A New 3-Ketosteroid-Δ1–Dehydrogenase with High Activity and Broad Substrate Scope for Efficient Transformation of Hydrocortisone at High Substrate Concentration
Abstract
:1. Introduction
2. Materials and Methods
2.1. Reagents, Strains, and Media
2.2. Gene Cloning and Expression
2.3. Enzyme Activity Assay of Crude Enzymes
2.4. Purification and Characterization of PrKstD
2.5. Optimization of Process Conditions for the Bioconversion of Hydrocortisone to Prednisolone
3. Results
3.1. Δ1-Dehydrogenation of Steroids by Cell-Free Extracts of Various KstD Enzymes
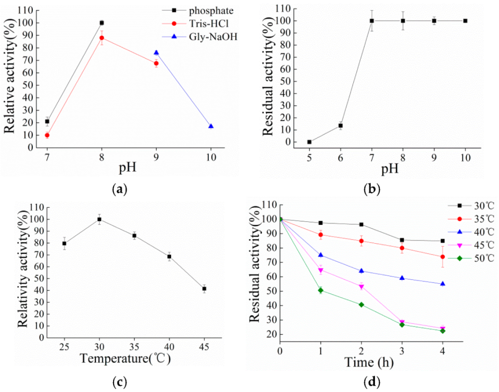
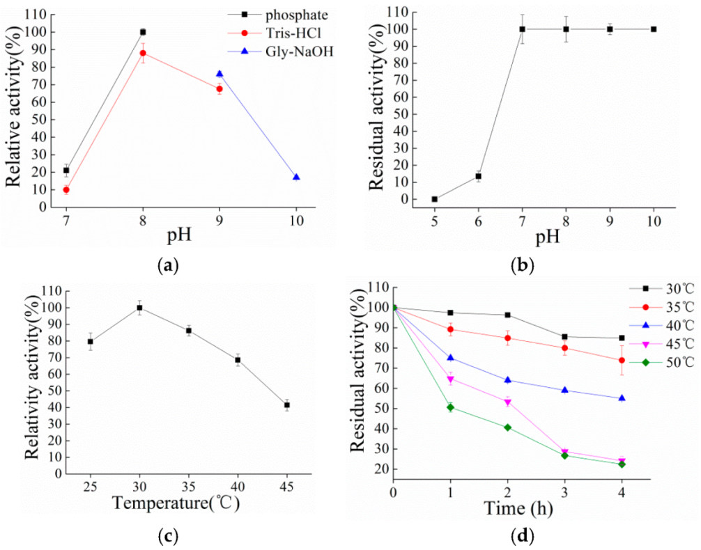
3.2. Biochemical Properties and Kinetic Parameters of Purified PrKstD
3.3. Optimization of Process Conditions for the Bioconversion of Hydrocortisone to Prednisolone
4. Discussion
5. Conclusions
Supplementary Materials
Author Contributions
Funding
Data Availability Statement
Conflicts of Interest
References
- Tong, W.Y. Microbial biotransformation: Recent developments on steroid drugs. Recent Patents Biotechnol. 2009, 3, 141–153. [Google Scholar] [CrossRef] [PubMed]
- Samuel, S.; Nguyen, T.; Choi, H.A. Pharmacologic ccharacteristics of corticosteroids. J. Neurocritical Care 2017, 10, 53–59. [Google Scholar] [CrossRef] [Green Version]
- Donova, M.V.; Egorova, O. Microbial steroid transformations: Current state and prospects. Appl. Microbiol. Biotechnol. 2012, 94, 1423–1447. [Google Scholar] [CrossRef] [PubMed]
- Fernández-Cabezón, L.; Galán, B.; García, J.L. New insights on steroid biotechnology. Front. Microbiol. 2018, 9, 958. [Google Scholar] [CrossRef] [PubMed]
- Rohman, A.; Dijkstra, B.W. The role and mechanism of microbial 3-ketosteroid Δ1-dehydrogenases in steroid breakdown. J. Steroid Biochem. Mol. Biol. 2019, 191, 105366. [Google Scholar] [CrossRef] [PubMed]
- Rohman, A.; Dijkstra, B.W. Application of microbial 3-ketosteroid Δ1-dehydrogenases in biotechnology. Biotechnol. Adv. 2021, 49, 107751. [Google Scholar] [CrossRef] [PubMed]
- Marcos-Escribano, A.; Bermejo, F.A.; Bonde-Larsen, A.L.; Retuerto, J.I.; Sierra, I.H. 1,2-Dehydrogenation of steroidal 6-methylen derivatives. Synthesis of exemestane. Tetrahedron 2009, 65, 7587–7590. [Google Scholar] [CrossRef]
- Chen, K.; Liu, C.; Deng, L.; Xu, G. A practical Δ1-dehydrogenation of Δ4-3-keto-steroids with DDQ in the presence of TBDMSCl at room temperature. Steroids 2010, 75, 513–516. [Google Scholar] [CrossRef]
- Jing, Y.; Xu, C.G.; Ding, K.; Lin, J.R.; Jin, R.H.; Tian, W.S. Protecting group effect on the 1,2-dehydrogenation of 19-hydroxysteroids: A highly efficient protocol for the synthesis of estrogens. Tetrahedron Lett. 2010, 51, 3242–3245. [Google Scholar] [CrossRef]
- Jia, H.C.; Fang, L.; Zheng, X.L.; Cui, H.L.; Luo, J.M.; Shen, Y.B.; Wang, M.; Tian, T.; Ding, A.P. Research progress of 3-ketosteroid-Δ1-dehydrogenase, a key enzyme for steroid microbial conversion. Microbiology China 2020, 47, 2218–2235. [Google Scholar] [CrossRef]
