First Record of Hepatozoon spp. in Alpine Wild Rodents: Implications and Perspectives for Transmission Dynamics across the Food Web
Abstract
1. Introduction
2. Materials and Methods
2.1. Study Area and Animal Sampling
2.2. DNA Extraction, Amplification, and Sequencing
2.3. Statistical Analyses
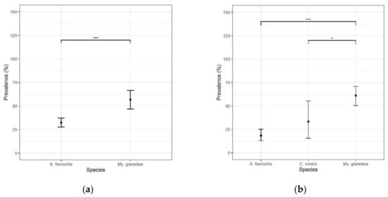
3. Results
4. Discussion
Supplementary Materials
Author Contributions
Funding
Institutional Review Board Statement
Data Availability Statement
Acknowledgments
Conflicts of Interest
Appendix A
- (i)
- life-history covariates
- Sex (categorical variable): Female or Male;
- Breeding status (categorical variable): Juvenile, Sub-adult, Adult;
- Species (categorical variable): Small mammal species captured ad least 20 times (i.e., Apodemus flavicollis, Myodes glareolus, Chionomys nivalis and Sorex araneus).
- (ii)
- environmental covariates
- Study area (categorical variable): based on the anthropic pressure, Cembra Valley (CEV) is characterized as ‘high anthropic’ and Calamento Valley (CAV) as ‘low anthropic’.
- Altitude (categorical variable, only for CAV): the altitudinal gradient defined by 5 classes: 500 m, 1000 m, 1500 m, 2000 m and 2500 m a.s.l.
Appendix A.1. Models across Study Areas with Different Anthropic Pressure
| Fixed Effect | Random Effect | AICc | ∆AICc | Weight |
|---|---|---|---|---|
| Area + Sex + Status + Species | 1|Plot | 766.2 | 0.00 | 0.71 |
| Area + Sex + Status + Species | 1|Plot/Trap | 768.3 | 2.06 | 0.25 |
| Area + Sex + Status + Species | 1|Trap | 772.2 | 5.98 | 0.03 |
| Fixed Effect | Random Effect | AICc | ∆AICc | Weight |
|---|---|---|---|---|
| Species | 1|Plot | 752.72 | 0.00 | 0.41 |
| Area + Species | 1|Plot | 754.68 | 1.96 | 0.15 |
| Sex + Species | 1|Plot | 754.74 | 2.03 | 0.15 |
| Status + Species | 1|Plot | 755.12 | 2.41 | 0.12 |
| Area + Species + Sex | 1|Plot | 756.71 | 4.00 | 0.05 |
| Area + Species + Status | 1|Plot | 757.05 | 4.33 | 0.05 |
| Probability of Infection | ||||
|---|---|---|---|---|
| Predictors | Estimate | Std. Error | Z Value | Pr(>|z|) |
| Intercept | −0.77 *** | 0.16 | −4.86 | 1.15 × 10−6 |
| Species My. glareolus | 1.07 *** | 0.21 | 5.11 | 3.27 × 10−7 |
| Random effects | ||||
| τ00 Plot | 0.12 | |||
| N trap | 10 | |||
| Observations | 590 | |||
| Marginal R2/Conditional R2 | 0.06/0.09 | |||

Appendix A.2. Models across Altitudinal Gradient in Calamento Valley
| Fixed Effect | Random Effect | AICc | ∆AICc | Weight |
|---|---|---|---|---|
| Altitude + Sex + Status + Species | 1|Plot | 314.4 | 0.00 | 0.43 |
| Altitude + Sex + Status + Species | 1|Plot/Trap | 314.4 | 0.00 | 0.43 |
| Altitude + Sex + Status + Species | 1|Trap | 316.6 | 2.19 | 0.14 |
| Fixed Effect | Random Effect | AICc | ∆AICc | Weight |
|---|---|---|---|---|
| Species + Status | 1|Plot | 306.96 | 0.00 | 0.38 |
| Species | 1|Plot | 307.35 | 0.39 | 0.31 |
| Sex + Species + Status | 1|Plot | 309.05 | 2.09 | 0.13 |
| Sex + Species | 1|Plot | 309.41 | 2.45 | 0.11 |
| Altitude + Species | 1|Plot | 312.30 | 5.34 | 0.03 |
| Probability of Infection | ||||
|---|---|---|---|---|
| Predictors | Estimate | Std. Error | Z Value | Pr(>|z|) |
| Intercept | −1.69 *** | 0.25 | −6.75 | 1.47 × 10−11 |
| Species C. nivalis | 0.76 | 0.54 | 1.39 | 0.16 |
