Long-Term Effects of Soil Remediation with Willow Short Rotation Coppice on Biogeographic Pattern of Microbial Functional Genes
Abstract
1. Introduction
2. Materials and Methods
2.1. Site Characteristics and Soil Sampling
2.2. Analysis of Soil Chemical Properties and Soil Toxicity
2.3. Analysis of Soil Microbial Biomass, Soil Respiration, N Mineralization Potential and Soil Enzyme Activities
2.4. Functional Gene Diversity via GeoChip Analysis
2.5. Data Analysis
3. Results
3.1. Soil Properties, Elemental Concentration and Availability and Soil Toxicity
3.2. Soil Microbial Biomass and Biochemical Activity
3.3. Diversity and Composition of Soil Microbial Functional Communities
3.4. Taxa–Area Relationship for Microbial Functional Genes
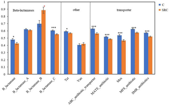
3.5. Functional Genes for Stress, Metal and Antibiotic Resistance
3.6. Linkage of Microbial Functional Composition with Soil Properties or Biochemical Activity
4. Discussion
5. Conclusions
Supplementary Materials
Author Contributions
Funding
Institutional Review Board Statement
Informed Consent Statement
Data Availability Statement
Acknowledgments
Conflicts of Interest
References
- Faasch, R.J.; Patenaude, G. The economics of short rotation coppice in Germany. Biomass Bioenergy 2012, 45, 27–40. [Google Scholar] [CrossRef]
- Freer-Smith, P.H.; Muys, B.; Bozzano, M.; Drössler, L.; Farrelly, N.; Jactel, H.; Korhonen, J.; Minotta, G.; Nijnik, M.; Orazio, C. Plantation Forests in Europe: Challenges and Opportunities; European Forest Institute: Joensuu, Finland, 2019; Volume 9. [Google Scholar]
- Heller, M.C.; Keoleian, G.A.; Mann, M.K.; Volk, T.A. Life cycle energy and environmental benefits of generating electricity from willow biomass. Renew. Energy 2004, 29, 1023–1042. [Google Scholar] [CrossRef]
- Langeveld, H.; Quist-Wessel, F.; Dimitriou, I.; Aronsson, P.; Baum, C.; Schulz, U.; Bolte, A.; Baum, S.; Köhn, J.; Weih, M.J.B.R. Assessing environmental impacts of short rotation coppice (SRC) expansion: Model definition and preliminary results. BioEnergy Res. 2012, 5, 621–635. [Google Scholar] [CrossRef]
- Baum, C.; Leinweber, P.; Weih, M.; Lamersdorf, N.; Dimitriou, I. Effects of short rotation coppice with willows and poplar on soil ecology. Landbauforsch. Volkenrode 2009, 59, 183–196. [Google Scholar]
- Van Slycken, S.; Witters, N.; Meiresonne, L.; Meers, E.; Ruttens, A.; Van Peteghem, P.; Weyens, N.; Tack, F.M.G.; Vangronsveld, J. Field Evaluation of Willow Under Short Rotation Coppice for Phytomanagement of Metal-Polluted Agricultural Soils. Int. J. Phytoremediation 2013, 15, 677–689. [Google Scholar] [CrossRef] [PubMed]
- Papa, M.; Foladori, P.; Guglielmi, L.; Bertanza, G. How far are we from closing the loop of sewage resource recovery? A real picture of municipal wastewater treatment plants in Italy. J. Environ. Manag. 2017, 198, 9–15. [Google Scholar] [CrossRef] [PubMed]
- Stauffer, M.; Leyval, C.; Brun, J.J.; Leportier, P.; Berthelin, J. Effect of willow short rotation coppice on soil properties after three years of growth as compared to forest, grassland and arable land uses. Plant Soil 2014, 377, 423–438. [Google Scholar] [CrossRef][Green Version]
- Whitaker, J.; Field, J.L.; Bernacchi, C.J.; Cerri, C.E.P.; Ceulemans, R.; Davies, C.A.; DeLucia, E.H.; Donnison, I.S.; McCalmont, J.P.; Paustian, K.; et al. Consensus, uncertainties and challenges for perennial bioenergy crops and land use. Glob. Chang. Biol. Bioenergy 2018, 10, 150–164. [Google Scholar] [CrossRef]
- Wiesenthal, T.; Mourelatou, A. How Much Bioenergy Can Europe Produce without Harming the Environment? EEA Report No 7; European Environment Agency: København, Denmark, 2006. [Google Scholar]