- Van der Geize, R.; Hessels, G.I.; van Gerwen, R.; Vrijbloed, J.W.; van der Meijden, P.; Dijkhuizen, L. Targeted disruption of the kstD gene encoding a 3-Kketosteroid Δ1-dehydrogenase isoenzyme of Rhodococcus erythropolis strain SQ1. Appl. Environ. Microbiol. 2000, 66, 2029–2036. [Google Scholar] [CrossRef] [PubMed] [Green Version]
- Horinouchi, M.; Hayashi, T.; Yamamoto, T.; Kudo, T. A new bacterial steroid degradation gene cluster in Comamonas testosteroni TA441 shich consists of aromatic-compound degradation genes for seco-steroids and 3-ketosteroid dehydrogenase genes. Appl. Environ. Microbiol. 2003, 69, 4421–4430. [Google Scholar] [CrossRef] [PubMed] [Green Version]
- De las Heras, L.F.; van der Geize, R.; Drzyzga, O.; Perera, J.; Llorens, J.M.N. Molecular characterization of three 3-ketosteroid-Δ1-dehydrogenase isoenzymes of Rhodococcus ruber strain Chol-4. J. Steroid Biochem. Mol. Biol. 2012, 132, 271–281. [Google Scholar] [CrossRef] [PubMed]
- Zhang, Q.; Ren, Y.; He, J.; Cheng, S.; Yuan, J.; Ge, F.; Li, W.; Zhang, Y.; Xie, G. Multiplicity of 3-ketosteroid Δ1-dehydrogenase enzymes in Gordonia neofelifaecis NRRL B-59395 with preferences for different steroids. Ann. Microbiol. 2015, 65, 1961–1971. [Google Scholar] [CrossRef]
- Yao, K.; Xu, L.Q.; Wang, F.Q.; Wei, D.Z. Characterization and engineering of 3-ketosteroid-Δ1-dehydrogenase and 3-ketosteroid-9α-hydroxylase in Mycobacterium neoaurum ATCC 25795 to produce 9α-hydroxy-4-androstene-3,17-dione through the catabolism of sterols. Metab. Eng. 2014, 24, 181–191. [Google Scholar] [CrossRef]
- Liu, Y.; Shen, Y.; Qiao, Y.; Su, L.; Li, C.; Wang, M. The effect of 3-ketosteroid-Δ1-dehydrogenase isoenzymes on the transformation of AD to 9α-OH-AD by Rhodococcus rhodochrous DSM43269. J. Ind. Microbiol. Biotechnol. 2016, 43, 1303–1311. [Google Scholar] [CrossRef]
- Guevara, G.; Heras, L.F.D.L.; Perera, J.; Llorens, J.M.N. Functional differentiation of 3-ketosteroid Δ1-dehydrogenase isozymes in Rhodococcus ruber strain Chol-4. Microb. Cell Factories 2017, 16, 42. [Google Scholar] [CrossRef] [Green Version]
- Xie, R.; Shen, Y.; Qin, N.; Wang, Y.; Su, L.; Wang, M. Genetic differences in ksdD influence on the ADD/AD ratio of Mycobacterium neoaurum. J. Ind. Microbiol. Biotechnol. 2015, 42, 507–513. [Google Scholar] [CrossRef]
- Zhang, H.; Tian, Y.; Wang, J.; Li, Y.; Wang, H.; Mao, S.; Liu, X.; Wang, C.; Bie, S.; Lu, F. Construction of engineered Arthrobacter simplex with improved performance for cortisone acetate biotransformation. Appl. Microbiol. Biotechnol. 2013, 97, 9503–9514. [Google Scholar] [CrossRef]
