A Novel Multi-Dimensional Synergistic Optimization Control Strategy for Enhanced Performance of Mining Dump Truck Hydro-Pneumatic Suspensions
Abstract
1. Introduction
- (1)
- An accurate nonlinear dynamics model of the hydro-pneumatic suspension and the full articulated mining dump truck is established and validated by real-vehicle experiments, providing a reliable digital twin platform for controller design.
- (2)
- An improved multi-dimensional synergistic optimization control strategy of MPC-based (MDSOC-MPC) for active hydro-pneumatic suspension is proposed.
2. Modeling of the Mining Dump Truck
2.1. Modeling of Hydro-Pneumatic Suspension
2.2. Modeling of Mining Dump Truck
2.3. Validation of the Hydro-Pneumatic Suspension and the Whole-Truck Model
3. MPC Controller Design and Multi-Dimensional Synergistic Optimization
3.1. MPC Controller Design
3.2. Multi-Dimensional Synergistic Optimization
4. Analysis and Verification of MDSOC Results
4.1. Longitudinal Motion Control Performance Analysis
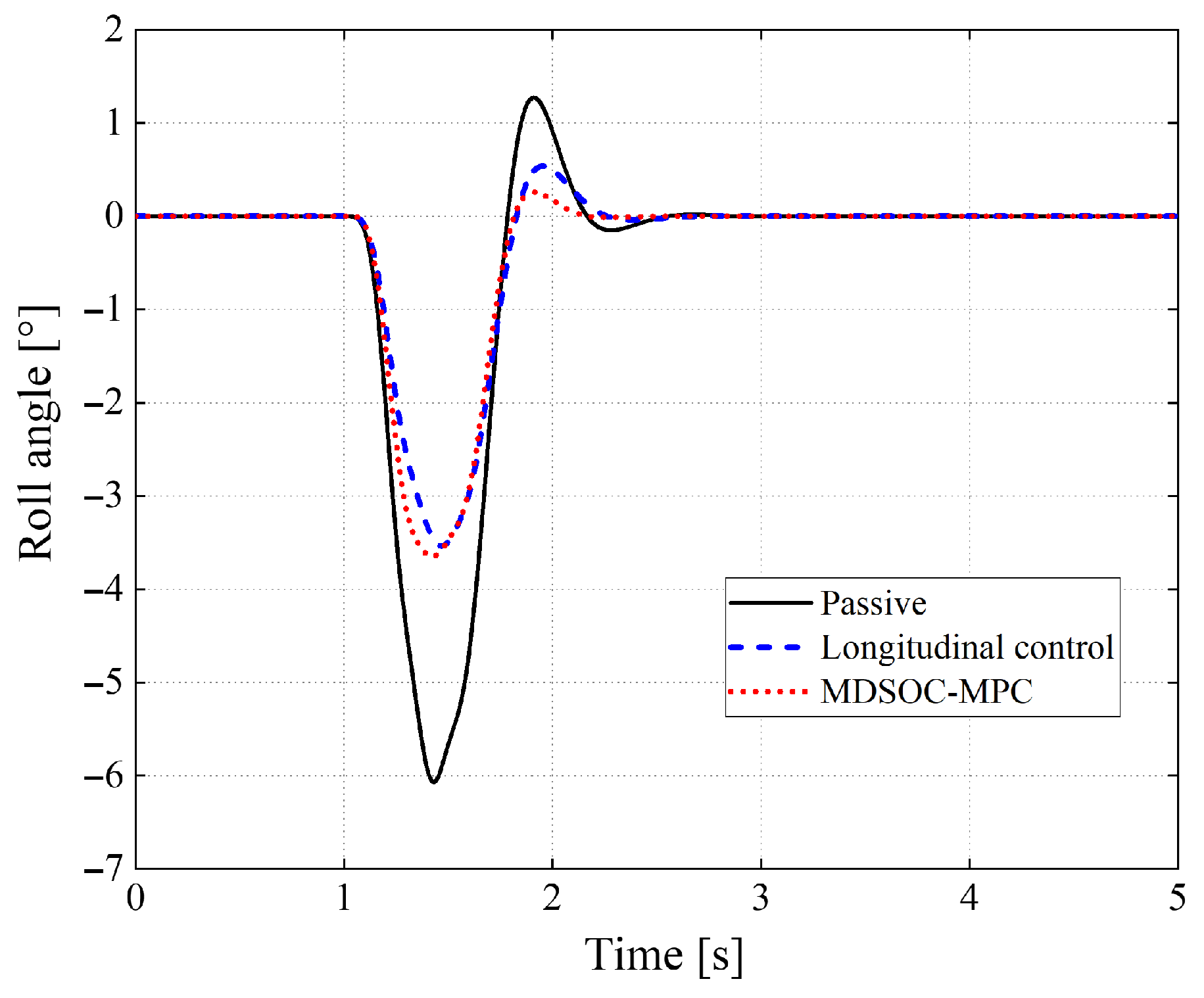
4.2. Performance Analysis of Lateral Motion Control
- (1)
- Single-shift line condition
- (2)
- Double-shift line condition
4.3. Vertical Motion Control Performance Analysis
5. Conclusions
Author Contributions
Funding
Institutional Review Board Statement
Informed Consent Statement
Data Availability Statement
Conflicts of Interest
References
- Liu, Q.; Liu, X.; Li, B.; Liu, S.; Li, Y.; Luo, Y.; Sha, T. Characteristics and experimental research on semi-active suspension of mining dump truck under parallel fuzzy control strategy. Proc. Inst. Mech. Eng. Part C J. Mech. Eng. Sci. 2025, 239, 9174–9190. [Google Scholar] [CrossRef]
- Wang, G.; Wang, W.; Suo, X.; Du, T.; Wang, D.; Liu, X. Multi-objective parameter optimization of a novel hydraulically interconnected suspension for tri-axle mining dump trucks. J. Vib. Control 2025, 31, 3585–3598. [Google Scholar] [CrossRef]
- Yang, Y.; Liu, C.; Lai, S.K.; Chen, Z.; Chen, L. Frequency-dependent equivalent impedance analysis for optimizing vehicle inertial suspensions. Nonlinear Dyn. 2025, 113, 9373–9398. [Google Scholar] [CrossRef]
- Suo, X.; Jiao, S.; Wang, G.; Wang, H.; Ma, X. Research on the vibration damping performance of hydro-pneumatic suspension of mine dump truck. Vibroeng. Procedia 2018, 20, 113–119. [Google Scholar] [CrossRef][Green Version]
- Arutyunyan, G.; Kartashov, A.; Gazizullin, R.; Kiselev, P.; Zaitsev, A.; Tarasyuk, I. Selection of a rational type of front suspension for mining dump trucks with payload capacity up to 240 tons. J. Min. Geotech. Eng. 2022, 18, 25–40. [Google Scholar] [CrossRef]