- Van der Heijden, M.G.A.; Bardgett, R.D.; van Straalen, N.M. The unseen majority: Soil microbes as drivers of plant diversity and productivity in terrestrial ecosystems. Ecol. Lett. 2008, 11, 296–310. [Google Scholar] [CrossRef]
- Pereira e Silva, M.C.; Semenov, A.V.; Schmitt, H.; van Elsas, J.D.; Salles, J.F. Microbe-mediated processes as indicators to establish the normal operating range of soil functioning. Soil Biol. Biochem. 2013, 57, 995–1002. [Google Scholar] [CrossRef]
- Loreau, M.; Naeem, S.; Inchausti, P.; Bengtsson, J.; Grime, J.P.; Hector, A.; Hooper, D.U.; Huston, M.A.; Raffaelli, D.; Schmid, B.; et al. Ecology—Biodiversity and ecosystem functioning: Current knowledge and future challenges. Science 2001, 294, 804–808. [Google Scholar] [CrossRef]
- Techtmann, S.M.; Hazen, T.C. Metagenomic applications in environmental monitoring and bioremediation. J. Ind. Microbiol. Biotechnol. 2016, 43, 1345–1354. [Google Scholar] [CrossRef]
- Tu, Q.; Yu, H.; He, Z.; Deng, Y.; Wu, L.; Van Nostrand, J.D.; Zhou, A.; Voordeckers, J.; Lee, Y.-J.; Qin, Y.; et al. GeoChip 4: A functional gene-array-based high-throughput environmental technology for microbial community analysis. Mol. Ecol. Resour. 2014, 14, 914–928. [Google Scholar] [CrossRef] [PubMed]
- Lu, Z.; He, Z.; Parisi, V.A.; Kang, S.; Deng, Y.; Van Nostrand, J.D.; Masoner, J.R.; Cozzarelli, I.M.; Suflita, J.M.; Zhou, J. GeoChip-Based Analysis of Microbial Functional Gene Diversity in a Landfill Leachate-Contaminated Aquifer. Environ. Sci. Technol. 2012, 46, 5824–5833. [Google Scholar] [CrossRef]
- Xue, K.; van Nostrand, J.D.; Vangronsveld, J.; Witters, N.; Janssen, J.O.; Kumpiene, J.; Siebielec, G.; Galazka, R.; Giagnoni, L.; Arenella, M.; et al. Management with willow short rotation coppice increase the functional gene diversity and functional activity of a heavy metal polluted soil. Chemosphere 2015, 138, 469–477. [Google Scholar] [CrossRef]
- Xue, K.; Van Nostrand, J.D.; Zhou, J.; Neu, S.; Mueller, I.; Giagnoni, L.; Renella, G. Phytomanagement Reduces Metal Availability and Microbial Metal Resistance in a Metal Contaminated Soil. Front. Microbiol. 2020, 11, 1899. [Google Scholar] [CrossRef] [PubMed]
- Xue, K.; Zhou, J.; Van Nostrand, J.; Mench, M.; Bes, C.; Giagnoni, L.; Renella, G. Functional activity and functional gene diversity of a Cu-contaminated soil remediated by aided phytostabilization using compost, dolomitic limestone and a mixed tree stand. Environ. Pollut. 2018, 242, 229–238. [Google Scholar] [CrossRef] [PubMed]
- Aronsson, P.; Dahlin, T.; Dimitriou, I. Treatment of landfill leachate by irrigation of willow coppice—Plant response and treatment efficiency. Environ. Pollut. 2010, 158, 795–804. [Google Scholar] [CrossRef] [PubMed]
- Cam, E.; Nichols, J.D.; Hines, J.E.; Sauer, J.R.; Alpizar-Jara, R.; Flather, C.H. Disentangling sampling and ecological explanations underlying species-area relationships. Ecology 2002, 83, 1118–1130. [Google Scholar]
- Green, J.; Bohannan, B.J.M. Spatial scaling of microbial biodiversity. Trends Ecol. Evol. 2006, 21, 501–507. [Google Scholar] [CrossRef] [PubMed]
- Zhou, J.; Kang, S.; Schadt, C.W.; Garten, C.T., Jr. Spatial scaling of functional gene diversity across various microbial taxa. Proc. Natl. Acad. Sci. USA 2008, 105, 7768–7773. [Google Scholar] [CrossRef] [PubMed]
- ISO 19730:2008; Soil Quality—Extraction of Trace Elements from Soil Using Ammonium Nitrate Solution. International Organization for Standardization: Geneva, Switzerland, 2009.
