Mineral Solubilizing Rhizobacterial Strains Mediated Biostimulation of Rhodes Grass Seedlings
Abstract
:1. Introduction
2. Materials and Methods
2.1. Isolation of Rhizobacteria
2.2. Screening of Rhizobacterial Strains for Phosphate Solubilization
2.3. Potassium Solubilization Assay
2.4. Zinc Solubilization Assay
2.5. Manganese Solubilization Assay
2.6. Determination of Indole Acetic Acid
2.7. Determination of Enzymatic Activities
2.8. Morphological and Microscopic Characterization
2.9. Molecular Identification of Selected Bacterial Strains
2.10. Evaluation of Bacterial Strains for Promotion of Rhodes Grass Growth
2.11. Statistical Analysis
3. Results
3.1. Rhizobacterial Strains Demonstrated Phosphate Solubilization Potential
3.2. Rhizobacterial Strains Demonstrated Zinc Solubilization Potential
3.3. Rhizobacterial Strains Demonstrated Manganese and Potassium Solubilization Potential
3.4. IAA Production by Rhizobacterial Strains
3.5. Enzymatic Activities by Rhizobacterial Strains
3.6. Morphological Characteristics of Rhizobacterial Strains
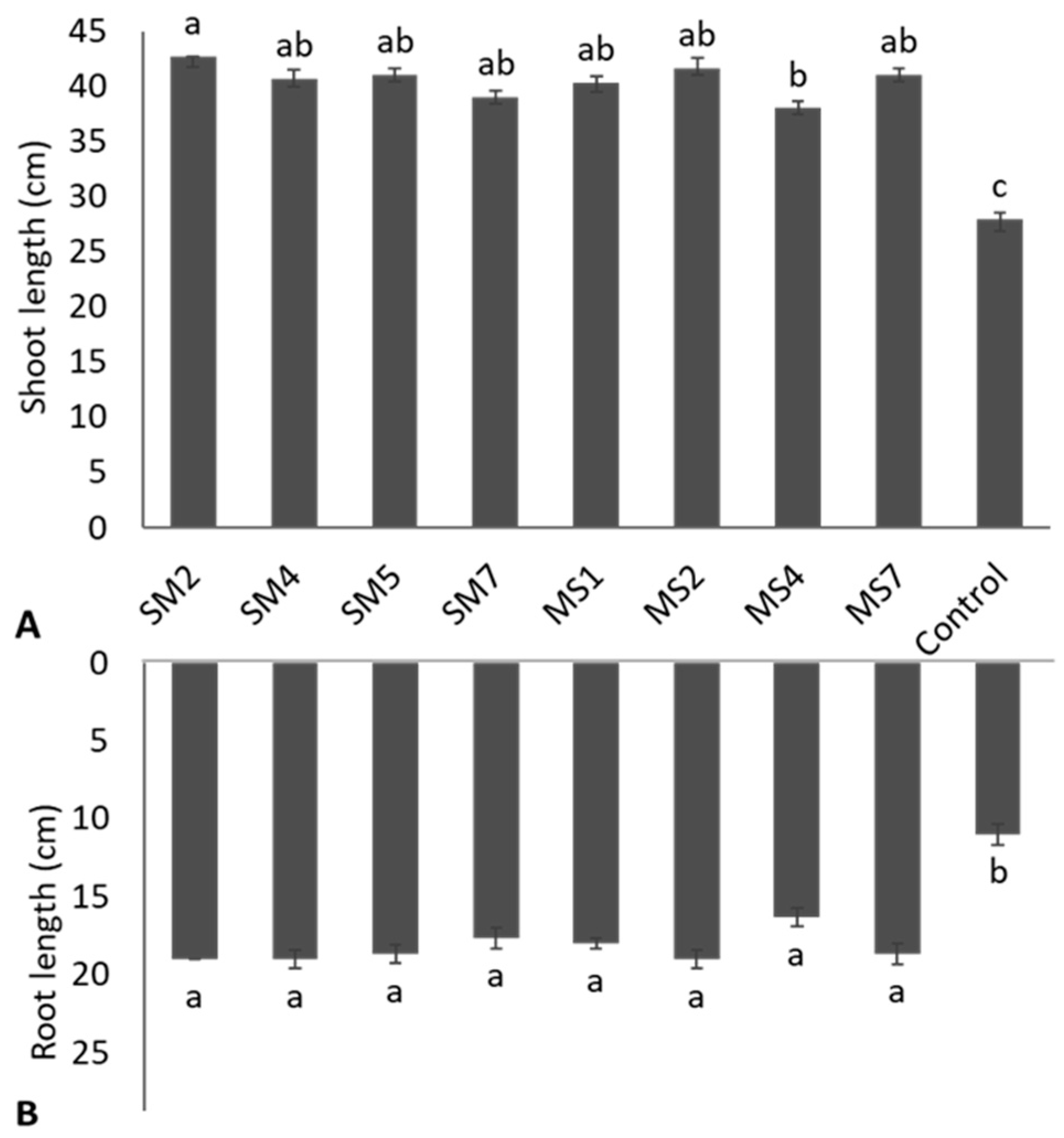
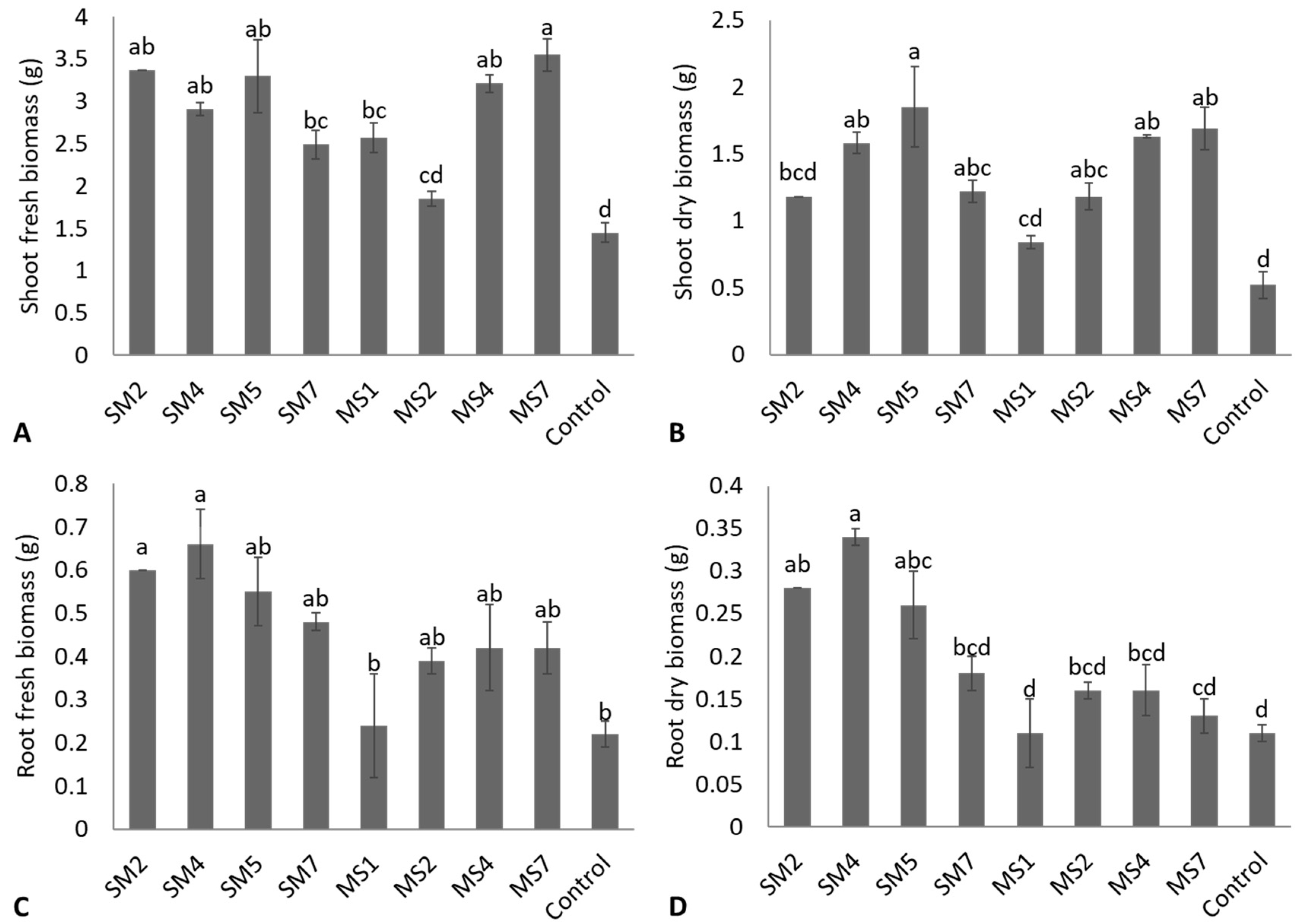
3.7. Effect of Rhizobacterial Strains on Growth Promotion of Rhodes Grass
3.8. Identification of Rhizobacterial Strains
4. Discussion
5. Conclusions
Supplementary Materials
Author Contributions
Funding
Institutional Review Board Statement
Informed Consent Statement
Data Availability Statement
Acknowledgments
Conflicts of Interest
References
- Ponsens, J.; Hanson, J.; Schellberg, J.; Moeseler, B.M. Characterization of phenotypic diversity, yield and response to drought stress in a collection of Rhodes grass (Chloris gayana Kunth) accessions. Field Crops Res. 2010, 118, 57–72. [Google Scholar] [CrossRef]
- Faji, M.; Abebe, A.; Ahmad, K. Forage biomass yield performance of Rhodes grass (Chloris gayana) accessions in benishngul-gumuz region of western ethopia. J. Ecol. Environ. 2021, 13, 35–41. [Google Scholar]
- Loch, D.S.; Rethman, N.F.; Van Niekerk, W.A. Rhodesgrass. In Warm-Season (C4) Grasses; Moser, L., Burson, B., Sollenberger, L., Eds.; John Wiley & Sons, Ltd.: Hoboken, NJ, USA, 2004; Volume 45, pp. 833–872. [Google Scholar]
- Negawo, A.T.; Muktar, M.S.; Assefa, Y.; Hanson, J.; Sartie, A.M.; Habte, E.; Jones, C.S. Genetic diversity and population structure of a Rhodes grass (Chloris gayana) collection. Genes 2021, 12, 1233. [Google Scholar] [CrossRef] [PubMed]
- Agnusdei, M.G.; Di Marco, O.N.; Nenning, F.R.; Aello, M.S. Leaf blade nutritional quality of rhodes grass (Chloris gayana) as affected by leaf age and length. Crop Pasture Sci. 2012, 62, 1098–1105. [Google Scholar] [CrossRef]
- Arshad, I.; Medani, K.M.; Khan, Z.A. Effect of manual and artificial application of NPK fertilizers on the growth and yield of Rhodes Grass (Chloris gayana L. Kunth.) by using central pivot irrigation technology. Int. J. Res. 2014, 1, 2348–6848. [Google Scholar]
- Arshad, I.; Ali, W.; Khan, Z.A.; Bhayo, W.A. Effect of water stress on the growth and yield of Rhodes grass (Chloris gayana L. Kunth.). PSM Biol. Res. 2016, 1, 58–61. [Google Scholar]
- Zhang, L.; Yan, C.; Guo, Q.; Zhang, J.; Ruiz-Menjivar, J. The impact of agricultural chemical inputs on environment: Global evidence from informetrics analysis and visualization. Int. J. Low Carbon Technol. 2018, 13, 338–352. [Google Scholar] [CrossRef]
- Zeng, Q.; Ding, X.; Wang, J.; Han, X.; Iqbal, H.M.; Bilal, M. Insight into soil nitrogen and phosphorus availability and agricultural sustainability by plant growth-promoting rhizobacteria. Environ. Sci. Pollut. Res. 2022, 29, 45089–45106. [Google Scholar] [CrossRef]
- Abbas, M.; Shah, J.A.; Irfan, M.; Memon, M.Y. Remobilization and utilization of phosphorus in wheat cultivars under induced phosphorus deficiency. J. Plant Nutr. 2018, 41, 1522–1533. [Google Scholar] [CrossRef]
