Next Article in Journal
The Role of the Pancreatic Stone Protein in Predicting Intra-Abdominal Infection-Related Complications: A Prospective Observational Single-Center Cohort Study
Previous Article in Journal
Remediation Approaches to Reduce Hydrocarbon Contamination in Petroleum-Polluted Soil
 
 
Font Type:
Arial Georgia Verdana
Font Size:
Aa Aa Aa
Line Spacing:
Column Width:
Background:
Article

A Novel Zn2Cys6 Transcription Factor, TopC, Positively Regulates Trichodin A and Asperpyridone A Biosynthesis in Tolypocladium ophioglossoides

1
School of Medicine and the Children’s Hospital, Zhejiang University, Hangzhou 310058, China
2
Institute of Pharmaceutical Biotechnology, Zhejiang University, Hangzhou 310058, China
3
Sir Run Run Shaw Hospital, Zhejiang University School of Medicine, Hangzhou 310058, China
*
Author to whom correspondence should be addressed.
Microorganisms 2023, 11(10), 2578; https://doi.org/10.3390/microorganisms11102578
Submission received: 3 August 2023 / Revised: 7 October 2023 / Accepted: 12 October 2023 / Published: 17 October 2023
(This article belongs to the Section Molecular Microbiology and Immunology)

Abstract

:
Asperpyridone A represents an unusual class of pyridone alkaloids with demonstrated potential for hypoglycemic activity, primarily by promoting glucose consumption in HepG2 cells. Trichodin A, initially isolated from the marine fungus Trichoderma sp. strain MF106, exhibits notable antibiotic activities against Staphylococcus epidermidis. Despite their pharmacological significance, the regulatory mechanisms governing their biosynthesis have remained elusive. In this investigation, we initiated the activation of a latent gene cluster, denoted as “top”, through the overexpression of the Zn2Cys6 transcription factor TopC in Tolypocladium ophioglossoides. The activation of the top cluster led to the biosynthesis of asperpyridone A, pyridoxatin, and trichodin A. Our study also elucidated that the regulator TopC exerts precise control over the biosynthesis of asperpyridone A and trichodin A through the detection of protein–nucleic acid interactions. Moreover, by complementing these findings with gene deletions involving topA and topH, we proposed a comprehensive biosynthesis pathway for asperpyridone A and trichodin A in T. ophioglossoides.

1. Introduction

Filamentous fungi are important producers of structurally diverse secondary metabolites and a huge source of discovering novel and commercially important pharmaceuticals, mycoinsecticides, and antibiotics [1]. Secondary metabolites synthesized by fungi include polyketide, non-ribosomal peptide, terpene, hybrid polyketide-nonribosomal peptide, and alkaloids [2,3,4]. Several potential fungus-based drugs, such as penicillin, echinocandins [5], cyclosporines [6], and lovastatin [7], play crucial roles in the field of therapeutic and biomedical sciences.
With the development of genome sequencing and bioinformatic analyses, numerous biosynthetic gene clusters have been identified within fungal genomes. This suggests that fungi possess the potential to produce a much wider array of natural products than previously anticipated [8,9]. However, most clusters are cryptic or have low expressions under laboratory conditions, preventing the discovery of their associated products. Various activation strategies have been employed to awaken these silent gene clusters, enabling the production of natural products with novel structures and potential pharmaceutical applications. These strategies include optimizing culture conditions, heterologous expression, cocultivation, overexpressing pathway-specific positive regulatory factors, or global regulators, and replacing promoters, among others [10,11,12].
Tolypocladium ophioglossoides are known to produce various secondary metabolites (SMs), including tyrosol, cordyepolA-C, ophiosetin, and balanol [13,14]. There are 31 gene clusters in the genome of T. ophioglossoides [13], indicating its potential for synthesizing a wide range of natural products. However, transcriptome data indicate that most of the gene clusters exhibit low expression levels under laboratory culture conditions. It is intriguing to consider activating these latent gene clusters using appropriate strategies.
The 4-hydroxy pyridones represent a class of polyketide-nonribosomal peptide hybrid compounds with diverse heterocyclic structures and bioactivities [15]. They have been isolated from various sources, including Aspergillus terreus [16], A. flavus [17], A. nidulans [18], and Cylindrocladium ilicicola [19]. This group of compounds includes flavipucines, leporins, aspyridone A, ilicicolin H, and several others. The biosynthesis mechanism of 4-hydroxy pyridones has been extensively studied over the past three decades. Tenellin is the first 4-hydroxy pyridine for which the biosynthesis has been distinctly elucidated [20]. The biosynthesis of 4-hydroxy pyridones originated from the condensation of acetyl-CoA, malonyl CoA, and tyrosine, yielding an intermediate pentacyclic structure known as acryltetramic acid. This transformation is catalyzed via a polyketide synthase–nonribosomal peptide synthetase (PKS-NRPS) and a trans-acting enoyl reductase (ER) [15]. Some PKS-NRPSs exhibit a broader substrate tolerance, exemplified by ApdA and TolA, enabling to the utilization of alternative aromatic amino acids and producing analogs [21]. Subsequently, the pentacyclic structure of acryltetramic acid was transformed into the six-membered 4-hydroxy-2-pyridone catalyzed via a cytochrome P450 enzyme [20]. The compounds containing 4-hydroxy-2-pyridone undergo modification using various postmodification enzymes, including intramolecular Diels–Alder reactions [22], Alder-ene reaction [23], epimerization [19], hydroxylation [22], and so on.
Pyridoxatin and its derivatives contain the 4-hydroxy-3-alkyl pyridones structure, which has been isolated from Acremonium sp (BX86) [24], Chaunopycnis sp (CMB-MF028) [25], and A. bombycis [23]. Bioactive investigations have shown that pyridoxatin and its derivatives exhibit antimalarial [26] and antibiotic activity [27,28], as well as free radical scavenger. Asperpyridone A, a potential hypoglycemic agent, was first isolated from the endophytic fungus Aspergillus sp. TJ2329 [29].
In fungi, the pathway-specific activator is typically localized within the gene cluster, and its overexpression using a strong promoter or knockout is a simple and efficient strategy to activate the cryptic gene cluster. The fungal transcription factor GAL4 contains six highly conserved cysteine residues, forming the motif CX2CX6CX6CX2CX5CX2, commonly referred to as the C6 transcription factor. The GAL4-like Zn2Cys6 binuclear cluster DNA-binding domain is exclusively found in fungi. Transcription factors containing this domain also include STB5, DAL81, CAT8, RDR1, and HAL9 in Saccharomyces cerevisiae. These transcription factors typically play a regulatory role in numerous secondary metabolic biosyntheses. For instance, overexpression of the transcription factor ApdR in A. nidulans has been shown to induce the production of aspyridones A and B [30]. The MokH transcription factor, containing the Zn(II)2Cys6 binuclear DNA binding domain, serves as an activator for monacolin K production.
In this study, we activated a cryptic gene cluster (located on chromosome 4, region 1) via the overexpression of one fungal-specific positive activator TopC in T. ophioglossoides. We identified this gene cluster as the top gene cluster which could simultaneously produce pyridoxatin, trichodin A, and asperpyridone A. We first ascertained that TopC positively regulates the transcription of relative genes by binding to promoters of these genes within the top cluster.

