Looking for Pathogens in Dust from North Africa Arriving in the French West Indies Using Metabarcoding and Cultivable Analysis
Abstract
1. Introduction
2. Materials and Methods
2.1. Sample Collection
2.2. Numeration and Identification of Cultivable Bacteria
2.3. Statistical Analyses for Cultivable Microorganisms
2.4. Detection of Total Microorganisms
2.5. 16 S rDNA and 18S rDNA Metabarcoding Analyses
3. Results
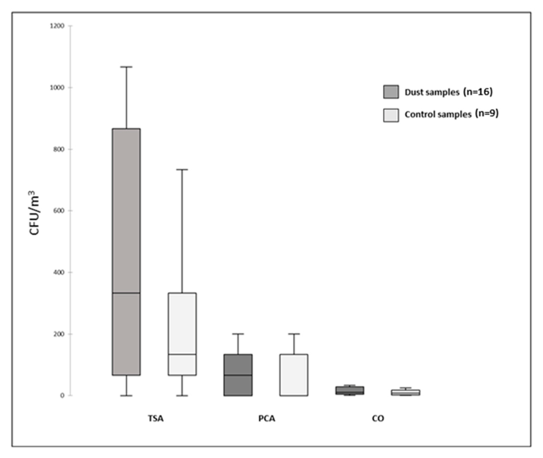
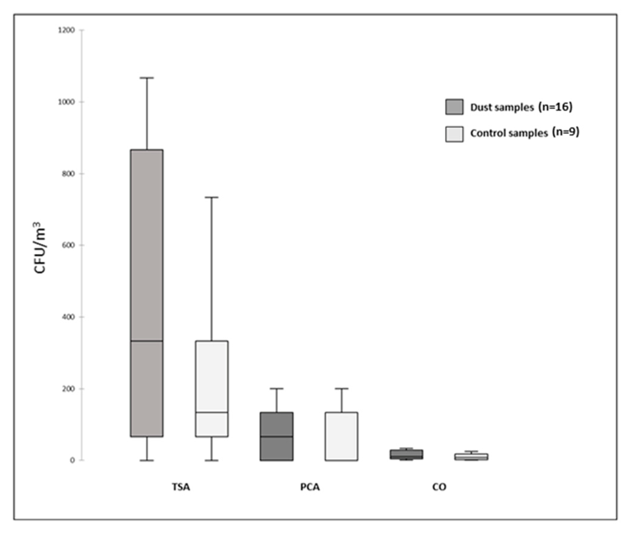
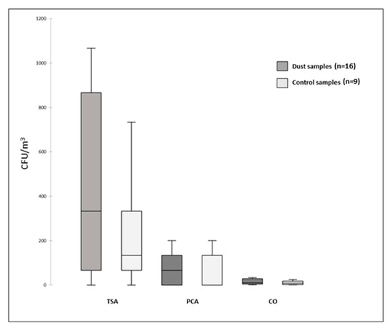
3.1. Cultivable Bacteria
3.2. Metabarcoding Analyses
3.2.1. Bacterial Communities Associated with NA Dusts in Guadeloupe
3.2.2. Eukaryotic Communities Associated with NA Dusts in Guadeloupe
4. Discussion
5. Conclusions
Supplementary Materials
Author Contributions
Funding
Data Availability Statement
Acknowledgments
Conflicts of Interest
References
- Prospero, J.M.; Mayol-Bracero, O.L. Understanding the Transport and Impact of African Dust on the Caribbean Basin. Bull. Am. Meteorol. Soc. 2013, 94, 1329–1337. [Google Scholar] [CrossRef]
- Plocoste, T.; Calif, R.; Euphrasie-Clotilde, L.; Brute, F.N. The Statistical Behavior of PM10 Events over Guadeloupean Archipelago: Stationarity, Modelling and Extreme Events. Atmos. Res. 2020, 241, 104956. [Google Scholar] [CrossRef]
- Kellogg, C.A.; Griffin, D.W. Aerobiology and the Global Transport of Desert Dust. Trends Ecol. Evol. 2006, 21, 638–644. [Google Scholar] [CrossRef]
- Shinn, E.A.; Smith, G.W.; Prospero, J.M.; Betzer, P.; Hayes, M.L.; Garrison, V.; Barber, R.T. African Dust and the Demise of Caribbean Coral Reefs. Geophys. Res. Lett. 2000, 27, 3029–3032. [Google Scholar] [CrossRef]
- Venkatesh, M.V.; Joshi, K.R.; Harjai, S.C.; Ramdeo, I.N. Aspergillosis in Desert Locust (Schistocerka Gregaria Forsk). Mycopathologia 1975, 57, 135–138. [Google Scholar] [CrossRef]
- Williams, P.L.; Sable, D.L.; Mendez, P.; Smyth, L.T. Symptomatic Coccidioidomycosis Following a Severe Natural Dust Storm: An Outbreak at the Naval Air Station, Lemoore, Calif. Chest 1979, 76, 566–570. [Google Scholar] [CrossRef]
- Korenyi-Both, A.L. AI Eskan Disease: Desert Storm Pneumonitis. Respiration 1992, 61, 108. [Google Scholar] [CrossRef]
- Setti, L.; Passarini, F.; De Gennaro, G.; Barbieri, P.; Perrone, M.G.; Borelli, M.; Palmisani, J.; Di Gilio, A.; Torboli, V.; Fontana, F.; et al. SARS-Cov-2RNA Found on Particulate Matter of Bergamo in Northern Italy: First Evidence. Environ. Res. 2020, 188, 109754. [Google Scholar] [CrossRef]
- Srikanth, P.; Sudharsanam, S.; Steinberg, R. Bio-Aerosols in Indoor Environment: Composition, Health Effects and Analysis. Indian J. Med. Microbiol. 2008, 26, 302–312. [Google Scholar] [CrossRef]
- Griffin, D.W.; Kellogg, C.A. Dust Storms and Their Impact on Ocean and Human Health: Dust in Earth’s Atmosphere. EcoHealth 2004, 1, 284–295. [Google Scholar] [CrossRef]