- Khalid, M.; Hassani, D.; Bilal, M.; Asad, F.; Huang, D. Influence of bio-fertilizer containing beneficial fungi and rhizospheric bacteria on health promoting compounds and antioxidant activity of Spinacia oleracea L. Bot. Stud. 2017, 58, 35. [Google Scholar] [CrossRef] [PubMed]
- Benidire, L.; Madline, A.; Pereira, S.I.A.; Castro, P.M.L.; Boularbah, A. Synergistic effect of organo-mineral amendments and plant growth-promoting rhizobacteria (PGPR) on the establishment of vegetation cover and amelioration of mine tailings. Chemosphere 2021, 262, 127803. [Google Scholar] [CrossRef]
- Bhattacharyya, P.N.; Jha, D.K. Plant growth-promoting rhizobacteria (PGPR): Emergence in agriculture. World J. Microbiol. Biotechnol. 2012, 28, 1327–1350. [Google Scholar] [CrossRef] [PubMed]
- Khan, N.; Ali, S.; Shahid, M.A.; Mustafa, A.; Sayyed, R.Z.; Curá, J.A. Insights into the interactions among roots, rhizosphere, and rhizobacteria for improving plant growth and tolerance to abiotic stresses: A review. Cells 2021, 10, 1551. [Google Scholar] [CrossRef]
- Oteino, N.; Lally, R.D.; Kiwanuka, S.; Lloyd, A.; Ryan, D.; Germaine, K.J.; Dowling, D.N. Plant growth promotion induced by phosphate solubilizing endophytic Pseudomonas isolates. Front. Microbiol. 2015, 6, 745. [Google Scholar] [CrossRef]
- Sims, J.T.; Pierzynski, G.M. Chemistry of phosphorus in soils. In Chemical Processes in Soil; Tabatabai, A.M., Sparks, D.L., Eds.; SSSA Book Series 8; SSSA: Madison, WI, USA, 2005; pp. 151–192. [Google Scholar]
- Prajapati, K.; Modi, H. Isolation and characterization of potassium solubilizing bacteria from ceramic industry soil. CIBTech J. Microbiol. 2012, 1, 8–14. [Google Scholar]
- Saravanan, V.S.; Kumar, M.R.; Sa, T.M. Microbial zinc solubilization and their role on plants. In Bacteria in Agrobiology: Plant Nutrient Management; Springer: Berlin/Heidelberg, Germany, 2011; pp. 47–63. [Google Scholar]
- Jiang, Y.; Ge, F.; Li, F.; Zhang, D.; Deng, S.; Tian, J. Intracellular metabolomics switching alters extracellular acid production and insoluble phosphate solubilization behavior in Penicillium oxalicum. Metabolites 2020, 10, 441. [Google Scholar] [CrossRef] [PubMed]
- Alori, E.T.; Glick, B.R.; Babalola, O.O. Microbial phosphorus solubilization and its potential for use in sustainable agriculture. Front. Microbiol. 2017, 8, 971. [Google Scholar] [CrossRef] [PubMed]
- Rouphael, Y.; Colla, G. Biostimulants in Agriculture. Front. Plant Sci. 2020, 11, 40. [Google Scholar] [CrossRef]
- Jiang, Z.; Zhang, X.; Wang, Z.; Cao, B.; Deng, S.; Bi, M.; Zhang, Y. Enhanced biodegradation of atrazine by Arthrobacter sp. DNS10 during co-culture with a phosphorus solubilizing bacteria: Enterobacter sp. P1. Ecotoxicol. Environ. Saf. 2019, 172, 159–166. [Google Scholar] [CrossRef] [PubMed]
- Thomas, S.; Mathew, L.; Rishad, K. Isolation and molecular identification of phosphate solubilizing bacteria, Bacillus licheniformis UBPSB-07 capable of enhancing seed germination in Vigna radiata L. Phytomorphology 2018, 68, 13–18. [Google Scholar]
- Behera, B.C.; Yadav, H.; Singh, S.K.; Mishra, R.R.; Sethi, B.K.; Dutta, S.K.; Thatoi, H.N. Phosphate solubilization and acid phosphatase activity of Serratia sp. isolated from mangrove soil of Mahanadi river delta, Odisha, India. J. Genet. Eng. Biotechnol. 2017, 15, 169–178. [Google Scholar] [CrossRef] [PubMed]
- Korir, H.; Mungai, N.W.; Thuita, M.; Hamba, Y.; Masso, C. Co-inoculation effect of rhizobia and plant growth promoting rhizobacteria on common bean growth in a low phosphorus soil. Front. Plant Sci. 2017, 8, 141. [Google Scholar] [CrossRef] [PubMed]
- Basu, A.; Prasad, P.; Das, S.N.; Kalam, S.; Sayyed, R.Z.; Reddy, M.S.; El Enshasy, H. Plant growth promoting rhizobacteria (PGPR) as green bioinoculants: Recent developments, constraints, and prospects. Sustainability 2021, 13, 1140. [Google Scholar] [CrossRef]