| Species My. glareolus | 1.97 *** | 0.30 | 6.54 | 5.98 × 10−11 |
| Status Juvenile | 1.29 * | 0.70 | 1.84 | 0.06 |
| Status Sub-adult | 0.39 | 0.30 | 1.31 | 0.19 |
| Random effects | ||||
| τ00 Plot | 1.15 × 10−9 | |||
| N trap | 9 | |||
| Observations | 272 | |||
| Marginal R2/Conditional R2 | 0.22/0.22 | |||


Appendix B
References
- White, R.J.; Razgour, O. Emerging zoonotic diseases originating in mammals: A systematic review of effects of anthropogenic land-use change. Mamm. Rev. 2020, 50, 336–352. [Google Scholar] [CrossRef] [PubMed]
- Preston, D.L.; Mischler, J.A.; Townsend, A.R.; Johnson, P.T.J. Disease Ecology Meets Ecosystem Science. Ecosystems 2016, 19, 737–748. [Google Scholar] [CrossRef]
- Criado-Fornelio, A.; Buling, A.; Pingret, J.L.; Etievant, M.; Boucraut-Baralon, C.; Alongi, A.; Agnone, A.; Torina, A. Hemoprotozoa of domestic animals in France: Prevalence and molecular characterization. Vet. Parasitol. 2009, 159, 73–76. [Google Scholar] [CrossRef]
- Díaz-Regañón, D.; Villaescusa, A.; Ayllón, T.; Rodríguez-Franco, F.; Baneth, G.; Calleja-Bueno, L.; García-Sancho, M.; Agulla, B.; Sainz, Á. Molecular detection of Hepatozoon spp. and Cytauxzoon sp. in domestic and stray cats from Madrid, Spain. Parasites Vectors 2017, 10, 112. [Google Scholar] [CrossRef]
- Pacifico, L.; Braff, J.; Buono, F.; Beall, M.; Neola, B.; Buch, J.; Sgroi, G.; Piantedosi, D.; Santoro, M.; Tyrrell, P.; et al. Hepatozoon canis in hunting dogs from Southern Italy: Distribution and risk factors. Parasitol. Res. 2020, 119, 3023–3031. [Google Scholar] [CrossRef] [PubMed]
- Morelli, S.; Diakou, A.; Traversa, D.; Di Gennaro, E.; Simonato, G.; Colombo, M.; Dimzas, D.; Grillini, M.; Frangipane di Regalbono, A.; Beugnet, F.; et al. First record of Hepatozoon spp. in domestic cats in Greece. Ticks Tick Borne Dis. 2021, 12, 101580. [Google Scholar] [CrossRef] [PubMed]
- Grillini, M.; Simonato, G.; Tessarin, C.; Dotto, G.; Traversa, D.; Cassini, R.; Marchiori, E.; Di Regalbono, A.F. Cytauxzoon sp. and Hepatozoon spp. in Domestic Cats: A Preliminary Study in North-Eastern Italy. Pathogens 2021, 10, 1214. [Google Scholar] [CrossRef]
- Helm, C.S.; von Samson-Himmelstjerna, G.; Liesner, J.M.; Kohn, B.; Müller, E.; Schaper, R.; Pachnicke, S.; Schulze, C.; Krücken, J. Identical 18S rRNA haplotypes of Hepatozoon canis in dogs and foxes in Brandenburg, Germany. Ticks Tick Borne Dis. 2020, 11, 101520. [Google Scholar] [CrossRef]
- Lauzi, S.; Maia, J.P.; Epis, S.; Marcos, R.; Pereira, C.; Luzzago, C.; Santos, M.; Puente-Payo, P.; Giordano, A.; Pajoro, M.; et al. Molecular detection of Anaplasma platys, Ehrlichia canis, Hepatozoon canis and Rickettsia monacensis in dogs from Maio Island of Cape Verde archipelago. Ticks Tick Borne Dis. 2016, 7, 964–969. [Google Scholar] [CrossRef]
- Scott, J.D.; Pesapane, R.R. Detection of Anaplasma phagocytophilum, Babesia odocoilei, Babesia sp., Borrelia burgdorferi Sensu Lato, and Hepatozoon canis in Ixodes scapularis Ticks Collected in Eastern Canada. Pathogens 2021, 10, 1265. [Google Scholar] [CrossRef]
- Dahmana, H.; Granjon, L.; Diagne, C.; Davoust, B.; Fenollar, F.; Mediannikov, O. Rodents as hosts of pathogens and related zoonotic disease risk. Pathogens 2020, 9, 202. [Google Scholar] [CrossRef] [PubMed]