2. Materials and Methods

2.1. Strain and Culture Conditions

T. ophioglossoides and its transformants were cultivated on potato dextrose agar (PDA) or COB (5% polypeptone, 5% yeast extract, 1% MgSO4·7H2O, 0.5% KH2PO4, 3% sucrose, pH 5.5) to obtain the compounds at 26 °C. E. coli strains were grown in Luria-Bertani (LB) or on LB agar plates at 37 °C for 12 h. YEP medium (1% peptone, 1% yeast extract, 0.5% NaCl, pH 7.0) was used for the culture of Agrobacterium tumefaciens AGL1 with appropriate antibiotics if needed (Table S1).

2.2. T. ophioglossoides Genomic DNA Extraction

T. ophioglossoides was cultured in COB medium for a duration of 4 days. Subsequently, the filamentous mycelium was harvested using miracloth and thoroughly rinsed with ultrapure sterile water. Genomic DNA was then extracted from the mycelia. Following this, the precipitate and supernatant were effectively separated through centrifugation at a rate of 12,000 rpm for approximately 5 min. A volume of 500 μL of supernatant was carefully transferred to a fresh Eppendorf tube, to which an equivalent volume of isopropanol was promptly added. This mixture was left to stand at room temperature for a period of 10 min. Subsequently, the supernatant was decanted, and the sediment underwent two additional washes with 75% ethanol.

2.3. Construction and Cloning of Fungal Recombinant Plasmids

Genomic DNA from T. ophioglossoides was prepared as described. Primers were synthesized using GENERAY (Hangzhou, China). The plasmid pFGL-815N, a shuttle expression vector compatible with both E. coli and A. tumefaciens, was utilized. The sur resistance gene fragment was obtained via PCR amplification with primers sur-F/R. This fragment was subsequently inserted into the shuttle plasmid pFG-815N (digestion with restriction enzymes EcoR I and Kpn I) using cloning enzymes, yielding the plasmid pFG-SUR. The TEF promoter for the overexpression gene, derived from the translation elongation factor tef gene, is amplified via PCR using primers pTEF-F/R. The terminator of the T-amyB gene, which serves as the terminator for transcription activation factors, is amplified using primers T-amyB-F/R. The two promoters and terminators were then integrated into the constructed pFG-SUR plasmid (digestion with Kpn I), leading to the formation of the overexpression of plasmid pTEFTAS-2P+2T.
The topC gene is amplified using primers topC-p-F/R from T. ophioglossoides genomic DNA. The amplified topC gene is then cloned into the pTEFTAS-2P+2T plasmid, which is digested with Spe I, resulting in the shuttle plasmid pTEFTAS-topC overexpression. The primers and plasmids used in this procedure are listed in Tables S2 and S3 and Figure S1.

2.4. Transformation of T. ophioglossoides

T. ophioglossoides transformation was performed via the ATMT method as described previously [31].
The transformants of T. ophioglossoides need to be subcultured for three to four generations to form homozygous mutants. A list of all strains constructed in this study is provided in Table S1.

2.5. High Performance Liquid Chromatography (HPLC) Analysis and Liquid Chromatog Raphy-Mass Spectrometry (LC-MS) Analysis of Secondary Metabolites

The transformant strains were transferred into 100 mL COB medium in a 250 mL flask and cultured at 26 °C and 180 rpm for 14 days. Then, the culture broth and mycelia were separated via filtration. The culture broth was extracted three times with an equal volume of ethyl acetate and the extracts were analyzed to determine metabolite changes via HPLC. The mycelia were disrupted two times with methanol under ultrasonic conditions. The extracts of the mycelia were directly analyzed using HPLC between 200 and 640 nm.
HPLC analysis was carried out using an Agilent 1260 Infinity system with a DAD detector and a reversed-phase C18 column (Agilent Eclipse Plus C18, 4.6 × 250 mm, 5 µm, Agilent Technologies, Hangzhou, China). Chromatographic conditions were as follows: solvents: (A) water + 1% Formic acid (FA), and (B) acetonitrile; solvent gradient 5% B in the first 5 min, increased to 100% at 45 min, to 5% B at 46 min, followed by 4 min with 5% B. This runs at a flow rate of 1 mL/min, a column temperature of 40 °C and UV detection at 200 to 640 nm.
LC-MS analysis was conducted using an Agilent 1200 HPLC system (Agilent, Santa Clara, CA, USA) and a Thermo Finnigan LCQDeca XP Max LC/MS system (Thermo Finnigan, Waltham, MA, USA). The column employed was Agilent Eclipse Plus C18, while the mobile phases A and B consisted of H2O (with 0.1% formic acid) and acetonitrile (with 0.1% formic acid), respectively. The analysis involved a linear gradient from 5% to 100% (v/v) B over a duration of 50 min.

2.6. Compound Purification

HPLC purification was performed using a semi-preparative reverse-phase C18 column.
A flow rate of 2.5 mL/min was employed with a solvent gradient system consisting of acetonitrile and water containing 0.1% formic acid. Absorbance was continuously monitored at wavelengths of 280 nm and 210 nm. The purification of compounds was carried out as follows: Compound 1: purified via semipreparative HPLC using ACN-H2O (0.1% formic acid) in a ratio of 59:41 v/v as the mobile phase, resulting in a yield of 1 (1.5 mg, 36 min). Compound 2: purified via semipreparative HPLC using ACN-H2O (0.1% formic acid) in a ratio of 52.5:47.5 v/v as the mobile phase, resulting in a yield of 2 (160 mg, 28 min). Compound 3: purified via semipreparative HPLC using ACN-H2O (0.1% formic acid) in a ratio of 38.5:61.5 v/v as the mobile phase, resulting in a yield of 3 (2 mg, 58 min). Compound 4: purified via semipreparative HPLC using ACN-H2O (0.1% formic acid) in a ratio of 52.5:47.5 v/v as the mobile phase, resulting in a yield of 4 (7 mg, 36 min). Compound 5: purified via semipreparative HPLC using ACN-H2O (0.1% formic acid) in a ratio of 27.5:72.5 v/v as the mobile phase, resulting in a yield of 5 (8.5 mg, 34 min). Compounds 6a and 6b: purified via semipreparative HPLC using ACN-H2O (0.1% formic acid) in a ratio of 35:65 v/v as the mobile phase, resulting in yields of 6a and 6b (80 mg, 25 min).

2.7. Quantitative Real-Time PCR (qRT-PCR) Analysis of Gene Expression

The mycelia of T. ophioglossoides were collected following 4 days of cultivation in COB liquid medium at 26 °C and 180 rpm. Total RNA extraction was performed using HiPure Total RNA Mini Kit (Magen, Guangzhou, China). Reverse transcription was conducted using HiScript III 1st Strand cDNA Synthesis Kit (Vazyme, Nanjing, China). The resulting cDNA was subjected to real-time quantitative PCR (qRT-PCR) for transcriptional analysis employing specific primers that generated PCR products of approximately 200 bp (Table S3). qRT-PCR analysis of the cluster gene transcription was executed using Taq Pro Universal SYBR qPCR Master Mix (Vazyme, Nanjing, China). The tef gene, which encodes the translation elongation factor and maintains a constant expression level, was employed as an internal control [13]. The qRT-PCR reactions were initiated by incubating the samples at 95 °C for 1 min followed by 40 cycles at 95 °C for 15 s, 55 °C for 15 s, and 68 °C for 20 s. All samples were run in triplicate. The threshold cycle (Ct) was calculated from the program. The 2−∆∆Ct method was used to quantify the relative changes in gene expression [31].