- Cadelis, G.; Tourres, R.; Molinie, J. Short-Term Effects of the Particulate Pollutants Contained in Saharan Dust on the Visits of Children to the Emergency Department Due to Asthmatic Conditions in Guadeloupe (French Archipelago of the Caribbean). PLoS ONE 2014, 9, e91136. [Google Scholar] [CrossRef] [PubMed]
- Kutralam-Muniasamy, G.; Pérez-Guevara, F.; Martínez, I.E.; Chari, S.V. Particulate Matter Concentrations and Their Association with COVID-19-Related Mortality in Mexico during June 2020 Saharan Dust Event. Environ. Sci. Pollut. Res. 2021, 28, 49989–50000. [Google Scholar] [CrossRef] [PubMed]
- Linares, C.; Culqui, D.; Belda, F.; López-Bueno, J.A.; Luna, Y.; Sánchez-Martínez, G.; Hervella, B.; Díaz, J. Impact of Environmental Factors and Sahara Dust Intrusions on Incidence and Severity of COVID-19 Disease in Spain. Effect in the First and Second Pandemic Waves. Environ. Sci. Pollut. Res. 2021, 28, 51948–51960. [Google Scholar] [CrossRef] [PubMed]
- Prospero, J.M. Atmospheric Dust Studies on Barbados. Am. Meteorol. Soc. Bull. 1968, 49, 645–652. [Google Scholar] [CrossRef]
- Prospero, J.M. Long-Range Transport of Mineral Dust in the Global Atmosphere: Impact of African Dust on the Environment of the Southeastern United States. Proc. Natl. Acad. Sci. USA 1999, 96, 3396–3403. [Google Scholar] [CrossRef] [PubMed]
- Prospero, J.M.; Nees, R.T. Impact of the North African Drought and El Niño on Mineral Dust in the Barbados Trade Winds. Nature 1986, 320, 735. [Google Scholar] [CrossRef]
- Griffin, D.W.; Garrison, V.H.; Herman, J.R.; Shinn, E.A. African Desert Dust in the Caribbean Atmosphere: Microbiology and Public Health. Aerobiologia 2001, 17, 203–213. [Google Scholar] [CrossRef]
- Meola, M.; Lazzaro, A.; Zeyer, J. Bacterial Composition and Survival on Sahara Dust Particles Transported to the European Alps. Front. Microbiol. 2015, 6, 1454. [Google Scholar] [CrossRef]
- Mazar, Y.; Cytryn, E.; Erel, Y.; Rudich, Y. Effect of Dust Storms on the Atmospheric Microbiome in the Eastern Mediterranean. Environ. Sci. Technol. 2016, 50, 4194–4202. [Google Scholar] [CrossRef]
- Weil, T.; De Filippo, C.; Albanese, D.; Donati, C.; Pindo, M.; Pavarini, L.; Carotenuto, F.; Pasqui, M.; Poto, L.; Gabrieli, J.; et al. Legal Immigrants: Invasion of Alien Microbial Communities during Winter Occurring Desert Dust Storms. Microbiome 2017, 5, 32. [Google Scholar] [CrossRef]
- Federici, E.; Petroselli, C.; Montalbani, E.; Casagrande, C.; Ceci, E.; Moroni, B.; La Porta, G.; Castellini, S.; Selvaggi, R.; Sebastiani, B.; et al. Airborne Bacteria and Persistent Organic Pollutants Associated with an Intense Saharan Dust Event in the Central Mediterranean. Sci. Total Environ. 2018, 645, 401–410. [Google Scholar] [CrossRef] [PubMed]