- Walkley, A.; Black, I.A. An examination of the Degtjareff method for determining soil organic matter, and a proposed modification of the chromic acid titration method. Soil Sci. 1934, 37, 29–38. [Google Scholar] [CrossRef]
- ISO 10694:1995; Soil Quality: Determination of Organic and Total Carbon After Dry Combustion (Elementary Analysis). International Organization for Standardization: Geneva, Switzerland, 1995.
- Keeney, D.R.; Nelson, D.W. Nitrogen—Inorganic forms. In Agronomy Monographs; American Society of Agronomy: Madison, WI, USA, 1983; Volume 9, pp. 643–698. [Google Scholar]
- Bowman, R. Basic EDTA as an extractant for soil organic phosphorus. Soil Sci. Soc. Am. J. 1993, 57, 1516–1518. [Google Scholar] [CrossRef]
- Turner, B.L.; Condron, L.M.; Richardson, S.J.; Peltzer, D.A.; Allison, V.J.J.E. Soil organic phosphorus transformations during pedogenesis. Ecosystems 2007, 10, 1166–1181. [Google Scholar] [CrossRef]
- Bray, R.H.; Kurtz, L.T. Determination of total, organic, and available forms of phosphorus in soils. Soil Sci. 1945, 59, 39–45. [Google Scholar] [CrossRef]
- Murphy, J.; Riley, J.P. Citation-classic—A modified single solution method for the determination of phosphate in natural-waters. Curr. Contents Agric. Biol. Environ. Sci. 1986, 12, 16. [Google Scholar]
- Blackmer, A.M.; Bremner, J.M. Gas-chromatographic analysis of soil atmospheres. Soil Sci. Soc. Am. J. 1977, 41, 908–912. [Google Scholar] [CrossRef]
- Ciardi, C.; Nannipieri, P. A comparison of methods for measuring ATP in soil. Soil Biol. Biochem. 1990, 22, 725–727. [Google Scholar] [CrossRef]
- Tabatabai, M.A.; Bremner, J.M. Use of p-nitrophenyl phosphate for assay of soil phosphatase activity. Soil Biol. Biochem. 1969, 1, 301–307. [Google Scholar] [CrossRef]
- Browman, M.G.; Tabatabai, M.A. Phosphodiesterase activity of soils. Soil Sci. Soc. Am. J. 1978, 42, 284–290. [Google Scholar] [CrossRef]
- Zornoza, R.; Landi, L.; Nannipieri, P.; Renella, G. A protocol for the assay of arylesterase activity in soil. Soil Biol. Biochem. 2009, 41, 659–662. [Google Scholar] [CrossRef]
- Tabatabai, M.A. Soil enzymes. In Methods of Soil Analysis: Part 2 Chemical Microbiological Properties; Soil Science Society of America: Madison, WI, USA, 1983; Volume 9, pp. 903–947. [Google Scholar]
- Nannipieri, P.; Ceccanti, B.; Cervelli, S.; Sequi, P. Use of 0.1 M pyrophosphate to extract urease from a podzol. Soil Biol. Biochem. 1974, 6, 359–362. [Google Scholar] [CrossRef]
- Ladd, J.; Butler, J. Short-term assays of soil proteolytic enzyme activities using proteins and dipeptide derivatives as substrates. Soil Biol. Biochem. 1972, 4, 19–30. [Google Scholar] [CrossRef]
- Ens, J.; Farrell, R.E.; Belanger, N. Early Effects of Afforestation with Willow (Salix purpurea, “Hotel”) on Soil Carbon and Nutrient Availability. Forests 2013, 4, 137–154. [Google Scholar] [CrossRef]