2.8. Heterologous Expression and Purification of TopC-DBD in E. coli

A DNA fragment encoding the TopC DNA binding domain (topC-DBD) was amplified from T. ophioglossoides cDNA and inserted into the pET-32a vector (digestion with EcoR I) via in-fusion cloning technology. The E. coli BL21 (DE3) cells harboring the expression plasmid were capable of producing the target TopC-DBD protein upon induction with 0.1 mM IPTG. The induced cells were incubated at 16 °C for 16 h. Affinity purification using Ni-agarose (Qiagen, Hilden, Germany) was employed to isolate the target TopC-DBD protein. The concentration of TopC-DBD was analyzed using a Bradford assay.

2.9. Electrophoretic Mobility Shift Assay (EMSA)-Based Affinity Analysis

DNA probes corresponding to topAH, topB, topC, topDE, and topFG were generated by amplifying the respective genomic segments from T. ophioglossoides. Primers with 5′-end 6-carboxyfluorescein (6-FAM) labels were used for this purpose (Table S3). The promoter of the g8899 gene in the T. ophioglossoides genome was selected as a non-specific promoter for use as a blank control. As the negative control (Free vector probe), 1 μg of the promoter of g8899 was amplified from T. ophioglossoides genomic DNA using related primers. Detection of the FAM-labeled probes was carried out using the LAS4000 machine. The Electrophoretic Mobility Shift Assay (EMSA) was conducted to confirm the interaction between TopC-DBD and the DNA probe, as previously reported [32].

3. Results

3.1. Characterization of Pathway-Specific Regulator TopC of the Cryptic Top Cluster in T. ophioglossides

Based on the analysis of the genome sequence of T. ophioglossoides for all gene clusters, a gene cluster containing a PKS-NRPS hybrid enzyme was found. The transcriptome analysis showed that this gene cluster (top) was a cryptic gene cluster, with its constituent genes displaying low expression levels under our laboratory fermentation conditions (Table S4). According to antiSMASH prediction, the top gene cluster, homologous to the tol gene cluster, encompasses a PKS-NRPS hybrid enzyme (topE) and various modified enzymes. These enzymes include one hypothetical methyltransferase (topB), a short-chain dehydrogenases/reductases (topH), three cytochrome p450 monooxygenases (topA, F, G), one enoyl reductase (topD), and one C6 transcription factor (topC), which are likely involved in the synthesis of complex natural products (Table S4 and Figure S2).
Within this cluster, our investigation unveiled the presence of a putative activator gene named topC. This gene encodes a fungal cluster-specific C6 transcriptional factor. (Figure 1), which likely plays a role in regulating the expression of cluster genes. The full length of the TopC protein contains 802 amino acids and has a molecular weight of approximately 87.76 kDa. Bioinformatics analysis indicated that TopC is a typical multidrug-resistant transcription factor in fungi. It possesses an N-terminal CAL4-type Zn2Cys6 DNA-binding domain and a C-terminal fungal transcription factor regulatory middle homology domain (Figure 1 and Figure S3).
To further explore the relationship of TopC, we conducted a phylogenetic analysis. We gathered nine Zn2Cys6 transcription factors exhibiting significant similarity to the TopC amino acid sequence. These factors were obtained from the NCBI protein database via a blast alignment search. Notable transcription factors in this group include yanR (Accession no. G3Y415.1) from A. niger, GAL4 (Accession no. QGN14419.1) from Saccharomyces, AflR (Accession no. P43651.3) from A. parasiticus, MdpE (Accession no. AN0148) from A. nidulans FGSC A4, AnTF (Accession no. AAC49195) from A. nidulans, MlcR (Accession no. Q8J0F2.1) from P. citrinum, MokH (Accession no. Q3S2U4.1) from Monascus pilosus, LovE (Accession no. Q0C8L8.1) from A. terreus NIH2624, and ApdR (Accession no. XP_045268485.1) from Colletotrichum gloeosporioides.
Our phylogenetic analysis suggests that TopC forms a distinct clade with A. nidulan ApdR, a recognized transcriptional activator with a pivotal role in aspyridone A and B biosynthesis in A. nidulan [33].
Given the prevailing role of C6 transcriptional factors as positive regulators, we devised an expression vector for the overexpression of topC. This vector drove the activation of the target gene cluster under the control of the strong constitutive promoter pTEF, a strategy previously documented [13]. Consequently, we generated the topCOE mutant. The identity of these transformants was confirmed through PCR analysis.
Notably, the topCOE mutants exhibited a significantly slower growth rate and displayed a more pronounced yellow pigmentation on PDA medium in comparison to the WT strains (Figure S4).
Examination of HPLC chromatograms from topCOE cultures revealed a markedly distinct metabolite profile compared to that of the WT strain. Six previously unobserved peaks (1–6) were detected and subsequently characterized within these new HPLC peaks (Figure 2). These findings strongly suggest the activation of the target gene cluster upon topC overexpression.

3.2. Structural Determination of Compounds 16

To characterize the chemical structures of these metabolites produced by the transformants, large-scale fermentation in liquid culture was carried out to isolate sufficient amounts of these compounds (Figure 3 and Table S5).
Compound 1 was isolated as a light yellow amorphous solid. It has a molecular formula of C21H27NO4 based on the positive mode of HRESIMS. 1H-NMR data indicate that the structure of compound 1 is tolypoalbin, which could be isolated from T. album TAMA 479 [34] (Figures S5 and S6).
Compound 2 was isolated as a light yellow powder. It has a molecular formula of C21H27NO5 based on the negative mode of HRESIMS. 1H and 13C NMR data indicate that the structure of compound 2 is consistent with that of compound F-14329 isolated from Chaunopycnis sp. [25] (Table S6 and Figures S7–S9).
Compound 3, a white amorphous solid, has a molecular weight of 339.1898 (m/z 340.1898, [M + H]+) determined via HRESIMS, indicating the molecular formula of C21H25NO3. The UV, molecular formular, and 1H NMR data that indicate compound 3 have the same structure as trichodin A [28] (Table S7 and Figures S10 and S11).
Compound 4 was isolated as colorless massive crystals, which have the molecular formular of C16H23NO3 via analysis of the HRESIMS spectrum. The UV and molecular formular data revealed that compound 4 has a similar skeleton structure to compound 6. 1H and 13C NMR data of compound 4 were identical to those of asperpyridone A [29] (Table S8 and Figures S12–S14).
Compound 5 was isolated as orange powder, of which the molecular formular was determined as C21H27NO6 via HRESIMS spectrum analysis. The UV and molecular formular data of 5 were similar to those of F-14329, indicating that compound 5 has a similar structure to compound 2. Subsequently, the structure of compound 5 was determined via 1H and 13C NMR spectra, indicating that compound 5 was chaunolidine B (Table S9 and Figures S15–S17).
Compounds 6a and 6b, light yellow powders, have a molecular weight of 263.1456 (m/z 262.1456, [M-H]) determined via HRESIMS, indicating the molecular formula of C15H21NO3; the ratio of 6a to 6b is approximately 5:3 in DMSO (Table S10 and Figures S18–S20). The structure of compounds 6a and 6b was elucidated as pyridoxatin based on 1H and 13C NMR data, which is a free radical scavenger, and could inhibit lipid peroxidation induced by free radicals in rat liver microsomes free from vitamin E [24].
Pyridoxatin and trichodin A with asperpyridone A are the known unusual pyridone alkaloids. The biosynthesis gene cluster of pyridoxatin, pdx, was identified, while the gene clusters responsible for synthesizing trichodin A and asperpyridone A remain elusive. Interestingly, these compounds were found to accumulate in topCOE transformants, indicating that TopC has the capacity to simultaneously regulate the biosynthesis of these compounds. Further investigation through a literature search revealed that the gene clusters responsible for biosynthesis are mainly tol, pdx, and lep. Additionally, local blast analysis uncovered that within the T. ophioglossoides genome, the topE gene exhibits a remarkably high similarity to the core genes of these clusters, particularly tolA, with a similarity of up to 90%. Based on these findings, we postulate that the top gene cluster likely represents a multifunctional biosynthetic gene cluster responsible for producing pyridoxatin, trichodin A, and asperpyridone A.

