Seasonal Variations in Soil Enzyme Activity and Nutrient Limitations of Differently Aged Pinus massoniana Plantation
Abstract
1. Introduction
2. Materials and Methods
2.1. Study Site and Experiment Design
2.2. Soil Sampling and Processing
2.3. Soil Analyses
2.3.1. Measurements of Soil Physicochemical Properties
2.3.2. Soil Fluorometric Enzyme Assays
2.4. Statistical Analysis
3. Results
3.1. Changes in Soil Physicochemical Properties
3.2. Changes in Soil Microbial Biomass and Stoichiometry
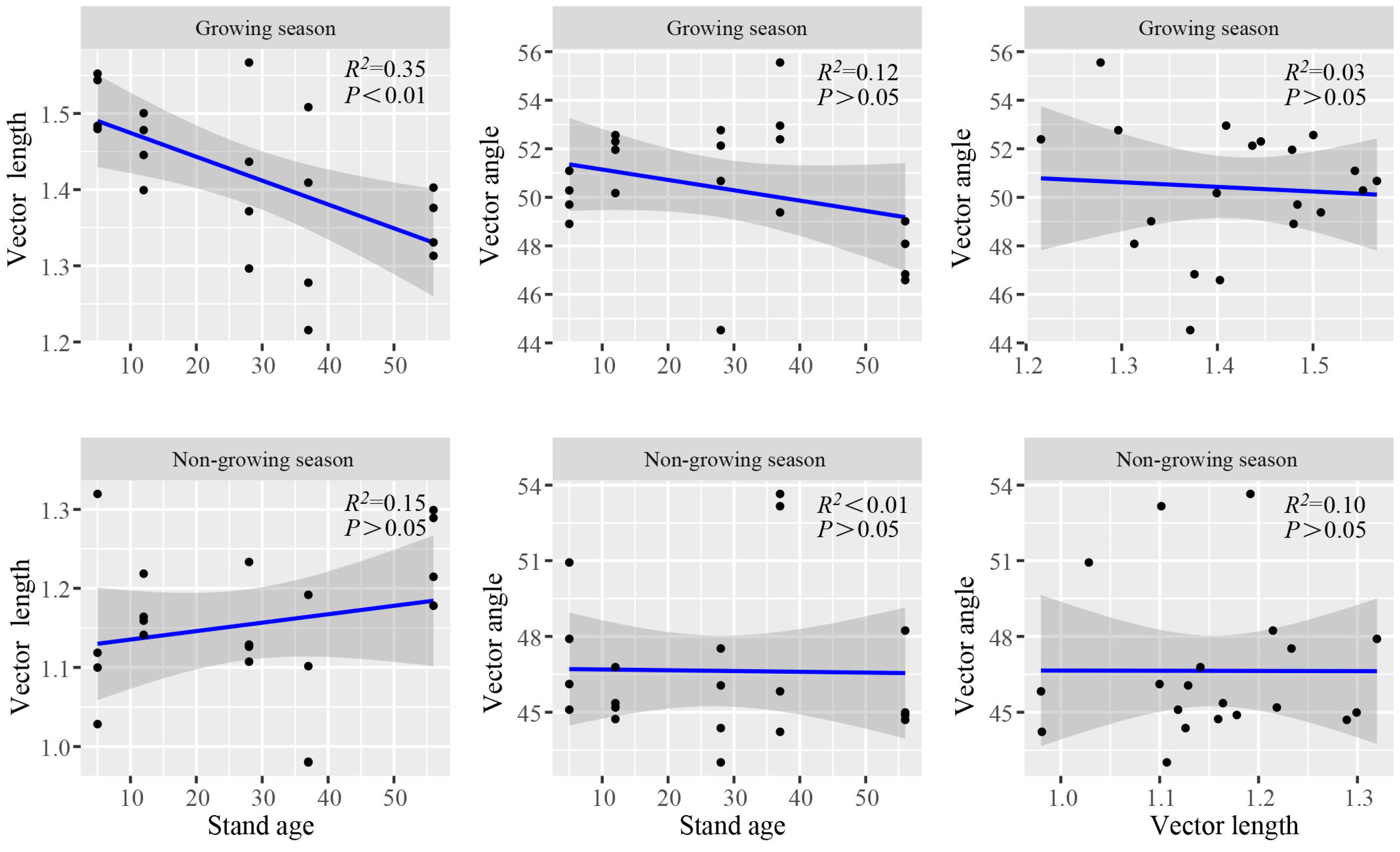
3.3. Changes in Soil Enzyme Activity and Stoichiometry
3.4. Relationships Between Soil Physicochemical Properties, Microbial Biomass, and Enzyme Activity
3.5. Driving Factors Affecting Soil Microbial Metabolic Limitation
4. Discussion
4.1. Response of Soil Physicochemical Properties to Stand Age and Season
4.2. Response of Soil Enzyme Activity and Nutrient Limitations to Stand Age and Season Development
4.3. Soil Enzyme Activity and the Nutrient Dynamic Balance with Stand Age and Season Development
5. Conclusions
Supplementary Materials
Author Contributions
Funding
Data Availability Statement
Acknowledgments
Conflicts of Interest
References
- Burns, R.G.; DeForest, J.L.; Marxsen, J.; Sinsabaugh, R.L.; Stromberger, M.E.; Wallenstein, M.D.; Weintraub, M.N.; Zoppini, A. Soil enzymes in a changing environment: Current knowledge and future directions. Soil. Biol. Biochem. 2013, 58, 216–234. [Google Scholar] [CrossRef]
- Sinsabaugh, R.L. Phenol oxidase, peroxidase and organic matter dynamics of soil. Soil. Biol. Biochem. 2010, 42, 391–404. [Google Scholar] [CrossRef]
- Sinsabaugh, R.L.; Hill, B.H.; Follstad Shah, J.J. Ecoenzymatic stoichiometry of microbial organic nutrient acquisition in soil and sediment. Nature 2009, 462, 795–798. [Google Scholar] [CrossRef] [PubMed]
- Allison, V.J.; Condron, L.M.; Peltzer, D.A.; Richardson, S.J.; Turner, B.L. Changes in enzyme activities and soil microbial community composition along carbon and nutrient gradients at the Franz Josef chronosequence, New Zealand. Soil. Biol. Biochem. 2007, 39, 1770–1781. [Google Scholar] [CrossRef]
- Fujita, K.; Miyabara, Y.; Kunito, T. Microbial biomass and ecoenzymatic stoichiometries vary in response to nutrient availability in an arable soil. Eur. J. Soil. Biol. 2019, 91, 1–8. [Google Scholar] [CrossRef]
- Zhou, L.; Liu, S.; Shen, H.; Zhao, M.; Xu, L.; Xing, A.; Fang, J. Soil extracellular enzyme activity and stoichiometry in China’s forests. Funct. Ecol. 2020, 34, 1461–1471. [Google Scholar] [CrossRef]
- Bowles, T.M.; Acosta-Martínez, V.; Calderon, F.; Jackson, L.E. Soil enzyme activities, microbial communities, and carbon and nitrogen availability in organic agroecosystems across an intensively-managed agricultural landscape. Soil. Biol. Biochem. 2014, 68, 252–262. [Google Scholar] [CrossRef]
- Li, J.W.; Dong, L.B.; Liu, Y.L.; Wu, J.Z.; Wang, J.; Shangguan, Z.P.; Deng, L. Soil organic carbon variation determined by biogeographic patterns of microbial carbon and nutrient limitations across a 3,000-km humidity gradient in China. Catena 2022, 209, 105849. [Google Scholar] [CrossRef]
- Qiu, X.; Peng, D.; Tian, H.; Wang, H.; Liu, X.; Cao, L.; Li, Z.; Cheng, S. Soil ecoenzymatic stoichiometry and microbial resource limitation driven by thinning practices and season types in Larix principis-rupprechtii plantations in North China. For. Ecol. Manag. 2021, 482, 118880. [Google Scholar] [CrossRef]