- Waters, S.M.; Purdue, S.K.; Armstrong, R.; Detrés, Y. Metagenomic Investigation of African Dust Events in the Caribbean. FEMS Microbiol. Lett. 2020, 367, fnaa051. [Google Scholar] [CrossRef]
- Criscuolo, A.; Brisse, S. AlienTrimmer: A Tool to Quickly and Accurately Trim off Multiple Short Contaminant Sequences from High-Throughput Sequencing Reads. Genomics 2013, 102, 500–506. [Google Scholar] [CrossRef]
- Callahan, B.J.; McMurdie, P.J.; Rosen, M.J.; Han, A.W.; Johnson, A.J.A.; Holmes, S.P. DADA2: High-Resolution Sample Inference from Illumina Amplicon Data. Nat. Methods 2016, 13, 581–583. [Google Scholar] [CrossRef]
- Bolyen, E.; Rideout, J.R.; Dillon, M.R.; Bokulich, N.A.; Abnet, C.C.; Al-Ghalith, G.A.; Alexander, H.; Alm, E.J.; Arumugam, M.; Asnicar, F.; et al. Reproducible, Interactive, Scalable and Extensible Microbiome Data Science Using QIIME 2. Nat. Biotechnol. 2019, 37, 852–857. [Google Scholar] [CrossRef]
- Quast, C.; Pruesse, E.; Yilmaz, P.; Gerken, J.; Schweer, T.; Yarza, P.; Peplies, J.; Glöckner, F.O. The SILVA Ribosomal RNA Gene Database Project: Improved Data Processing and Web-Based Tools. Nucleic Acids Res. 2013, 41, 590–596. [Google Scholar] [CrossRef]
- Love, M.I.; Huber, W.; Anders, S. Moderated Estimation of Fold Change and Dispersion for RNA-Seq Data with DESeq2. Genome Biol. 2014, 15, 550. [Google Scholar] [CrossRef]
- Volant, S.; Lechat, P.; Woringer, P.; Motreff, L.; Campagne, P.; Malabat, C.; Kennedy, S.; Ghozlane, A. SHAMAN: A User-Friendly Website for Metataxonomic Analysis from Raw Reads to Statistical Analysis. BMC Bioinform. 2020, 21, 345. [Google Scholar] [CrossRef]
- McMurdie, P.J.; Holmes, S. Waste Not, Want Not: Why Rarefying Microbiome Data Is Inadmissible. PLoS Comput. Biol. 2014, 10, e1003531. [Google Scholar] [CrossRef]
- Altschul, S.F.; Gish, W.; Miller, W.; Myers, E.W.; Lipman, D.J. Basic Local Alignment Search Tool. J. Mol. Biol. 1990, 215, 403–410. [Google Scholar] [CrossRef] [PubMed]
- Singhal, N.; Kumar, M.; Kanaujia, P.K.; Virdi, J.S. MALDI-TOF Mass Spectrometry: An Emerging Technology for Microbial Identification and Diagnosis. Front. Microbiol. 2015, 6, 791. [Google Scholar] [CrossRef] [PubMed]
- Favet, J.; Lapanje, A.; Giongo, A.; Kennedy, S.; Aung, Y.-Y.; Cattaneo, A.; Davis-Richardson, A.G.; Brown, C.T.; Kort, R.; Brumsack, H.-J.; et al. Microbial Hitchhikers on Intercontinental Dust: Catching a Lift in Chad. ISME J. 2013, 7, 850–867. [Google Scholar] [CrossRef] [PubMed]
- Giongo, A.; Favet, J.; Lapanje, A.; Gano, K.A.; Kennedy, S.; Davis-Richardson, A.G.; Brown, C.; Beck, A.; Farmerie, W.G.; Cattaneo, A.; et al. Microbial Hitchhikers on Intercontinental Dust: High-Throughput Sequencing to Catalogue Microbes in Small Sand Samples. Aerobiologia 2013, 29, 71–84. [Google Scholar] [CrossRef]