3.3. Transcriptional Analysis of Top Gene Cluster

The top gene cluster, consisting of eight genes predicted by antiSMASH, was experimentally validated. To elucidate the gene expression dynamics within this cluster and delineate its boundaries, we conducted transcriptional analysis on the generated transformants using qRT-PCR (Figure S21). Our findings revealed a substantial increase in the transcription levels of topA through topH in the topCOE transformants when compared to the wild-type (WT) strain. Notably, other genes exhibited no significant alterations in their expression patterns (Figure 4). These results provide compelling evidence that the top gene cluster spans from topA to topH, encompassing eight genes across approximately 45 kilobases. Furthermore, this cluster can be selectively upregulated through the overexpression of the regulatory gene topC.

3.4. TopC Positively Regulates Pyridoxatin, Trichodin A, and Asperpyridone A Biosynthesis by Binding All the Promoters of the Top Gene Cluster

The mechanism governing the accumulation of six compounds resulting from the overexpression of the topC gene has hitherto remained elusive. To address this knowledge gap, we conducted in vitro Electrophoretic Mobility Shift Assay (EMSA) experiments, aiming to decipher the intricate interplay between the TopC protein and the promoters of the aforementioned top structural genes.
GAL4, a well-known transcription factor, typically recognizes and binds to gene promoters through its N-terminal DNA-binding domain while activating transcription factors via its C-terminal activation domain. Therefore, we endeavored to selectively express the N-terminal DNA-binding domain (DBD) of TopC in E. coli BL21, facilitated by Trx soluble tag proteins. Subsequently, the purified fusion protein, with a molecular weight of 32 kDa, was subjected to the ensuing DNA binding experiments (Figure 5). We amplified five distinct DNA probe fragments from T. ophioglossoides genomic DNA, utilizing FM-labeled primers. These five DNA probes, along with a promoter of an un-specific gene selected from the T. ophioglossoides genome, were then subjected to interaction studies with TopC-DBD protein. The results of the EMSA experiments unequivocally demonstrated the binding affinity of TopC-DBD protein to all five probes in vitro, discernibly differentiating them from the control group featuring a promoter of an un-specific gene (Free vector probe) (Figure 5 and Figure S22). Remarkably, as the protein concentration increased, the probes exhibited a higher frequency of binding interactions and migrated shorter distances within the gel, ultimately forming discernable delayed probe-TopC-DBD complex bands. As depicted in Figure 5, it is apparent that the protein’s affinity for the topB promoter is notably lower compared to its binding affinity with the promoters of other genes within this cluster. Notably, when binding to promoters designated as C or A–H, a staircase emerged, characterized by a progressive increase in size, suggesting a looser binding of the TopC protein. Significantly, EMSA experiments involving C or A–H probes provided compelling evidence of their ability to bind to TopC-DBD.
Building upon these outcomes, we can postulate a regulatory mechanism for TopC. In this proposed mechanism, TopC directly engages with the upstream promoter regions of all genes encompassed within the top gene cluster, thereby augmenting the expression levels of the relevant genes.
Based on our experimental findings, we hypothesize the existence of a conserved binding site for the TopC protein within the promoter regions of all genes. To explore this further, we employed the MEME suite tool (https://meme-suite.org accessed on 20 April 2023) to identify potential DNA binding motifs within these promoter regions. Through MEME-ChIP analysis, we successfully pinpointed a potential TopC consensus binding site with the highest score, ATCGTTGTGTTTATTTGTTT, which was consistent across five promoter regions.

3.5. Identification of Putative Biosynthetic Pathway of Pyridoxatin, Trichodin A, and Asperpyridone A in T. ophioglossoides

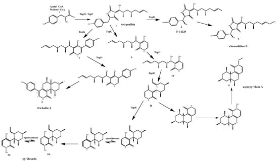
To validate our aforementioned hypothesis concerning this gene cluster, we employed homologous recombination to delete the key short-chain dehydrogenase gene, topH within the topCOE background strain (Figure S23). As depicted in the culture broth profile of the mutant topCOEΔtopH (Figure 6), compounds 3, 4, and 6 were no longer detectable, strongly suggesting their synthesis through the top gene cluster. This gene cluster, responsible for the production of trichodin A and asperpyridone A, represents a novel discovery in T. ophioglossoides. We delved into the biosynthetic pathways of this top biosynthetic gene cluster through gene knockout experiments, metabolite identification, and the study of homologous enzymes. A homologous gene cluster, tol, was identified via homology alignment. The core PKS-NRPS enzyme TopE/TolA, enoyl reductase TopD/TolC, cytochrome p450 TopF/TolD, and cytochrome p450 TopG/TolB, respectively, share 90.1%, 81%, 82.3%, and 96.8% sequence similarity at the amino acid level (Table S4), indicative of their likely identical functions [15]. Furthermore, TopB, an annotated enzyme in this gene cluster, is predicted to be an o-methyltransferase (OMT) with a sequence homology of 99.6% similarity to AdxI, a protein previously implicated in pyridoxatin, trichodin A, and asperpyridone A biosynthesis [23]. Finally, SDR TopH is the putative ketoreductase, exhibiting an overall homology of 91.7% with PdxG, while TopA shares an 89.6% homology with PdxF within the pdx gene cluster, suggesting potentially similar functions.
In the culture broth profile of the topCOEΔtopH mutant, compounds 3, 4, 5, and 6 were conspicuously absent, while two peaks, 7 and 12, were detected, albeit in trace amounts. Due to the extremely limited yield of compound 12, we encountered difficulties in obtaining a sufficient quantity for nuclear magnetic resonance (NMR) analysis. However, we successfully determined its molecular formula as C15H21NO4 via LC-MS/MS. The UV spectrum of compound 12 closely resembled that of tolypyridone D, a known compound in the literature, with the only difference being an additional hydroxyl group in compound 12 compared to tolypyridone D (9) [15]. Therefore, we postulate that compound 12 represents a derivative of tolypyridone D (Figure 6 and Figure 7, Figures S24 and S25), suggesting that TopH may possess a broader substrate tolerance compared to PdxG [23].
In the metabolite profile of topCOEΔtopA, compounds 4, 5, and 6 were notably absent, and compound 9, along with its derivatives, was not detected, implying a role for TopA in the biosynthesis of intermediate 9 (Figure S26). Further investigations are warranted to elucidate the precise catalytic mechanism of TopA.
In the knockout strains of topCOEΔtopH and topCOEΔtopA, the production of compound 5 was undetectable. Compound 5 naturally exhibits a low yield in the topCOE strain. It is believed to be generated through a single hydroxylation step from compound 2, as indicated by their molecular formulas. The minimal yield of compound 5 led us to speculate that this reaction might occur through a minor pathway with low enzyme expression or potentially be catalyzed by an enzyme external to the cluster.
In summary, we propose a biosynthetic pathway for pyridoxatin, trichodin A, and asperpyridone A in T. ophioglossoides, as depicted in Figure 7, building upon previous biosynthesis studies [15,23].

