Abstract
Tick-borne pathogens are growing in importance for human and veterinary research worldwide. We developed, optimized, and validated a reliable quantitative PCR (qPCR; real-time PCR) assay to assess Borrelia burgdorferi infection by targeting two B. burgdorferi genes, ospA and flaB. When assessing previously tested tick samples, its performance surpassed the nested PCR in efficiency, sensitivity, and specificity. Since the detection of Borrelia is more difficult in mammalian samples, the qPCR assay was also assessed using wildlife tissues. For wildlife samples, the sensitivity and specificity of ospA primers, with the incorporation of a pre-amplification step, was equivalent or superior to the nested PCR. For human samples, no primer set was successful with human tissue without culture, but we detected Borrelia with ospA and flaB primers in 50% of the Lyme culture samples, corresponding to 60% of the participants with a Lyme disease diagnosis or suspicion. The specificity of amplification was confirmed by Sanger sequencing. The healthy participant culture samples were negative. This PCR-based direct detection assay performs well for the detection of Borrelia in different biological samples. Advancements in detection methods lead to a better surveillance of Borrelia in vectors and hosts, and, ultimately, enhance human and animal health.
Keywords:
Borrelia burgdorferi; Lyme disease; ticks; wildlife; Borrelia culture; qPCR; real-time PCR 1. Introduction
Ticks are hematophagous ectoparasites that can transmit a variety of pathogenic and non-pathogenic microorganisms, including bacteria, viruses, protozoa, fungi, and nematodes, to human and animal hosts [1,2,3,4,5]. As the climate changes, tick populations are establishing and expanding, which impacts the incidence and locations of tick-borne diseases [6,7,8,9,10]. Numerous studies document the growing burden of tick-borne diseases and predict that it will continue to increase in many countries around the world [11,12,13,14,15,16,17,18]. These reasons drive the need for reliable tools for the direct detection of tick-borne pathogens, in both tick vectors and hosts.
Prominent among tick-borne pathogens is the Borrelia burgdorferi sensu lato complex, which encompasses an increasing number of closely related Borrelia species [19,20]. The most extensively studied and globally distributed Lyme-disease-causing Borrelia species is B. burgdorferi sensu stricto or B. burgdorferi. This bacterium is vectored by Ixodes tick species. As ticks feed, they can acquire infections from infected wildlife hosts and then transfer infections to uninfected hosts or uninfected co-feeding ticks [21,22,23]. When introduced into accidental hosts such as humans, Lyme disease, also known as Lyme borreliosis, results. This disease is a debilitating multisystemic disease, with potentially fatal outcomes [24,25,26,27,28,29]. Bacterial colonization begins with local infection in the extracellular matrix of the host skin, which acts as a protective niche for the bacterial replication [30,31]. Meanwhile, the underlying innate immune responses may lead to non-specific flu-like symptoms and the appearance of erythema migrans (EM) or other rashes [31,32,33,34,35,36,37,38]. Days to weeks following infection, the dissemination of B. burgdorferi progresses through the blood and the lymphatic circulatory systems to reach secondary sites of colonization. In immune-privileged tissues such as joints or central nervous tissues, the bacteria can further multiply [31,39,40]. At this point, symptoms may include secondary EM rashes, fatigue to an extent that impedes life activities, cognitive impairment, and neurological or arthritic afflictions, as well as other manifestations such as ocular and cardiac problems [34,41,42]. In addition to proliferation in immune-privileged sites, B. burgdorferi employs numerous strategies to evade and suppress the host’s innate and adaptative immune system [30,31,43,44,45,46,47,48,49]. Months to years post-infection, damage to the tissues may occur and late or chronic Lyme disease ensues [44,47,50,51,52]. Even among those treated promptly and fully by the accepted treatment modalities, approximately 14% have persistent symptoms [52] and the proportion with persistent symptoms increases with a delay in diagnosis [52]. Thus, the early detection of infection and prompt treatment have the best chance of leading to a full recovery [47,52,53,54,55,56,57,58,59,60,61].
The detection of a Borrelia infection in human samples is challenging for many reasons. In the clinical setting, the detection of Borrelia infection is indirect as it relies on the serological detection of anti-Borrelia antibodies and this system does not reliably detect the Borrelia infection in certain cases [49,53,54,61,62,63,64,65,66,67,68,69,70,71]. To address the deficiencies of indirect testing, direct pathogen detection methods such as nested PCR (nPCR) and quantitative PCR (qPCR; real-time PCR), with or without enrichment by culture, have been extensively used to detect Borrelia DNA in research [72,73,74,75,76]. While many PCR assays for Borrelia have been developed, not all are thoroughly optimized and validated. Those that have been validated tend to be validated only for one type of biological sample [77,78,79,80,81,82,83,84,85,86,87,88,89,90,91,92,93,94,95,96,97,98]. In this article, we describe a validated, optimized, accessible, and reliable qPCR assay targeting Borrelia species using a plasmid gene (ospA, Outer surface protein A) and a chromosomal gene (flaB, flagellin B). After the development, optimization, and validation of the protocol using pure Borrelia burgdorferi cultures alone or spiked into human DNA as a positive control, we used this assay to test different biological sample types, including ticks, tissues from reservoir wildlife species, and culture-amplified samples of humans diagnosed with Lyme disease. The sequencing of the resulting amplicons substantiated the primers’ specificity.