- Bertani, G. Lysogeny at mid-twentieth century: P1, P2, and other experimental systems. J. Bacteriol. 2004, 186, 595–600. [Google Scholar] [CrossRef]
- Somasegaran, P.; Hoben, H.J. Counting Rhizobia by a Plant Infection Method. In Handbook for Rhizobia; Somasegaran, P., Hoben, H.J., Eds.; Springer: New York, NY, USA, 1994; pp. 58–64. [Google Scholar]
- Saegeman, V.S.; Ectors, N.L.; Lismont, D.; Verduyckt, B.; Verhaegen, J. Short-and long-term bacterial inhibiting effect of high concentrations of glycerol used in the preservation of skin allografts. Burns 2008, 34, 205–211. [Google Scholar] [CrossRef] [PubMed]
- Pikovskaya, R.I. Mobilization of phosphorus in soil in connection with vital activity of some microbial species. Mikrobiologiya 1948, 17, 362–370. [Google Scholar]
- Ahmad, M.; Naseer, I.; Hussain, A.; Mumtaz, M.Z.; Mustafa, A.; Hilger, T.H.; Xu, M. Appraising endophyte–plant symbiosis for improved growth, nodulation, nitrogen fixation and abiotic stress tolerance: An experimental investigation with chickpea (Cicer arietinum L.). Agronomy 2019, 9, 621. [Google Scholar] [CrossRef]
- Parmar, P.; Sindhu, S.S. Potassium solubilization by rhizosphere bacteria: Influence of nutritional and environmental conditions. J. Microbiol. Res. 2013, 3, 25–31. [Google Scholar]
- Setiawati, T.C.; Mutmainnah, L. Solubilization of potassium containing mineral by microorganisms from sugarcane rhizosphere. Agri. Agri. Sci. Procedia 2016, 9, 108–117. [Google Scholar] [CrossRef]
- Bunt, J.S.; Rovira, A.D. Microbiological studies of some subantarctic soils. J. Soil Sci. 1955, 6, 119–128. [Google Scholar] [CrossRef]
- Ijaz, A.; Mumtaz, M.Z.; Wang, X.; Ahmad, M.; Saqib, M.; Maqbool, H.; Zaheer, A.; Wang, W.; Mustafa, A. Insights into manganese solubilizing Bacillus spp. for improving plant growth and manganese uptake in maize. Front. Plant Sci. 2021, 12, 719504. [Google Scholar] [CrossRef] [PubMed]
- Kumar, V. Laboratory Manual of Microbiology; Scientific Publishers: Jodhpur, India, 2012. [Google Scholar]
- Cappuccino, J.G.; Welsh, C.T. Microbiology: A Laboratory Manual, 12th ed.; Pearson: San Francisco, CA, USA, 2019; p. 560. [Google Scholar]
- Cheesbrough, M. District Laboratory Practice in Tropical Countries, Part 2, 2nd ed.; Cambridge University Press: New York, NY, USA, 2005; p. 464. [Google Scholar]
- Kate, W. Preparation of genomic DNA from bacteria. Curr. Protoc. Mol. Biol. 2001, 56, 2–4. [Google Scholar]
- Zaheer, A.; Mirza, B.S.; Mclean, J.E.; Yasmin, S.; Shah, T.M.; Malik, K.A.; Mirza, M.S. Association of plant growth-promoting Serratia spp. with the root nodules of chickpea. Res. Microbiol. 2016, 167, 510–520. [Google Scholar] [CrossRef]
- Steel, R.G.D.; Torrie, J.H.; Dickey, D.A. Principles and Procedures of Statistics. A Biometrical Approach, 3rd ed.; McGraw Hill Book Co.: New York, NY, USA, 2007. [Google Scholar]
- Dasgupta, D.; Sengupta, C.; Paul, G. Screening and identification of best three phosphate solubilizing and IAA producing PGPR inhabiting the rhizosphere of Sesbania bispinosa. Screening 2015, 4, 3968–3979. [Google Scholar]
- Liu, M.; Liu, X.; Cheng, B.S.; Ma, X.L.; Lyu, X.T.; Zhao, X.F.; Ju, Y.; Min, Z.; Zhang, Z.-W.; Fang, Y. Selection and evaluation of phosphate-solubilizing bacteria from grapevine rhizospheres for use as biofertilizers. Span. J. Agric. Res. 2016, 14, e1106. [Google Scholar] [CrossRef]
- Richardson, A.E.; Barea, J.M.; McNeill, A.M.; Prigent-Combaret, C. Acquisition of phosphorus and nitrogen in the rhizosphere and plant growth promotion by microorganisms. Plant Soil 2009, 321, 305–339. [Google Scholar] [CrossRef]
- Tsegaye, Z.; Assefa, F.; Beyene, D. Properties and application of plant growth promoting rhizobacteria. Int. J. Curr. Trends Pharmacobiol. Med. Sci. 2017, 2, 30–43. [Google Scholar]