- Zhang, W.; Xu, Y.D.; Gao, D.X.; Wang, X.; Liu, W.C.; Deng, J.; Han, X.H.; Yang, G.H.; Feng, Y.Z.; Ren, G.X. Ecoenzymatic stoichiometry and nutrient dynamics along a revegetation chronosequence in the soils of abandoned land and Robinia pseudoacacia plantation on the loess plateau, China. Soil. Biol. Biochem. 2019, 134, 1–14. [Google Scholar] [CrossRef]
- Jiang, Y.; Lei, Y.; Qin, W.; Korpelainen, H.; Li, C. Revealing microbial processes and nutrient limitation in soil through ecoenzymatic stoichiometry and glomalin-related soil proteins in a retreating glacier forefield. Geoderma 2019, 338, 313–324. [Google Scholar] [CrossRef]
- Wang, C.; Xue, L.; Dong, Y.; Wei, Y.; Jiao, R. Soil microbial community structure and composition in Chinese fir plantations of different ages in Fujian, southeast China. J. Sustain. For. 2020, 39, 1–23. [Google Scholar] [CrossRef]
- Zhang, Y.; Tigabu, M.; Yi, Z.; Li, H.; Zhuang, Z.; Yang, Z.; Ma, X. Soil parent material and stand development stage effects on labile soil C and N pools in Chinese fir plantations. Geoderma 2019, 338, 247–258. [Google Scholar] [CrossRef]
- Bi, B.; Wang, Y.; Wang, K.; Zhang, H.; Fei, H.; Pan, R.; Han, F. Changes in microbial metabolic C-and N-limitations in the rhizosphere and bulk soils along afforestation chronosequence in desertified ecosystems. J. Environ. Manag. 2022, 303, 114215. [Google Scholar] [CrossRef]
- Li, Q.W.; Liu, Y.; Gu, Y.F.; Guo, L.; Huang, Y.Y.; Zhang, J.; Xu, Z.F.; Tan, B.; Zhang, L.; Chen, L.H.; et al. Ecoenzymatic stoichiometry and microbial nutrient limitations in rhizosphere soil along the Hailuogou glacier forefield chronosequence. Sci. Total Environ. 2020, 704, 135413. [Google Scholar] [CrossRef]
- Zhao, M.; Sun, Y.; Liu, S.; Li, Y.; Chen, Y. Effect of stand age on soil microbial metabolic limitation and enzyme activities in Robinia pseudoacacia L. plantations in the loess hilly-gully region, China. Land. Degrad. Dev. 2024, 35, 2560–2571. [Google Scholar] [CrossRef]
- Wu, H.L.; Xiang, W.H.; Ouyang, S.; Xiao, W.F.; Li, S.G.; Chen, L.; Lei, P.F.; Deng, X.W.; Zeng, Y.L.; Zeng, L.X.; et al. Tree growth rate and soil nutrient status determine the shift in nutrient-use strategy of Chinese fir plantations along a chronosequence. For. Ecol. Manag. 2020, 460, 117896. [Google Scholar] [CrossRef]
- Tanner, E.V.J.; Vitousek, P.M.; Cuevas, E. The structure and functioning of montane tropical torests: Control by climate, soils, and disturbance. Ecology 1998, 79, 10–22. [Google Scholar] [CrossRef]
- Kittredge, H.A.; Cannone, T.; Funk, J.; Chapman, S.K. Soil respiration and extracellular enzyme production respond differently across seasons to elevated temperatures. Plant Soil. 2018, 425, 351–361. [Google Scholar] [CrossRef]
- Zhang, D.; Wu, B.; Li, J.; Cheng, X. Soil microbial relative resource limitation exhibited contrasting seasonal patterns along an elevational gradient in Yulong Snow Mountain. Funct. Ecol. 2023, 37, 1328–1338. [Google Scholar] [CrossRef]
- Henry, H.A.L. Soil extracellular enzyme dynamics in a changing climate. Soil Biol. Biochem. 2012, 47, 53–59. [Google Scholar] [CrossRef]
