Abstract
The objective of this retrospective study was to evaluate the clinical significance of fecal quantitative real-time polymerase chain reaction (qPCR) Salmonella results when taking the cycle threshold values (Ct) into account. The study included 120 Salmonella qPCR-positive fecal samples obtained from 88 hospitalized horses over a 2-year period. The mean Ct of the qPCR test was evaluated in regard to (1) clinical outcome and (2) systemic inflammatory response syndrome (SIRS) status (no SIRS, moderate SIRS, or severe SIRS) of the sampled horses. An ROC analysis was performed to establish the optimal cut-off Ct values associated with severe SIRS. The mean ± SD Ct value was significantly lower in samples (1) from horses with a fatal issue (27.87 ± 5.15 cycles) than in surviving horses (31.75 ± 3.60 cycles), and (2) from horses with severe SIRS (27.87 ± 2.78 cycles) than from horses with no (32.51 ± 3.59 cycles) or moderate (31.54 ± 3.02 cycles) SIRS. In the ROC analysis, the optimal cut-off value of Ct associated with a severe SIRS was 30.40 cycles, with an AUC value of 0.84 [95% confidence interval 0.76–0.91] and an OR of 0.64 [0.51–0.79]. Results suggest that including the Ct value in the interpretation of fecal qPCR results could improve the diagnostic value of this test for clinical salmonellosis in horses.
1. Introduction
In human and veterinary medicine, acute diarrhea is associated with significant morbidity and mortality [1,2,3]. According to the World Health Organisation (WHO), there are around 2000 billion cases of acute diarrhea in humans diagnosed per year worldwide, among which around one third are considered to be foodborne [2,4]. Salmonella spp. infections are considered to be one of the most frequent causes of diarrhea [2,5]. Globally, in 2010, the WHO estimated the number of salmonellosis cases worldwide at 157 million, of which 56,969 had a fatal outcome and almost half were foodborne [6]. In the USA, the Center for Disease Control and Prevention (CDC) estimates that, each year, Salmonella infection is responsible for approximately 1.35 million illnesses, 26,500 hospitalizations, and 420 deaths [3]. According to the European Centre for Diseases Prevention and Control (ECDC), salmonellosis is the second most frequently reported cause of gastrointestinal infection in Europe, with 60,494 confirmed cases in 2021, 73 of which had a fatal outcome [7]. Salmonellosis is therefore considered to be a zoonosis of major importance [2,3,7].
The animal species most frequently incriminated as a source of infection in foodstuffs are poultry and swine, mainly through eggs and meat [2,7,8]. However, other animal species, including horses, can also be involved from time to time [8,9]. Another important source of infection from animal origin is contact with sick animals, and direct or indirect contact with sick horses is considered to be a significant zoonotic risk factor for the transmission of Salmonella spp. [4,10,11,12], especially as the strains involved in nosocomial equine infections are often multi-drug resistant (MDR) [13,14]. In a recent study carried out over 1 year in an equine hospital, 22 different strains of Salmonella were isolated from 3–17% of the samples obtained in areas where the staff had exclusive access, which means that the horses did not have direct contact with those areas. From the 22 strains isolated, 19 were resistant to at least one of the antibiotics tested and 9 were MDR [15].
Salmonella are Gram-negative, facultative, rod-shaped bacteria belonging to the Enterobacteriaceae family. The Salmonella genus comprises two species, Salmonella bongori and Salmonella enterica, of which S. enterica is the type species [5]. Based on genome analysis and biochemical characteristics, six subspecies of S. enterica have been identified: enterica, salamae, arizonae, diarizonae, houtenae and indica. On the basis of antigenic characteristics, the subspecies have been subdivided into serogroups (O antigen) and serovars (H antigen). To date, more than 2500 serovars have been identified [2,5,16,17,18]. All species and subspecies are considered potentially pathogenic, but the virulence of many of them is unknown. The vast majority of clinical cases, however, are associated with the subspecies S. enterica I (usually referred to as S. enterica subsp. enterica), which comprises around 1450 serovars, responsible for 99.5% of mammalian infections [18].
Salmonella enterica serotype Enteritidis, Typhimurium and monophasic S. typhimurium are the three most important serotypes of Salmonella transmitted from animals to humans in most parts of the world. These serovars accounted for almost 80% of the cases of human salmonellosis in the European Union over the last years. S. infantis has been consistently the fourth most frequently reported serovar in domestically acquired and travel-associated infections. Since 2018, S. newport became the fifth most common strain isolated, replacing S. derby [19].
In equids, the serovars involved in clinical cases of salmonellosis are numerous and vary according to time, geographical location, and outbreaks [5,20]. They have mainly been documented in the USA, with the most frequently reported serovars being S. thyphimurium, S. agona, S. newport, S. anatum, and S. braenderup [5,21,22]. The serovars circulating in Europe have been less documented, but published data for the Netherlands and the UK report that Salmonella thyphimurium appears to be the most common strain isolated also. Salmonella enteritidis, S. anatum, and S. agama are also regularly incriminated [20,23,24,25].
Salmonella infections in humans are essentially foodborne, which leads to a close monitoring of food-producing animals (especially swine and poultry); conversely, serovars circulating in companion animals, including horses, have only been monitored to a limited extent. However, prevalence and resistance profile studies carried out in those species highlight the importance of monitoring them also [26,27]. The detection of MDR strains of Salmonella seems to be increasing in horses, especially in hospitalized animals [26,27,28]. In the USA, a long-term study in foals showed an increase in the resistance of isolated strains of Salmonella to ceftizoxime (a third-generation cephalosporin) and a decrease in their sensitivity to gentamicin [29]. The extensive spread of the serovar Typhimurium MDR phage type DT104 has been reported in animals and humans since the 1990s [30], and more recently an extension of the fluoroquinolone (ciprofloxacin)-resistant serovar Kentucky ST198 has also been documented in dogs, horses, and humans [31].
Salmonella spp. is the most frequent bacteria associated with nosocomial infections in the equine species and is a major cause of diarrhea and systemic inflammatory response syndrome (SIRS) in adult horses [5,15,32,33,34]. Salmonella infection increases the risk of mortality, can be a source of considerable additional expenses for treatment and biosecurity measures, and might even lead to the temporary closure of veterinary hospitals [15]. Considering this and all the aforementioned zoonotic risks, state of the art practice in equine hospitals therefore requires active surveillance of this pathogen by controlling its fecal shedding in the hospitalized horses and in the environment [12,14,35,36].