- Gupta, V.V.; Zhang, B.; Penton, C.R.; Yu, J.; Tiedje, J.M. Diazotroph diversity and nitrogen fixation in summer active perennial grasses in a Mediterranean region agricultural soil. Front. Mol. Biosci. 2019, 6, 115. [Google Scholar] [CrossRef] [PubMed]
- Zaheer, A.; Malik, A.; Sher, A.; Qaisrani, M.M.; Mehmood, A.; Khan, S.U.; Rasool, M. Isolation, characterization, and effect of phosphate-zinc-solubilizing bacterial strains on chickpea (Cicer arietinum L.) growth. Saudi J. Biol. Sci. 2019, 26, 1061–1067. [Google Scholar] [CrossRef] [PubMed]
- Ahmad, I.; Ahmad, M.; Hussain, A.; Jamil, M. Integrated use of phosphate-solubilizing Bacillus subtilis strain IA6 and zinc-solubilizing Bacillus sp. strain IA16: A promising approach for improving cotton growth. Folia Microbiol. 2020, 66, 115–125. [Google Scholar] [CrossRef] [PubMed]
- Wei, Y.; Zhao, Y.; Shi, M.; Cao, Z.; Lu, Q.; Yang, T.; Wei, Z. Effect of organic acids production and bacterial community on the possible mechanism of phosphorus solubilization during composting with enriched phosphate-solubilizing bacteria inoculation. Bioresour. Technol. 2018, 247, 190–199. [Google Scholar] [CrossRef]
- Zhan, Y.; Zhang, Z.; Ma, T.; Zhang, X.; Wang, R.; Liu, Y.; Li, J. Phosphorus excess changes rock phosphate solubilization level and bacterial community mediating phosphorus fractions mobilization during composting. Bioresour. Technol. 2021, 337, 125433. [Google Scholar] [CrossRef] [PubMed]
- Wang, S.; Walker, R.; Schicklberger, M.; Nico, P.S.; Fox, P.M.; Karaoz, U.; Brodie, E.L. Microbial phosphorus mobilization strategies across a natural nutrient limitation gradient and evidence for linkage with iron solubilization traits. Front. Microbiol. 2021, 12, 572212. [Google Scholar] [CrossRef]
- Liu, Z.W.; Zhang, J.; Yu, Y.; Li, H.R.; Du, Z.J. Pontibacter arcticus sp. nov., isolated from rhizosphere soil of Saxifraga oppositifolia. Int. J. Syst. Evol. Microbiol. 2019, 69, 3609–3615. [Google Scholar] [CrossRef]
- Suleman, M.; Yasmin, S.; Rasul, M.; Yahya, M.; Atta, B.M.; Mirza, M.S. Phosphate solubilizing bacteria with glucose dehydrogenase gene for phosphorus uptake and beneficial effects on wheat. PLoS ONE 2018, 13, e0204408. [Google Scholar] [CrossRef] [PubMed]
- Khan, M.S.; Zaidi, A.; Ahmad, E. Mechanism of phosphate solubilization and physiological functions of phosphate-solubilizing microorganisms. In Phosphate Solubilizing Microorganisms: Principles and Application of Microphos Technology; Springer: Berlin/Heidelberg, Germany, 2014; pp. 31–62. [Google Scholar]
- Trivedi, P.; Sa, T. Pseudomonas corrugata (NRRL B-30409) mutants increased phosphate solubilization, organic acid production, and plant growth at lower temperatures. Curr. Microbiol. 2008, 56, 140–144. [Google Scholar] [CrossRef]
- Dinesh, R.; Srinivasan, V.; Hamza, S.; Sarathambal, C.; Gowda, S.A.; Ganeshamurthy, A.N.; Divya, V.C. Isolation and characterization of potential Zn solubilizing bacteria from soil and its effects on soil Zn release rates, soil available Zn and plant Zn content. Geoderma 2018, 321, 173–186. [Google Scholar] [CrossRef]
- Mumtaz, M.Z.; Ahmad, M.; Jamil, M.; Hussain, T. Zinc solubilizing Bacillus spp. potential candidates for biofortification in maize. Microbiol. Res. 2017, 202, 51–60. [Google Scholar] [CrossRef]
- Min, L.J.; Wu, X.Q.; Li, D.W.; Zhang, L.Q.; Ye, J.R. Burkholderia pyrrocinia strain JK-SH007 affects zinc (Zn) accumulation and translocation in tomato. Arch. Agron. Soil Sci. 2020, 67, 447–458. [Google Scholar] [CrossRef]
- Bhatt, K.; Maheshwari, D.K. Zinc solubilizing bacteria (Bacillus megaterium) with multifarious plant growth promoting activities alleviates growth in Capsicum annuum L. 3 Biotech 2020, 10, 36. [Google Scholar] [CrossRef] [PubMed]
- Hussain, A.; Arshad, M.; Zahir, Z.A.; Asghar, M. Prospects of zinc solubilizing bacteria for enhancing growth of maize. Pak. J. Agric. Sci. 2015, 52, 915–922. [Google Scholar]