- Luo, J.M.; Cui, H.L.; Jia, H.C.; Li, F.; Cheng, H.J.; Shen, Y.B.; Wang, M. Identification, biological characteristics, and active site residues of 3-ketosteroid Δ1-dehydrogenase homologues from Arthrobacter simplex. J. Agric. Food Chem. 2020, 68, 9496–9512. [Google Scholar] [CrossRef]
- Luo, J.M.; Zhu, W.C.; Cao, S.T.; Lu, Z.Y.; Zhang, M.H.; Song, B.; Shen, Y.B.; Wang, M. Improving biotransformation dfficiency of Arthrobacter simplex by enhancement of cell stress tolerance and enzyme activity. J. Agric. Food Chem. 2021, 69, 704–716. [Google Scholar] [CrossRef] [PubMed]
- Shtratnikova, V.Y.; Schelkunov, M.I.; Fokina, V.V.; Bragin, E.Y.; Shutov, A.A.; Donova, M.V. Different genome-wide transcriptome responses of Nocardioides simplex VKM Ac-2033D to phytosterol and cortisone 21-acetate. BMC Biotechnol. 2021, 21, 1–20. [Google Scholar] [CrossRef] [PubMed]
- Li, Y.; Lu, F.; Sun, T.; Du, L. Expression of ksdD gene encoding 3-ketosteroid-Δ1-dehydrogenase from Arthrobacter simplex in Bacillus subtilis. Lett. Appl. Microbiol. 2007, 44, 563–568. [Google Scholar] [CrossRef] [PubMed]
- Zhang, W.; Shao, M.; Rao, Z.; Xu, M.; Zhang, X.; Yang, T.; Li, H.; Xu, Z. Bioconversion of 4-androstene-3,17-dione to androst-1,4-diene-3,17-dione by recombinant Bacillus subtilis expressing ksdd gene encoding 3-ketosteroid-Δ1-dehydrogenase from Mycobacterium neoaurum JC-12. J. Steroid Biochem. Mol. Biol. 2013, 135, 36–42. [Google Scholar] [CrossRef] [PubMed]
- Shao, M.; Sha, Z.; Zhang, X.; Rao, Z.; Xu, M.; Yang, T.; Xu, Z.; Yang, S. Efficient androst-1,4-diene-3,17-dione production by co-expressing 3-ketosteroid-Δ1-dehydrogenase and catalase in Bacillus subtilis. J. Appl. Microbiol. 2016, 122, 119–128. [Google Scholar] [CrossRef]
- Zhang, X.; Wu, D.; Yang, T.; Xu, M.; Rao, Z. Over-expression of Mycobacterium neoaurum 3-ketosteroid-Δ1-dehydrogenase in Corynebacterium crenatum for efficient bioconversion of 4-androstene-3,17-dione to androst-1,4-diene-3,17-dione. Electron. J. Biotechnol. 2016, 24, 84–90. [Google Scholar] [CrossRef] [Green Version]
- Chen, M.M.; Wang, F.Q.; Lin, L.C.; Yao, K.; Wei, D.Z. Characterization and application of fusidane antibiotic biosynethsis enzyme 3-ketosteroid-∆1-dehydrogenase in steroid transformation. Appl. Microbiol. Biotechnol. 2012, 96, 133–142. [Google Scholar] [CrossRef]
- Wang, W.; Ge, F.; Ma, C.; Li, J.; Ren, Y.; Li, W.; Fu, J. Heterologous expression and characterization of a 3-ketosteroid-∆1-dehydrogenase from Gordonia neofelifaecis and its utilization in the bioconversion of androst-4,9(11)-dien-3,17-dione. 3 Biotech 2017, 7, 19. [Google Scholar] [CrossRef] [Green Version]
- Wang, X.; Feng, J.; Zhang, D.; Wu, Q.; Zhu, D.; Ma, Y. Characterization of new recombinant 3-ketosteroid-Δ1-dehydrogenases for the biotransformation of steroids. Appl. Microbiol. Biotechnol. 2017, 101, 6049–6060. [Google Scholar] [CrossRef]