- Zhu, W.; Zhao, Z.; Zhou, X.; Cao, X.; Ye, M.; Cao, C.; Alam, M.M. Research on Damping Hole Optimization of Hydro-Pneumatic Suspension for Mining Trucks under Variable Load Conditions. Actuators 2024, 13, 163. [Google Scholar] [CrossRef]
- Zhao, Y.; Xu, H.; Deng, Y.; Wang, Q. Multi-objective optimization for ride comfort of hydro-pneumatic suspension vehicles with mechanical elastic wheel. Proc. Inst. Mech. Eng. Part D J. Automob. Eng. 2018, 233, 2714–2728. [Google Scholar] [CrossRef]
- Ekoru, J.E.D.; Nyandoro, O.T.C.; Chingozha, T. An Udwadia-Kalaba Equation based active seat suspension controller for mining dump trucks. IFAC PapersOnLine 2016, 49, 184–189. [Google Scholar] [CrossRef]
- Yang, L.; Wang, R.; Meng, X.; Sun, Z.; Liu, W.; Wang, Y. Performance analysis of a new hydropneumatic inerter-based suspension system with semi-active control effect. Proc. Inst. Mech. Eng. Part D J. Automob. Eng. 2020, 234, 1883–1896. [Google Scholar] [CrossRef]
- Wang, R.; Zhao, X.; Ding, R.; Chen, J. Research on the Dynamic Performance of a New Semi-Active Hydro-Pneumatic Suspension System Based on GA-MPC Strategy. World Electr. Veh. J. 2026, 17, 93. [Google Scholar] [CrossRef]
- Jeong, S.; Jeong, Y. Development of Virtual Reference-Based Preview Semi-Active Suspension System. Actuators 2026, 15, 67. [Google Scholar] [CrossRef]
- Yang, Y.; Liu, C.; Chen, L.; Zhang, X. Phase deviation of semi-active suspension control and its compensation with inertial suspension. Acta Mech. Sin. 2024, 40, 523367. [Google Scholar] [CrossRef]
- Duan, Y.; Dong, Z.; Bai, D.; Zhou, Z.; Li, G.; Wang, S. Vehicle Height Control of Active Hydro-pneumatic Suspension Considering Ride Comfort. IAENG Int. J. Appl. Math. 2025, 55, 861–867. [Google Scholar]
- Yang, J.; Chen, K.; Ding, Z.; Zhao, C.; Zhang, T.; Jiao, Z. A Multi-Mode Active Control Method for the Hydropneumatic Suspension of Auxiliary Transport Vehicles in Underground Mines. Appl. Sci. 2025, 15, 6871. [Google Scholar] [CrossRef]
- Yuchang, L.; Shuai, W.; Geqiang, L.; Bo, M.; Zhenle, D.; Donglin, L. Optimal parameter identification of hydro-pneumatic suspension for mine cars. Int. J. Simul. Multidiscip. Des. Optim. 2024, 15, 26. [Google Scholar] [CrossRef]
- Ali, D.; Frimpong, S. Artificial intelligence models for predicting the performance of hydro-pneumatic suspension struts in large capacity dump trucks. Int. J. Ind. Ergon. 2018, 67, 283–295. [Google Scholar] [CrossRef]
- Zhou, X.; Ma, N.; Liu, J.; Zhang, J.; Li, L. Experimental study on vibration isolation performance of mining dump truck suspensions for improving ride comfort. J. Vibroeng. 2025, 27, 1525–1543. [Google Scholar] [CrossRef]
- Zou, J.; Guo, S.; Guo, X.; Xu, L.; Wu, Y.; Pan, Y. Hydraulic integrated interconnected regenerative suspension: Modeling and mode-decoupling analysis. Mech. Syst. Signal Process. 2022, 172, 108998. [Google Scholar] [CrossRef]