Fecal culture is considered the gold standard technique for diagnostic confirmation of Salmonella shedding. It requires a strictly controlled methodology, including specific enrichment techniques and repeated sampling (3 to 5, taken 12–24 h apart) because shedding is often intermittent [28,37]. However, this technique is slow, with the culture requiring at least 48 h and the enrichment steps further prolonging the detection time, which renders it poorly efficient for early detection of shedders and prevents rapid implementation of biosecurity measures when needed [38,39]. Moreover, the bacterial culture often lacks sensitivity, with the growth of the bacteria being affected by sampling and handling methodology, culture technique, prior treatment with anti-microbials, or fecal bacterial load [40]. Therefore, the risk of false negative results is relatively high with the culture. Moreover, interpretation of a positive result on fecal samples obtained from hospitalized animals is not easy because asymptomatic Salmonella shedding is not uncommon in horses [5,37]. The use of PCR techniques brings the advantages of being faster and more sensitive than culture techniques, and therefore can be used as the first line to detect shedders [39]. Unfortunately, a positive PCR result indicates the presence of the bacteria’s genetic material but precludes from determining its pathogenic potential, hence having a high risk of false positive results with this technique. PCR also precludes from evaluating the phenotypic characteristics of the strain [40,41,42]. When a positive result is obtained by PCR, it is therefore recommended to submit several fecal samples to culture [5,39], but in the meantime, before obtaining the results of the culture, biosecurity measures must be implemented, which is restrictive, costly, and sometimes poorly accepted by the nursing staff or the owner, particularly in cases that will not subsequently develop overt clinical signs.
Quantitative real-time PCR (qPCR) provides quantitative results, and the cycle threshold value (Ct, number of cycles required for the PCR to detect the target microorganism) can be used as an indirect estimate of the load of the pathogen in the sample, as it has already been demonstrated in the detection of Salmonella enteritidis in feces of poultry [43]. In nasopharyngeal swabs of humans infected with SARS-CoV-2, the Ct values were correlated with viral loads and with the severity of the clinical signs, which further increased the clinical interest of this test [44]. Such a correlation has never been studied for salmonellosis, but could be useful to refine the rapid interpretation of the qPCR results. Indeed, it might aid in differentiating between clinical and sub-clinical shedders and in better assessing the risks of nosocomial infections in equine patients as it has been previously suggested but never tested in horses [38].
The objective of this study was to evaluate whether the Ct value of a diagnostic qPCR test for Salmonella spp. using a broad spectrum primer has a predictive value for clinical disease in the horses in our study population. The hypothesis was that positive qPCR results with lower Ct values would be more often associated with clinical signs of severe disease, as evaluated by the SIRS score.
2. Materials and Methods
2.1. Study Population
This retrospective study was conducted on cases admitted to the equine teaching hospital of the University of Liege from December 2019 to December 2021, and that tested positive for PCR for Salmonella in the feces. The horses were tested because they were presented to the clinic for gastrointestinal problems or as part of the hospital biosecurity protocol if they developed fever and leucopenia of unknown origin with or without diarrhea during hospitalization.
2.2. Sampling Procedures
Each case had one to five fecal samples taken during hospitalization. Samples were taken by rectal palpation, kept at 4 °C until analysis, and submitted to the laboratory for Salmonella spp. qPCR assay (see below) within 48 h.
For each case that tested positive for Salmonella spp. on qPCR, specific patient’s data at the time of sampling of the feces were retrospectively collected from the clinical file. These data included age, gender, and breed of the animal, the clinical issue (dead or euthanized during hospitalization or discharged from the hospital), and clinical and clinicopathological parameters enabling an SIRS score to be established. The SIRS score used was established on a scale of 0 to 4 based on the number of criteria present amongst: (1) heart rate > 56 bpm, (2) respiratory rate > 20 rpm, (3) rectal temperature < 37 °C or > 38.5 °C, and (4) circulating white blood cell count (WBC) < 5 × 109/L or >12.5 × 109/L [45]. When no WBC data were available at the time of fecal sampling, these criteria were considered to be absent in determining the SIRS score. For the purpose of this study, horses were classified into 3 groups according to this score: non-SIRS (SIRS score 0 or 1), moderate SIRS (SIRS score 2), and severe SIRS (SIRS score 3 or 4). Additionally, the final outcome (i.e., discharged from the hospital or dead/euthanized) and the presence or not of clinical signs suggestive of salmonellosis during the whole hospitalization were recorded for each case. This was defined as the presence of at least 2 out of the 3 following criteria: diarrhea (more than 2 loose or liquid feces over 24 h), fever (rectal temperature > 38.5 °C), and leucopenia (white blood cell count < 5 × 109/L) [14,46].
2.3. Quantitative Real-Time PCR Assay
Two hundred milligrams of feces were subjected to DNA extraction using the Nucleospin® DNA Stool Kit, as described by the manufacturer (Macherey-Nagel GmbH & Co., Kg, Düren, Germany). Quantitative qPCR for the amplification of the Stn target gene DNA was performed on a QuantStudio1 thermocycler (ThermoFisher Scientific, Brussels, Belgium), according to Moore and Feist (2007) [47]. Briefly, qPCR reactions (20 µL) included 2 µL of DNA, 10 µL of Luna Universal Probe qPCR Master Mix (Bioké, Leiden, The Netherlands), 6 µL of water, and 2 µL of the primers mix. The primer mix contained 20 µL of a 10 µM solution of each primer (F: 5′-GCCATGCTGTTCGATGAT; R: 5′-GTTACCGATAGCGGGA) and 10 µL of a 10 µM solution of the probe (FAM-5′-TTTTGCACCACMGCCAGCCC-3′-IBFQ). PCR conditions were as follows: 5 min at 95 °C, followed by 45 cycles at 95 °C for 30 s, 55 °C for 30 s, and 72 °C for 1 min; then a final extension at 72 °C for 3 min. All qPCR samples were analyzed in duplicates. A bovine isolate of Salmonella enterica Serovar Dublin kindly provided by the Association Régionale de Santé et d’Identification Animales (ARSIA, Ciney, Belgium) was used as a positive control. β-Actin was used as an extraction and qPCR control, according to Moore and Feist (2007) [48], with the same conditions as for the Salmonella spp. qPCR.
To evaluate the correlation between the qPCR Ct value and the actual bacterial concentration, three Salmonella strains, isolated from horse samples at the ARSIA (Ciney, Belgium, and identified by seroagglutination on the slide, according to the Kauffmann White protocol, were used to establish standard curves, using the same extraction and qPCR methods as detailed above. One strain corresponded to Salmonella enterica ssp. enterica serovar Coeln and two strains to the Enteritidis serovar.
2.4. Statistical Analysis
The mean qPCR Ct values and the log CFU/mL were compared using an unpaired T-test between samples obtained from cases that survived or had a fatal outcome.
The mean qPCR Ct values and the log CFU/mL of the samples obtained from the different SIRS groups were compared using a one-way ANOVA test.
A receiver-operating characteristic (ROC) analysis was conducted to compute the sensitivity and specificity of the fecal Salmonella qPCR Ct value as an indicator of the simultaneous development of a severe SIRS.
Statistical significance was established at p-values less than 0.05.
3. Results
During the 2-year study period, 399 equine fecal samples were collected from 287 cases and submitted for Salmonella qPCR testing. Amongst them, 120 samples tested positive and were obtained from 82 horses of various breeds. The mean ± SD age of these horses was 11.2 ± 8.2 years (median = 11.0; range 1 day–29 years) with 33 (40%) mares, 36 (44%) geldings, and 13 (16%) stallions (Table S1 ). Amongst those horses, 57 (70%) presented clinical signs suggestive of salmonellosis (i.e., at least two out of the three following criteria: fever, diarrhea, and leucopenia) [14,46] during hospitalization.