4. Discussion

Filamentous fungi possess the remarkable capacity to produce a diverse array of structurally intricate secondary metabolites with multifaceted biological activities. Among these, pyridone alkaloids constitute a highly diverse and bioactive subgroup [16]. However, the majority of gene clusters responsible for pyridone alkaloid biosynthesis remain enigmatic. Notably, asperpyridone A, an uncommon pyridone alkaloid initially isolated from the endophytic fungus Aspergillus sp. TJ23, has exhibited a remarkable glucose uptake effect in liver HepG2 cells, surpassing metformin in efficacy [29]. Trichodin A, on the other hand, was derived from the marine fungus Trichoderma sp. MF106 and demonstrated antibiotic properties against the clinically significant microorganism, Staphylococcus epidermidis [28]. Yet, our understanding of the regulatory mechanisms governing their biosynthesis remains elusive, thereby impeding their potential clinical applications.
Various Zn(II)2Cys6-type zinc finger transcription factors (TFs) have been characterized across different filamentous fungi, including M. pilosus [35], A. nidulans [33], and P. citrinum [36], and are presumed to serve as positive regulators of secondary metabolite biosynthesis. Here, we highlight a latent T. ophioglossoides PKS-NRPS gene cluster harboring a putative regulator, TopC, possessing a GAL4-type Zn2Cys6 binuclear cluster DNA-binding domain. In our investigation, TopC emerges as a key positive regulator governing the biosynthesis of asperpyridone A and trichodin A. Overexpression of the regulatory gene topC homologously triggers the activation of the cryptic gene cluster top, resulting in the production of asperpyridone A and trichodin A. TopC exerts direct transcriptional activation of the structural genes within the top cluster by binding to their respective promoters.
It is important to note that microbial metabolic regulation operates as a complex network, and the expression of the topC gene may be subject to control by other upstream regulatory proteins. In typical growth conditions, secondary metabolites are non-essential for microbial growth, and gene clusters involved in secondary metabolism often remain in a repressed or silenced state. In response to specific environmental cues or stressors, microbes initiate signaling pathways that activate upstream regulatory proteins. Subsequently, these upstream regulators further stimulate downstream proteins, including TopC. TopC, in turn, binds to the promoters of genes within the top cluster, recruits transcription-associated enzymes, and instigates gene transcription. This intricate process warrants further exploration. In our study, we have provided the initial characterization of the gene cluster responsible for asperpyridone A and trichodin A biosynthesis in fungi, shedding light on their biosynthetic pathway through an elucidation of the deduced gene functions within the top biosynthetic gene cluster.

5. Conclusions

In summary, our study unveiled a previously unrecognized biosynthetic gene cluster, named top, responsible for pyridone alkaloid production in T. ophioglossoides through comprehensive genome analysis. Notably, the overexpression of the pathway-specific regulatory gene, topC, residing within the top cluster, resulted in the activation of this cryptic gene cluster. Consequently, this led to the substantial accumulation of three significant pyridone alkaloids: asperpyridone A, trichodin A, and pyridoxatin. Our investigations unveiled TopC as a positive regulator governing the biosynthesis of pyridoxatin, trichodin A, and asperpyridone A. This regulatory protein achieves this by directly recognizing the promoter regions of all the top gene cluster’s constituent genes and binding to them. Furthermore, we made a pioneering discovery by identifying the asperpyridone A and trichodin A biosynthetic gene cluster in T. ophioglossoides through targeted key enzyme gene deletions. Our proposed biosynthesis mechanisms for these compounds emerged from a thorough analysis of gene deletions, metabolite profiles, and the functions of homologous enzymes. Notably, we identified an intriguing short-chain dehydrogenase, TopH, which exhibits remarkable flexibility in reducing various ketones, adding an additional layer of complexity to the biosynthetic pathway.

Supplementary Materials

The following supporting information can be downloaded at: https://www.mdpi.com/article/10.3390/microorganisms11102578/s1, Figure S1: The map of vector using in this study; Figure S2: top gene cluster and its homogenous clusters; Figure S3: Predicted domain of TopC protein; Figure S4: The broths of WT and topCOE strains after fermentation for 12 days; Figure S5: 1H NMR spectrum of 1 (tolypoalbin) in DMSO-d6 (600 MHz); Figure S6: HRESIMS report of 1 (tolypoalbin); Figure S7: 1H NMR spectrum of 2 (F-14329) in DMSO-d6 (600 MHz); Figure S8: 13C NMR spectrum of 2 (F-14329) in DMSO-d6 (150 MHz); Figure S9: HRESIMS report of 2 (F-14329); Figure S10: 1H NMR spectrum of 3 (trichodin A) in DMSO-d6 (600 MHz); Figure S11: HRESIMS report of 3 (trichodin A); Figure S12: 1H NMR spectrum of 4 (asperpyridone A) in DMSO-d6 (600 MHz); Figure S13: 13C NMR spectrum of 4 (asperpyridone A) in DMSO-d6 (150 MHz); Figure S14: HRESIMS report of 4 (asperpyridone A); Figure S15: 1H NMR spectrum of 5 (chaunolidine B) in DMSO-d6 (600 MHz); Figure S16: 13C NMR spectrum of 5 (chaunolidine B) in DMSO-d6 (150 MHz); Figure S17: HRESIMS report of 5 (chaunolidine B); Figure S18: 1H NMR spectrum of 6 (pyridoxatin) in DMSO-d6 (600 MHz); Figure S19: 13C NMR spectrum of 6 (pyridoxatin) in DMSO-d6 (150 MHz); Figure S20: HRESIMS report of 6 (pyridoxatin); Figure S21: Determination of the top cluster borders by RT-PCR; Figure S22: PCR amplification with different probes. M: Generuler Marker; Figure S23: Deletion of topH in topCOE; Figure S24: HRESIMS report of 7 (tolypyridone C); Figure S25: HRESIMS report of 12; Figure S26: Deletion of topA in topCOE; Table S1: Strains used in this work; Table S2: Plasmids used in this study; Table S3: Primers used in this study; Table S4: Putative annotation of genes in top cluster; Table S5: HR-ESI-MS data for isolated compounds; Table S6: NMR data of F-14329; Table S7: NMR data of trichodin A; Table S8: NMR data of asperpyridone A; Table S9: NMR data of chaunolidine B; Table S10: NMR data of pyridoxatin.