- Xu, F.; Zhou, C.; Liu, X.; Wang, J. GRNN inverse system based decoupling control strategy for active front steering and hydro-pneumatic suspension systems of emergency rescue vehicle. Mech. Syst. Signal Process. 2022, 167, 108595. [Google Scholar] [CrossRef]
- Guanpeng, C.; Yue, J.; Yuanjiang, T.; Xiaojun, X. Revised adaptive active disturbance rejection sliding mode control strategy for vertical stability of active hydro-pneumatic suspension. ISA Trans. 2023, 132, 490–507. [Google Scholar] [CrossRef]
- Sun, A.; Yu, C.; Xie, F.; Gao, Y.; Shi, X. Ride comfort improvement by back propagation-active disturbance rejection control in semi-active hydro-pneumatic suspension of mining dump truck. J. Vib. Control 2025, 31, 2378–2394. [Google Scholar] [CrossRef]
- Lee, J.; Oh, K.; Yi, K. A novel approach to design and control of an active suspension using linear pump control–based hydraulic system. Proc. Inst. Mech. Eng. Part D J. Automob. Eng. 2019, 234, 1224–1248. [Google Scholar] [CrossRef]
- Yang, L.; Wang, R.; Ding, R.; Liu, W.; Zhu, Z. Investigation on the dynamic performance of a new semi-active hydro-pneumatic inerter-based suspension system with MPC control strategy. Mech. Syst. Signal Process. 2021, 154, 107569. [Google Scholar] [CrossRef]
- Yang, L.; Wang, R.; Sun, Z.; Meng, X.; Zhu, Z. Multi-objective optimization design of hydropneumatic suspension with gas–oil emulsion for ride comfort and handling stability of an articulated dumper truck. Eng. Optim. 2023, 55, 291–310. [Google Scholar] [CrossRef]
- Yang, L.; Wang, G.; Cui, H.; Liu, W.; Zhang, L. Longitudinal, Lateral, and Vertical Coordinated Control of Active Hydro-Pneumatic Suspension System Based on Model Predictive Control for Mining Dump Truck. Machines 2026, 14, 133. [Google Scholar] [CrossRef]














| Parameter | Unit | Value |
|---|---|---|
| Vehicle unload mass | kg | 34,000 |
| Vehicle full load mass | kg | 74,000 |
| Front body mass | kg | 2650 |
| Rear body mass | kg | 2950 |
| Sprung mass | kg | 24,200 |
| Front axle unsprung mass | kg | 3300 |
| Middle axle unsprung mass | kg | 3300 |
| Rear axle unsprung mass | kg | 3200 |
| Distance from mass center to front axle | mm | 2710 |
| Distance from mass center to middle axle | mm | 1740 |
| Distance from mass center to rear axle | mm | 3690 |
| Mass center height | mm | 1520 |
| Wheelbase | mm | 2600 |
| Front tire pressure | bar | 4.25 |
| Rear tire pressure | bar | 4.75 |
| Tire diameter | mm | 1860 |
| Tire width | mm | 765 |
| Tire vertical stiffness | N/m | 4,000,000 |
| Tire damping | N·m/s | 28,000 |
| Index | No Load | Full Load | ||||
|---|---|---|---|---|---|---|
| Experiment | Simulation | Error | Experiment | Simulation | Error | |