Interestingly, the standard curves established using three horse isolates of Salmonella, corresponding to two serovars (S. enterica ssp. Enterica serovar Coeln (1 isolate) and S. enterica ssp. Enterica serovar Enteritidis (2 isolates)), showed an excellent correlation between the qPCR Ct value and the bacterial concentration expressed as log CFU/mL (R2 values of 0.9983, 0.9973, and 0.9997, respectively; see Supplementary Table S1 and Figure S1). In addition, the estimated bacterial concentration based on the qPCR Ct value was relatively close using the three different equations obtained (standard deviation of 15.9% for a Ct value of 30, for instance; Supplementary Figure S1). Each Ct value was then converted to “predicted” log CFU/mL by averaging the three equations obtained for the reference strains used.
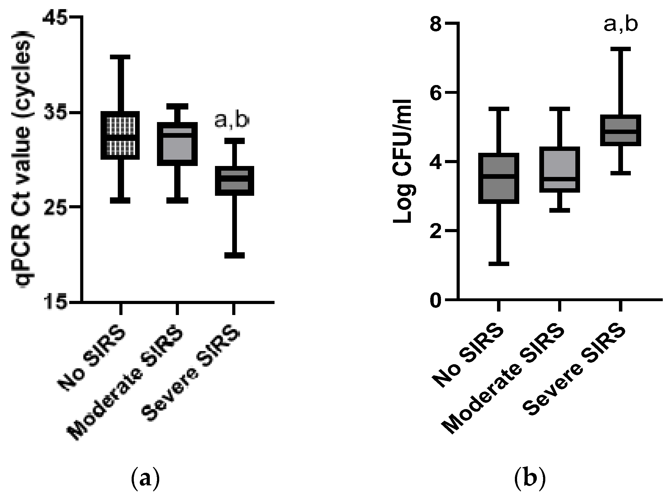
The mean ± SD Ct value from the 120 positive samples was 31.45 ± 3.74 cycles (range 19.9 to 40.8; 95% CI 30.8 to 32.1), which, after conversion into log CFU/mL, corresponded to mean ± SD values of 3.83 ± 1.11 log CFU/mL (range 1.04 to 7.26; 95% CI 3.62 to 4.02). Amongst these samples, 72 were obtained from horses presenting no SIRS, 26 from horses presenting a moderate SIRS, and 22 from horses presenting a severe SIRS at the time of sampling. The mean ± SD Ct values were statistically different between the samples obtained from horses presenting a different SIRS category, the Ct values obtained from horses presenting severe SIRS (27.87 ± 2.78 cycles) [95% confidence interval 26.6–29.7] (after conversion into log CFU/mL: 4.89 ± 0.83 log CFU/mL [95% confidence interval 4.52–5.26]) being significantly lower (p < 0.001) than the Ct values obtained from horses presenting no SIRS (32.51 ± 3.59) [95% confidence interval 31.7 to 33.4] (after conversion into log CFU/mL: 3.51 ± 1.07 log CFU/mL [95% confidence interval 3.25–3.76]) or a moderate SIRS (31.54 ± 3.02) [95% confidence interval 30.3–32.8] (after conversion into log CFU/mL: 3.80 ± 0.90 log CFU/mL [95% confidence interval 3.43–4.15]) at the sampling time (Figure 1).
Figure 1.
Boxplots of the cycle threshold value (Ct) of positive Salmonella spp. qPCR tests (a) and of the corresponding log CFU/mL estimated from standard calibration curves (b) obtained on fecal samples from horses hospitalized for gastrointestinal problems and not presenting SIRS (n = 72), presenting a moderate SIRS (n = 26), or presenting a severe SIRS (n = 22) at the time of sampling. a and b = significantly different from samples obtained on cases with no SIRS or on cases with a moderate SIRS, respectively, using the one-way ANOVA test (p < 0.05).
The ROC analysis gave an optimal cut-off Ct value of 30.40 cycles for association with signs of severe SIRS (as compared with no or moderate SIRS signs) at the sampling time, with an area under curve of 0.84 [95% confidence interval 0.76–0.91] and an OR of 0.64 [0.51–0.79] (Figure 2).
Figure 2.
Receiver-operating characteristic curves showing the performance of the cycle threshold value (Ct) of a Salmonella spp. qPCR performed on fecal samples in predicting the association with a severe systemic inflammatory response syndrome (SIRS) in 82 horses hospitalized for gastro-intestinal problems.
In total, 9 of the 82 (11%) cases included in the study died or were euthanized. The mean ± SD Ct value of the samples obtained from those horses (28.74 ± 4.99 cycles) [95% confidence interval 24.9–32.6] was significantly lower (p = 0.022) (after conversion into log CFU/mL: 4.63 ± 1.49 log CFU/mL [95% confidence interval 3.49–5.77]) than the mean ± SD Ct of the samples obtained from the cases that were discharged from the hospital (31.75 ± 3.61 cycles) [95% confidence interval 31.1–32.4] (after conversion into log CFU/mL: 3.73 ± 1.07 log CFU/mL [95% confidence interval 3.53–3.94]) (Figure 3).
Figure 3.
Boxplots of the cycle threshold value (Ct) of positive Salmonella spp. qPCR tests (a) and of the corresponding log CFU/mL estimated from standard calibration curves (b) obtained on fecal samples from horses hospitalized for gastrointestinal problems that were discharged from the hospital (survivors, n = 73) or that died or were euthanized during hospitalization (non-survivors, n = 9). a = significantly different from samples obtained on surviving cases, using the unpaired T-test (p < 0.05).
4. Discussion
In this study, fecal samples from hospitalized horses considered at high risk for shedding of Salmonella spp. were tested using a qPCR targeting the Stn gene, and a high percentage of the samples (120/399 = 30.1%) were positive. Results suggest a link between the Ct value of the qPCR and the severity of the clinical signs of salmonellosis. Mean Ct values were significantly lower in horses with a fatal outcome compared to survivors, and Ct values of the samples from horses showing signs of severe SIRS were significantly lower compared with those obtained when horses were showing either no or moderate signs of SIRS.
Twenty-nine percent (29%) of the horses included in this study tested positive for Salmonella at least once using a qPCR targeting the Stn gene. This percentage is difficult to compare with Salmonella shedding rates reported in previous studies, because selection criteria, diagnostic techniques, genes targeted, primers for the qPCR, and the numbers of samples per case vary greatly among studies [36].
Regarding the cases selection, Salmonella carriage is known to be influenced by numerous risk factors in the horse, the most commonly mentioned being hospitalization for a gastrointestinal problem (colic or diarrhea) or a major illness with systemic repercussions [34,36,49,50], especially with prolonged hospitalization [51,52]. Other risk factors of Salmonella shedding in horses have been identified, some of which are still controversial or have not been statistically tested [33,34,36]. Among these, the age of the horse, administration of antibiotics or anthelmintics, surgery, general anesthesia, transport, diet changes, unsanitary conditions, or overcrowding have been mentioned [5,22,28,33,34,36].