- Johnson, P.T.J.; Dobson, A.; Lafferty, K.D.; Marcogliese, D.J.; Memmott, J.; Orlofske, S.A.; Poulin, R.; Thieltges, D.W. When parasites become prey: Ecological and epidemiological significance of eating parasites. Trends Ecol. Evol. 2010, 25, 362–371. [Google Scholar] [CrossRef] [PubMed]
- Hamšíková, Z.; Silaghi, C.; Rudolf, I.; Venclíková, K.; Mahríková, L.; Slovák, M.; Mendel, J.; Blažejová, H.; Berthová, L.; Kocianová, E.; et al. Molecular detection and phylogenetic analysis of Hepatozoon spp. in questing Ixodes ricinus ticks and rodents from Slovakia and Czech Republic. Parasitol. Res. 2016, 115, 3897–3904. [Google Scholar] [CrossRef] [PubMed]
- Rigó, K.; Majoros, G.; Szekeres, S.; Molnár, I.; Jablonszky, M.; Majláthová, V.; Majláth, I.; Földvári, G. Identification of Hepatozoon erhardovae Krampitz, 1964 from bank voles (Myodes glareolus) and fleas in Southern Hungary. Parasitol. Res. 2016, 115, 2409–2413. [Google Scholar] [CrossRef]
- Paperna, I.; Lainson, R. Hepatozoon cf. terzii (Sambon & Seligman, 1907) infection in the snake Boa constrictor constrictor from north Brazil: Transmission to the mosquito Culex quinquefasciatus and the lizard Tropidurus torquatus. Parasite 2004, 11, 175–181. [Google Scholar] [CrossRef]
- Duscher, G.G.; Leschnik, M.; Fuehrer, H.P.; Joachim, A. Wildlife reservoirs for vector-borne canine, feline and zoonotic infections in Austria. Int. J. Parasitol. Parasites Wildl. 2015, 4, 88–96. [Google Scholar] [CrossRef]
- Murata, T.; Taura, Y.; Nakama, S.; Inoue, M.; Tateyama, S. Vertical Transmission of Hepatozoon canis in Dogs. J. Vet. Med. Sci. 1993, 55, 867–868. [Google Scholar] [CrossRef]
- Duscher, G.G.; Fuehrer, H.P.; Kübber-Heiss, A. Fox on the run—molecular surveillance of fox blood and tissue for the occurrence of tick-borne pathogens in Austria. Parasites Vectors 2014, 7, 521. [Google Scholar] [CrossRef]
- Modrý, D.; Hofmannová, L.; Papežík, P.; Majerová, K.; Votýpka, J.; Hönig, V.; Růžek, D.; Hrazdilová, K. Hepatozoon in Eurasian red squirrels Sciurus vulgaris, its taxonomic identity, and phylogenetic placement. Parasitol. Res. 2021, 1, 3. [Google Scholar] [CrossRef]
- Battisti, E.; Zanet, S.; Khalili, S.; Trisciuoglio, A.; Hertel, B.; Ferroglio, E. Molecular Survey on Vector-Borne Pathogens in Alpine Wild Carnivorans. Front. Vet. Sci. 2020, 7, 1. [Google Scholar] [CrossRef]
- Tomé, B.; Maia, J.P.; Salvi, D.; Brito, J.C.; Carretero, M.A.; Perera, A.; Meimberg, H.; Harris, D.J. Patterns of genetic diversity in Hepatozoon spp. infecting snakes from North Africa and the Mediterranean Basin. Syst. Parasitol. 2014, 87, 249–258. [Google Scholar] [CrossRef] [PubMed]
- Perles, L.; Roque, A.L.R.; D’Andrea, P.S.; Lemos, E.R.S.; Santos, A.F.; Morales, A.C.; Machado, R.Z.; André, M.R. Genetic diversity of Hepatozoon spp. in rodents from Brazil. Sci. Rep. 2019, 9, 10122. [Google Scholar] [CrossRef] [PubMed]
- Laakkonen, J.; Sukura, A.; Oksanen, A.; Henttonen, H.; Soveri, T. Haemogregarines of the genus Hepatozoon (Apicomplexa: Adeleina) in rodents from northern Europe. Folia Parasitol. 2001, 48, 263–267. [Google Scholar] [CrossRef]