- Mao, S.; Wang, J.-W.; Liu, F.; Zhu, Z.; Gao, D.; Guo, Q.; Xu, P.; Ma, Z.; Hou, Y.; Cheng, X.; et al. Engineering of 3-ketosteroid-∆1-dehydrogenase based site-directed saturation mutagenesis for efficient biotransformation of steroidal substrates. Microb. Cell Factories 2018, 17, 141. [Google Scholar] [CrossRef]
- Zhang, R.; Xu, X.; Cao, H.; Yuan, C.; Yuminaga, Y.; Zhao, S.; Shi, J.; Zhang, B. Purification, characterization, and application of a high activity 3-ketosteroid-Δ1-dehydrogenase from Mycobacterium neoaurum DSM 1381. Appl. Microbiol. Biotechnol. 2019, 103, 6605–6616. [Google Scholar] [CrossRef] [PubMed]
- Wojtkiewicz, A.M.; Wójcik, P.; Procner, M.; Flejszar, M.; Oszajca, M.; Hochołowski, M.; Tataruch, M.; Mrugała, B.; Janeczko, T.; Szaleniec, M. The efficient Δ1-dehydrogenation of a wide spectrum of 3-ketosteroids in a broad pH range by 3-ketosteroid dehydrogenase from Sterolibacterium denitrificans. J. Steroid Biochem. Mol. Biol. 2020, 202, 105731. [Google Scholar] [CrossRef]
- Rohman, A.; van Oosterwijk, N.; Thunnissen, A.-M.; Dijkstra, B.W. Crystal structure and site-directed mutagenesis of 3-ketosteroid Δ1-dehydrogenase from Rhodococcus erythropolis SQ1 explain its catalytic mechanism. J. Biol. Chem. 2013, 288, 35559–35568. [Google Scholar] [CrossRef] [PubMed] [Green Version]
- Hagen, T.A.; Flynn, G.L. Permeation of hydrocortisone and hydrocortisone 21-alkyl esters through silicone rubber membranes —relationship to regular solution solubility behavior. J. Membr. Sci. 1987, 30, 47–65. [Google Scholar] [CrossRef] [Green Version]
- Ma, Y.H.; Wang, M.; Fan, Z.; Shen, Y.B.; Zhang, L.T. The influence of host–guest inclusion complex formation on the biotransformation of cortisone acetate Δ1-dehydrogenation. J. Steroid Biochem. Mol. Biol. 2009, 117, 146–151. [Google Scholar] [CrossRef] [PubMed]
- Yang, H.S.; Studebaker, J.F. Continuous dehydrogenation of a steroid with immobilized microbial cells: Effect of an exogenous electron acceptor. Biotechnol. Bioeng. 1978, 20, 17–25. [Google Scholar] [CrossRef]
- Sanderson, D.G.; Gross, E.L.; Seibert, M. A photosynthetic photoelectrochemical cell using phenazine methosulfate and phenazine ethosulfate as electron acceptors. Appl. Biochem. Biotechnol. 1987, 14, 1–20. [Google Scholar] [CrossRef]
- Baminger, U.; Ludwig, R.; Galhaup, C.; Leitner, C.; Kulbe, K.D.; Haltrich, D. Continuous enzymatic regeneration of redox mediators used in biotransformation reactions employing flavoproteins. J. Mol. Catal. B: Enzym. 2001, 11, 541–550. [Google Scholar] [CrossRef]
- Kondo, E.; Masuo, E. “Pseudo-crystallofermentation” of steroid: A new process for preparing prednisolone by a microorganism. J. Gen. Appl. Microbiol. 1961, 7, 113–117. [Google Scholar] [CrossRef]
- Ohlson, S.; Larsson, P.-O.; Mosbach, K. Steroid transformation by living cells immobilized in calcium alginate. Appl. Microbiol. Biotechnol. 1979, 7, 103–110. [Google Scholar] [CrossRef]