- Ma, Z.; Chen, Y.; Xu, W.; Liu, M. Effects of warming on the stoichiometry of soil microbial biomass and extracellular enzymes in an alpine shrubland. Geoderma 2023, 430, 116329. [Google Scholar] [CrossRef]
- Ladwig, L.M.; Sinsabaugh, R.L.; Collins, S.L.; Thomey, M.L. Soil enzyme responses to varying rainfall regimes in Chihuahuan Desert soils. Ecosphere 2015, 6, 1–10. [Google Scholar] [CrossRef]
- Zeng, L.X.; Xiao, W.F.; Liu, C.F.; Lei, L.; Jian, Z.J.; Shen, Y.F.; Li, M.H. Effects of thinning and understorey removal on soil extracellular enzyme activity vary over time during forest recovery after treatment. Plant Soil. 2023, 492, 457–469. [Google Scholar] [CrossRef]
- Ni, Y.Y.; Jian, Z.J.; Zeng, L.X.; Liu, J.F.; Lei, L.; Zhu, J.H.; Xu, J.; Xiao, W.F. Climate, soil nutrients, and stand characteristics jointly determine large-scale patterns of biomass growth rates and allocation in Pinus massoniana plantations. For. Ecol. Manag. 2022, 504, 119839. [Google Scholar] [CrossRef]
- National Forestry and Grassland Administration. Forest Resources Report for China (2014–2018); Chinses Forestry Press: Beijing, China, 2019. [Google Scholar]
- Liang, H.B.; Xue, Y.R.; Li, Z.S.; Wang, S.; Wu, X.; Gao, G.Y.; Liu, G.H.; Fu, B.J. Soil moisture decline following the plantation of Robinia pseudoacacia forests: Evidence from the loess plateau. Forest Ecol. Manag. 2018, 412, 62–69. [Google Scholar] [CrossRef]
- Chen, L.C.; Liang, M.J.; Wang, S.L. Carbon stock density in planted versus natural Pinus massoniana forests in subtropical China. Ann. For. Sci. 2016, 73, 461–472. [Google Scholar] [CrossRef]
- Jian, Z.J.; Ni, Y.Y.; Zeng, L.X.; Lei, L.; Xu, J.; Xiao, W.F.; Li, M.H. Latitudinal patterns of soil extracellular enzyme activities and their controlling factors in Pinus massoniana plantations in subtropical China. For. Ecol. Manag. 2021, 495, 119358. [Google Scholar] [CrossRef]
- Hu, J.W.; Liu, C.F.; Gou, M.M.; Lei, L.; Chen, H.L.; Zhang, J.J.; Wang, N.; Zhu, S.F.; Hu, R.Y.; Xiao, W.F. Contrasting change patterns of lignin and microbial necromass carbon and the determinants in a chronosequence of subtropical Pinus massoniana plantations. Appl. Soil. Ecol. 2024, 198, 105385. [Google Scholar] [CrossRef]
- Shen, Y.F.; Lei, L.; Xiao, W.F.; Cheng, R.M.; Liu, C.F.; Liu, X.; Lin, H.; Zeng, L.X. Soil microbial residue characteristics in Pinus massoniana lamb. Plantations. Environ. Res. 2023, 231, 116081. [Google Scholar] [CrossRef]
- Liu, T.; Peng, D.; Tan, Z.; Guo, J.; Zhang, Y. Do stand density and month regulate soil enzymes and the stoichiometry of differently aged Larix principis-rupprechtii plantations? Catena 2023, 220, 106683. [Google Scholar] [CrossRef]
- Brookes, P.C.; Landman, A.; Pruden, G.; Jenkinson, D.S. Chloroform fumigation and the release of soil nitrogen: A rapid direct extraction method to measure microbial biomass nitrogen in soil. Soil. Biol. Biochem. 1985, 17, 837–842. [Google Scholar] [CrossRef]
- Saiya-Cork, K.; Sinsabaugh, R.; Zak, D. The effects of long term nitrogen deposition on extracellular enzyme activity in an Acer saccharum forest soil. Soil. Biol. Biochem. 2002, 34, 1309–1315. [Google Scholar] [CrossRef]
- Sinsabaugh, R.L.; Lauber, C.L.; Weintraub, M.N.; Ahmed, B.; Allison, S.D.; Crenshaw, C.; Contosta, A.R.; Cusack, D.; Frey, S.; Gallo, M.E. Stoichiometry of soil enzyme activity at global scale. Ecol. Lett. 2008, 11, 1252–1264. [Google Scholar] [CrossRef] [PubMed]