Even in studies using PCR and targeting samples from horses with gastrointestinal problems, the reported Salmonella shedding rates vary greatly, between 2 to 68% [39,46,52,53,54,55,56]. The rate of positive samples obtained in this study is rather high compared with most of the previous studies using PCR. This could partly be explained by the fact that most of the horses tested (70%) presented signs suggestive of salmonellosis during hospitalization. However, it could also be linked to the sensitivity of the PCR primer used in the present study, targeting the Stn gene rather than the SpaQ [21,42,57], HisJ [40,41,53], or InvA [38,39] genes as previously reported in equine studies. In various species, the use of InvA genes has long been regarded as the most reliable in Salmonella discrimination since many strains possess the InvA gene within their genomes. The presence of this virulence factor has been linked to the ability of Salmonella to invade the epithelial tissues of the host [58]. However, Salmonella associated infection of the intestinal mucosa and translocation through the intestinal barrier during infection is not only mediated by invasion genes; other genes have been demonstrated to be required for bacterial colonization of the host intestine [59], and several studies have shown that a significant number of Salmonella strains do not possess the InvA gene [47,58,60,61].
The Salmonella Stn gene is an interesting target for PCR, because it is one of the few reported genes that has been able to consistently correctly identify all S. enterica with no false positives [61,62,63,64,65,66]. The study of Moore and Feist (2006) [47] developed a Salmonella-specific qPCR targeting Stn sequences conserved in both Salmonella species (S. enterica and S. bongori) and all serotypes, and demonstrated that Stn is a valid target for both species of Salmonella, having 100% inclusivity for the 269 Salmonella isolates tested, including 255 Salmonella enterica representing 158 serotypes, and for 14 Salmonella bongori representing 12 serotypes, 96.4 exclusivity for the 84 non-Salmonella isolates tested representing 56 species from 31 genera, and a level of detection of 3 CFU for cultured Salmonella spp. In a study investigating the antibacterial activity of an aqueous extract of Ilex paraguariensis against 32 different strains (S. enteridis, S. typhimurium and S. corvalis) of nontyphoidal Salmonella isolated from human patients with clinical disease, the Stn gene was detected in 100% of the Salmonella spp. isolates, while the SdiA gene was detected in 81.2% of the isolates, and InvH, SopE, InvA, and SopB genes were only detected in 37.5, 37.5, 28.1, and 28.1% of the isolates, respectively [61]. This study also suggests a low sensitivity for the commonly used qPCR targeting the invA gene in detecting pathogenic Salmonella strains. The advantage of using a broad-spectrum primer such as Stn is that it increases the sensitivity rate of Salmonella carriage detection and reduces the risk of transmission of the bacteria in hospitalized patients. The nature and severity of the clinical signs associated with fecal shedding of Salmonella in horses vary greatly, ranging from asymptomatic carriage to severe septic shock, often associated with fever, diarrhea or reflux, and/or leucopenia, which can lead to death in the most severe cases [5,37,52]. In horses hospitalized for colic, Salmonella carriage has been associated with more severe pathologies or cases requiring surgery [2], and with an increased rate of complications and mortality compared to non-carriers during hospitalization [46] or after hospital discharge [67]. Studies on the impact of Salmonella shedding on patient’s outcome are, however, controversial, with some studies not having demonstrated an increased risk of mortality in carrier horses during hospitalization [68] or upon return to the stable [46]. However, it is worth noting that none of these studies assessed shedding quantitatively. The survival prognosis could perhaps be improved based on such an approach.
The clinical repercussions of intestinal colonization by Salmonella in the horse de-pend on the interaction between, on one hand, the state of health and immunity of the host (e.g., stress, immune status, concurrent gastrointestinal disease), and, on the other hand, the infective dose and the virulence of the Salmonella strain involved [5,22]. Bacterial load is certainly not the only factor that conditions the severity of clinical signs when they develop. Nevertheless, the results of the present study highlight, interestingly, an association between low Ct values of qPCR detection of Salmonella on fecal samples and the severity of simultaneous clinical signs. Since the Ct value is known to be inversely proportional to the amount of target DNA in a sample and can therefore be used as a rough indirect estimate of its infectious load [44], the hypothesis of a higher fecal Salmonella shedding in more severely affected horses is plausible. The Ct value of qPCR has been shown to be related to the Salmonella load in various kinds of samples. It has been used to determine the detection threshold for viable but non-culturable Salmonella typhimurium in sewage sludge [69], or for Salmonella enteritidis detection in pooled environmental samples from poultry production units [43]. In a study comparing culture and qPCR results for the detection of Salmonella spp. in the feces of hospitalized horses [38], the number of copies of the InvA gene (a target gene often used in Salmonella PCR tests in horse) detected by qPCR was significantly higher, suggesting a higher bacterial load in the samples that were culture positive than in those that were culture negative. In the conclusions of this paper, the authors suggested future studies to establish how quantitative PCR-based assays could be used to differentiate between clinical and sub-clinical shedders and to assess the risk of infection to other hospitalized animals. Similarly, we observed a strong correlation between the Stn qPCR Ct value and the bacterial concentration (CFU/mL), based on serial dilutions of cultures of horse isolates of Salmonella serovars Coeln and Enteritidis. It remains to be determined whether this correlation also applies to clinical samples, warranting further investigations.
In another study comparing culture and qPCR results, the median qPCR Ct values of culture negative but PCR positive samples was 35.39 (range 22.03–36.95) in 10 horses with gastrointestinal signs and 34.70 (range 31.98–37.00) in 7 horses without gastrointestinal signs [39]. These values were very close to the positivity threshold used in this study (namely a Ct value ≤ 37.00) and were interpreted by the authors as the possible presence of a low bacterial load in these samples.
It should, however, be emphasized that the estimation of the infectious load of a sample based on the Ct value of the qPCR is considered to be a very approximate technique. Indeed, many variables can influence this value, such as the technique and type of sample used, the time and conditions for transport and storage of the sample, the DNA extraction technique, the efficiency of the quantitative PCR test, and the method for determining the Ct values [44]. Normalization of the Ct values has sometimes been used to reduce these errors [70]. Such a correction method was not used here. However, three Salmonella strains isolated from horse samples were used to establish standard curves correlating the bacterial concentration (log CFU/mL) with the Ct value observed after DNA extraction and qPCR, according to our standard diagnostic protocol. These three strains corresponded to two different serovars (one strain of Salmonella enterica ssp. enterica serovar Coeln and two strains of the Enteritidis serovar). First, an excellent correlation was observed between the qPCR Ct value and the bacterial concentration (R2 values of 0.9983, 0.9973 and 0.9997, respectively). Next, although the equations differed slightly, the bacterial concentration estimated based on the Ct value was relatively similar (for instance, for a Ct value of 30, a standard deviation of 15.9% was observed between the results obtained with the three equations). It was therefore decided to average the three equations to obtain a single equation for predicting log CFU/mL from the qPCR Ct value. However, the number of strains used is very limited, and it would have been useful to check whether the prediction equation would have been comparable with other strains. So, overall, even if the qPCR Ct value appears as an interesting indicator of the actual bacterial concentration, further studies are needed to confirm this correlation on a broader range of serovars; then in a context better mimicking the clinical samples (for instance, spiking horse feces with serial dilutions of bacterial cultures); and, finally, directly on clinical samples. Despite all the aforementioned limitations, the results suggest a link between the Ct values of the qPCR test and the severity of the clinical signs in horses shedding Salmonella. The use of the Ct values could therefore make it possible to refine the short-term interpretation of a positive PCR result. Indeed, during the delay to obtain the culture results, strict biosecurity measures, which are restrictive and costly, could be implemented only for horses below a certain threshold, while lighter measures could be applied to horses with higher Ct values. In addition, even if this will obviously not be the only decision criteria, cases with low Ct should be placed under particularly close clinical monitoring, or even under preventive treatment for endotoxemia because they seem to present a greater risk of unfavorable clinical evolution.