- Bhakat, K.; Chakraborty, A.; Islam, E. Characterization of zinc solubilization potential of arsenic tolerant Burkholderia spp. isolated from rice rhizospheric soil. World J. Microbiol. Biotechnol. 2021, 37, 39. [Google Scholar] [CrossRef]
- Wang, Y.; Lambers, H. Root-released organic anions in response to low phosphorus availability: Recent progress, challenges and future perspectives. Plant Soil 2019, 447, 135–156. [Google Scholar] [CrossRef]
- Masood, F.; Ahmad, S.; Malik, A. Role of rhizobacterial bacilli in zinc solubilization. In Microbial Biofertilizers and Micronutrient Availability; Khan, S.T., Malik, A., Eds.; Springer: Cham, Switzerland, 2022; pp. 361–377. [Google Scholar]
- Fasim, F.; Ahmed, N.; Parsons, R.; Gadd, G.M. Solubilization of zinc salts by a bacterium isolated from the air environment of a tannery. FEMS Microbiol. Lett. 2002, 213, 1–6. [Google Scholar] [CrossRef]
- Ghosh, S.; Gandhi, M.; van Hullebusch, E.D.; Das, A.P. Proteomic insights into Lysinibacillus sp.-mediated biosolubilization of manganese. Environ. Sci. Pollut. Res. 2021, 28, 40249–40263. [Google Scholar] [CrossRef]
- Batool, S.; Iqbal, A. Phosphate solubilizing rhizobacteria as alternative of chemical fertilizer for growth and yield of Triticum aestivum (Var. Galaxy 2013). Saudi J. Biol. Sci. 2019, 26, 1400–1410. [Google Scholar] [CrossRef] [PubMed]
- Meena, V.S.; Maurya, B.R.; Verma, J.P.; Aeron, A.; Kumar, A.; Kim, K.; Bajpai, V.K. Potassium solubilizing rhizobacteria (KSR): Isolation, identification, and K-release dynamics from waste mica. Ecol. Eng. 2015, 81, 340–347. [Google Scholar] [CrossRef]
- Yadav, A.N. Microbiomes of wheat (Triticum aestivum L.) endowed with multifunctional plant growth promoting attributes. Mol. Microbiol. 2019, 15, 1–6. [Google Scholar]
- Hocking, P.J. Organic acids exuded from roots in phosphorus uptake and aluminum tolerance of plants in acid soils. Advan. Agron. 2001, 74, 63–97. [Google Scholar]
- Rawat, P.; Das, S.; Shankhdhar, D.; Shankhdhar, S.C. Phosphate-solubilizing microorganisms: Mechanism and their role in phosphate solubilization and uptake. J. Soil Sci. Plant Nutr. 2021, 21, 49–68. [Google Scholar] [CrossRef]
- Vyas, P.; Gulati, A. Organic acid production in vitro and plant growth promotion in maize under controlled environment by phosphate-solubilizing fluorescent Pseudomonas. BMC Microbiol. 2009, 9, 174. [Google Scholar] [CrossRef] [PubMed]
- Mumtaz, M.Z.; Barry, K.M.; Baker, A.L.; Nichols, D.S.; Ahmad, M.; Zahir, Z.A.; Britz, M.L. Production of lactic and acetic acids by Bacillus sp. ZM20 and Bacillus cereus following exposure to zinc oxide: A possible mechanism for Zn solubilization. Rhizosphere 2019, 12, 100170. [Google Scholar] [CrossRef]
- Kumar, A.; Maurya, B.R.; Raghuwanshi, R. Isolation and characterization of PGPR and their effect on growth, yield and nutrient content in wheat (Triticum aestivum L.). Biocatal. Agric. Biotechnol. 2014, 3, 121–128. [Google Scholar] [CrossRef]
- Spohn, M.; Zeißig, I.; Brucker, E.; Widdig, M.; Lacher, U.; Aburto, F. Phosphorus solubilization in the rhizosphere in two saprolites with contrasting phosphorus fractions. Geoderma 2020, 366, 114245. [Google Scholar] [CrossRef]
- Su, M.; Han, F.; Wu, Y.; Yan, Z.; Lv, Z.; Tian, D.; Li, Z. Effects of phosphate-solubilizing bacteria on phosphorous release and sorption on montmorillonite. Appl. Clay Sci. 2019, 181, 105227. [Google Scholar] [CrossRef]
- Piotrowska-Długosz, A.; Charzyński, P. The impact of the soil sealing degree on microbial biomass, enzymatic activity, and physicochemical properties in the Ekranic Technosols of Toruń (Poland). J. Soils Sediments 2015, 15, 47–59. [Google Scholar] [CrossRef]