Author Contributions

Conceptualization, X.-A.C. and X.L.; methodology, X.L.; software, X.L.; validation, X.-A.C., R.-Q.L., Q.-X.Z. and Y.-Q.L.; formal analysis, X.L.; investigation, X.-A.C. and X.L.; resources, Y.-Q.L.; data curation, X.L.; writing—original draft preparation, X.L.; writing—review and editing, X.L.; visualization, X.-A.C. and X.L.; supervision, X.-A.C.; project administration, X.-A.C.; funding acquisition, X.-A.C. All authors have read and agreed to the published version of the manuscript.

Funding

This research was financially supported by the National Key R&D Program of China grant numbers “2018YFA0903200” and “2021YFC2100600”.

Data Availability Statement

The data presented in this study are available upon request from the corresponding author. The RNA-seq data are not publicly available because other data from these whole-genome transcriptomes are being used for other analyses to be published independently of this one.

Acknowledgments

We also acknowledge the support from School of Medicine and the Children’s Hospital, Zhejiang University, Hangzhou, 310058, China. Qi Luo, Guangdong Provincial Key Laboratory of Chinese Medicine Pharmaceutics, School of Traditional Chinese Medicine, Southern Medical University, Guangzhou 510515, China.

Conflicts of Interest

The authors declare no conflict of interest. The funders had no role in the design of this study; in the collection, analyses, or interpretation of data; in the writing of the manuscript; or in the decision to publish the results.

