Effect of Indole-3-Acetic Acid on Tomato Plant Growth
Abstract
1. Introduction
2. Objective
3. Materials and Methods
3.1. Bacterial Isolates
3.2. Tomato Genotypes
3.3. Greenhouse Experiment
3.4. Exogenous Auxin
3.5. In Vitro Auxin Biosynthesis
3.6. Inoculations in Seeds and Plants
3.7. Azospirillum brasilense Mutant
3.8. Experimental Design
3.9. Plant Height and Diameter
3.10. Root Length, Area and Density
3.11. Shoot and Root Dry Mass
4. Results
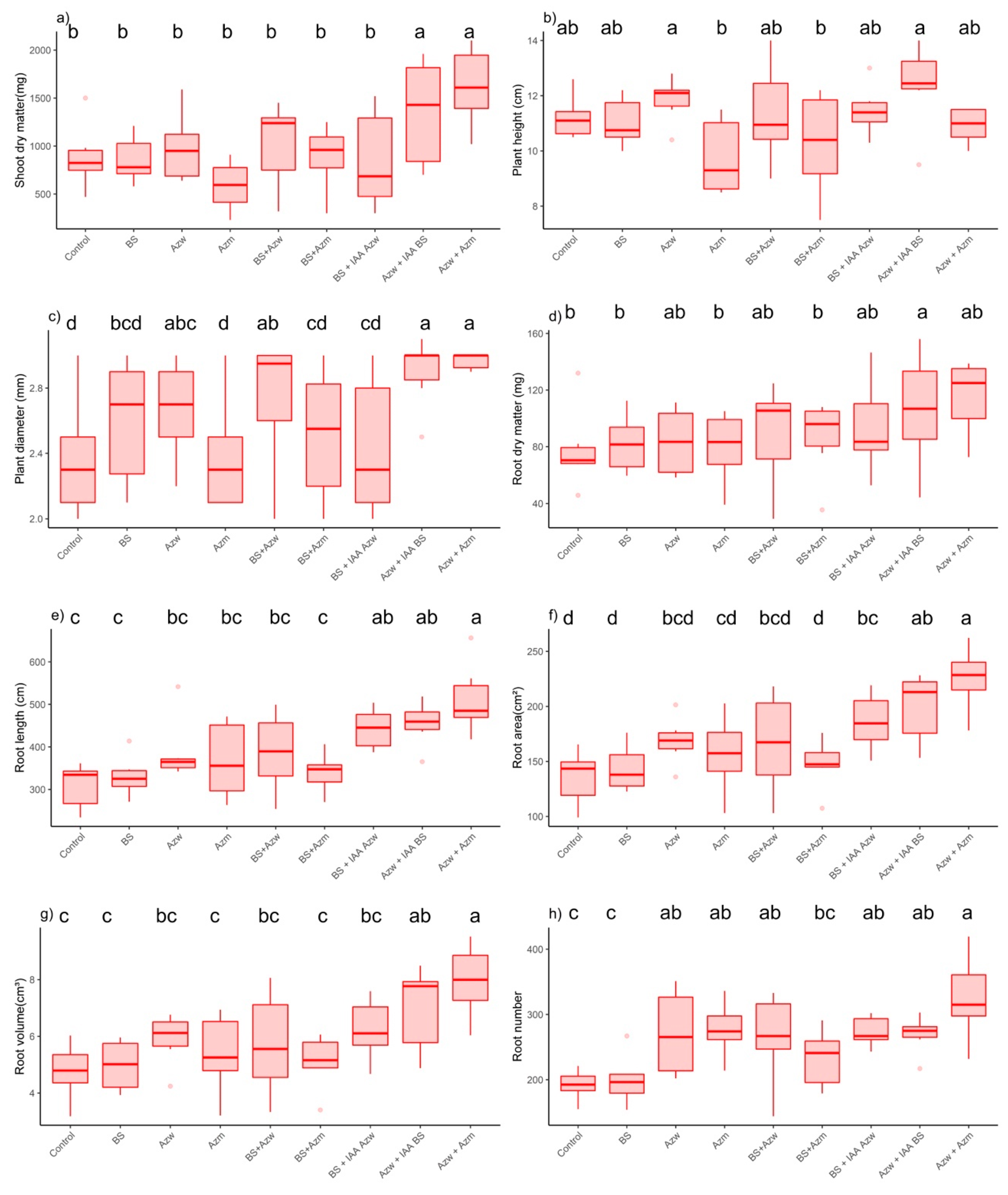
4.1. Micro-Tom Genotype
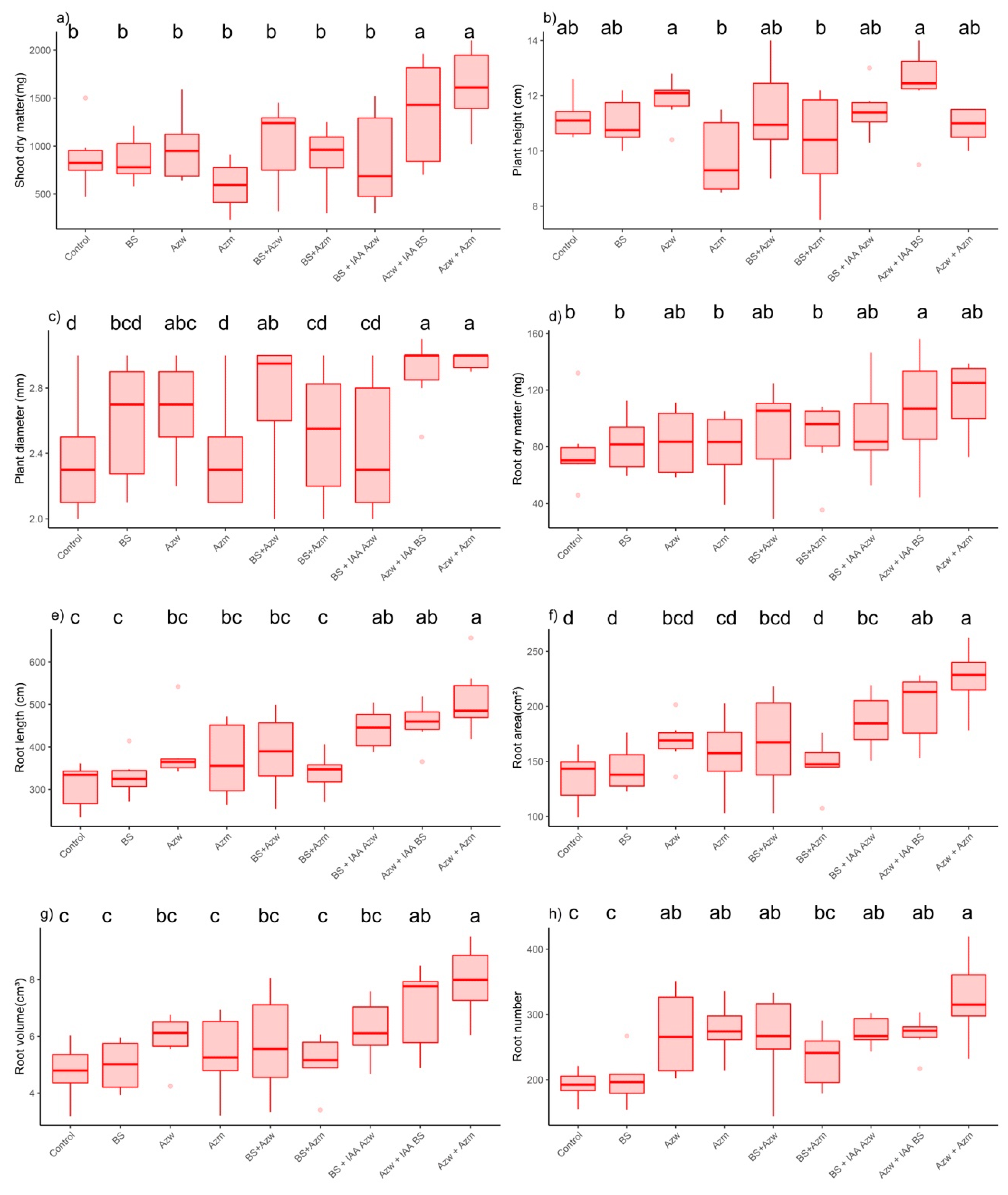
4.2. Entire Genotype
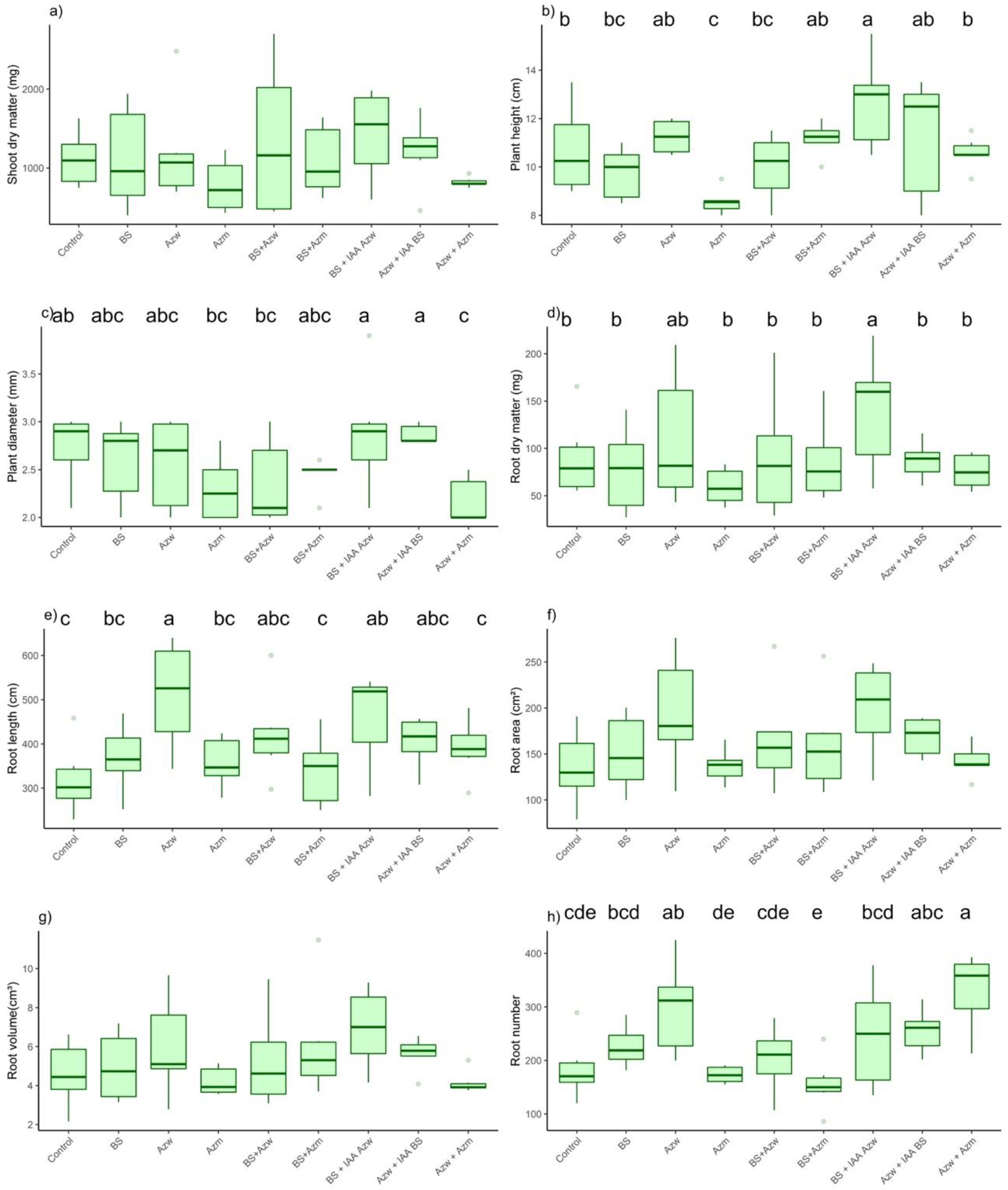
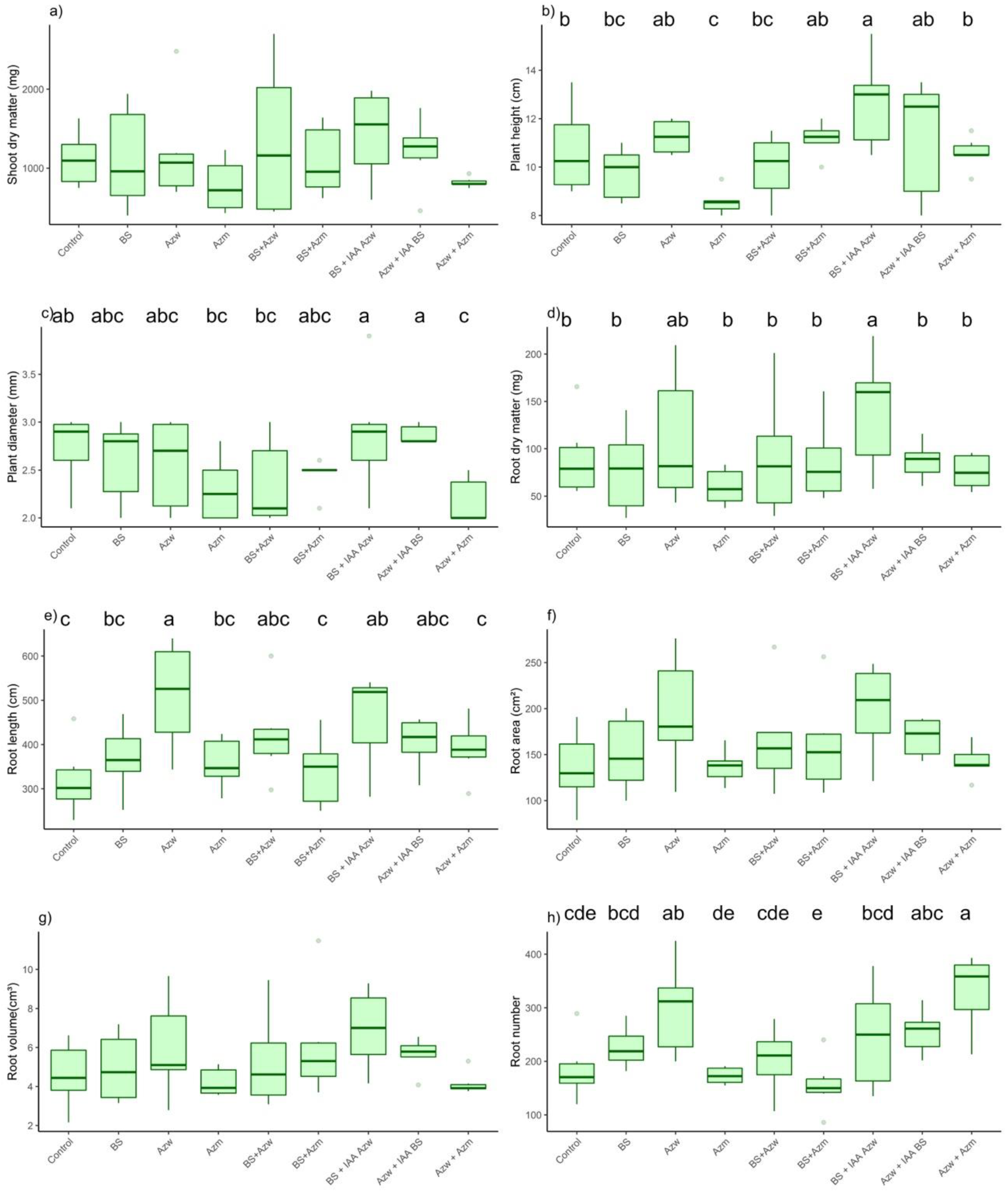
4.3. Genotype dgt
5. Discussion
6. Conclusions
Author Contributions
Funding
Acknowledgments
Conflicts of Interest
References
- Poveda, J.; González-Andrés, F. Bacillus as a source of phytohormones for use in agriculture. Appl. Microbiol. Biotechnol. 2021, 105, 8629–8645. [Google Scholar] [CrossRef] [PubMed]
- Huang, Y.; Dai, Z.; Lin, J.; Li, D.; Ye, H.; Dahlgren, R.A.; Xu, J. Labile carbon facilitated phosphorus solubilization as regulated by bacterial and fungal communities in Zea mays. Soil Biol. Biochem. 2021, 163, 108465. [Google Scholar] [CrossRef]
- Abadi, V.; Sepehri, M.; Rahmani, H.; Dolatabad, H.; Shamshiripour, M.; Khatabi, B. Diversity and abundance of culturable nitrogen-fixing bacteria in the phyllosphere of maize. J. Appl. Microbiol. 2021, 131, 898–912. [Google Scholar] [CrossRef]
- Soares, E.V. Perspective on the biotechnological production of bacterial siderophores and their use. Appl. Microbiol. Biotechnol. 2022, 106, 3985–4004. [Google Scholar] [CrossRef]