- Chen, K.C.; Chang, C.C.; Chiu, C.F.; Ling, A.C. Mathematical simulation of pseudo-crystallofermentation of hydrocortisone by Arthrobacter simplex. Biotechnol. Bioeng. 1985, 27, 253–259. [Google Scholar] [CrossRef] [PubMed]
- Arinbasarova, A.; Karpov, A.; Fokina, V.; Medentsev, A.; Koshcheyenko, K. Kinetic characteristics of 1-en-dehydrogenation of 6α-methylhydrocortisone by cells of Arthrobacter globiformis 193. Enzym. Microb. Technol. 1996, 19, 501–506. [Google Scholar] [CrossRef]
- Fokina, V.V.; Karpov, A.V.; Sidorov, I.A.; Andrjushina, V.A.; Arinbasarova, A.Y. The influence of β-cyclodextrin on the kinetics of 1-en-dehydrogenation of 6α-methylhydrocortisone by Arthrobacter globiformis cells. Appl. Microbiol. Biotechnol. 1997, 47, 645–649. [Google Scholar] [CrossRef]
- Sukhodolskaya, G.; Fokina, V.; Shutov, A.; Nikolayeva, V.; Savinova, T.; Grishin, Y.; Kazantsev, A.; Lukashev, N.; Donova, M. Bioconversion of 6-(N-methyl-N-phenyl)aminomethyl androstane steroids by Nocardioides simplex. Steroids 2016, 118, 9–16. [Google Scholar] [CrossRef]
- Spero, G.B.; Thompson, J.L.; Magerlein, B.J.; Hanze, A.R.; Murray, H.C.; Sebek, O.K.; Hogg, J.A. Adrenal hormones and related compound. IV. 6-Methyl steroids. J. Am. Chem. Soc. 1956, 78, 6213–6214. [Google Scholar] [CrossRef]







| Enzyme | Accession Number | Strain | Reference or Source |
|---|---|---|---|
| PrKstD | NLT29951.1 | Propionibacterium sp. | This study a |
| SatKstD | WP_093346826 | Saccharopolyspora kobensis | This study |
| JkKstD | WP_081622428.1 | Jongsikchunia kroppenstedtii | This study a |
| StpKstD | WP_103778538.1 | Streptomyces sp. | This study a |
| NvKstD | WP_063013192.1 | Nocardia nova | This study |
| AcKstD | WP_141576575.1 | Actinomadura sp. | This study a |
| PseKstD | WP_077522465.1 | Pseudomonas resinovorans | This study a |
| NnKstD | AHH19255 | Nocardia nova | [27] |
| MsKstD4 | YP_890167 | Mycobacterium smegmatis | [27] |
| Substrate | Specific Activity (U/mg) | ||||||||
|---|---|---|---|---|---|---|---|---|---|
| PrKstD | SatKstD | JkKstD | StpKstD | NvKstD | AcKstD | PseKstD | NnKstD | MsKstD4 | |
| 1 | 91.7 | 15.4 | 9.6 | 7.7 | 5.7 | 5.5 | 2.7 | 1.5 | 0.4 |
| 2 | 17.0 | 3.1 | 10.0 | 2.5 | 2.5 | 0.7 | 1.0 | 0.4 | 0.005 |
| 3 | 91.3 | 12.6 | 4.0 | 2.0 | 1.7 | 3.4 | u.d.a | 0.4 | 0.01 |
| 4 | 36.6 | 7.9 | 13.0 | 2.4 | 2.7 | 3.1 | 1.2 | 0.4 | 1.5 |
| 5 | 7.2 | 1.6 | 0.8 | 1.1 | 0.5 | 0.3 | 2.3 | 0 | 1.0 |
| 10 | 52.8 | 8.0 | 8.8 | 1.4 | 2.7 | 4.2 | 3.9 | 0.06 | 0.3 |
| 11 | 51.5 | 14.3 | 8.6 | 2.3 | 3.1 | 3.5 | u.d. | 0.1 | 0.03 |
| 12 | 43.9 | 10.6 | 9.8 | 1.6 | 2.3 | 2.8 | 1.5 | 0.01 | 0.2 |
| 13 | 41.1 | 10.1 | 8.7 | 0.7 | 3.5 | 1.8 | 0.9 | 0.01 | 0.07 |
| 14 | 30.3 | 16.3 | 16.9 | 1.3 | 2.7 | 4.1 | u.d. | 0.01 | 0.01 |
| 15 | 33.0 | 8.4 | 1.7 | 1.2 | 0.5 | 2.6 | u.d. | u.d. | u.d. |
| 17 | 0.6 | 0.06 | u.d. | 0.02 | u.d. | u.d. | u.d. | u.d. | u.d. |