References

  1. Hoffmeister, D.; Keller, N.P. Natural products of filamentous fungi: Enzymes, genes, and their regulation. Nat. Prod. Rep. 2007, 24, 393–416. [Google Scholar] [CrossRef] [PubMed]
  2. Newman, D.J.; Cragg, G.M. Natural products as sources of new drugs over the nearly four decades from 01/1981 to 09/2019. J. Nat. Prod. 2020, 83, 770–803. [Google Scholar] [CrossRef] [PubMed]
  3. Keller, N.P.; Turner, G.; Bennett, J.W. Fungal secondary metabolism—From biochemistry to genomics. Nat. Rev. Microbiol. 2005, 3, 937–947. [Google Scholar] [CrossRef] [PubMed]
  4. Lazarus, C.M.; Williams, K.; Bailey, A.M. Reconstructing fungal natural product biosynthetic pathways. Nat. Prod. Rep. 2014, 31, 1339–1347. [Google Scholar] [CrossRef] [PubMed]
  5. Huttel, W. Echinocandins: Structural diversity, biosynthesis, and development of antimycotics. Appl. Microbiol. Biotechnol. 2021, 105, 55–66. [Google Scholar] [CrossRef] [PubMed]
  6. Bills, G.; Li, Y.; Chen, L.; Yue, Q.; Niu, X.M.; An, Z. New insights into the echinocandins and other fungal non-ribosomal peptides and peptaibiotics. Nat. Prod. Rep. 2014, 31, 1348–1375. [Google Scholar] [CrossRef] [PubMed]
  7. Barrios-Gonzalez, J.; Perez-Sanchez, A.; Bibian, M.E. New knowledge about the biosynthesis of lovastatin and its production by fermentation of Aspergillus terreus. Appl. Microbiol. Biotechnol. 2020, 104, 8979–8998. [Google Scholar] [CrossRef] [PubMed]
  8. Keller, N.P. Fungal secondary metabolism: Regulation, function and drug discovery. Nat. Rev. Microbiol. 2019, 17, 167–180. [Google Scholar] [CrossRef]
  9. Tang, S.; Zhang, W.; Li, Z.; Li, H.; Geng, C.; Huang, X.; Lu, X. Discovery and Characterization of a PKS-NRPS Hybrid in Aspergillus terreus by Genome Mining. J. Nat. Prod. 2020, 83, 473–480. [Google Scholar] [CrossRef]
  10. Ji, Z.Y.; Nie, Q.Y.; Yin, Y.; Zhang, M.; Pan, H.X.; Hou, X.F.; Tang, G.L. Activation and characterization of cryptic gene cluster: Two series of aromatic polyketides biosynthesized by divergent pathways. Angew. Chem. Int. Ed. Engl. 2019, 58, 18046–18054. [Google Scholar] [CrossRef]
  11. Yuan, S.W.; Chen, S.H.; Guo, H.; Chen, L.T.; Shen, H.J.; Liu, L.; Gao, Z.Z. Elucidation of the complete biosynthetic pathway of phomoxanthone A and identification of a para-para selective phenol coupling dimerase. Org. Lett. 2022, 24, 3069–3074. [Google Scholar] [CrossRef]
  12. Gang, W.; Ran, H.; Fan, J.; Keller, N.P.; Liu, Z.; Wu, F.; Yin, W.B. Fungal-fungal cocultivation leads to widespread secondary metabolite alteration requiring the partial loss-of-function VeA1 protein. Sci. Adv. 2022, 8, eabo6094. [Google Scholar]
  13. He, X.; Zhang, M.; Guo, Y.Y.; Mao, X.M.; Chen, X.A.; Li, Y.Q. Revelation of the balanol biosynthetic pathway in Tolypocladium ophioglossoides. Org. Lett. 2018, 20, 6323–6326. [Google Scholar] [CrossRef] [PubMed]
  14. Sun, Y.; Zhao, Z.; Feng, Q.; Xu, Q.; Lü, L.; Liu, J.-K.; Zhang, L.; Wu, B.; Li, Y.-Q. Unusual spirodecane sesquiterpenes and a fumagillol analogue from Cordyceps ophioglossoides. Helv. Chim. Acta 2013, 96, 76–84. [Google Scholar] [CrossRef]
  15. Zhang, W.Y.; Zhong, Y.; Yu, Y.; Shi, D.F.; Huang, H.Y.; Tang, X.L.; Wang, Y.H.; Chen, G.D.; Zhang, H.P.; Liu, C.L.; et al. 4-Hydroxy pyridones from heterologous expression and cultivation of the native host. J. Nat. Prod. 2020, 83, 3338–3346. [Google Scholar] [CrossRef] [PubMed]
  16. Wei, G.; Shu, X.; Yao, Y.; Zhang, K.; Zhang, J.; Gao, S.S. Heterologous production of unnatural flavipucine family products provides insights into flavipucines biosynthesis. Org. Lett. 2021, 23, 7708–7712. [Google Scholar] [CrossRef] [PubMed]
  17. Cary, J.W.; Uka, V.; Han, Z.; Buyst, D.; Harris-Coward, P.Y.; Ehrlich, K.C.; Wei, Q.; Bhatnagar, D.; Dowd, P.F.; Martens, S.L.; et al. An Aspergillus flavus secondary metabolic gene cluster containing a hybrid PKS-NRPS is necessary for synthesis of the 2-pyridones, leporins. Fungal. Genet. Biol. 2015, 81, 88–97. [Google Scholar] [CrossRef] [PubMed]
  18. Qiao, K.; Chooi, Y.H.; Tang, Y. Identification and engineering of the cytochalasin gene cluster from Aspergillus clavatus NRRL 1. Metab. Eng. 2011, 13, 723–732. [Google Scholar] [CrossRef] [PubMed]
  19. Zhang, Z.; Jamieson, C.S.; Zhao, Y.L.; Li, D.; Ohashi, M.; Houk, K.N.; Tang, Y. Enzyme-catalyzed inverse-electron Demand Diels-Alder reaction in the biosynthesis of antifungal Ilicicolin H. J. Am. Chem. Soc. 2019, 141, 5659–5663. [Google Scholar] [CrossRef]
  20. Halo, L.M.; Marshall, J.W.; Yakasai, A.A.; Song, Z.; Butts, C.P.; Crump, M.P.; Heneghan, M.; Bailey, A.M.; Simpson, T.J.; Lazarus, C.M.; et al. Authentic heterologous expression of the tenellin iterative polyketide synthase nonribosomal peptide synthetase requires co-expression with an enoyl reductase. ChemBioChem 2008, 9, 585–594. [Google Scholar] [CrossRef]
  21. Xu, W.; Cai, X.; Jung, M.E.; Tang, Y. Analysis of intact and dissected fungal polyketide synthase-nonribosomal peptide synthetase in vitro and in Saccharomyces cerevisiae. J. Am. Chem. Soc. 2010, 132, 13604–13607. [Google Scholar] [CrossRef] [PubMed]
  22. Ohashi, M.; Liu, F.; Hai, Y.; Chen, M.; Tang, M.C.; Yang, Z.; Sato, M.; Watanabe, K.; Houk, K.N.; Tang, Y. SAM-dependent enzyme-catalysed pericyclic reactions in natural product biosynthesis. Nature 2017, 549, 502–506. [Google Scholar] [CrossRef] [PubMed]
  23. Ohashi, M.; Jamieson, C.S.; Cai, Y.; Tan, D.; Kanayama, D.; Tang, M.C.; Anthony, S.M.; Chari, J.V.; Barber, J.S.; Picazo, E.; et al. An enzymatic Alder-ene reaction. Nature 2020, 586, 64–69. [Google Scholar] [CrossRef] [PubMed]
  24. Teshima, Y.; Shin-Ya, K.A.Z.U.O.; Shimazu, A.; Furihata, K.; Chul, H.S.; Furihata, K.; Hayakawa, Y.; Nagai, K.; Seto, H. Isolation and structural elucidation of pyridoxatin, a free radical scavenger of microbial origin. J. Antibiot. 1991, 44, 685–687. [Google Scholar] [CrossRef] [PubMed]
  25. Shang, Z.; Li, L.; Esposito, B.P.; Salim, A.A.; Khalil, Z.G.; Quezada, M.; Bernhardt, P.V.; Capon, R.J. New PKS-NRPS tetramic acids and pyridinone from an Australian marine-derived fungus, Chaunopycnis sp. Org. Biomol. Chem. 2015, 13, 7795–7802. [Google Scholar] [CrossRef] [PubMed]
  26. Isaka, M.; Tanticharoen, M.; Kongsaeree, P.; Thebtaranonth, Y. Structures of cordypyridones A−D, antimalarial N-hydroxy- and N-methoxy-2-pyridones from the insect pathogenic fungus Cordyceps nipponica. J. Org. Chem. 2001, 66, 4803–4808. [Google Scholar] [CrossRef] [PubMed]
  27. Wagenaar, M.M.; Gibson, D.M.; Clardy, J. Akanthomycin, a new antibiotic pyridone from the entomopathogenic fungus Akanthomyces gracilis. Org. Lett. 2002, 4, 671–673. [Google Scholar] [CrossRef] [PubMed]
  28. Wu, B.; Oesker, V.; Wiese, J.; Schmaljohann, R.; Imhoff, J.F. Two new antibiotic pyridones produced by a marine fungus, Trichoderma sp. strain MF106. Mar. Drugs 2014, 12, 1208–1219. [Google Scholar] [CrossRef]
  29. Qiao, Y.; Xu, Q.; Feng, W.; Tao, L.; Li, X.N.; Liu, J.; Zhu, H.; Lu, Y.; Wang, J.; Qi, C.; et al. Asperpyridone A: An unusual pyridone alkaloid exerts hypoglycemic activity through the insulin signaling pathway. J. Nat. Prod. 2019, 82, 2925–2930. [Google Scholar] [CrossRef]
  30. Michaelidou, K.; Tzovaras, A.; Missitzis, I.; Ardavanis, A.; Scorilas, A. The expression of the CEACAM19 gene, a novel member of the CEA family, is associated with breast cancer progression. Int. J. Oncol. 2013, 42, 1770–1777. [Google Scholar] [CrossRef]
  31. Chen, X.A.; He, X.; Zhang, M.; Mao, X.M.; Li, Y.Q. An efficient genetic transformation system for Chinese medicine fungus Tolypocladium ophioglossoides. J. Microbiol. Methods 2020, 176, 106032. [Google Scholar] [CrossRef] [PubMed]
  32. Hellman, L.M.; Fried, M.G. Electrophoretic mobility shift assay (EMSA) for detecting protein-nucleic acid interactions. Nat. Protoc. 2007, 2, 1849–1861. [Google Scholar] [CrossRef] [PubMed]
  33. Bergmann, S.; Schumann, J.; Scherlach, K.; Lange, C.; Brakhage, A.A.; Hertweck, C. Genomics-driven discovery of PKS-NRPS hybrid metabolites from Aspergillus nidulans. Nat. Chem. Biol. 2007, 3, 213–217. [Google Scholar] [CrossRef] [PubMed]
  34. Fukuda, T.; Sudoh, Y.; Tsuchiya, Y.; Okuda, T.; Matsuura, N.; Motojima, A.; Oikawa, T.; Igarashi, Y. Tolypoalbin, a new tetramic acid from Tolypocladium album TAMA 479. J. Antibiot. 2015, 68, 399–402. [Google Scholar] [CrossRef] [PubMed]
  35. Chen, Y.P.; Yuan, G.F.; Hsieh, S.Y.; Lin, Y.S.; Wang, W.Y.; Liaw, L.L.; Tseng, C.P. Identification of the mokH gene encoding transcription factor for the upregulation of monacolin K biosynthesis in Monascus pilosus. J. Agric. Food. Chem. 2010, 58, 287–293. [Google Scholar] [CrossRef] [PubMed]
  36. Abe, Y.; Ono, C.; Hosobuchi, M.; Yoshikawa, H. Functional analysis of mlcR, a regulatory gene for ML-236B (compactin) biosynthesis in Penicillium citrinum. Mol. Genet Genom. 2002, 268, 352–361. [Google Scholar] [CrossRef]
Figure 1. Characterization of transcription factor TopC and its phylogenic analysis. (A) domain characterization of transcription factor TopC in top cluster. (B) alignment analysis of the conserved cysteine amino acids. the conserved cysteine amino acids are marked in blue font below image B. (C) evolutionary phylogenetic analysis via MEGA7. AnyanR (Accession no. G3Y415.1), GAL4 (Accession no. QGN14419.1), ApAflR (Accession no. P43651.3), MdpE (Accession no. AN0148), AnTF (Accession no. AAC49195), PcMlcR (Accession no. Q8J0F2.1), MpMokH (Accession no. Q3S2U4.1), AtLovE (Accession no. Q0C8L8.1), CgApdR (Accession no. XP_045268485.1).
Figure 1. Characterization of transcription factor TopC and its phylogenic analysis. (A) domain characterization of transcription factor TopC in top cluster. (B) alignment analysis of the conserved cysteine amino acids. the conserved cysteine amino acids are marked in blue font below image B. (C) evolutionary phylogenetic analysis via MEGA7. AnyanR (Accession no. G3Y415.1), GAL4 (Accession no. QGN14419.1), ApAflR (Accession no. P43651.3), MdpE (Accession no. AN0148), AnTF (Accession no. AAC49195), PcMlcR (Accession no. Q8J0F2.1), MpMokH (Accession no. Q3S2U4.1), AtLovE (Accession no. Q0C8L8.1), CgApdR (Accession no. XP_045268485.1).
Microorganisms 11 02578 g001
Figure 2. Schematic representation of the top gene cluster and morphological characteristics, as well as HPLC chromatographs of transformants. (A) the schematic representation illustrates the top gene cluster, encompassing eight genes from T. ophioglossoides. This cluster encompasses a PKS-NRPS hybrid enzyme (topE) and various modified enzymes. These enzymes include one hypothetical methyltransferase (topB), a short-chain dehydro-genases/reductases (topH), three cytochrome p450 monooxygenases (topA, F, G), one enoyl reductase (topD), and one C6 transcription factor (topC) (B) a total of 103 spores were inoculated on a PDA plate and incubated at 26 °C for 7 days. The topCOE mutants displayed a deeper yellow color compared to Co-WT on the reverse side (C) HPLC profiles of the culture broth from topCOE and Co-WT were obtained at a wavelength of 280 nm. topCOE exhibited six distinct compound peaks in contrast to Co-WT.
Figure 2. Schematic representation of the top gene cluster and morphological characteristics, as well as HPLC chromatographs of transformants. (A) the schematic representation illustrates the top gene cluster, encompassing eight genes from T. ophioglossoides. This cluster encompasses a PKS-NRPS hybrid enzyme (topE) and various modified enzymes. These enzymes include one hypothetical methyltransferase (topB), a short-chain dehydro-genases/reductases (topH), three cytochrome p450 monooxygenases (topA, F, G), one enoyl reductase (topD), and one C6 transcription factor (topC) (B) a total of 103 spores were inoculated on a PDA plate and incubated at 26 °C for 7 days. The topCOE mutants displayed a deeper yellow color compared to Co-WT on the reverse side (C) HPLC profiles of the culture broth from topCOE and Co-WT were obtained at a wavelength of 280 nm. topCOE exhibited six distinct compound peaks in contrast to Co-WT.
Microorganisms 11 02578 g002
Figure 3. Structural determination and the chirality of compound 16 produced by topCOE.
Figure 3. Structural determination and the chirality of compound 16 produced by topCOE.
Microorganisms 11 02578 g003
Figure 4. Determination of the borders of the top cluster via qRT-PCR in topCOE. The translation elongation factor tef was used as the internal controls.
Figure 4. Determination of the borders of the top cluster via qRT-PCR in topCOE. The translation elongation factor tef was used as the internal controls.
Microorganisms 11 02578 g004
Figure 5. Heterologous expression of TopC and analysis of its affinity binding to promoter DNA via EMSA. (A) we designed the promoters within the top gene cluster. (B) The expression of TopC-DBD with a His-tag in E. coli was achieved successfully, as depicted by the rightward arrow, yielding purified topC-DBD protein with a molecular weight of 32 kD. (C) Affinity binding analysis of TopC to five gene promoters within top via EMSA. (D) the conserved binding motif of TopC was predicted via MEME analysis.
Figure 5. Heterologous expression of TopC and analysis of its affinity binding to promoter DNA via EMSA. (A) we designed the promoters within the top gene cluster. (B) The expression of TopC-DBD with a His-tag in E. coli was achieved successfully, as depicted by the rightward arrow, yielding purified topC-DBD protein with a molecular weight of 32 kD. (C) Affinity binding analysis of TopC to five gene promoters within top via EMSA. (D) the conserved binding motif of TopC was predicted via MEME analysis.
Microorganisms 11 02578 g005
Figure 6. HPLC profiles of the culture broth of topCOE, topCOEΔtopA, and topCOEΔtopH (λ = 280 nm).
Figure 6. HPLC profiles of the culture broth of topCOE, topCOEΔtopA, and topCOEΔtopH (λ = 280 nm).
Microorganisms 11 02578 g006
Figure 7. Biosynthetic Pathways of pyridoxatin, trichodin A, and asperpyridone A in T. ophioglossoides.
Figure 7. Biosynthetic Pathways of pyridoxatin, trichodin A, and asperpyridone A in T. ophioglossoides.
Microorganisms 11 02578 g007
Disclaimer/Publisher’s Note: The statements, opinions and data contained in all publications are solely those of the individual author(s) and contributor(s) and not of MDPI and/or the editor(s). MDPI and/or the editor(s) disclaim responsibility for any injury to people or property resulting from any ideas, methods, instructions or products referred to in the content.