- Li, H.; La, S.; Zhang, X.; Gao, L.; Tian, Y. Salt-induced recruitment of specific root-associated bacterial consortium capable of enhancing plant adaptability to salt stress. ISME J. 2021, 15, 2865–2882. [Google Scholar] [CrossRef]
- Costacurta, A.; Vanderleyden, J. Synthesis of phytohormones by plant-associated bacteria. Crit. Rev. Microbiol. 1995, 21, 1–18. [Google Scholar] [CrossRef] [PubMed]
- Kim, Y.C.; Leveau, J.; McSpadden Gardener, B.B.; Pierson, E.A.; Pierson III, L.S.; Ryu, C.-M. The multifactorial basis for plant health promotion by plant-associated bacteria. Appl. Environ. Microbiol. 2011, 77, 1548–1555. [Google Scholar] [CrossRef]
- Vieira, R.F.; Ferracini, V.L.; Parada Dias da Silveira, A.; Almeida Pazianotto, R.A. Improvement of growth of common bean in phosphorus-deficient soils by phosphate-solubilizing and phytohormone-producing bacteria. Agron. Colomb. 2021, 39, 372–380. [Google Scholar] [CrossRef]
- Duca, D.; Lorv, J.; Patten, C.L.; Rose, D.; Glick, B.R. Indole-3-acetic acid in plant–microbe interactions. Antonie Van Leeuwenhoek 2014, 106, 85–125. [Google Scholar] [CrossRef]
- Gamit, H.; Amaresan, N. Role of methylotrophic bacteria in managing abiotic stress for enhancing agricultural production: A review. Pedosphere 2022, in press. [Google Scholar] [CrossRef]
- Tosi, M.; Gaiero, J.; Linton, N.; Mafa-Attoye, T.; Castillo, A.; Dunfield, K. Bacterial endophytes: Diversity, functional importance, and potential for manipulation. In Rhizosphere Biology: Interactions between Microbes and Plants; Springer: Berlin/Heidelberg, Germany, 2021; pp. 1–49. [Google Scholar]