This study has several other limitations. As a retrospective study, there is a risk of inaccuracies in the collection of clinical data. The determination of the SIRS score was based on the four criteria usually used in equine medicine [45], but those signs are non-specific and may not always reflect the severity of the clinical disease. Moreover, in a few cases, the circulating WBC count was not measured at the time of sampling, which may have led to underestimation of the SIRS score, as in these samples it was determined on the basis of three rather than four criteria. Another limitation of the study is that the efficacy and efficiency of the assay was not studied with samples known to be negative for Salmonella based on culture and standard PCR, with other qPCR assays using other genes, or using samples spiked with known quantities of one or several Salmonella serovars. On the basis of the Moore and Feist (2007) study results [47], the Stn qPCR was considered to be an assay that can be used with good reliability in the context of a diagnostic laboratory, but additional validation studies should ideally be carried out to refine the quantitative interpretation of the results. Moreover, samples positive by PCR were not systematically submitted for culture (currently considered the gold standard for diagnosis of salmonellosis [5,37]), which did not allow study of the link between the Ct of the qPCR and the culture results. Finally, even if all the qPCR tests were carried out in the same laboratory and using the same methodology, they were not carried out simultaneously, which could be a source of bias and could have influenced the Ct values obtained. To limit this effect, strictly standardized procedures were used and the number of laboratory technicians involved was limited to three people over the two year period of the study. Despite all those limitations, determination of a Ct threshold value for the results obtained in a laboratory, according to a standardized methodology, could be an interesting indicator for a finer interpretation of the results, rather than a simple negative or positive result. In the future, it could be very useful to compare the sensitivity and specificity of the Stn qPCR assay used in this study with other assays, including bacterial isolation, DNA quantification, and serotyping, as a diagnostic tool of Salmonella spp. shedding in horses.
5. Conclusions
In conclusion, the results of this study suggest that taking into account the Ct values in the interpretation of a qPCR result could improve the diagnosis of clinical salmonello-sis in horses. This could help in interpreting the results of a positive fecal qPCR test, especially in hospitalized patients. Indeed, clinical monitoring and biosecurity measures could be reinforced, and the prognosis could be announced as less favorable to the owner if the Ct values of the test are low. On the contrary, results with high Ct values could be less alarming, and less restrictive biosecurity measures and clinical follow-up could be applied on those cases. However, as the Ct depends on several procedures and primer-dependent factors, each laboratory should establish its own standard cut-off values.
Supplementary Materials
The following supporting information can be downloaded at: https://www.mdpi.com/article/10.3390/microorganisms11081950/s1, Figure S1: Correlation between the qPCR Ct value and the bacterial concentration (log CFU/mL), as determined for three Salmonella strains isolated from horse feces samples; Table S1: Comparison of the equation correlating the qPCR Ct value with the bacterial concentration (log CFU/mL), as determined for three Salmonella strains isolated from horse feces samples.
Author Contributions
Conceptualization, H.A., M.-M.G. and L.L.; formal analysis, H.A., N.M., J.D., M.S., M.-M.G. and L.L.; investigation, H.A., C.C., L.D.M., C.L. and L.L.; resources, H.A., C.C., M.S., M.-M.G. and L.L.; data curation, H.A., N.M. and J.D.; writing—original draft preparation, H.A., M.-M.G. and L.L.; writing—review and editing, H.A., C.C., L.D.M., C.L., N.M., J.D., M.S., M.-M.G. and L.L.; visualization, H.A., M.-M.G. and L.L.; funding acquisition, H.A., M.-M.G. and L.L. All authors have read and agreed to the published version of the manuscript.
Funding
This research was funded by “Les Fonds Spéciaux pour la Recherche (FSR)” of Liege University (Belgium), grant number R.CFRA.4067 (EQUISALM project).
Data Availability Statement
Raw data are available from the corresponding author on reasonable request.
Acknowledgments
The authors acknowledge Sophie Vrooman for her rigor in carrying out the PCR analysis.
Conflicts of Interest
The authors declare no conflict of interest.
References
- Shaw, S.D.; Stämpfli, H. Diagnosis and Treatment of Undifferentiated and Infectious Acute Diarrhea in the Adult Horse. Vet. Clin. N. Am. Equine Pract. 2018, 34, 39–53. [Google Scholar] [CrossRef]
- Popa, G.L.; Popa, M.L. Salmonella spp. Infection—A continuous threat worldwide. Germs 2021, 11, 88–96. [Google Scholar] [CrossRef]
- Teklemariam, A.D.; Al-Hindi, R.R.; Albiheyri, R.S.; Alharbi, M.G.; Alghamdi, M.A.; Filimban, A.A.R.; Al Mutiri, A.S.; Al-Alyani, A.M.; Alseghayer, M.S.; Almaneea, A.M.; et al. Human Salmonellosis: A Continuous Global Threat in the Farm-to-Fork Food Safety Continuum. Foods 2023, 12, 1756. [Google Scholar] [CrossRef]
- Besser, J.M. Salmonella epidemiology: A whirlwind of change. Food Microbiol. 2018, 71, 55–59. [Google Scholar] [CrossRef]
- Hernandez, J.A.; Long, M.T.; Traub-Dargatz, J.L.; Besser, T.E. Salmonellosis. In Equine Infectious Diseases, 2nd ed.; Sellon, D., Long, M.T., Eds.; Saunders Elsevier: St. Louis, MO, USA, 2014; pp. 321–333. [Google Scholar]
- Kirk, M.D.; Pires, S.M.; Black, R.E.; Caipo, M.; Crump, J.A.; Devleesschauwer, B.; Doepfer, D.; Fazil, A.; Fischer-Walker, C.L.; Hald, T.; et al. World Health Organization estimates of the global and regional disease burden of 22 foodborne bacterial, protozoal, and viral diseases, 2010: A data synthesis. PLoS Med. 2015, 12, e1001921. [Google Scholar]
- European Centre for Disease Prevention and Control. Salmonellosis. In ECDC. Annual Epidemiological Report for 2021; ECDC: Stockholm, Sweden, 2022; Available online: https://www.ecdc.europa.eu/sites/default/files/documents/SALM_AER_2021.pdf (accessed on 28 July 2023).