- Jiang, Y.; Wu, Y.; Hu, N.; Li, H.; Jiao, J. Interactions of bacterial-feeding nematodes and indole-3-acetic acid (IAA)-producing bacteria promotes growth of Arabidopsis thaliana by regulating soil auxin status. Appl. Soil Ecol. 2020, 147, 103447. [Google Scholar] [CrossRef]
- Choudhury, A.R.; Choi, J.; Walitang, D.I.; Trivedi, P.; Lee, Y.; Sa, T. ACC deaminase and indole acetic acid producing endophytic bacterial co-inoculation improves physiological traits of red pepper (Capsicum annum L.) under salt stress. J. Plant Physiol. 2021, 267, 153544. [Google Scholar] [CrossRef] [PubMed]
- Saleem, S.; Iqbal, A.; Ahmed, F.; Ahmad, M. Phytobeneficial and salt stress mitigating efficacy of IAA producing salt tolerant strains in Gossypium hirsutum. Saudi J. Biol. Sci. 2021, 28, 5317–5324. [Google Scholar] [CrossRef]
- Waday, Y.A.; Aklilu, E.G.; Bultum, M.S.; Ancha, V.R. Optimization of soluble phosphate and IAA production using response surface methodology and ANN approach. Heliyon 2022, 8, e12224. [Google Scholar] [CrossRef] [PubMed]
- Batista, B.D.; Dourado, M.N.; Figueredo, E.F.; Hortencio, R.O.; Marques, J.P.R.; Piotto, F.A.; Bonatelli, M.L.; Settles, M.L.; Azevedo, J.L.; Quecine, M.C. The auxin-producing Bacillus thuringiensis RZ2MS9 promotes the growth and modifies the root architecture of tomato (Solanum lycopersicum cv. Micro-Tom). Arch. Microbiol. 2021, 203, 3869–3882. [Google Scholar] [CrossRef] [PubMed]
- Spaepen, S.; Vanderleyden, J.; Remans, R. Indole-3-acetic acid in microbial and microorganism-plant signaling. FEMS Microbiol. Rev. 2007, 31, 425–448. [Google Scholar] [CrossRef] [PubMed]
- Mumtaz, M.Z.; Ahmad, M.; Jamil, M.; Asad, S.A.; Hafeez, F. Bacillus strains as potential alternate for zinc biofortification of maize grains. Int. J. Agric. Biol. 2018, 20, 1779–1786. [Google Scholar]
- Olanrewaju, O.S.; Glick, B.R.; Babalola, O.O. Mechanisms of action of plant growth promoting bacteria. World J. Microbiol. Biotechnol. 2017, 33, 197. [Google Scholar] [CrossRef]
- Hrubcová, M.; Cvikrová, M.; Eder, J.; Zoń, J.; Macháčková, I. Effect of inhibition of phenylpropanoid biosynthesison peroxidase and IAA-oxidase activities and auxin contentin alfalfa suspension cultures. Plant Physiol. Biochem. 2000, 38, 949–956. [Google Scholar] [CrossRef]
- Dubey, R.C.; Khare, S.; Kumar, P.; Maheshwari, D.K. Combined effect of chemical fertilisers and rhizosphere-competent Bacillus subtilis BSK17 on yield of Cicer arietinum. Arch. Phytopathol. Pflanzenschutz 2014, 47, 2305–2318. [Google Scholar] [CrossRef]
- Pereira, S.I.; Castro, P.M. Phosphate-solubilizing rhizobacteria enhance Zea mays growth in agricultural P-deficient soils. Ecol. Eng. 2014, 73, 526–535. [Google Scholar] [CrossRef]
- Ramesh, A.; Sharma, S.K.; Sharma, M.P.; Yadav, N.; Joshi, O.P. Inoculation of zinc solubilizing Bacillus aryabhattai strains for improved growth, mobilization and biofortification of zinc in soybean and wheat cultivated in Vertisols of central India. Appl. Soil Ecol. 2014, 73, 87–96. [Google Scholar] [CrossRef]
- Santos, R.M.; Kandasamy, S.; Rigobelo, E.C. Sugarcane growth and nutrition levels are differentially affected by the application of PGPR and cane waste. MicrobiologyOpen 2018, 7, e00617. [Google Scholar] [CrossRef] [PubMed]
- Kusale, S.P.; Attar, Y.C.; Sayyed, R.Z.; Malek, R.A.; Ilyas, N.; Suriani, N.L.; El Enshasy, H.A. Production of plant beneficial and antioxidants metabolites by Klebsiella variicola under salinity stress. Molecules 2021, 26, 1894. [Google Scholar] [CrossRef]
- Nithyapriya, S.; Lalitha, S.; Sayyed, R.Z.; Reddy, M.S.; Dailin, D.J.; El Enshasy, H.A.; Herlambang, S. Production, purification, and characterization of bacillibactin siderophore of Bacillus subtilis and its application for improvement in plant growth and oil content in sesame. Sustainability 2021, 13, 5394. [Google Scholar] [CrossRef]