- Urban, M.C.; Bocedi, G.; Hendry, A.P.; Mihoub, J.-B.; Pe’er, G.; Singer, A.; Bridle, J.R.; Crozier, L.G.; De Meester, L.; Godsoe, W.; et al. Improving the forecast for biodiversity under climate change. Science 2016, 353, aad8466. [Google Scholar] [CrossRef] [PubMed]
- Gilman, S.E.; Urban, M.C.; Tewksbury, J.; Gilchrist, G.W.; Holt, R.D. A framework for community interactions under climate change. Trends Ecol. Evol. 2010, 25, 325–331. [Google Scholar] [CrossRef]
- Rizzoli, A.; Tagliapietra, V.; Cagnacci, F.; Marini, G.; Arnoldi, D.; Rosso, F.; Rosà, R. Parasites and wildlife in a changing world: The vector-host- pathogen interaction as a learning case. Int. J. Parasitol. Parasites Wildl. 2019, 9, 394–401. [Google Scholar] [CrossRef] [PubMed]
- Garcia-Vozmediano, A.; Krawczyk, A.I.; Sprong, H.; Rossi, L.; Ramassa, E.; Tomassone, L. Ticks climb the mountains: Ixodid tick infestation and infection by tick-borne pathogens in the Western Alps. Ticks Tick Borne Dis. 2020, 11, 101489. [Google Scholar] [CrossRef]
- Fuehrer, H.-P.; Soukup, I.; Shahi-Barogh, B.; Glawischnig, W. Absence of blood parasites and other vector-borne pathogens in Alpine marmots (Marmota marmota) in Western Austria. Parasitol. Res. 2021, 120, 1125–1129. [Google Scholar] [CrossRef]
- Smith, T.G. The genus Hepatozoon (Apicomplexa: Adeleina). J. Parasitol. 1996, 82, 565–585. [Google Scholar] [CrossRef]
- Gobiet, A.; Kotlarski, S.; Beniston, M.; Heinrich, G.; Rajczak, J.; Stoffel, M. 21st century climate change in the European Alps—A review. Sci. Total Environ. 2014, 493, 1138–1151. [Google Scholar] [CrossRef]
- Pawelczyk, A.; Bajer, A.; Behnke, J.M.; Gilbert, F.S.; Sinski, E. Factors affecting the component community structure of haemoparasites in common voles (Microtus arvalis) from the Mazury Lake District region of Poland. Parasitol. Res. 2004, 92, 270–284. [Google Scholar] [CrossRef] [PubMed]
- Karbowiak, G.; Rychlik, L.; Nowakowski, W.; Wita, I. Natural infections of small mammals with blood parasites on the borderland of boreal and temperate forest zones. Acta Theriol. 2005, 50, 31–42. [Google Scholar] [CrossRef]
- Al-Quraishy, S.; Abdel-Ghaffar, F.; Dkhil, M.A.; Abdel-Gaber, R. Haemogregarines and Criteria for Identification. Animals 2021, 11, 170. [Google Scholar] [CrossRef] [PubMed]
- Sebek, Z. Blood Parasites of Small Mammals in Western Hungary. Parasitol. Hungarica 1978, 11, 17–22. [Google Scholar]
- De Monte, T. Infection with Hepatozoon muris Balf. (Protozoa, Adeleidae) in wild varieties of Rattus norvegicus in Trieste. Schweiz. Arch. Tierheilkd. 1971, 113, 654–659. [Google Scholar]
- Brumpt, E. Contribution a l’etude d’Hepatozoon muris. Utilisation du xénodiagnostic pour l’identification des espèces d’hémogrégarines. Ann. Parasitol. Hum. Comp. 1946, 21, 1–24. [Google Scholar] [CrossRef]
- Hoogstraal, H. The Life Cycle and Incidence of Hepatozoon balfouri (Laveran, 1905) in Egyptian Jerboas (Jaculus spp.) and Mites (Haemolaelaps aegyptius Keegan, 1956) *. J. Protozool. 1961, 8, 231–248. [Google Scholar] [CrossRef]
- Miller, W.W. Hepatozoon Perniciosum (n. G., N. Sp.): A Haemogregarine Pathogenic for White Rats: With a Description of the Sexual Cycle in the Intermediate Host, a Mite (Lelaps Echidninus). Lab Bull. 1908, 46, 51. [Google Scholar]