Share and Cite

MDPI and ACS Style

Liu, X.; Li, R.-Q.; Zeng, Q.-X.; Li, Y.-Q.; Chen, X.-A. A Novel Zn2Cys6 Transcription Factor, TopC, Positively Regulates Trichodin A and Asperpyridone A Biosynthesis in Tolypocladium ophioglossoides. Microorganisms 2023, 11, 2578. https://doi.org/10.3390/microorganisms11102578

AMA Style

Liu X, Li R-Q, Zeng Q-X, Li Y-Q, Chen X-A. A Novel Zn2Cys6 Transcription Factor, TopC, Positively Regulates Trichodin A and Asperpyridone A Biosynthesis in Tolypocladium ophioglossoides. Microorganisms. 2023; 11(10):2578. https://doi.org/10.3390/microorganisms11102578

Chicago/Turabian Style

Liu, Xiang, Rui-Qi Li, Qing-Xin Zeng, Yong-Quan Li, and Xin-Ai Chen. 2023. "A Novel Zn2Cys6 Transcription Factor, TopC, Positively Regulates Trichodin A and Asperpyridone A Biosynthesis in Tolypocladium ophioglossoides" Microorganisms 11, no. 10: 2578. https://doi.org/10.3390/microorganisms11102578

APA Style

Liu, X., Li, R.-Q., Zeng, Q.-X., Li, Y.-Q., & Chen, X.-A. (2023). A Novel Zn2Cys6 Transcription Factor, TopC, Positively Regulates Trichodin A and Asperpyridone A Biosynthesis in Tolypocladium ophioglossoides. Microorganisms, 11(10), 2578. https://doi.org/10.3390/microorganisms11102578

Note that from the first issue of 2016, this journal uses article numbers instead of page numbers. See further details here.

Article Metrics

Back to TopTop