- German, D.P.; Weintraub, M.N.; Grandy, A.S.; Lauber, C.L.; Rinkes, Z.L.; Allison, S.D. Optimization of hydrolytic and oxidative enzyme methods for ecosystem studies. Soil. Biol. Biochem. 2011, 43, 1387–1397. [Google Scholar] [CrossRef]
- Moorhead, D.L.; Sinsabaugh, R.L.; Hill, B.H.; Weintraub, M.N. Vector analysis of ecoenzyme activities reveal constraints on coupled C, N and P dynamics. Soil. Biol. Biochem. 2016, 93, 1–7. [Google Scholar] [CrossRef]
- Lucas-Borja, M.; Hedo, J.; Cerdá, A.; Candel-Pérez, D.; Viñegla, B. Unravelling the importance of forest age stand and forest structure driving microbiological soil properties, enzymatic activities and soil nutrients content in Mediterranean Spanish black pine (Pinus nigra Ar. ssp. salzmannii). Forest. Sci. Total Environ. 2016, 562, 145–154. [Google Scholar] [CrossRef]
- Wang, C.Q.; Xue, L.; Jiao, R.Z. Soil organic carbon fractions, C-cycling associated hydrolytic enzymes, and microbial carbon metabolism vary with stand age in Cunninghamia lanceolate (Lamb.) Hook plantations. For. Ecol. Manag. 2021, 482, 118887. [Google Scholar] [CrossRef]
- Wang, C.Q.; Xue, L.; Dong, Y.H.; Jiao, R.Z. Soil organic carbon fractions, C-cycling hydrolytic enzymes, and microbial carbon metabolism in Chinese fir plantations. Sci. Total Environ. 2021, 758, 143695. [Google Scholar] [CrossRef]
- Lagergren, F.; Lindroth, A. Variation in sapflow and stem growth in relation to tree size, competition and thinning in a mixed forest of pine and spruce in Sweden. For. Ecol. Manag. 2004, 188, 51–63. [Google Scholar] [CrossRef]
- Wang, C.Q.; Xue, L.; Dong, Y.H.; Wei, Y.H.; Jiao, R.Z. Unravelling the functional diversity of the soil microbial community of Chinese fir plantations of different densities. Forests 2018, 9, 532. [Google Scholar] [CrossRef]
- Wei, X.; Liang, W. Regulation of stand density alters forest structure and soil moisture during afforestation with Robinia pseudoacacia L. and Pinus tabulaeformis Carr. on the Loess Plateau. For. Ecol. Manag. 2021, 491, 119196. [Google Scholar] [CrossRef]
- Ali, A.; Dai, D.; Akhtar, K.; Teng, M.; Yan, Z.; Urbina-Cardona, N.; Mullerova, J.; Zhou, Z. Response of understory vegetation, tree regeneration, and soil quality to manipulated stand density in a Pinus massoniana plantation. Glob. Ecol. Conserv. 2019, 20, e00775. [Google Scholar] [CrossRef]
- Tsujii, Y.; Oikawa, M.; Kitayama, K. Significance of the localization of phosphorus among tissues on a cross-section of leaf lamina of Bornean tree species for phosphorus-use efficiency. J. Trop. Ecol. 2017, 33, 237–240. [Google Scholar] [CrossRef]
- Turner, B.L.; Brenes-Arguedas, T.; Condit, R. Pervasive phosphorus limitation of tree species but not communities in tropical forests. Nature 2018, 555, 367–370. [Google Scholar] [CrossRef]
- Han, W.; Fang, J.; Reich, P.B.; Ian Woodward, F.; Wang, Z. Biogeography and variability of eleven mineral elements in plant leaves across gradients of climate, soil and plant functional type in China. Ecol. Lett. 2011, 14, 788–796. [Google Scholar] [CrossRef] [PubMed]
- Wang, Q.; Wang, S.; Huang, Y. Comparisons of litterfall, litter decomposition and nutrient return in a monoculture Cunninghamia lanceolata and a mixed stand in southern China. Forest Ecol. Manag. 2008, 255, 1210–1218. [Google Scholar] [CrossRef]