- Simpson, V.R.; Birtles, R.J.; Bown, K.J.; Panciera, R.J.; Butler, H.; Davison, N. Hepatozoon species infection in wild red squirrels (Sciurus vulgaris) on the Isle of Wight. Vet. Rec. 2006, 159, 202–205. [Google Scholar] [CrossRef]
- Johnson, E.M.; Allen, K.E.; Breshears, M.A.; Panciera, R.J.; Little, S.E.; Ewing, S.A. Experimental transmission of Hepatozoon americanum to rodents. Vet. Parasitol. 2008, 151, 164–169. [Google Scholar] [CrossRef]
- Baker, D.G. Parasitic Diseases. In The Laboratory Rat, 2nd ed.; Elsevier Inc.: Amsterdam, The Netherlands, 2006; pp. 453–478. [Google Scholar] [CrossRef]
- Alencar, N. Hepatozoon canis infection of wild carnivores in Brazil. Vet. Parasitol. 1997, 70, 279–282. [Google Scholar] [CrossRef]
- Diakou, A.; Dimzas, D.; Astaras, C.; Savvas, I.; Di Cesare, A.; Morelli, S.; Neofitos, K.; Migli, D.; Traversa, D. Clinical investigations and treatment outcome in a European wildcat (Felis silvestris silvestris) infected by cardio-pulmonary nematodes. Vet. Parasitol. Reg. Stud. Rep. 2020, 19, 100357. [Google Scholar] [CrossRef] [PubMed]
- Cunningham, M.W.; Yabsley, M.J. Primer on Tick-Borne Diseases in Exotic Carnivores. Fowler’s Zoo Wild Anim. Med. Curr. Ther. 2012, 7, 458–464. [Google Scholar] [CrossRef]
- Zechmeisterová, K.; Javanbakht, H.; Kvičerová, J.; Široký, P. Against growing synonymy: Identification pitfalls of Hepatozoon and Schellackia demonstrated on North Iranian reptiles. Eur. J. Protistol. 2021, 79, 125780. [Google Scholar] [CrossRef]
- Casati, S.; Sager, H.; Gern, L.; Piffaretti, J.C. Presence of potentially pathogenic Babesia sp. for human in Ixodes ricinus in Switzerland. Ann. Agric. Environ. Med. 2006, 13, 65–70. [Google Scholar]
- Baltrūnaitė, L.; Kitrytė, N.; Križanauskienė, A. Blood parasites (Babesia, Hepatozoon and Trypanosoma) of rodents, Lithuania: Part I. Molecular and traditional microscopy approach. Parasitol. Res. 2020, 119, 687–694. [Google Scholar] [CrossRef]
- Usluca, S.; Celebi, B.; Karasartova, D.; Semra Gureser, A.; Matur, F.; Oktem, M.A.; Sozen, M.; Karatas, A.; Babur, C.; Mumcuoglu, K.Y.; et al. Molecular Survey of Babesia microti (Aconoidasida: Piroplasmida) in Wild Rodents in Turkey. J. Med. Entomol. 2019, 56, 1605–1609. [Google Scholar] [CrossRef]
- Azmi, K.; Ereqat, S.; Nasereddin, A.; Al-Jawabreh, A.; Baneth, G.; Abdeen, Z. Molecular detection of Theileria, Babesia, and Hepatozoon spp. in ixodid ticks from Palestine. Ticks Tick Borne Dis. 2016, 7, 734–741. [Google Scholar] [CrossRef]
- Najm, N.A.; Meyer-Kayser, E.; Hoffmann, L.; Herb, I.; Fensterer, V.; Pfister, K.; Silaghi, C. A molecular survey of Babesia spp. and Theileria spp. in red foxes (Vulpes vulpes) and their ticks from Thuringia, Germany. Ticks Tick Borne Dis. 2014, 5, 386–391. [Google Scholar] [CrossRef]
- Larkin, M.A.; Blackshields, G.; Brown, N.P.; Chenna, R.; McGettigan, P.A.; McWilliam, H.; Valentin, F.; Wallace, I.M.; Wilm, A.; Lopez, R.; et al. Clustal W and Clustal X version 2.0. Bioinformatics 2007, 23, 2947–2948. [Google Scholar] [CrossRef]
- Carstensen, B.; Plummer, M.; Laara, E.; Hills, M. Epi: A Package for Statistical Analysis in Epidemiology; R Package Version 2.44; R Core Team: Vienna, Austria, 2021. [Google Scholar]