- Bhattacharyya, C.; Banerjee, S.; Acharya, U.; Mitra, A.; Mallick, I.; Haldar, A.; Ghosh, A. Evaluation of plant growth promotion properties and induction of antioxidative defense mechanism by tea rhizobacteria of Darjeeling, India. Sci. Rep. 2020, 10, 15536. [Google Scholar] [CrossRef]
- López-Hernández, J.; García-Cárdenas, E.; López-Bucio, J.S.; Jiménez-Vázquez, K.R.; de la Cruz, H.R.; Ferrera-Rodríguez, O.; López-Bucio, J. Screening of Phosphate Solubilization Identifies Six Pseudomonas Species with Contrasting Phytostimulation Properties in Arabidopsis Seedlings. Microb. Ecol. 2022, 86, 431–445. [Google Scholar] [CrossRef] [PubMed]
- Akhtar, N.; Ilyas, N.; Yasmin, H.; Sayyed, R.Z.; Hasnain, Z.; Elsayed, E.A.; El Enshasy, H.A. Role of Bacillus cereus in improving the growth and phytoextractability of Brassica nigra (L.) K. Koch in chromium contaminated soil. Molecules 2021, 26, 1569. [Google Scholar] [CrossRef] [PubMed]
- Swarnalakshmi, K.; Yadav, V.; Tyagi, D.; Dhar, D.W.; Kannepalli, A.; Kumar, S. Significance of plant growth promoting rhizobacteria in grain legumes: Growth promotion and crop production. Plants 2020, 9, 1596. [Google Scholar] [CrossRef] [PubMed]







| Bacterial Strains | Available P Concentration (ppm) | pH Reduction in Response to Phosphate |
|---|---|---|
| Control | 3.05 ± 0.34 e | 6.87 ± 0.06 a |
| SM2 | 26.00 ± 0.65 abc | 4.51 ± 0.15 de |
| SM4 | 26.60 ± 0.15 ab | 4.39 ± 0.03 ef |
| SM5 | 24.35 ± 0.41 c | 4.82 ± 0.06 c |
| SM7 | 20.65 ± 0.25 d | 5.21 ± 0.02 b |
| MS1 | 24.85 ± 0.40 c | 4.65 ± 0.02 cd |
| MS2 | 27.45 ± 0.14 a | 4.24 ± 0.02 f |
| MS4 | 25.45 ± 0.55 bc | 4.58 ± 0.14 de |
| MS7 | 22.30 ± 0.61 d | 4.93 ± 0.05 b |
| CVC | 1.7496 | 0.2077 |
| Bacterial Strains | Available Zn Concentration (ppm) | pH Reduction in Response to Zinc Oxide |
|---|---|---|
| Control | 2.16 ± 0.09 f | 6.78 ± 0.01 a |
| SM2 | 19.11 ± 0.29 bc | 5.32 ± 0.09 c |
| SM4 | NT | NT |
| SM5 | 17.96 ± 0.93 c | 5.18 ± 0.06 cd |
| SM7 | 19.81 ± 0.33 b | 4.79 ± 0.08 de |
| MS1 | 11.63 ± 0.29 e | 6.17 ± 0.4 b |
| MS2 | 15.33 ± 0.45 d | 5.01 ± 0.02 cd |
| MS4 | NT | NT |
| MS7 | 21.72 ± 0.39 a | 4.60 ± 0.08 e |
| CVC | 1.5441 | 0.2258 |
| Bacterial Strains | Available Mn Concentration (ppm) | pH Reduction in Response to Manganese Oxide | Available K Concentration (ppm) | pH Reduction in Response to Zinc Oxide |
|---|---|---|---|---|
| Control | 3.01 ± 0.06 f | 6.90 ± 0.02 a | 2.99 ± 0.29 d | 6.92 ± 0.06 a |
| SM2 | 7.65 ± 0.29 b | 4.45 ± 0.04 c | 21.6 ± 0.61 a | 4.60 ± 0.02 d |
| SM4 | NT | NT | NT | NT |
| SM5 | 4.79 ± 0.13 e | 4.80 ± 0.03 b | 17.86 ± 0.72 b | 5.18 ± 0.02 c |
| SM7 | 5.15 ± 0.14 d | 5.08 ± 0.05 b | 11.54 ± 0.38 c | 6.18 ± 0.03 b |
| MS1 | NT | NT | NT | NT |
| MS2 | 11.07 ± 0.13 a | 4.12 ± 0.04 d | NT | NT |
| MS4 | 6.86 ± 0.14 c | 4.69 ± 0.04 b | NT | NT |
| MS7 | 9.87 ± 0.35 ab | 4.39 ± 0.03 c | NT | NT |
| CVC | 0.3154 | 0.2989 | 2.3377 | 0.2110 |
| Bacterial Strains | IAA Production without L-Tryptophan (µg mL−1) | IAA Production with L-Tryptophan (µg mL−1) |
|---|---|---|
| SM2 | 5.12 ± 1.91 ab | 17.89 ± 2.51 c |
| SM4 | 5.76 ± 1.61 a | 26.87 ± 3.14 a |
| SM5 | 4.96 ± 0.43 ab | 22.39 ± 1.55 b |
| SM7 | 3.60 ± 1.66 bcd | 13.94 ± 1.40 de |
| MS1 | 2.37 ± 1.71 d | 7.38 ± 0.36 f |
| MS2 | 2.92 ± 1.86 cd | 12.48 ± 1.75 e |
| MS4 | 4.07 ± 1.09 bc | 15.87 ± 2.90 cd |
| MS7 | 5.02 ± 0.55 ab | 23.74 ± 2.18 b |
| CVC | 1.6539 | 2.5692 |
| Bacterial Strains | Urease Activity | Catalase Activity | Protease Activity | Coagulase Activity | Amylase Activity |
|---|---|---|---|---|---|
| SM2 | −ve | +ve | +ve | −ve | +ve |
| SM4 | +ve | +ve | −ve | −ve | −ve |
| SM5 | −ve | +ve | +ve | −ve | +ve |
| SM7 | +ve | +ve | −ve | +ve | +ve |
| MS1 | −ve | +ve | +ve | −ve | +ve |
| MS2 | +ve | +ve | −ve | −ve | +ve |
| MS4 | −ve | +ve | +ve | −ve | +ve |
| MS7 | +ve | +ve | +ve | +ve | −ve |
| Strains | Shape | Size | Surface | Color | Opacity | Elevation | Margin | Consistency |
|---|---|---|---|---|---|---|---|---|