- Lockwell, J.; Guidi, W.; Labrecque, M. Soil carbon sequestration potential of willows in short-rotation coppice established on abandoned farm lands. Plant Soil 2012, 360, 299–318. [Google Scholar] [CrossRef]
- Andrews, S.S.; Karlen, D.L.; Cambardella, C.A. The soil management assessment framework: A quantitative soil quality evaluation method. Soil Sci. Soc. Am. J. 2004, 68, 1945–1962. [Google Scholar] [CrossRef]
- Berg, B.; McClaugherty, C. Plant Litter; Springer: Berlin, Germany, 2003. [Google Scholar]
- Rytter, R.M.; Rytter, L. Growth, decay, and turnover rates of fine roots of basket willows. Can. J. For. Res. Rev. Can. Rech. For. 1998, 28, 893–902. [Google Scholar] [CrossRef]
- Birkhofer, K.; Bezemer, T.M.; Bloem, J.; Bonkowski, M.; Christensen, S.; Dubois, D.; Ekelund, F.; Fliessbach, A.; Gunst, L.; Hedlund, K.; et al. Long-term organic farming fosters below and aboveground biota: Implications for soil quality, biological control and productivity. Soil Biol. Biochem. 2008, 40, 2297–2308. [Google Scholar] [CrossRef]
- Sinsabaugh, R.L.; Gallo, M.E.; Lauber, C.; Waldrop, M.P.; Zak, D.R. Extracellular enzyme activities and soil organic matter dynamics for northern hardwood forests receiving simulated nitrogen deposition. Biogeochemistry 2005, 75, 201–215. [Google Scholar] [CrossRef]
- Joly, M.; Mallet, C.; Artigas, J. Assessing extracellular enzymatic activities of biofilms on natural and standardized organic substrata immersed in a stream. Aquat. Microb. Ecol. 2019, 83, 161–166. [Google Scholar] [CrossRef]
- Caldwell, B.A. Enzyme activities as a component of soil biodiversity: A review. Pedobiologia 2005, 49, 637–644. [Google Scholar] [CrossRef]
- Koczorski, P.; Furtado, B.; Hrynkiewicz, K.; Breezmann, M.; Weih, M.; Baum, C. Site-Effects Dominate the Plant Availability of Nutrients under Salix Species during the First Cutting Cycle. Forests 2021, 12, 1226. [Google Scholar] [CrossRef]
- Kielland, K.; McFarland, J.W.; Ruess, R.W.; Olson, K. Rapid cycling of organic nitrogen in taiga forest ecosystems. Ecosystems 2007, 10, 360–368. [Google Scholar] [CrossRef]
- Foulon, J.; Zappelini, C.; Durand, A.; Valot, B.; Blaudez, D.; Chalot, M. Impact of poplar-based phytomanagement on soil properties and microbial communities in a metal-contaminated site. FEMS Microbiol. Ecol. 2016, 92, fiw163. [Google Scholar] [CrossRef] [PubMed]
- Green, J.L.; Holmes, A.J.; Westoby, M.; Oliver, I.; Briscoe, D.; Dangerfield, M.; Gillings, M.; Beattie, A.J. Spatial scaling of microbial eukaryote diversity. Nature 2004, 432, 747–750. [Google Scholar] [CrossRef]
- Deng, Y.; Ning, D.; Qin, Y.; Xue, K.; Wu, L.; He, Z.; Yin, H.; Liang, Y.; Buzzard, V.; Michaletz, S.T.; et al. Spatial scaling of forest soil microbial communities across a temperature gradient. Environ. Microbiol. 2018, 20, 3504–3513. [Google Scholar] [CrossRef] [PubMed]