- R Core Team. R: A Language and Environment for Statistical Computing; R Core Team: Vienna, Austria, 2021. [Google Scholar]
- Bolker, B.M.; Brooks, M.E.; Clark, C.J.; Geange, S.W.; Poulsen, J.R.; Stevens, M.H.H.; White, J.S.S. Generalized linear mixed models: A practical guide for ecology and evolution. Trends Ecol. Evol. 2009, 24, 127–135. [Google Scholar] [CrossRef]
- Burnham, K.P.; Anderson, D.R. A Practical Information-Theoretic Approach. In Model Selection and Multimodel Inference; Springer: New York, NY, USA, 2002; pp. 70–71. [Google Scholar]
- Wicckham, H.; Averrick, M.; Bryan, J.; Chang, W.; McGowan, L.D.; François, R.; Grolemund, G.; Hayes, A.; Henry, L.; Hester, J.; et al. Welcome to the tidyverse. J. Open Source Softw. 2019, 4, 1686. [Google Scholar] [CrossRef]
- Wetschoreck, F.; Krabel, T.; Krishnamurthy, S. 8080labs/ppscore: Zenodo Release.
- Barton, K. MuMIn: Multi-Models Interference. 2018. [Google Scholar]
- Brooks, M.E.; Kristensen, K.; van Benthem, K.J.; Magnusson, A.; Berg, C.W.; Nielsen, A.; Skaug, H.J.; Maechler, M.; Bolker, B.M. glmmTMB: Balances speed and flexibility among packages for zero-inflated Generalized Linear Mixed Modeling. R. J. 2017, 9, 378–400. [Google Scholar] [CrossRef]
- Irwin, D.M.; Kocher, T.D.; Wilson, A.C. Evolution of the cytochromeb gene of mammals. J. Mol. Evol. 1991, 32, 128–144. [Google Scholar] [CrossRef] [PubMed]
- Moustafa, M.A.M.; Shimozuru, M.; Mohamed, W.; Taylor, K.R.; Nakao, R.; Sashika, M.; Tsubota, T. First molecular detection and characterization of Hepatozoon and Sarcocystis spp. in field mice and voles from Japan. Parasitol. Res. 2017, 116, 2321–2325. [Google Scholar] [CrossRef] [PubMed]
- Bajer, A.; Welc-Faleciak, R.; Bednarska, M.; Alsarraf, M.; Behnke-Borowczyk, J.; Siński, E.; Behnke, J.M. Long-Term Spatiotemporal Stability and Dynamic Changes in the Haemoparasite Community of Bank Voles (Myodes glareolus) in NE Poland. Microb. Ecol. 2014, 68, 196–211. [Google Scholar] [CrossRef]
- Galfsky, D.; Król, N.; Pfeffer, M.; Obiegala, A. Long-term trends of tick-borne pathogens in regard to small mammal and tick populations from Saxony, Germany. Parasit. Vectors 2019, 12, 131. [Google Scholar] [CrossRef]
- Janeau, G.; Aulagnier, S. Snow vole Chionomys nivalis (Martins, 1842). J. Mt. Ecol. 1997, 4, e11. [Google Scholar]
- Healing, T.D. Infections with blood parasites in the small British rodents Apodemus sylvaticus, Clethrionomys glareolus and Microtus agrestis. Parasitology 1981, 83, 179–189. [Google Scholar] [CrossRef]
- Gervasi, S.S.; Civitello, D.J.; Kilvitis, H.J.; Martin, L.B. The context of host competence: A role for plasticity in host-parasite dynamics. Trends Parasitol. 2015, 31, 419–425. [Google Scholar] [CrossRef]
- Almberg, E.S.; Cross, P.C.; Dobson, A.P.; Smith, D.W.; Hudson, P.J. Parasite invasion following host reintroduction: A case study of Yellowstone’s wolves. Philos. Trans. R. Soc. B Biol. Sci. 2012, 367, 2840–2851. [Google Scholar] [CrossRef] [PubMed]
- Squarre, D.; Nakamura, Y.; Hayashida, K.; Kawai, N.; Chambaro, H.; Namangala, B.; Sugimoto, C.; Yamagishi, J. Investigation of the piroplasm diversity circulating in wildlife and cattle of the greater Kafue ecosystem, Zambia. Parasites Vectors 2020, 13, 599. [Google Scholar] [CrossRef] [PubMed]