- Mitter, E.K.; Tosi, M.; Obregón, D.; Dunfield, K.E.; Germida, J.J. Rethinking crop nutrition in times of modern microbiology: Innovative biofertilizer technologies. Front. Sustain. Food Syst. 2021, 5, 29. [Google Scholar] [CrossRef]
- Lobo, L.L.B.; da Silva, M.S.R.d.A.; Carvalho, R.F.; Rigobelo, E.C. The negative effect of coinoculation of plant growth-promoting bacteria is not related to indole-3-acetic acid synthesis. J. Plant Growth Regul. 2022, 1–10. [Google Scholar] [CrossRef]
- Fahad, S.; Hussain, S.; Bano, A.; Saud, S.; Hassan, S.; Shan, D.; Khan, F.A.; Khan, F.; Chen, Y.; Wu, C. Potential role of phytohormones and plant growth-promoting rhizobacteria in abiotic stresses: Consequences for changing environment. Environ. Sci. Pollut. Res. 2015, 22, 4907–4921. [Google Scholar] [CrossRef] [PubMed]
- Mishra, P.; Mishra, J.; Arora, N.K. Plant growth promoting bacteria for combating salinity stress in plants–recent developments and prospects: A review. Microbiol. Res. 2021, 252, 126861. [Google Scholar] [CrossRef]
- Kaur, N.; Sharma, P.; Sharma, S. Coinoculation of Mesorhizobium sp. and plant growth promoting rhizobacteria Pseudomonas sp. as bioenhancer and biofertilizer in chickpea (Cicer arietinum L.). Legume Res.-Int. J. 2015, 38, 367–374. [Google Scholar] [CrossRef]
- Korir, H.; Mungai, N.W.; Thuita, M.; Hamba, Y.; Masso, C. Coinoculation effect of rhizobia and plant growth promoting rhizobacteria on common bean growth in a low phosphorus soil. Front. Plant Sci. 2017, 8, 141. [Google Scholar] [CrossRef]