| Substrate | Km (µM) | kcat (s−1) | kcat/Km (×106 M−1s−1) |
|---|---|---|---|
| 1 | 9.9 ± 1.8 | 246.6 ± 6.2 | 24.9 |
| 2 | 21.5 ± 2.7 | 147.6 ± 3.7 | 6.9 |
| 3 | 28.6 ± 2.9 | 285.5 ± 6.5 | 10.0 |
| 4 | 9.2 ± 1.2 | 109.9 ± 1.9 | 11.9 |
| 5 | 36.6 ± 3.6 | 61.1 ± 1.5 | 1.7 |
| 6 | 137.7 ± 9.3 | 14.2 ± 0.3 | 0.1 |
| 7 | 8500.0 ± 1480 | 23.2 ± 1.9 | 0.003 |
| 8 | 95.0 ± 6.4 | 17.1 ± 0.3 | 0.2 |
| 9 | 155.0 ± 12 | 10.0 ± 0.2 | 0.06 |
| 10 | 31.9 ± 5.8 | 186.5 ± 11.5 | 5.8 |
| 11 | 21.9 ± 3.9 | 146.5 ± 5.0 | 6.7 |
| 12 | 29.0 ± 5.0 | 173.6 ± 6.0 | 6.0 |
| 13 | 20.8 ± 4.2 | 148.5 ± 6.3 | 7.1 |
| 14 | 23.7 ± 3.2 | 160.4 ± 4.6 | 2.4 |
| 15 | 164.5 ± 11.6 | 221.8 ± 4.2 | 1.3 |
| 16 | 211.7 ± 17.2 | 236.2 ± 5.8 | 1.1 |
| 17 | 343.3 ± 42.4 | 14.8 ± 0.6 | 0.04 |
| 18 | 443.3 ± 38.1 | 24.9 ± 0.7 | 0.06 |
| Enzymes | Host Strains | Substrate, Conc. (g/L) | Time (h) | Biomass (g/L Wet Cells) | Productivity (g/(L h)) | Reference |
|---|---|---|---|---|---|---|
| KsdD | B. subtilis | AD, 9 | 50 | 150 | 0.2 | [25] |
| KsdD3 W299A | E. coli BL21 | AD, 5 | 48 | 30 | 0.1 | [30] |
| KstD2 | E. coli BL21 | AD, 30 | 8 | 50 | 3.7 | [31] |
| MsKstD1 | E. coli BL21 | HC, 6 | 3 | 20 | 1.8 | [29] |
| PrKstD | E. coli BL21 | HC, 80 | 6 | 50 | 12.3 | This study |
Publisher’s Note: MDPI stays neutral with regard to jurisdictional claims in published maps and institutional affiliations. |
© 2022 by the authors. Licensee MDPI, Basel, Switzerland. This article is an open access article distributed under the terms and conditions of the Creative Commons Attribution (CC BY) license (https://creativecommons.org/licenses/by/4.0/).
Share and Cite
Wang, Y.; Zhang, R.; Feng, J.; Wu, Q.; Zhu, D.; Ma, Y. A New 3-Ketosteroid-Δ1–Dehydrogenase with High Activity and Broad Substrate Scope for Efficient Transformation of Hydrocortisone at High Substrate Concentration. Microorganisms 2022, 10, 508. https://doi.org/10.3390/microorganisms10030508
Wang Y, Zhang R, Feng J, Wu Q, Zhu D, Ma Y. A New 3-Ketosteroid-Δ1–Dehydrogenase with High Activity and Broad Substrate Scope for Efficient Transformation of Hydrocortisone at High Substrate Concentration. Microorganisms. 2022; 10(3):508. https://doi.org/10.3390/microorganisms10030508
Chicago/Turabian StyleWang, Yu, Rui Zhang, Jinhui Feng, Qiaqing Wu, Dunming Zhu, and Yanhe Ma. 2022. "A New 3-Ketosteroid-Δ1–Dehydrogenase with High Activity and Broad Substrate Scope for Efficient Transformation of Hydrocortisone at High Substrate Concentration" Microorganisms 10, no. 3: 508. https://doi.org/10.3390/microorganisms10030508
APA StyleWang, Y., Zhang, R., Feng, J., Wu, Q., Zhu, D., & Ma, Y. (2022). A New 3-Ketosteroid-Δ1–Dehydrogenase with High Activity and Broad Substrate Scope for Efficient Transformation of Hydrocortisone at High Substrate Concentration. Microorganisms, 10(3), 508. https://doi.org/10.3390/microorganisms10030508