- Faust, C.L.; Dobson, A.P.; Gottdenker, N.; Bloomfield, L.S.P.; McCallum, H.I.; Gillespie, T.R.; Diuk-Wasser, M.; Plowright, R.K. Null expectations for disease dynamics in shrinking habitat: Dilution or amplification? Philos. Trans. R. Soc. B Biol. Sci. 2017, 372, 20160173. [Google Scholar] [CrossRef] [PubMed]
- Estrada-Peña, A.; De La Fuente, J. The ecology of ticks and epidemiology of tick-borne viral diseases. Antiviral Res. 2014, 108, 104–128. [Google Scholar] [CrossRef] [PubMed]
- Medlock, J.M.; Hansford, K.M.; Bormane, A.; Derdakova, M.; Estrada-Peña, A.; George, J.-C.; Golovljova, I.; Jaenson, T.G.T.; Jensen, J.-K.; Jensen, P.M.; et al. Driving forces for changes in geographical distribution of Ixodes ricinus ticks in Europe. Parasit. Vectors 2013, 6, 1. [Google Scholar] [CrossRef]
- Materna, J.; Daniel, M.; Metelka, L.; Harčarik, J. The vertical distribution, density and the development of the tick Ixodes ricinus in mountain areas influenced by climate changes (The Krkonoše Mts., Czech Republic). Int. J. Med. Microbiol. 2008, 298, 25–37. [Google Scholar] [CrossRef]
- Altizer, S.; Ostfeld, R.S.; Johnson, P.T.J.; Kutz, S.; Harvell, C.D. Climate Change and Infectious Diseases: From Evidence to a Predictive Framework. Science 2013, 341, 514–519. [Google Scholar] [CrossRef]
- Miller, E.; Huppert, A. The Effects of Host Diversity on Vector-Borne Disease: The Conditions under Which Diversity Will Amplify or Dilute the Disease Risk. PLoS ONE 2013, 8, e80279. [Google Scholar] [CrossRef]
- Gilbert, L. The Impacts of Climate Change on Ticks and Tick-Borne Disease Risk. Annu. Rev. Entomol. 2021, 66, 373–388. [Google Scholar] [CrossRef]
- Estrada-Peña, A.; Ostfeld, R.S.; Peterson, A.T.; Poulin, R.; de la Fuente, J. Effects of environmental change on zoonotic disease risk: An ecological primer. Trends Parasitol. 2014, 30, 205–214. [Google Scholar] [CrossRef]
- Hornok, S.; Tánczos, B.; Fernández de Mera, I.G.; de la Fuente, J.; Hofmann-Lehmann, R.; Farkas, R. High prevalence of Hepatozoon-infection among shepherd dogs in a region considered to be free of Rhipicephalus sanguineus. Vet. Parasitol. 2013, 196, 189–193. [Google Scholar] [CrossRef] [PubMed]
- Haklová, B.; Majláthová, V.; Majláth, I.; Harris, D.J.; Petrilla, V.; Litschka-Koen, T.; Oros, M.; Peťko, B. Phylogenetic relationship of Hepatozoon blood parasites found in snakes from Africa, America and Asia. Parasitology 2014, 141, 389–398. [Google Scholar] [CrossRef] [PubMed]
- Barandika, J.F.; Espí, A.; Oporto, B.; Del Cerro, A.; Barral, M.; Povedano, I.; García-Pérez, A.L.; Hurtado, A. Occurrence and genetic diversity of piroplasms and other apicomplexa in wild carnivores. Parasitol. Open 2016, 2, e6. [Google Scholar] [CrossRef]
- Peirce, M.A. A checklist of the valid avian species of Babesia (Apicomplexa: Piroplasmorida), Haemoproteus, Leucocytozoon (Apicomplexa: Haemosporida), and Hepatozoon (Apicomplexa: Haemogregarinidae). J. Nat. Hist. 2005, 39, 3621–3632. [Google Scholar] [CrossRef]
- Maia, J.P.; Álvares, F.; Boratyński, Z.; Brito, J.C.; Leite, J.V.; Harris, D.J. Molecular assessment of hepatozoon (apicomplexa: Adeleorina) infections in wild canids and rodents from North Africa, with implications for transmission dynamics across taxonomic groups. J. Wildl. Dis. 2014, 50, 837–848. [Google Scholar] [CrossRef]