- Arnold, M.; Piers Smith, R.; Tang, Y.; Guzinski, J.; Petrovska, L. Bayesian Source Attribution of Salmonella Typhimurium Isolates From Human Patients and Farm Animals in England and Wales. Front. Microbiol. 2021, 12, 579888. [Google Scholar] [CrossRef] [PubMed]
- Espié, E.; De Valk, H.; Vaillant, V.; Quelquejeu, N.; Le Querrec, F.; Weill, F.X. An outbreak of multidrug-resistant Salmonella enterica serotype Newport infections linked to the consumption of imported horse meat in France. Epidemiol. Infect. 2005, 133, 373–3766. [Google Scholar] [CrossRef] [PubMed]
- Rice, D.H.; Hancock, D.D.; Roozen, P.M.; Szymanski, M.H.; Scheenstra, B.C.; Cady, K.M.; Besser, T.E.; Paul A Chudek, P.A. Household contamination with Salmonella enterica. Emerg. Infect. Dis. 2003, 9, 120–122. [Google Scholar] [CrossRef] [PubMed]
- Ward, M.P.; Brady, T.H.; Couëtil, L.L.; Liljebjelke, K.; Maurer, J.J.; Wu, C.C. Investigation and control of an outbreak of salmonellosis caused by multidrug-resistant Salmonella typhimurium in a population of hospitalized horses. Vet. Microbiol. 2005, 107, 233–240. [Google Scholar] [CrossRef]
- Steneroden, K.K.; Van Metre, D.C.; Jackson, C.; Morley, P.S. Detection and control of a nosocomial outbreak caused by Sal-monella Newport at a large animal hospital. J. Vet. Intern. Med. 2010, 24, 606–616. [Google Scholar] [CrossRef]
- Rankin, S.C.; Aceto, H.; Cassidy, J.; Holt, J.; Young, S.; Love, B.; Tewari, D.; Munro, D.S.; Benson, C.E. Molecular character ization of cephalosporin-resistant Salmonella enterica sero type Newport isolates from animals in Pennsylvania. J. Clin. Microbiol. 2002, 40, 4679–4684. [Google Scholar] [CrossRef] [PubMed][Green Version]
- Dallap Schaer, B.L.; Aceto, H.; Rankin, S.C. Outbreak of salmonellosis caused by Salmonella enterica serovar Newport MDR-AmpC in a large animal veterinary teaching hospital. J. Vet. Intern. Med. 2010, 24, 1138–1146. [Google Scholar] [CrossRef]
- Soza-Ossandón, P.; Rivera, D.; Tardone, R.; Riquelme-Neira, R.; García, P.; Hamilton-West, C.; Adell, A.D.; González-Rocha, G.; Moreno-Switt, A.I. Widespread Environmental Presence of Multidrug-Resistant Salmonella in an Equine Veterinary Hospital That Received Local and International Horses. Front. Vet. Sci. 2020, 7, 346. [Google Scholar] [CrossRef]
- Brenner, F.W.; Villar, R.G.; Angulo, F.J.; Angulo, F.J.; Tauxe, R.; Swaminathan, B. Salmonella nomenclature. J. Clin. Microbiol. 2000, 38, 2465–2467. [Google Scholar] [CrossRef]
- Tindall, B.J.; Grimont, P.A.; Garrity, G.M.; Euzéby, J.P. Nomenclature and taxonomy of the genus Salmonella. Int. J. Syst. Evol. Microbiol. 2005, 55, 521–524. [Google Scholar] [CrossRef]
- Chan, K.; Baker, S.; Kim, C.C.; Detweiler, C.S.; Dougan, G.; Falkow, S. Genomic comparison of Salmonella enterica serovars and Salmonella bongori by use of an S. enterica serovar typhimurium DNA microarray. J. Bacteriol. 2003, 185, 553–563. [Google Scholar] [CrossRef] [PubMed]
- European Food Safety Authority and European Centre for Disease Prevention and Control. The European Union One Health 2018 Zoonoses Report. EFSA J. 2019, 17, e05926. Available online: https://www.ecdc.europa.eu/sites/default/files/documents/zoonoses-EU-one-health-2018-report.pdf (accessed on 28 July 2023). [CrossRef]
- Martelli, F.; Sue, K.; Lawes, J. Surveillance for Salmonella in horses in Great Britain. Vet. Rec. 2019, 184, 56–58. [Google Scholar] [CrossRef]
- Leon, I.M.; Lawhon, S.D.; Norman, K.N.; Threadgill, D.S.; Ohta, N.; Vinasco, J.; Scott, H.M. Serotype Diversity and Antimi-crobial Resistance among Salmonella enterica Isolates from Patients at an Equine Referral Hospital. Appl. Environ. Microbiol. 2018, 84, e02829-17. [Google Scholar] [CrossRef]
- Uzal, F.A.; Arroyo, L.G.; Navarro, M.A.; Gomez, D.E.; Asín, J.; Henderson, E. Bacterial and viral enterocolitis in horses: A review. J. Vet. Diagn. Investig. 2022, 34, 354–375. [Google Scholar] [CrossRef]
- van Duijkeren, E.; Sloet van Oldruitenborgh-Oosterbaan, M.M.; Houwers, D.J.; van Leeuwen, W.J.; Kalsbeek, H.C. Equine salmonellosis in a Dutch veterinary teaching hospital. Vet. Rec. 1994, 13, 248–250. [Google Scholar] [CrossRef]
- van Duijkeren, E.; Flemming, C.; Sloet van Oldruitenborgh-Oosterbaan, M.M.; Kalsbeek, H.C.; van der Giessen, J.W. Diagnosing salmonellosis in horses. Culturing of multiple versus single faecal samples. Vet. Q. 1995, 17, 63–66. [Google Scholar] [CrossRef]
- van Duijkeren, E.; Wannet, W.J.; Heck, M.E.; van Pelt, W.; Sloet van Oldruitenborgh-Oosterbaan, M.M.; Smit, J.A. Houwers, D.J. Sero types, phage types and antibiotic susceptibilities of Salmonella strains isolated from horses in The Netherlands from 1993 to 2000. Vet. Microbiol. 2002, 86, 203–212. [Google Scholar] [CrossRef] [PubMed]
- Maddox, T.W.; Clegg, P.D.; Williams, N.J.; Pinchbeck, G.L. Antimicrobial resistance in bacteria from horses: Epidemiology of antimicrobial resistance. Equine Vet. J. 2015, 47, 756–765. [Google Scholar] [CrossRef] [PubMed]
- Walther, B.; Tedin, K.; Lübke-Becker, A. Multidrug-resistant opportunistic pathogens challenging veterinary infection control. Vet. Microbiol. 2017, 200, 71–78. [Google Scholar] [CrossRef] [PubMed]
- Martelli, F.; Sue, K.; Lawes, J. Salmonella and salmonellosis in horses: An overview. Vet. Rec. 2018, 182, 659–660. [Google Scholar] [CrossRef]
- Theelen, M.J.; Wilson, W.D.; Edman, J.M.; Magdesian, K.G.; Kass, P.H. Temporal trends in prevalence of bacteria isolated from foals with sepsis: 1979–2010. Equine Vet. J. 2014, 46, 169–173. [Google Scholar] [CrossRef]