- Felici, C.; Vettori, L.; Giraldi, E.; Forino, L.M.C.; Toffanin, A.; Tagliasacchi, A.M.; Nuti, M. Single and coinoculation of Bacillus subtilis and Azospirillum brasilense on Lycopersicon esculentum: Effects on plant growth and rhizosphere microbial community. Appl. Soil Ecol. 2008, 40, 260–270. [Google Scholar] [CrossRef]
- Zhang, J.; Chen, R.; Xiao, J.; Qian, C.; Wang, T.; Li, H.; Ouyang, B.; Ye, Z. A single-base deletion mutation in SlIAA9 gene causes tomato (Solanum lycopersicum) entire mutant. J. Plant Res. 2007, 120, 671–678. [Google Scholar] [CrossRef]
- Albert, M.; Werner, M.; Proksch, P.; Fry, S.; Kaldenhoff, R. The cell wall-modifying xyloglucan endotransglycosylase/hydrolase LeXTH1 is expressed during the defense reaction of tomato against the plant parasite Cuscuta reflexa. Plant Biol. 2004, 6, 402–407. [Google Scholar] [CrossRef]
- Ruckdaschel, E.; Klingmuller, W. Analysis of IAA biosynthesis in Azospirillum lipoferum and Tn5 induced IAA mutants. Symbiosis 1992, 13, 123–131. [Google Scholar]
- Ladha, J.; Barraquio, W.; Revilla, L. Isolation of endophytic diazotrophic bacteria from wetland rice. In Opportunities for Biological Nitrogen Fixation in Rice and Other Non-Legumes; Springer: Berlin/Heidelberg, Germany, 1997; pp. 15–24. [Google Scholar]
- Hartmann, A.; Singh, M.; Klingmüller, W. Isolation and characterization of Azospirillum mutants excreting high amounts of indoleacetic acid. Can. J. Microbiol. 1983, 29, 916–923. [Google Scholar] [CrossRef]