- Chen, L.; Xiang, W.H.; Ouyang, S.; Wu, H.L.; Xia, Q.; Ma, J.N.; Zeng, Y.L.; Lei, P.F.; Xiao, W.F.; Li, S.G.; et al. Tight coupling of fungal community composition with soil quality in a Chinese fir plantation chronosequence. Land. Degrad. Dev. 2020, 32, 1164–1178. [Google Scholar] [CrossRef]
- Migała, K.; Wojtuń, B.; Szymański, W.; Muskała, P. Soil moisture and temperature variation under different types of tundra vegetation during the growing season: A case study from the Fuglebekken catchment, SW Spitsbergen. Catena 2014, 116, 10–18. [Google Scholar] [CrossRef]
- Schuler, S.; Conrad, R. Hydrogen oxidation activities in soil as influenced by pH, temperature, moisture, and season. Biol. Fert. Soils. 1991, 12, 127–130. [Google Scholar] [CrossRef]
- A’Bear, A.D.; Jones, T.H.; Kandeler, E.; Boddy, L. Interactive effects of temperature and soil moisture on fungal-mediated wood decomposition and extracellular enzyme activity. Soil. Biol. Biochem. 2014, 70, 151–158. [Google Scholar] [CrossRef]
- Jing, X.; Chen, X.; Tang, M.; Ding, Z.; Jiang, L.; Li, P.; Ma, S.; Tian, D.; Xu, L.; Zhu, J. Nitrogen deposition has minor effect on soil extracellular enzyme activities in six Chinese forests. Sci. Total Environ. 2017, 607, 806–815. [Google Scholar] [CrossRef] [PubMed]
- Zhou, Z.; Wang, C.; Jiang, L.; Luo, Y. Trends in soil microbial communities during secondary succession. Soil. Biol. Biochem. 2017, 115, 92–99. [Google Scholar] [CrossRef]
- Bolat, I. The effect of thinning on microbial biomass C, N and basal respiration in black pine forest soils in Mudurnu, Turkey. Eur. J. For. Res. 2014, 133, 131–139. [Google Scholar] [CrossRef]
- Lull, C.; Bautista, I.; Lidon, A.; del Campo, A.D.; Gonzalez-Sanchis, M.; Garcia-Prats, A. Temporal effects of thinning on soil organic carbon pools, basal respiration and enzyme activities in a Mediterranean Holm oak forest. For. Ecol. Manag. 2020, 464, 118088. [Google Scholar] [CrossRef]
- Liu, T.; Peng, D.; Tan, Z.; Guo, J.; Zhang, Y. Effects of stand density on soil respiration and labile organic carbon in different aged Larix principis-rupprechtii plantations. Ecol. Process. 2021, 10, 44. [Google Scholar] [CrossRef]
- Wang, C.Q.; Xue, L.; Dong, Y.H.; Jiao, R.Z. Effects of stand density on soil microbial community composition and enzyme activities in subtropical Cunninghamia lanceolate (Lamb.) Hook plantations. For. Ecol. Manag. 2021, 479, 118559. [Google Scholar] [CrossRef]
- Cui, Y.; Wang, X.; Zhang, X.; Ju, W.; Duan, C.; Guo, X.; Wang, Y.; Fang, L. Soil moisture mediates microbial carbon and phosphorus metabolism during vegetation succession in a semiarid region. Soil. Biol. Biochem. 2020, 147, 107814. [Google Scholar] [CrossRef]
- Xu, Z.; Yu, G.; Zhang, X.; He, N.; Wang, Q.; Wang, S.; Wang, R.; Zhao, N.; Jia, Y.; Wang, C. Soil enzyme activity and stoichiometry in forest ecosystems along the North-South Transect in eastern China (NSTEC). Soil. Biol. Biochem. 2017, 104, 152–163. [Google Scholar] [CrossRef]
- Fierer, N.; Strickland, M.S.; Liptzin, D.; Bradford, M.A.; Cleveland, C.C. Global patterns in belowground communities. Ecol. Lett. 2009, 12, 1238–1249. [Google Scholar] [CrossRef]