- Mather, A.E.; Reid, S.W.; Maskell, D.J.; Parkhill, J.; Fookes, M.C.; Harris, S.R.; Brown, D.J.; Coia, J.E.; Mulvey, M.R.; Gilmour, M.W.; et al. Distinguishable epidemics of multidrug-resistant Salmonella Typhimurium DT104 in different hosts. Science 2013, 341, 1514–1517. [Google Scholar] [CrossRef]
- Le Hello, S.; Bekhit, A.; Granier, S.A.; Barua, H.; Beutlich, J.; Zając, M.; Münch, S.; Sintchenko, V.; Bouchrif, B.; Fashae, K.; et al. The global establishment of a highly-fluoroquinolone resistant Salmonella enterica serotype Kentucky ST198 strain. Front. Microbiol. 2013, 4, 395. [Google Scholar] [CrossRef]
- Dargatz, D.A.; Traub-Dargatz, J.L. Multidrug-resistant Salmonella and nosocomial infections. Vet. Clin. N. Am. Equine Pract. 2004, 20, 587–600. [Google Scholar] [CrossRef]
- Dallap Schaer, B.L.; Aceto, H.; Caruso, M.A.; Brace, M.A. Identification of predictors of Salmonella shedding in adult horses presented for acute colic. J. Vet. Intern. Med. 2012, 26, 1177–1185. [Google Scholar] [CrossRef]
- Burgess, B.A.; Bauknecht, K.; Slovis, N.M.; Morley, P.S. Factors associated with equine shedding of multidrug-resistant Salmonella enterica and its impact on health outcomes. Equine Vet. J. 2018, 50, 616–623. [Google Scholar] [CrossRef] [PubMed]
- Ekiri, A.B.; MacKay, R.J.; Gaskin, J.M.; Freeman, D.E.; House, A.M.; Giguère, S.; Troedsson, M.R.; Schuman, C.D.; von Chamier, M.M.; Henry, K.M.; et al. Epidemiologic analysis of nosocomial Salmonella infections in hospitalized horses. J. Am. Vet. Med. Assoc. 2009, 234, 108–119. [Google Scholar] [CrossRef]
- Burgess, B.A.; Morley, P.S. Risk factors for shedding of Salmonella enterica among hospitalized large animals over a 10-year period in a veterinary teaching hospital. J. Vet. Intern. Med. 2019, 33, 2239–2248. [Google Scholar] [CrossRef]
- Sanchez, L.C. Disorders of the gastrointestinal system. In Equine Internal Medicine, 4th ed.; Reed, S.M., Warwick, B.W., Sellon, D., Eds.; Elsevier: St. Louis, MO, USA, 2018; pp. 709–842. [Google Scholar]
- Pusterla, N.; Byrne, B.A.; Hodzic, E.; Mapes, S.; Jang, S.S.; Magdesian, K.G. Use of quantitative real-time PCR for the detection of Salmonella spp. in fecal samples from horses at a veterinary teaching hospital. Vet. J. 2010, 186, 252–255. [Google Scholar] [CrossRef] [PubMed]
- Ekiri, A.B.; Long, M.T.; Hernandez, J.A. Diagnostic performance and application of a real-time PCR assay for the detection of Salmonella in fecal samples collected from hospitalized horses with or without signs of gastrointestinal tract disease. Vet. J. 2016, 208, 28–32. [Google Scholar] [CrossRef]
- Ward, M.P.; Alinovi, C.A.; Couëtil, L.L.; Wu, C.C. Evaluation of a PCR to detect Salmonella in fecal samples of horses admitted to a veterinary teaching hospital. J. Vet. Diagn. Investig. 2005, 17, 118–123. [Google Scholar] [CrossRef]
- Cohen, N.D.; Martin, L.J.; Simpson, R.B.; Wallis, D.E.; Neibergs, H.L. Comparison of polymerase chain reaction and micro-biological culture for detection of salmonellae in equine feces and environmental samples. Am. J. Vet. Res. 1996, 57, 780–786. [Google Scholar]
- Kurowski, P.B.; Traub-Dargatz, J.L.; Morley, P.S.; Gentry-Weeks, C.R. Detection of Salmonella spp. in fecal specimens by use of real-time polymerase chain reaction assay. Am. J. Vet. Res. 2002, 63, 1265–1268. [Google Scholar] [CrossRef]
- Adams, D.R.; Stensland, W.R.; Wang, C.H.; O’Connor, A.M.; Trampel, D.W.; Harmon, K.M.; Strait, E.L.; Frana, T.S. Detection of Salmonella enteritidis in pooled poultry environmental samples using a serotype-specific real-time-polymerase chain reaction assay. Avian Dis. 2013, 57, 22–28. [Google Scholar] [CrossRef] [PubMed]
- Brizuela, M.E.; Goñi, S.E.; Cardama, G.A.; Zinni, M.A.; Castello, A.A.; Sommese, L.M.; Farina, H.G. Correlation of SARS-CoV-2 Viral Load and Clinical Evolution of Pediatric Patients in a General Hospital From Buenos Aires, Argentina. Front. Pediatr. 2022, 10, 883395. [Google Scholar] [CrossRef] [PubMed]
- Roy, M.F.; Kwong, J.; Lambert, S.; Massie, S.; Lockhart, S. Prognostic Value and Development of a Scoring System in Horses With Systemic Inflammatory Response Syndrome. J. Vet. Intern. Med. 2017, 31, 582. [Google Scholar] [CrossRef] [PubMed]
- Southwood, L.L.; Lindborg, S.; Myers, M.; Aceto, H.W. Influence of Salmonella status on the long-term outcome of horses after colic surgery. Vet. Surg. 2017, 46, 780–788. [Google Scholar] [CrossRef] [PubMed]
- Moore, M.M.; Feist, M.D. Real-time PCR method for Salmonella spp. targeting the stn gene. J. Appl. Microbiol. 2007, 102, 516–530. [Google Scholar] [CrossRef] [PubMed]
- Piorkowski, G.; Baronti, C.; de Lamballerie, X.; de Fabritus, L.; Bichaud, L.; Pastorino, B.A.; Bessaud, M. Development of generic Taqman PCR and RT-PCR assays for the detection of DNA and mRNA of β-Actin-encoding sequences in a wide range of animal species. J. Virol. Methods. 2014, 202, 101–105. [Google Scholar] [CrossRef]
- Hird, D.W.; Casebolt, D.B.; Carter, J.D.; Pappaioanou, M.; Hjerpe, C.A. Risk factors for salmonellosis in hospitalized horses. J. Am. Vet. Med. Assoc. 1986, 188, 173–177. [Google Scholar]
- Traub-Dargatz, J.L.; Salman, M.D.; Jones, R.L. Epidemiologic study of salmonellae shedding in the feces of horses and potential risk factors for development of the infection in hospitalized horses. J. Am. Vet. Med. Assoc. 1990, 196, 1617–1622. [Google Scholar]
- Kim, L.M.; Morley, P.S.; Traub-Dargatz, J.L.; Salman, M.D.; Gentry-Weeks, C. Factors associated with Salmonella shedding among equine colic patients at a veterinary teaching hospital. J. Am. Vet. Med. Assoc. 2001, 218, 740–748. [Google Scholar] [CrossRef]