- Gimenez, C.; Casado, N.; Criado-Fornelio, Á.; de Miguel, F.Á.; Dominguez-Peñafiel, G. A molecular survey of Piroplasmida and Hepatozoon isolated from domestic and wild animals in Burgos (northern Spain). Vet. Parasitol. 2009, 162, 147–150. [Google Scholar] [CrossRef]
- Zuur, A.F.; Ieno, E.N. A protocol for conducting and presenting results of regression-type analyses. Methods Ecol. Evol. 2016, 7, 636–645. [Google Scholar] [CrossRef]


| Family | Genus | Species | Study Site | PCR Positive/Total | % Prevalence (CI) | Altitude of Positives (m a.s.l.) |
|---|---|---|---|---|---|---|
| Muridae | Apodemus | flavicollis | CEV | 127/394 | 32.23 (27.64–37.1) | 1000 |
| flavicollis | CAV | 31/168 | 18.45 (12.89–25.16) | 500, 1000, 1500 | ||
| sylvaticus | CEV | 3/8 | 37.5 (8.52–75.51) | 1000 | ||
| sylvaticus | CAV | 0/2 | - | - | ||
| Arvicolidae | Chionomys | nivalis | CAV | 8/24 | 33.33 (15.63–55.32) | 2000, 2500 |
| Microtus | agrestis | CAV | 0/1 | - | - | |
| arvalis | CAV | 1/2 | 50.00 (1.26–98.74) | 2000 | ||
| subterraneus | CAV | 0/2 | - | - | ||
| Myodes | glareolus | CEV | 59/104 | 56.73 (46.65–66.41) | 1000 | |
| glareolus | CAV | 58/95 | 61.05 (50.50–70.89) | 1000, 1500, 2000 | ||
| Soricidae | Crocidura | leucodon | CAV | 0/1 | - | - |
| Sorex | alpinus | CAV | 0/3 | - | - | |
| araneus | CAV | 0/25 | - | - | ||
| minutus | CAV | 0/1 | - | - | ||
| Total positive | 287/830 | 34.58 (31.34–37.92) | ||||
| Total positive rodents | 287/800 | 35.87 (32.55–39.30) |
Publisher’s Note: MDPI stays neutral with regard to jurisdictional claims in published maps and institutional affiliations. |
© 2022 by the authors. Licensee MDPI, Basel, Switzerland. This article is an open access article distributed under the terms and conditions of the Creative Commons Attribution (CC BY) license (https://creativecommons.org/licenses/by/4.0/).
Share and Cite
Ferrari, G.; Girardi, M.; Cagnacci, F.; Devineau, O.; Tagliapietra, V. First Record of Hepatozoon spp. in Alpine Wild Rodents: Implications and Perspectives for Transmission Dynamics across the Food Web. Microorganisms 2022, 10, 712. https://doi.org/10.3390/microorganisms10040712
Ferrari G, Girardi M, Cagnacci F, Devineau O, Tagliapietra V. First Record of Hepatozoon spp. in Alpine Wild Rodents: Implications and Perspectives for Transmission Dynamics across the Food Web. Microorganisms. 2022; 10(4):712. https://doi.org/10.3390/microorganisms10040712
Chicago/Turabian StyleFerrari, Giulia, Matteo Girardi, Francesca Cagnacci, Olivier Devineau, and Valentina Tagliapietra. 2022. "First Record of Hepatozoon spp. in Alpine Wild Rodents: Implications and Perspectives for Transmission Dynamics across the Food Web" Microorganisms 10, no. 4: 712. https://doi.org/10.3390/microorganisms10040712
APA StyleFerrari, G., Girardi, M., Cagnacci, F., Devineau, O., & Tagliapietra, V. (2022). First Record of Hepatozoon spp. in Alpine Wild Rodents: Implications and Perspectives for Transmission Dynamics across the Food Web. Microorganisms, 10(4), 712. https://doi.org/10.3390/microorganisms10040712