- Marone, A.; Kane, C.T.; Mbengue, M.; Jenkins, G.S.; Niang, D.N.; Drame, M.S.; Gernand, J.M. Characterization of Bacteria on Aerosols from Dust Events in Dakar, Senegal, West Africa. GeoHealth 2020, 4, e2019GH000216. [Google Scholar] [CrossRef] [PubMed]
- Rosselli, R.; Fiamma, M.; Deligios, M.; Pintus, G.; Pellizzaro, G.; Canu, A.; Duce, P.; Squartini, A.; Muresu, R.; Cappuccinelli, P. Microbial Immigration across the Mediterranean via Airborne Dust. Sci. Rep. 2015, 5, 16306. [Google Scholar] [CrossRef]
- Rodríguez, H.; Fraga, R. Phosphate Solubilizing Bacteria and Their Role in Plant Growth Promotion. Biotechnol. Adv. 1999, 17, 319–339. [Google Scholar] [CrossRef]
- McCoy, K.B.; Derecho, I.; Wong, T.; Tran, H.M.; Huynh, T.D.; La Duc, M.T.; Venkateswaran, K.; Mogul, R. Insights into the Extremotolerance of Acinetobacter radioresistens 50v1, a Gram-Negative Bacterium Isolated from the Mars Odyssey Spacecraft. Astrobiology 2012, 12, 854–862. [Google Scholar] [CrossRef]
- Jawad, A.; Snelling, A.M.; Heritage, J.; Hawkey, P.M. Exceptional Desiccation Tolerance of Acinetobacter radioresistens. J. Hosp. Infect. 1998, 39, 235–240. [Google Scholar] [CrossRef]
- Poirel, L.; Mansour, W.; Bouallegue, O.; Nordmann, P. Carbapenem-Resistant Acinetobacter baumannii Isolates from Tunisia Producing the OXA-58-like Carbapenem-Hydrolyzing Oxacillinase OXA-97. Antimicrob. Agents Chemother. 2008, 52, 1613–1617. [Google Scholar] [CrossRef]
- Xie, F.; Pathom-aree, W. Actinobacteria from Desert: Diversity and Biotechnological Applications. Front. Microbiol. 2021, 12, 765531. [Google Scholar] [CrossRef]
- Mendes, R.E.; Denys, G.A.; Fritsche, T.R.; Jones, R.N. Case Report of Aurantimonas altamirensis Bloodstream Infection. J. Clin. Microbiol. 2009, 47, 514–515. [Google Scholar] [CrossRef] [PubMed]
- Téllez-Castillo, C.J.; Granda, D.G.; Alepuz, M.B.; Lobo, V.J.; Saiz-Jimenez, C.; Juan, J.L.; Soria, J.M. Isolation of Aurantimonas altamirensis from Pleural Effusions. J. Med. Microbiol. 2010, 59, 1126–1129. [Google Scholar] [CrossRef] [PubMed]
- Belov, A.A.; Cheptsov, V.S.; Vorobyova, E.A. Soil Bacterial Communities of Sahara and Gibson Deserts: Physiological and Taxonomical Characteristics. AIMS Microbiol. 2018, 4, 685–710. [Google Scholar] [CrossRef] [PubMed]
- Alebouyeh, M.; Gooran Orimi, P.; Azimi-rad, M.; Tajbakhsh, M.; Tajeddin, E.; Jahani Sherafat, S.; Nazemalhosseini mojarad, E.; Zali, M.R. Fatal Sepsis by Bacillus circulans in an Immunocompromised Patient. Iran. J. Microbiol. 2011, 3, 156–158. [Google Scholar]
- Maraki, S.; Papadakis, I.S. Rothia mucilaginosa Pneumonia: A Literature Review. Infect. Dis. 2015, 47, 125–129. [Google Scholar] [CrossRef]
- De Baere, T.; Muylaert, A.; Everaert, E.; Wauters, G.; Claeys, G.; Verschraegen, G.; Vaneechoutte, M. Bacteremia Due to Moraxella atlantae in a Cancer Patient. J. Clin. Microbiol. 2002, 40, 2693–2695. [Google Scholar] [CrossRef]