- Liang, Y.; Wu, L.; Clark, I.M.; Xue, K.; Yang, Y.; Van Nostrand, J.D.; Deng, Y.; He, Z.; McGrath, S.; Storkey, J.; et al. Over 150 Years of Long-Term Fertilization Alters Spatial Scaling of Microbial Biodiversity. mBio 2015, 6, e00240-15. [Google Scholar] [CrossRef] [PubMed]
- Plassart, P.; Prevost-Boure, N.C.; Uroz, S.; Dequiedt, S.; Stone, D.; Creamer, R.; Griffiths, R.I.; Bailey, M.J.; Ranjard, L.; Lemanceau, P. Soil parameters, land use, and geographical distance drive soil bacterial communities along a European transect. Sci. Rep. 2019, 9, 605. [Google Scholar] [CrossRef] [PubMed]
- Wang, Y.; Lu, G.; Yu, H.; Du, X.; He, Q.; Yao, S.; Zhao, L.; Huang, C.; Wen, X.; Deng, Y. Meadow degradation increases spatial turnover rates of the fungal community through both niche selection and dispersal limitation. Sci. Total Environ. 2021, 798, 149362. [Google Scholar] [CrossRef] [PubMed]
- Wardle, D.A.; Giller, K.E. The quest for a contemporary ecological dimension to soil biology. Soil Biol. Biochem. 1996, 28, 1549–1554. [Google Scholar] [CrossRef]
- Pepin, K.M.; Wichman, H.A. Experimental evolution and genome sequencing reveal variation in levels of clonal interference in large populations of bacteriophage phi X174. BMC Evol. Biol. 2008, 8, 85. [Google Scholar] [CrossRef]
- Sayer, E.J.; Wagner, M.; Oliver, A.E.; Pywell, R.F.; James, P.; Whiteley, A.S.; Heard, M.S. Grassland management influences spatial patterns of soil microbial communities. Soil Biol. Biochem. 2013, 61, 61–68. [Google Scholar] [CrossRef]
- Wang, X.; Zhang, Z.; Yu, Z.; Shen, G.; Cheng, H.; Tao, S. Composition and diversity of soil microbial communities in the alpine wetland and alpine forest ecosystems on the Tibetan Plateau. Sci. Total Environ. 2020, 747, 141358. [Google Scholar] [CrossRef] [PubMed]
- Mergeay, M. Bacteria adapted to industrial biotopes: Metal-resistant Ralstonia. Bact. Stress Responses 2000, 26, 403–414. [Google Scholar]
- Hobman, J.L.; Crossman, L.C. Bacterial antimicrobial metal ion resistance. J. Med. Microbiol. 2015, 64, 471–497. [Google Scholar] [CrossRef] [PubMed]







| pH | TOC (g kg−1) | Total N (g kg−1) | NH4+-N (mg kg−1) | NO3−-N (mg kg−1) | Total P (mg kg−1) | Available P (mg kg−1) | Soluble P (mg kg−1) | Organic P (mg kg−1) | |
|---|---|---|---|---|---|---|---|---|---|
| C | 6.79 a (0.88) | 14.3 a (1.42) | 1.87 a (0.25) | 0.29a (0.03) | 0.59 b (0.09) | 190 b (15.3) | 32.7a (3.28) | 0.27 b (0.02) | 124 b (14.6) |
| SRC | 6.47 a (0.71) | 23.9 a (2.14) a | 1.96 a (0.31) | 0.20 b (0.03) | 0.84a (0.08) | 286a (39) | 19.0 b (2.44) | 0.48a (0.05) | 190a (20.9) |
| Soils | Pseudototal Elemental Concentration (mg kg−1) | |||||||||||||
|---|---|---|---|---|---|---|---|---|---|---|---|---|---|---|
| Al | As | Cd | Cr | Cu | Mn | Ni | Pb | Zn | Na | Ca | K | Mg | Fe | |
| C | 30,943 a (1931) | 9.21 a (1.96) | 0.26 b (0.07) | 36.7 a (4.34) | 46.1 b (7.85) | 294 b (36) | 35.6 a (4.31) | 17.6 a (1.74) | 147 a (25.7) | 434 b (58) | 8412 b (4020) | 6562 b (1239) | 8619 a (493) | 33,052 a (3870) |
