | 0.02 | 0.58 * | ||
| uncultured Cercozoa 4 | 0.894 | 0 | 0.11 * | ||
| Heteromitidae | Heteromita globosa | 0.894 | 0.01 | 0.82 * | |
| Rhogostomidae | Rhogostoma epiphylla | 0.986 | 0.98 * | 0.02 | |
| Chlorophyta | Kornmanniaceae | Pseudendoclonium incrustans | 0.997 | 1 * | 0 |
| Planophilaceae | Planophila laetevirens | 0.999 | 0.98 * | 0.02 | |
| Trebouxiaceae | Symbiochloris sp. | 0.991 | 0.97 * | 0.03 | |
| Ciliophora | Oxytrichidae | Rigidohymena quadrinucleata | 0.99 | 0.05 | 0.95 * |
| Amoebozoa | Echinamoebidae | Echinamoeba exundans | 0.894 | 0 | 1 * |
| Pool | C (%) | H (%) | N (%) |
|---|---|---|---|
| P0 (soil) | 9.33 ± 0.26 | 1.9 ± 0.03 | 1.00 ± 0.01 |
| P1 | 41.49 ± 0.13 | 5.86 ± 0.02 | 3.52 ± 0.00 |
| P2 | 24.71 ± 0.30 | 3.37 ± 0.05 | 2.38 ± 0.03 |
| P3 | 19.90 ± 0.03 | 2.52 ± 0.02 | 1.94 ± 0.04 |
| P4 | 27.54 ± 0.35 | 3.98 ± 0.04 | 3.07 ± 0.01 |
| P5 | 12.23 ± 0.05 | 1.95 ± 0.02 | 1.32 ± 0.01 |
Disclaimer/Publisher’s Note: The statements, opinions and data contained in all publications are solely those of the individual author(s) and contributor(s) and not of MDPI and/or the editor(s). MDPI and/or the editor(s) disclaim responsibility for any injury to people or property resulting from any ideas, methods, instructions or products referred to in the content. |
© 2024 by the authors. Licensee MDPI, Basel, Switzerland. This article is an open access article distributed under the terms and conditions of the Creative Commons Attribution (CC BY) license (https://creativecommons.org/licenses/by/4.0/).
Share and Cite
Martín-Cereceda, M.; de Cos-Gandoy, A.; Williams, R.A.J.; Elliott, D.; Serrano-Bellón, A.; Pérez-Uz, B.; Sanchez-Jimenez, A. Cast from the Past? Microbial Diversity of a Neolithic Stone Circle. Microorganisms 2024, 12, 2338. https://doi.org/10.3390/microorganisms12112338
Martín-Cereceda M, de Cos-Gandoy A, Williams RAJ, Elliott D, Serrano-Bellón A, Pérez-Uz B, Sanchez-Jimenez A. Cast from the Past? Microbial Diversity of a Neolithic Stone Circle. Microorganisms. 2024; 12(11):2338. https://doi.org/10.3390/microorganisms12112338
Chicago/Turabian StyleMartín-Cereceda, Mercedes, Amaya de Cos-Gandoy, Richard A. J. Williams, David Elliott, Andrea Serrano-Bellón, Blanca Pérez-Uz, and Abel Sanchez-Jimenez. 2024. "Cast from the Past? Microbial Diversity of a Neolithic Stone Circle" Microorganisms 12, no. 11: 2338. https://doi.org/10.3390/microorganisms12112338
APA StyleMartín-Cereceda, M., de Cos-Gandoy, A., Williams, R. A. J., Elliott, D., Serrano-Bellón, A., Pérez-Uz, B., & Sanchez-Jimenez, A. (2024). Cast from the Past? Microbial Diversity of a Neolithic Stone Circle. Microorganisms, 12(11), 2338. https://doi.org/10.3390/microorganisms12112338