| RMS values of vertical body acceleration (m/s2) | 5.54 | 5.00 | 9.7% | 4.89 | 4.33 | 11.5% |
| Index | Passive Hydro-Pneumatic Suspension | Longitudinal Control | MDSOC-MPC |
|---|---|---|---|
| Peak values of pitch angle (degrees) | 1.26 | 1.00 | 1.03 |
| Index | Condition | Passive Hydro-Pneumatic Suspension | Lateral Control | MDSOC-MPC |
|---|---|---|---|---|
| Peak values of roll angle (degrees) | Single-shift line | 6.07 | 3.53 | 3.62 |
| Double-shift line | 8.62 | 5.85 | 6.03 |
| Index | Passive Hydro-Pneumatic Suspension | Lateral Control | Optimization | MDSOC-MPC | Optimization |
|---|---|---|---|---|---|
| Longitudinal body acceleration (m/s2) | 1.19 | 1.16 | 2.5% | 0.94 | 22% |
| Lateral body acceleration (m/s2) | 4.13 | 4.00 | 3.1% | 3.24 | 21.5% |
| Vertical body acceleration (m/s2) | 3.11 | 2.30 | 26% | 2.45 | 21.2% |
| Pitch angle (degrees) | 0.40 | 0.39 | 2.5% | 0.31 | 22.5% |
| Roll angle (degrees) | 0.94 | 0.91 | 3.2% | 0.75 | 20.2% |
| Right front suspension working space (m) | 0.0084 | 0.0108 | −28.6% | 0.0115 | −36.9% |
| Right front tire dynamic load (kN) | 39.41 | 28.27 | 28.3% | 31.23 | 20.8% |
Disclaimer/Publisher’s Note: The statements, opinions and data contained in all publications are solely those of the individual author(s) and contributor(s) and not of MDPI and/or the editor(s). MDPI and/or the editor(s) disclaim responsibility for any injury to people or property resulting from any ideas, methods, instructions or products referred to in the content. |
© 2026 by the authors. Licensee MDPI, Basel, Switzerland. This article is an open access article distributed under the terms and conditions of the Creative Commons Attribution (CC BY) license.
Share and Cite
Zhao, M.; Yang, L.; Cui, H. A Novel Multi-Dimensional Synergistic Optimization Control Strategy for Enhanced Performance of Mining Dump Truck Hydro-Pneumatic Suspensions. Actuators 2026, 15, 159. https://doi.org/10.3390/act15030159
Zhao M, Yang L, Cui H. A Novel Multi-Dimensional Synergistic Optimization Control Strategy for Enhanced Performance of Mining Dump Truck Hydro-Pneumatic Suspensions. Actuators. 2026; 15(3):159. https://doi.org/10.3390/act15030159
Chicago/Turabian StyleZhao, Mingsen, Lin Yang, and Hao Cui. 2026. "A Novel Multi-Dimensional Synergistic Optimization Control Strategy for Enhanced Performance of Mining Dump Truck Hydro-Pneumatic Suspensions" Actuators 15, no. 3: 159. https://doi.org/10.3390/act15030159
APA StyleZhao, M., Yang, L., & Cui, H. (2026). A Novel Multi-Dimensional Synergistic Optimization Control Strategy for Enhanced Performance of Mining Dump Truck Hydro-Pneumatic Suspensions. Actuators, 15(3), 159. https://doi.org/10.3390/act15030159