- Nabrdalik, M.; Moliszewska, E.; Wierzba, S. Importance of endophytic strains Pantoea agglomerans in the biological control of Rhizoctonia solani. Ecol. Chem. Eng. S. 2018, 25, 331–342. [Google Scholar] [CrossRef]
- Safara, S.; Harighi, B.; Bahramnejad, B.; Ahmadi, S. Antibacterial activity of endophytic bacteria against sugar beet root rot agent by volatile organic compound production and induction of systemic resistance. Front. Microbiol. 2022, 13, 921762. [Google Scholar] [CrossRef] [PubMed]
- Potters, G.; Pasternak, T.P.; Guisez, Y.; Palme, K.J.; Jansen, M.A. Stress-induced morphogenic responses: Growing out of trouble? Trends Plant Sci. 2007, 12, 98–105. [Google Scholar] [CrossRef] [PubMed]
- Werner, T.; Motyka, V.; Laucou, V.; Smets, R.; Van Onckelen, H.; Schmülling, T. Cytokinin-deficient transgenic Arabidopsis plants show multiple developmental alterations indicating opposite functions of cytokinins in the regulation of shoot and root meristem activity. Plant Cell 2003, 15, 2532–2550. [Google Scholar] [CrossRef]
- Matsukawa, E.; Nakagawa, Y.; Iimura, Y.; Hayakawa, M. Stimulatory effect of indole-3-acetic acid on aerial mycelium formation and antibiotic production in Streptomyces spp. Actinomycetologica 2007, 21, 32–39. [Google Scholar] [CrossRef]
- Kumari, S.; Naraian, R. Enhanced growth and yield of oyster mushroom by growth-promoting bacteria Glutamicibacter arilaitensis MRC119. J. Basic Microbiol. 2021, 61, 45–54. [Google Scholar] [CrossRef]
- Sessitsch, A.; Pfaffenbichler, N.; Mitter, B. Microbiome applications from lab to field: Facing complexity. Trends Plant Sci. 2019, 24, 194–198. [Google Scholar] [CrossRef]