| SRC | 30,531 a (7822) | 8.98 a (1.08) | 0.37 a (0.17) | 25.0 b (4.35) | 52.9 a (8.12) | 493 a (39) | 32.1 b (3.73) | 19.3 a (3.29) | 83.6 b (6.84) | 635 a (86) | 11,606 a (1845) | 8210 a (756) | 7282 b (931) | 27,921 b (10229) |
| Elemental Availability (mg kg−1) | ||||||||||||||
| Al | As | Cd | Cr | Cu | Mn | Ni | Pb | Zn | Na | Ca | K | Mg | Fe | |
| C | 0.16 b (0.04) | 0.23 a (0.07) | 0.07 a (0.01) | 0.03 b (0.01) | 0.08 b (0.02) | 0.09 b (0.02) | 0.22 b (0.07) | 0.03 b (0.01) | 0.09 a (0.02) | 34.7 b (3.97) | 240 a (3.32) | 264 b (3.64) | 206 b (2.84) | 65.3 a (5.33) |
| SRC | 3.95 a (0.11) | 0.07 b (0.02) | 0.04 b (0.01) | 0.06 a (0.02) | 0.18 a (0.04) | 0.24 a (0.04) | 0.09 a (0.02) | 0.09 a (0.01) | 0.05 b (0.01) | 40.1 a (7.35) | 103 b (2.06) | 303 a (6.08) | 390 a (7.82) | 48.1 b (4.12) |
| C vs. SRC | MRPP 1 | ANOSIM 2 | ADONIS 3 | |||
|---|---|---|---|---|---|---|
| δ | p 4 | R | p | F | p | |
| Bray–Curtis | 0.15668 | 0.001 | 0.2745 | 0.001 | 3.7405 | 0.001 |
| Horn | 0.141183 | 0.001 | 0.2662 | 0.001 | 3.7746 | 0.001 |
| Euclidean | 89.38772 | 0.001 | 0.319 | 0.001 | 2.5449 | 0.001 |
Publisher’s Note: MDPI stays neutral with regard to jurisdictional claims in published maps and institutional affiliations. |
© 2022 by the authors. Licensee MDPI, Basel, Switzerland. This article is an open access article distributed under the terms and conditions of the Creative Commons Attribution (CC BY) license (https://creativecommons.org/licenses/by/4.0/).
Share and Cite
Liu, W.; Xue, K.; Hu, R.; Zhou, J.; Van Nostrand, J.D.; Dimitrou, J.; Giagnoni, L.; Renella, G. Long-Term Effects of Soil Remediation with Willow Short Rotation Coppice on Biogeographic Pattern of Microbial Functional Genes. Microorganisms 2022, 10, 140. https://doi.org/10.3390/microorganisms10010140
Liu W, Xue K, Hu R, Zhou J, Van Nostrand JD, Dimitrou J, Giagnoni L, Renella G. Long-Term Effects of Soil Remediation with Willow Short Rotation Coppice on Biogeographic Pattern of Microbial Functional Genes. Microorganisms. 2022; 10(1):140. https://doi.org/10.3390/microorganisms10010140
Chicago/Turabian StyleLiu, Wenjing, Kai Xue, Runpeng Hu, Jizhong Zhou, Joy D. Van Nostrand, Jannis Dimitrou, Laura Giagnoni, and Giancarlo Renella. 2022. "Long-Term Effects of Soil Remediation with Willow Short Rotation Coppice on Biogeographic Pattern of Microbial Functional Genes" Microorganisms 10, no. 1: 140. https://doi.org/10.3390/microorganisms10010140
APA StyleLiu, W., Xue, K., Hu, R., Zhou, J., Van Nostrand, J. D., Dimitrou, J., Giagnoni, L., & Renella, G. (2022). Long-Term Effects of Soil Remediation with Willow Short Rotation Coppice on Biogeographic Pattern of Microbial Functional Genes. Microorganisms, 10(1), 140. https://doi.org/10.3390/microorganisms10010140