- Otto, M. Staphylococcus epidermidis Pathogenesis. Methods Mol. Biol. 2014, 1106, 17–31. [Google Scholar] [CrossRef]
- Wilson, M.; Martin, R.; Walk, S.T.; Young, C.; Grossman, S.; Mckean, E.L.; Aronoff, D.M. Clinical and Laboratory Features of Streptococcus salivarius Meningitis: A Case Report and Literature Review. Clin. Med. Res. 2012, 10, 15–25. [Google Scholar] [CrossRef]
- Kozińska, A.; Paździor, E.; Pȩkala, A.; Niemczuk, W. Acinetobacter johnsonii and Acinetobacter lwoffii—The Emerging Fish Pathogens. Bull. Vet. Inst. Pulawy 2014, 58, 193–199. [Google Scholar] [CrossRef]
- Berry, C. The Bacterium, Lysinibacillus sphaericus, as an Insect Pathogen. J. Invertebr. Pathol. 2012, 109, 1–10. [Google Scholar] [CrossRef]
- Vijayakumar, R.; Aboody, M.; Alturaiki, W.; Alsagaby, S.; Sandle, T. A Study of Airborne Fungal Allergens in Sandstorm Dust in Al-Zulfi, Central Region of Saudi Arabia. J. Environ. Occup. Sci. 2017, 6, 27. [Google Scholar] [CrossRef]
- Riccombeni, A.; Vidanes, G.; Proux-Wéra, E.; Wolfe, K.H.; Butler, G. Sequence and Analysis of the Genome of the Pathogenic Yeast Candida orthopsilosis. PLoS ONE 2012, 7, e35750. [Google Scholar] [CrossRef]
- Latifi, A.; Niyyati, M.; Seyyed Tabaei, S.J.; Tahvildar Biderouni, F.; Haghighi, A.; Lasjerdi, Z. An Experimental Model of Primary Amoebic Meningoence Phalitis Due to Naegleria australiensis in Iran. Iran. J. Parasitol. 2018, 13, 369–372. [Google Scholar]
- Zhang, L.; Wu, M.; Hu, B.; Chen, H.; Pan, J.R.; Ruan, W.; Yao, L. Identification and Molecular Typing of Naegleria fowleri from a Patient with Primary Amebic Meningoencephalitis in China. Int. J. Infect. Dis. 2018, 72, 28–33. [Google Scholar] [CrossRef]
- Grace, E.; Asbill, S.; Virga, K. Naegleria fowleri: Pathogenesis, Diagnosis, and Treatment Options. Antimicrob. Agents Chemother. 2015, 59, 6677–6681. [Google Scholar] [CrossRef]
- Moussa, M.; Tissot, O.; Guerlotte, J.; De Jonckheere, J.F.; Talarmin, A. Soil Is the Origin for the Presence of Naegleria fowleri in the Thermal Recreational Waters. Parasitol. Res. 2015, 114, 311–315. [Google Scholar] [CrossRef] [PubMed]
- Moussa, M.; de Jonckheere, J.F.; Guerlotté, J.; Richard, V.; Bastaraud, A.; Romana, M.; Talarmin, A. Survey of Naegleria fowleri in Geothermal Recreational Waters of Guadeloupe (French West Indies). PLoS ONE 2013, 8, e54414. [Google Scholar] [CrossRef]
- Reynaud, Y.; Ducat, C.; Talarmin, A.; Marcelino, I. Cartography of Free-Living Amoebae in Soil in Guadeloupe (French West Indies) Using DNA Metabarcoding. Pathogens 2020, 9, 440. [Google Scholar] [CrossRef]
- Lawande, R.V. Recovery of Soil Amoebae from the Air during the Harmattan in Zaria, Nigeria. Ann. Trop. Med. Parasitol. 1983, 77, 45–49. [Google Scholar] [CrossRef]