- Wallenius, K.; Rita, H.; Mikkonen, A.; Lappi, K.; Lindström, K.; Hartikainen, H.; Raateland, A.; Niemi, R.M. Effects of land use on the level, variation and spatial structure of soil enzyme activities and bacterial communities. Soil. Biol. Biochem. 2011, 43, 1464–1473. [Google Scholar] [CrossRef]
- Zheng, L.; Chen, H.; Wang, Y.; Mao, Q.; Zheng, M.; Su, Y.; Xiao, K.; Wang, K.; Li, D. Responses of soil microbial resource limitation to multiple fertilization strategies. Soil. Till. Res. 2020, 196, 104474. [Google Scholar] [CrossRef]
- Bezemer, T.M.; Fountain, M.T.; Barea, J.; Christensen, S.; Dekker, S.C.; Duyts, H.; van Hal, R.; Harvey, J.; Hedlund, K.; Maraun, M. Divergent composition but similar function of soil food webs of individual plants: Plant species and community effects. Ecology 2010, 91, 3027–3036. [Google Scholar] [CrossRef] [PubMed]
- Kivlin, S.N.; Treseder, K.K. Soil extracellular enzyme activities correspond with abiotic factors more than fungal community composition. Biogeochemistry 2014, 117, 23–37. [Google Scholar] [CrossRef]
- Leprince, F.; Quiquampoix, H. Extracellular enzyme activity in soil: Effect of pH and ionic strength on the interaction with montmorillonite of two acid phosphatases secreted by the ectomycorrhizal fungus Hebeloma cylindrosporum. Eur. J. Soil. Sci. 1996, 47, 511–522. [Google Scholar] [CrossRef]
- Chapin, F.S.; Matson, P.A.; Mooney, H.A.; Vitousek, P.M. Principles of Terrestrial Ecosystem Ecology; Springer: Berlin/Heidelberg, Germany, 2002; pp. 369–397. [Google Scholar]
- Zhao, F.; Ren, C.; Han, X.; Yang, G.; Wang, J.; Doughty, R. Changes of soil microbial and enzyme activities are linked to soil C, N and P stoichiometry in afforested ecosystems. For. Ecol. Manag. 2018, 427, 289–295. [Google Scholar] [CrossRef]
- Turner, B.L.; Wright, S.J. The response of microbial biomass and hydrolytic enzymes to a decade of nitrogen, phosphorus, and potassium addition in a lowland tropical rain forest. Biogeochemistry 2014, 117, 115–130. [Google Scholar] [CrossRef]
- Garcia, C.; Roldan, A.; Hernandez, T. Ability of different plant species to promote microbiological processes in semiarid soil. Geoderma 2005, 124, 193–202. [Google Scholar] [CrossRef]
- Deng, L.; Shangguan, Z.P. Afforestation drives soil carbon and nitrogen changes in China. Land. Degrad. Dev. 2017, 28, 151–165. [Google Scholar] [CrossRef]
- Xiu, L.; Yan, C.; Li, X.; Qian, D.; Feng, K. Monitoring the response of vegetation dynamics to ecological engineering in the Mu Us Sandy Land of China from 1982 to 2014. Environ. Monit. Assess. 2018, 190, 543. [Google Scholar] [CrossRef]
- Xu, X.; Thornton, P.E.; Post, W.M. A global analysis of soil microbial biomass carbon, nitrogen and phosphorus in terrestrial ecosystems. Glob. Ecol. Biogeogr. 2013, 22, 737–749. [Google Scholar] [CrossRef]





| Parameter | 6-Year | 13-Year | 29-Year | 38-Year | 57-Year | |||||
|---|---|---|---|---|---|---|---|---|---|---|
| Growing | Non-Growing | Growing | Non-Growing | Growing | Non-Growing | Growing | Non-Growing | Growing | Non-Growing | |
| SMC(%) | 25.83 ± 2.58 Aa | 22.18 ± 0.98 Aa | 22.62 ± 0.49 Aa | 20.78 ± 1.17 Aa | 21.52 ± 1.22 Aa | 15.45 ± 0.41 Bb | 21.75 ± 0.91 Aa | 17.52 ± 1.51 Aab | 26.25 ± 2.00 Aa | 20.75 ± 2.41 Aa |
| BD(g/cm3) | 1.37 ± 0.01 Aa | 1.38 ± 0.02 Aa | 1.21 ± 0.03 Ba | 1.31 ± 0.02 Aa | 1.35 ± 0.05 Aa | 1.39 ± 0.04 Aa | 1.38 ± 0.08 Aa | 1.28 ± 0.05 Aa | 1.29 ± 0.07 Aa | 1.34 ± 0.06 Aa |