- Santos, R.M.d.; Desoignies, N.; Rigobelo, E.C. The bacterial world inside the plant. Front. Sustain. Food Syst. 2022, 1, 319. [Google Scholar] [CrossRef]









| Description of Treatments |
|---|
| Control (no inoculation) |
| Bacillus subtilis (BS) |
| Azospirillum brasilense wild (Azw) |
| Azospirillum brasilense mutant (Azm) |
| B. subtilis + A. brasilense wild (BS + Azw) |
| B. subtilis + A. brasilense mutant (BS + Azm) |
| B. subtilis + IAA Azw (BS + IAA Azw) |
| A. brasilense + IAA BS (Azw + IAA BS) |
| A. brasilense wild + A. brasilense mutant (Azw + Azm) |
| Plant Parameter | Genotype | Effect | Treatments |
|---|---|---|---|
| Shoot Dry Mass | Micro-Tom | No differences | - |
| Entire | Increased | Azw + IAA BS Azw + Azm | |
| dgt | No differences | - | |
| Root Dry Mass | Micro-Tom | No differences | - |
| Entire | Increased | Azw + IAA BS | |
| dgt | Increased | BS + IAA Azw | |
| Plant Height | Micro-Tom | No differences | - |
| Entire | No differences | - | |
| dgt | Reduced Increased | Azm BS + IAA Azw | |
| Plant Diameter | Micro-Tom | Reduced | BS + Azw BS + Azm |
| Entire | Increased | Azw BS + Azw Azw + IAA BS Azw + Azm | |
| dgt | Reduced | Azw + Azm | |
| Root Length | Micro-Tom | Increased | Azm Azw + IAA BS |
| Entire | Increased | BS + IAA Azw Azw + IAA BS Azw + Azm | |
| dgt | Increased | Azw BS + IAA Azw | |
| Root Area | Micro-Tom | Increased | Azm |
| Entire | Increased | BS + IAA Azw Azw + IAA BS Azw + Azm | |
| dgt | No differences | - | |
| Root Volume | Micro-Tom | No differences | - |
| Entire | Increased | Azw + IAA BS Azw + Azm | |
| dgt | No differences | - | |