- Kilcoyne, I.; Magdesian, K.G.; Guerra, M.; Dechant, J.E.; Spier, S.J.; Kass, P.H. Prevalence of and risk factors associated with Salmonella shedding among equids presented to a veterinary teaching hospital for colic (2013–2018). Equine Vet. J. 2022, 55, 446–455. [Google Scholar] [CrossRef]
- Alinovi, C.A.; Ward, M.P.; Couëtil, L.L.; Wu, C.C. Risk factors for fecal shedding of Salmonella from horses in a veterinary teaching hospital. Prev. Vet. Med. 2003, 12, 307–317. [Google Scholar] [CrossRef]
- Luethy, D.; Feldman, R.; Stefanovski, D.; Aitken, M.R. Risk factors for laminitis and nonsurvival in acute colitis: Retrospective study of 85 hospitalized horses (2011–2019). J. Vet. Intern. Med. 2021, 35, 2019–2025. [Google Scholar] [CrossRef]
- Kopper, J.J.; Willette, J.A.; Kogan, C.J.; Seguin, A.; Bolin, S.R.; Schott, H.C., 2nd. Detection of pathogens in blood or feces of adult horses with enteric disease and association with outcome of colitis. J. Vet. Intern. Med. 2021, 35, 2465–2472. [Google Scholar] [CrossRef]
- Willette, J.A.; Kopper, J.J.; Kogan, C.J.; Seguin, M.A.; Schott, H.C. Effect of season and geographic location in the United States on detection of potential enteric pathogens or toxin genes in horses ≥6-mo-old. J. Vet. Diagn. Investig. 2022, 34, 407–411. [Google Scholar] [CrossRef] [PubMed]
- Hensel, M.; Meason-Smith, C.; Plumlee, Q.D.; Myers, A.N.; Coleman, M.C.; Lawhon, S.; Rodrigues Hoffmann, A.; Rech, R.R. Retrospective Analysis of Aetiological Agents Associated with Pulmonary Mycosis Secondary to Enteric Salmonellosis in Six Horses by Panfungal Polymerase Chain Reaction. J. Comp. Pathol. 2020, 174, 1–7. [Google Scholar] [CrossRef] [PubMed]
- Akinola, S.A.; Mwanza, M.; Ateba, C.N. Occurrence, Genetic Diversities And Antibiotic Resistance Profiles Of Salmonella Serovars Isolated From Chickens. Infect. Drug Resist. 2019, 12, 3327–3342. [Google Scholar] [CrossRef] [PubMed]
- Murray, R.A.; Lee, C.A. Invasion genes are not required for Salmonella enterica serovar typhimurium to breach the intestinal epithelium: Evidence that salmonella pathogenicity island 1 has alternative functions during infection. Infect. Immun. 2000, 68, 5050–5055. [Google Scholar] [CrossRef] [PubMed][Green Version]
- Buehler, A.J.; Wiedmann, M.; Kassaify, Z.; Cheng, R.A. Evaluation of invA Diversity among Salmonella Species Suggests Why Some Commercially Available Rapid Detection Kits May Fail To Detect Multiple Salmonella Subspecies and Species. J. Food Prot. 2019, 82, 710–717. [Google Scholar] [CrossRef]
- El Khatib, K.; Hadeer, R.A.; Saad, A.; Kalaydjian, A.; Fayad, E.; Mahfouz, Y.; Dougnon, V.; Daoud, Z.; Abdel-Massih, R.M. Determination of MIC, MPC, and MSW of Ilex paraguariensis against non-typhoidal Salmonella with identification of the mechanisms of resistance and pathogenicity factors. Microb. Pathog. 2023, 174, 105905. [Google Scholar] [CrossRef]
- Makino, S.; Kurazono, H.; Chongsanguam, M.; Hayashi, H.; Cheun, H.; Suzuki, S.; Shirahata, T. Establishment of the PCR system specific to Salmonella spp. and its application for the inspection of food and fecal samples. J. Vet. Med. Sci. 1999, 61, 1245–1247. [Google Scholar] [CrossRef]
- Del Cerro, A.; Soto, S.M.; Landeras, E.; Gonzalez-Hevia, M.A.; Guijarro, J.A.; Mendoza, M.C. PCR-based procedures in detection and DNA-fingerprinting of Salmonella from samples of animal origin. Food Microbiol. 2002, 19, 567–575. [Google Scholar] [CrossRef]
- Malorny, B.; Hoorfar, J.; Bunge, C.; Helmuth, R. Multicenter validation of the analytical accuracy of Salmonella PCR: Towards an international standard. Appl. Environ. Microbiol. 2003, 69, 290–296. [Google Scholar] [CrossRef]
- Murugkar, H.V.; Rahman, H.; Dutta, P.K. Distribution of virulence genes in Salmonella serovars isolated from man & animals. Indian J. Med. Res. 2003, 117, 66–70. [Google Scholar]
- Ziemer, C.J.; Steadham, S.R. Evaluation of the specificity of Salmonella PCR primers using various intestinal bacterial species. Lett. Appl. Microbiol. 2003, 37, 463–469. [Google Scholar] [CrossRef]
- Hartnack, A.K.; Van Metre, D.C.; Morley, P.S. Salmonella enterica shedding in hospitalized horses and associations with diarrhea occurrence among their stablemates and gastrointestinal-related illness or death following discharge. J. Am. Vet. Med. Assoc. 2012, 240, 726–733. [Google Scholar] [CrossRef]
- Mainar-Jaime, R.C.; House, J.K.; Smith, B.P.; Kamiya, D.Y. Influence of fecal shedding of Salmonella organisms on mortality in hospitalized horses. J. Am. Vet. Med. Assoc. 1998, 213, 1162–1166. [Google Scholar] [PubMed]
- Jiang, Q.; Fu, B.; Chen, Y.; Wang, Y.; Liu, H. Quantification of viable but nonculturable bacterial pathogens in anaerobic di-gested sludge. Appl. Microbiol. Biotechnol. 2013, 97, 6043–6050. [Google Scholar] [CrossRef] [PubMed]
- Porter, W.; Kelley, E.; Bowers, J.; Engelthaler, D. Normalization of SARS-CoV-2 viral load via RT-qPCR provides higher-resolution data for comparison across time and between patients. Virus Res. 2021, 306, 198604. [Google Scholar] [CrossRef] [PubMed]
Disclaimer/Publisher’s Note: The statements, opinions and data contained in all publications are solely those of the individual author(s) and contributor(s) and not of MDPI and/or the editor(s). MDPI and/or the editor(s) disclaim responsibility for any injury to people or property resulting from any ideas, methods, instructions or products referred to in the content. |
© 2023 by the authors. Licensee MDPI, Basel, Switzerland. This article is an open access article distributed under the terms and conditions of the Creative Commons Attribution (CC BY) license (https://creativecommons.org/licenses/by/4.0/).