| CP(%) | 40.76 ± 0.26 Ba | 56.03 ± 1.23 Aa | 41.24 ± 0.87 Ba | 54.23 ± 1.53 Aab | 41.89 ± 0.69 Ba | 53.89 ± 2.61 Aab | 40.36 ± 0.92 Ba | 49.41 ± 1.58 Ab | 43.67 ± 2.76 Ba | 56.46 ± 0.68 Aa |
| pH | 6.28 ± 0.04 Ba | 6.66 ± 0.07 Aa | 5.66 ± 0.08 Ab | 5.83 ± 0.05 Ab | 5.11 ± 0.17 Ac | 5.30 ± 0.22 Acd | 4.90 ± 0.07 Ac | 4.95 ± 0.05 Ad | 5.92 ± 0.16 Ab | 5.73 ± 0.26 Abc |
| SOC(g/Kg) | 15.31 ± 0.53 Ab | 16.88 ± 0.66 Ac | 14.63 ± 0.17 Bb | 16.50 ± 0.68 Ac | 15.47 ± 0.34 Ab | 18.58 ± 2.22 Abc | 24.11 ± 1.22 Aa | 22.90 ± 0.56 Aa | 23.87 ± 2.09 Aa | 21.74 ± 1.21 Aab |
| TN(g/Kg) | 1.52 ± 0.10 Aab | 1.49 ± 0.06 Abc | 1.30 ± 0.09 Ab | 1.33 ± 0.07 Ac | 1.35 ± 0.17 Ab | 1.48 ± 0.14 Abc | 1.76 ± 0.15 Aa | 1.82 ± 0.12 Aa | 1.76 ± 0.05 Aa | 1.78 ± 0.08 Aab |
| TP(g/Kg) | 0.34 ± 0.02 Aa | 0.38 ± 0.03 Aa | 0.21 ± 0.01 Ab | 0.22 ± 0.01 Ab | 0.21 ± 0.02 Ab | 0.22 ± 0.01 Ab | 0.22 ± 0.01 Ab | 0.26 ± 0.01 Ab | 0.24 ± 0.02 Ab | 0.25 ± 0.02 Ab |
| SC/N | 10.15 ± 0.45 Ab | 11.37 ± 0.25 Ab | 11.42 ± 0.7 Aab | 12.46 ± 0.13 Aab | 11.91 ± 1.25 Aab | 12.48 ± 0.42 Aab | 13.88 ± 0.58 Aa | 12.73 ± 0.70 Aa | 13.56 ± 1.01 Aa | 12.17 ± 0.30 Aab |
| SC/P | 45.84 ± 4.01 Ac | 44.69 ± 3.51 Ab | 71.19 ± 2.56 Ab | 75.57 ± 4.23 Aa | 75.78 ± 6.79 Ab | 83.00 ± 8.13 Aa | 107.31 ± 2.47 Aa | 89.11 ± 2.35 Ba | 98.10 ± 5.37 Aa | 85.74 ± 1.69 Aa |
| SN/P | 4.58 ± 0.59 Ab | 3.93 ± 0.28 Ab | 6.30 ± 0.40 Aab | 6.08 ± 0.39 Aa | 6.56 ± 0.88 Aa | 6.61 ± 0.42 Aa | 7.79 ± 0.45 Aa | 7.07 ± 0.48 Aa | 7.30 ± 0.43 Aa | 7.06 ± 0.23 Aa |
| MBC(mg/Kg) | 28.39 ± 1.88 Bb | 132.13 ± 8.49 Ac | 254.61 ± 26.83 Aa | 260.66 ± 16.33 Ab | 299.06 ± 46.11 Aa | 268.65 ± 16.66 Ab | 279.87 ± 21.1 Aa | 366.22 ± 42.45 Aa | 277.40 ± 33.49 Aa | 344.79 ± 2.07 Aa |
| MBN(mg/Kg) | 15.32 ± 7.14 Ab | 17.02 ± 5.04 Ab | 26.21 ± 3.85 Bab | 57.12 ± 4.06 Aa | 37.95 ± 9.96 Aa | 49.51 ± 5.59 Aa | 25.46 ± 3.82 Bab | 51.38 ± 6.32 Aa | 26.47 ± 3.74 Bab | 55.56 ± 7.95 Aa |
| MBP(mg/Kg) | 1.05 ± 0.27 Ab | 0.22 ± 0.02 Bc | 0.71 ± 0.08 Ab | 0.35 ± 0.03 Bc | 1.47 ± 0.29 Ab | 2.17 ± 0.18 Ab | 4.89 ± 0.84 Aa | 6.67 ± 0.81 Aa | 1.62 ± 0.21 Ab | 2.16 ± 0.20 Ab |
| MC/N | 4.57 ± 2.20 Ab | 9.42 ± 2.17 Aa | 10.76 ± 2.62 Aa | 4.57 ± 0.04 Ab | 8.81 ± 1.29 Aab | 5.55 ± 0.40 Ab | 11.42 ± 0.98 Aa | 7.15 ± 0.08 Bab | 10.62 ± 0.48 Aa | 6.71 ± 1.20 Bab |
| MC/P | 30.77 ± 5.06 Bd | 616.62 ± 67.22 Aa | 378.64 ± 73.60 Ba | 772.51 ± 103.52 Aa | 212.27 ± 25.66 Ab | 127.84 ± 17.56 Bb | 65.40 ± 15.75 Acd | 57.24 ± 9.11 Ab | 181.76 ± 36.08 Abc | 163.81 ± 13.83 Ab |
| MN/P | 13.47 ± 6.10 Bbc | 77.03 ± 22.12 Ab | 38.13 ± 7.28 Ba | 169.42 ± 23.51 Aa | 25.76 ± 5.05 Aab | 23.54 ± 3.86 Ac | 6.25 ± 2.07 Ac | 8.05 ± 1.36 Ac | 17.58 ± 4.30 Abc | 26.09 ± 3.94 Ac |
| Parameter | 6-Year | 13-Year | 29-Year | 38-Year | 57-Year | ||||||
|---|---|---|---|---|---|---|---|---|---|---|---|
| Growing | Non-Growing | Growing | Non-Growing | Growing | Non-Growing | Growing | Non-Growing | Growing | Non-Growing | ||
| EEA | BG (nmol·h−1 g−1 dry soil) | 158.67 ± 5.11 Aa | 79.99 ± 20.11 Bbc | 127.15 ± 8.08 Aa | 126.04 ± 9.15 Aab | 133.62 ± 23.26 Aa | 110.08 ± 4.67 Aabc | 126.72 ± 40.04 Aa | 67.89 ± 3.48 Ac | 137.05 ± 26.01 Aa | 155.38 ± 25.24 Aa |
| NAG (nmol·h−1 g−1 dry soil) | 64.48 ± 3.52 Ab | 48.51 ± 8.05 Ab | 62.91 ± 1.70 Bb | 98.41 ± 5.20 Aa | 74.39 ± 15.36 Ab | 115.63 ± 8.89 Aa | 70.62 ± 16.39 Ab | 58.48 ± 11.04 Ab | 121.9 ± 25.43 Aa | 94.15 ± 11.54 Aa | |