| Number of Roots | Micro-Tom | Reduced Increased | BS Azw + IAA BS |
| Entire | Increased | Azw Azm BS + Azw BS + IAA Azw Azw + IAA BS Azw + Azm | |
| dgt | Increased | Azw Azw + Azm | |
Publisher’s Note: MDPI stays neutral with regard to jurisdictional claims in published maps and institutional affiliations. |
© 2022 by the authors. Licensee MDPI, Basel, Switzerland. This article is an open access article distributed under the terms and conditions of the Creative Commons Attribution (CC BY) license (https://creativecommons.org/licenses/by/4.0/).
Share and Cite
Lobo, L.L.B.; de Andrade da Silva, M.S.R.; Castellane, T.C.L.; Carvalho, R.F.; Rigobelo, E.C. Effect of Indole-3-Acetic Acid on Tomato Plant Growth. Microorganisms 2022, 10, 2212. https://doi.org/10.3390/microorganisms10112212
Lobo LLB, de Andrade da Silva MSR, Castellane TCL, Carvalho RF, Rigobelo EC. Effect of Indole-3-Acetic Acid on Tomato Plant Growth. Microorganisms. 2022; 10(11):2212. https://doi.org/10.3390/microorganisms10112212
Chicago/Turabian StyleLobo, Laiana Lana Bentes, Maura Santos Reis de Andrade da Silva, Tereza Cristina Luque Castellane, Rogério Falleiros Carvalho, and Everlon Cid Rigobelo. 2022. "Effect of Indole-3-Acetic Acid on Tomato Plant Growth" Microorganisms 10, no. 11: 2212. https://doi.org/10.3390/microorganisms10112212
APA StyleLobo, L. L. B., de Andrade da Silva, M. S. R., Castellane, T. C. L., Carvalho, R. F., & Rigobelo, E. C. (2022). Effect of Indole-3-Acetic Acid on Tomato Plant Growth. Microorganisms, 10(11), 2212. https://doi.org/10.3390/microorganisms10112212