| SM2 | Circular | Small | Smooth | Skin | Opaque | Flat | Even | Butyrous |
| SM4 | Circular | Medium | Smooth | Yellow | Opaque | Raised | Even | Butyrous |
| SM5 | Irregular | Medium | Shiny | Off white | Translucent | Raised | Wavy | Butyrous |
| SM7 | Circular | Small | Smooth | Pure white | Translucent | Flat | Even | Butyrous |
| MS1 | Circular | Small | Dull | Off white | Translucent | Flat | Even | Dry |
| MS2 | Circular | Small | Shiny | Mustard | Translucent | Raised | Even | Butyrous |
| MS4 | Circular | Medium | Wrinkle | Pure white | Opaque | Umbonate | Wavy | Hard |
| MS7 | Circular | Small | Smooth | Skin | Translucent | Flat | Even | Hard |
| Strains | Form | Gram Reaction | Color | Motility |
|---|---|---|---|---|
| SM2 | Rod | Gram +ve | Purple | Motile |
| SM4 | Rod | Gram +ve | Purple | Motile |
| SM5 | Rod | Gram +ve | Purple | Motile |
| SM7 | Cocci | Gram +ve | Purple | Non-motile |
| MS1 | Rod | Gram +ve | Purple | Motile |
| MS2 | Rod | Gram +ve | Purple | Motile |
| MS4 | Rod | Gram +ve | Purple | Motile |
| MS7 | Cocci | Gram +ve | Purple | Non-motile |
| Strains | Identification by 16S rRNA Gene Sequencing | Similarity with Type Strains (%) | Size (bp) | Accession No. |
|---|---|---|---|---|
| SM2 | Bacillus cereus ATCC 14579T (AE016877) | 99.66 | 1466 | OQ443230 |
| SM4 | Bacillus cereus ATCC 14579T (AE016877) | 99.86 | 1486 | OQ443233 |
| SM5 | Bacillus cereus ATCC 14579T (AE016877) | 99.86 | 1501 | OQ443239 |
| SM7 | Staphylococcus saprophyticus subsp. Saprophyticus ATCC 15305T (AP008934) | 99.93 | 1512 | OQ443241 |
| MS1 | Bacillus cereus ATCC 14579T (AE016877) | 99.86 | 1463 | OQ455713 |
| MS2 | Bacillus cereus ATCC 14579T (AE016877) | 99.86 | 1475 | OQ455715 |
| MS4 | Bacillus cereus ATCC 14579T (AE016877) | 99.86 | 1479 | OQ455717 |
| MS7 | Staphylococcus haemolyticus MTCC3383T (LILF01000056) | 99.93 | 1544 | OQ455720 |
Disclaimer/Publisher’s Note: The statements, opinions and data contained in all publications are solely those of the individual author(s) and contributor(s) and not of MDPI and/or the editor(s). MDPI and/or the editor(s) disclaim responsibility for any injury to people or property resulting from any ideas, methods, instructions or products referred to in the content. |
© 2023 by the authors. Licensee MDPI, Basel, Switzerland. This article is an open access article distributed under the terms and conditions of the Creative Commons Attribution (CC BY) license (https://creativecommons.org/licenses/by/4.0/).
Share and Cite
Javaid, S.; Mushtaq, S.; Mumtaz, M.Z.; Rasool, G.; Naqqash, T.; Afzal, M.; Mushtaq, U.; Ali, H.M.; Akhtar, M.F.-U.-Z.; Abbas, G.; et al. Mineral Solubilizing Rhizobacterial Strains Mediated Biostimulation of Rhodes Grass Seedlings. Microorganisms 2023, 11, 2543. https://doi.org/10.3390/microorganisms11102543
Javaid S, Mushtaq S, Mumtaz MZ, Rasool G, Naqqash T, Afzal M, Mushtaq U, Ali HM, Akhtar MF-U-Z, Abbas G, et al. Mineral Solubilizing Rhizobacterial Strains Mediated Biostimulation of Rhodes Grass Seedlings. Microorganisms. 2023; 11(10):2543. https://doi.org/10.3390/microorganisms11102543
Chicago/Turabian StyleJavaid, Shaista, Saira Mushtaq, Muhammad Zahid Mumtaz, Ghulam Rasool, Tahir Naqqash, Maha Afzal, Uzma Mushtaq, Hayssam M. Ali, Muhammad Fakhar-U-Zaman Akhtar, Ghulam Abbas, and et al. 2023. "Mineral Solubilizing Rhizobacterial Strains Mediated Biostimulation of Rhodes Grass Seedlings" Microorganisms 11, no. 10: 2543. https://doi.org/10.3390/microorganisms11102543
APA StyleJavaid, S., Mushtaq, S., Mumtaz, M. Z., Rasool, G., Naqqash, T., Afzal, M., Mushtaq, U., Ali, H. M., Akhtar, M. F.-U.-Z., Abbas, G., & Li, L. (2023). Mineral Solubilizing Rhizobacterial Strains Mediated Biostimulation of Rhodes Grass Seedlings. Microorganisms, 11(10), 2543. https://doi.org/10.3390/microorganisms11102543