| LAP (nmol·h−1 g−1 dry soil) | 14.76 ± 4.74 Ba | 126.11 ± 33.05 Aa | 6.63 ± 3.04 Ba | 228.39 ± 15.21 Aa | 17.36 ± 2.96 Ba | 230.36 ± 54.92 Aa | 18.32 ± 8.66 Aa | 204.01 ± 100.69 Aa | 13.98 ± 3.44 Ba | 193.31 ± 29.84 Aa | |
| AP (nmol·h−1 g−1 dry soil) | 182.39 ± 6.96 Ba | 260.00 ± 6.43 Ac | 216.07 ± 10.09 Ba | 361.11 ± 11.10 Ab | 304.10 ± 137.08 Aa | 345.04 ± 43.22 Ab | 394.45 ± 113.51 Aa | 460.84 ± 30.29 Aa | 212.57 ± 29.78 Ba | 315.04 ± 4.28 Abc | |
| EES | EC/N | 1.16 ± 0.02 Aa | 0.84 ± 0.05 Ba | 1.14 ± 0.02 Aa | 0.84 ± 0.01 Ba | 1.09 ± 0.06 Aab | 0.82 ± 0.03 Ba | 1.07 ± 0.04 Aab | 0.81 ± 0.07 Ba | 1.00 ± 0.01 Ab | 0.89 ± 0.02 Ba |
| EC/P | 0.97 ± 0.01 Aa | 0.77 ± 0.05 Bb | 0.90 ± 0.01 Aab | 0.82 ± 0.02 Bab | 0.91 ± 0.05 Aab | 0.81 ± 0.01 Aab | 0.82 ± 0.06 Ab | 0.69 ± 0.01 Ac | 0.91 ± 0.02 Aab | 0.87 ± 0.03 Aa | |
| EN/P | 0.84 ± 0.01 Aab | 0.92 ± 0.04 Aa | 0.79 ± 0.02 Bb | 0.98 ± 0.02 Aa | 0.84 ± 0.06 Aab | 0.99 ± 0.03 Aa | 0.77 ± 0.04 Ab | 0.87 ± 0.08 Aa | 0.91 ± 0.02 Aa | 0.98 ± 0.03 Aa | |
| Vector | length | 1.51 ± 0.02 Aa | 1.14 ± 0.06 Bab | 1.46 ± 0.02 Aab | 1.17 ± 0.02 Bab | 1.42 ± 0.06 Aab | 1.15 ± 0.03 Bab | 1.35 ± 0.07 Ab | 1.06 ± 0.05 Bb | 1.36 ± 0.02 Ab | 1.25 ± 0.03 Ba |
| angle | 50.00 ± 0.46 Aab | 47.51 ± 1.28 Aa | 51.75 ± 0.54 Aa | 45.52 ± 0.44 Ba | 50.02 ± 1.88 Aab | 45.24 ± 0.98 Aa | 52.57 ± 1.27 Aa | 49.22 ± 2.44 Aa | 47.63 ± 0.57 Ab | 45.70 ± 0.85 Aa | |
Disclaimer/Publisher’s Note: The statements, opinions and data contained in all publications are solely those of the individual author(s) and contributor(s) and not of MDPI and/or the editor(s). MDPI and/or the editor(s) disclaim responsibility for any injury to people or property resulting from any ideas, methods, instructions or products referred to in the content. |
© 2024 by the authors. Licensee MDPI, Basel, Switzerland. This article is an open access article distributed under the terms and conditions of the Creative Commons Attribution (CC BY) license (https://creativecommons.org/licenses/by/4.0/).
Share and Cite
Chen, H.; Gou, M.; Hu, J.; Lei, L.; Zhu, S.; Hu, R.; Zhao, H.; Xiao, W.; Liu, C. Seasonal Variations in Soil Enzyme Activity and Nutrient Limitations of Differently Aged Pinus massoniana Plantation. Microorganisms 2024, 12, 2314. https://doi.org/10.3390/microorganisms12112314
Chen H, Gou M, Hu J, Lei L, Zhu S, Hu R, Zhao H, Xiao W, Liu C. Seasonal Variations in Soil Enzyme Activity and Nutrient Limitations of Differently Aged Pinus massoniana Plantation. Microorganisms. 2024; 12(11):2314. https://doi.org/10.3390/microorganisms12112314
Chicago/Turabian StyleChen, Huiling, Mengmeng Gou, Jianwen Hu, Lei Lei, Sufeng Zhu, Ruyuan Hu, Haiping Zhao, Wenfa Xiao, and Changfu Liu. 2024. "Seasonal Variations in Soil Enzyme Activity and Nutrient Limitations of Differently Aged Pinus massoniana Plantation" Microorganisms 12, no. 11: 2314. https://doi.org/10.3390/microorganisms12112314
APA StyleChen, H., Gou, M., Hu, J., Lei, L., Zhu, S., Hu, R., Zhao, H., Xiao, W., & Liu, C. (2024). Seasonal Variations in Soil Enzyme Activity and Nutrient Limitations of Differently Aged Pinus massoniana Plantation. Microorganisms, 12(11), 2314. https://doi.org/10.3390/microorganisms12112314