- Delafont, V.; Rodier, M.-H.; Maisonneuve, E.; Cateau, E. Vermamoeba vermiformis: A Free-Living Amoeba of Interest. Microb. Ecol. 2018, 76, 991–1001. [Google Scholar] [CrossRef]
- Cabañes, F.J. Malassezia Yeasts: How Many Species Infect Humans and Animals? PLoS Pathog. 2014, 10, e1003892. [Google Scholar] [CrossRef]
- Bensch, K.; Braun, U.; Groenewald, J.Z.; Crous, P.W. The Genus Cladosporium. Stud. Mycol. 2012, 72, 1–401. [Google Scholar] [CrossRef]
- Kellogg, C.A.; Griffin, D.W.; Garrison, V.H.; Peak, K.K.; Royall, N.; Smith, R.R.; Shinn, E.A. Characterization of Aerosolized Bacteria and Fungi from Desert Dust Events in Mali, West Africa. Aerobiologia 2004, 20, 99–110. [Google Scholar] [CrossRef]
- Griffin, D.W.; Westphal, D.L.; Gray, M.A. Airborne Microorganisms in the African Desert Dust Corridor over the Mid-Atlantic Ridge, Ocean Drilling Program, Leg 209. Aerobiologia 2006, 22, 211–226. [Google Scholar] [CrossRef]







Disclaimer/Publisher’s Note: The statements, opinions and data contained in all publications are solely those of the individual author(s) and contributor(s) and not of MDPI and/or the editor(s). MDPI and/or the editor(s) disclaim responsibility for any injury to people or property resulting from any ideas, methods, instructions or products referred to in the content. |
© 2024 by the authors. Licensee MDPI, Basel, Switzerland. This article is an open access article distributed under the terms and conditions of the Creative Commons Attribution (CC BY) license (https://creativecommons.org/licenses/by/4.0/).
Share and Cite
Reynaud, Y.; Gelasse, A.; Multigner, L.; Quénel, P.; Talarmin, A.; Guyomard-Rabenirina, S. Looking for Pathogens in Dust from North Africa Arriving in the French West Indies Using Metabarcoding and Cultivable Analysis. Microorganisms 2024, 12, 2111. https://doi.org/10.3390/microorganisms12102111
Reynaud Y, Gelasse A, Multigner L, Quénel P, Talarmin A, Guyomard-Rabenirina S. Looking for Pathogens in Dust from North Africa Arriving in the French West Indies Using Metabarcoding and Cultivable Analysis. Microorganisms. 2024; 12(10):2111. https://doi.org/10.3390/microorganisms12102111
Chicago/Turabian StyleReynaud, Yann, Andric Gelasse, Luc Multigner, Philippe Quénel, Antoine Talarmin, and Stéphanie Guyomard-Rabenirina. 2024. "Looking for Pathogens in Dust from North Africa Arriving in the French West Indies Using Metabarcoding and Cultivable Analysis" Microorganisms 12, no. 10: 2111. https://doi.org/10.3390/microorganisms12102111
APA StyleReynaud, Y., Gelasse, A., Multigner, L., Quénel, P., Talarmin, A., & Guyomard-Rabenirina, S. (2024). Looking for Pathogens in Dust from North Africa Arriving in the French West Indies Using Metabarcoding and Cultivable Analysis. Microorganisms, 12(10), 2111. https://doi.org/10.3390/microorganisms12102111