2. Materials and Methods
2.1. Sample Collection and Preparation
For the positive control, we used Borrelia DNA (Borrelia burgdorferi strain B31, ATCC #35210, the American Type Culture Collection, Manassas, VA, USA) spiked into human DNA to replicate the nature of clinical samples as much as possible. We extracted the human DNA from human embryonic kidney cells (HEK-293, ATCC # CRL-1573), lymphocyte B cells from a patient with lymphoma (Raji, ATCC # CCL-86), a cell line from peripheral blood of a patient with chronic lymphoid leukemia (Mec-1, DSMZ # ACC-497, the Leibniz Institute’s German Collection of Microorganisms and Cell Culture, Braunschweig, NI, DEU), and a cell line derived from clear cell adenocarcinoma from human kidney (786-0, ATCC # CRL-1932). The maintenance of the Borrelia pure culture was carried out using standard procedures [99] and as instructed by the bacteria provider (ATCC). Human cell culture was carried out as instructed by the providers (ATCC and DSMZ). Cells were counted using a hemacytometer and trypan blue (Gibco, Thermo Fisher Scientific, Waltham, MA, USA) to assess cell number for DNA extraction. Phosphate-buffered saline (PBS) 1× was added to the cell pellet, obtained by centrifugation at 2000× g for 10 min, before DNA extraction was performed.
Tick samples came from the Lloyd Lab Tick Bank at Mount Allison University (Sackville, NB, Canada). Ticks were obtained by passive surveillance and donated by the public and veterinary clinics in 2020. Table 1 provides information on the origin of the ticks, as reported by tick donors, and information on tick species, life stage, sex, engorgement, and Borrelia burgdorferi presence or absence. B. burgdorferi infection was determined by nested-PCR-targeting the 16S-23S rRNA intergenic sequence region, as described by Lewis et al. (2021) [100]. Ticks (n = 30) were selected to include 10 ticks from each of the three categories: negative, positive, and ambiguous for the presence of B. burgdorferi DNA. Ticks from the ambiguous category are ticks for which the gel result showed amplicons of unexpected size or weak amplicons of the correct size.
Table 1.
Ixodes scapularis ticks collected by passive surveillance in 2020 and Borrelia infection status.
Wildlife samples were collected in New Brunswick (Canada) as described previously [101]. Briefly, a non-targeted approach was used to collect medium (raccoons, porcupines, etc.) and small (rodents, shrews, etc.) animals to maximize the number and diversity of species collected. Animals were identified morphologically. Small animals were frozen upon collection until tissues were dissected whereas dissection of larger animals occurred at the site of recovery. DNA was extracted from the dissected tissues as described by Zinck and Lloyd (2022) [101], and tested for B. burgdorferi by nested PCR [101], and residual DNA was stored at −20 °C. The previously extracted and frozen DNA from 21 of those samples was used in this study. Table 2 provides information on the wildlife samples.
Table 2.
Wildlife samples collected between 2016 and 2017 and Borrelia infection status.
Human tissue samples (kidney, liver, pancreas, tooth, pericardium, endocardium, cerebral cortex, aorta, tricuspid valve, and pulmonary vein) were obtained from the Lyme disease biobank (Mount Allison Research Ethics Board, approbation # 2016-042/101796) from three individuals diagnosed with Lyme disease at the time the samples were removed.
The culture samples, derived from individuals with a diagnosis or suspicion of Lyme disease, were acquired from clinical collaborators, Marianne Middelveen (Atkins Veterinary Services, Calgary, AB, Canada) and Dr. Raphael Stricker (Union Square Medical Associates, San Francisco, CA, USA) in 2016 and 2017 (research ethics approval # 1148461). Table 3 contains information on the samples collected and the demographic data provided by study participants. All of these participants were from Alberta (Canada), except for participant L12, who resided in Ontario (Canada). Medical and diagnostic history were provided by the participants. All participants had been experiencing long-term (months to years) chronic illness, which would exclude the possibility of acute Lyme disease. As is common for “real-world” samples, access to primary or specialist healthcare was variable so not all participants had access to conventional two-tiered serological testing or private serological testing using alternate diagnostic approaches. Some participants were under the care of relevant specialists (5 different physicians) but most did not have access to specialist care.
Table 3.
Human samples information and results of previous Borrelia serological testing.
All the samples and cultures tested in this study were used exclusively for this study. Participants L2, L3, L5, L6, L7, L12, and L20 had previously donated samples to be cultured with findings described by Middelveen et al. (2014) (using different participant codes) [102]. Participants L2, L3, L6, L7, and L20 also provided samples for analysis described (using different participant codes) in Middelveen et al. (2018) [103]. We additionally obtained 6 negative biological control samples, which consisted of BSK-H cultures derived from 3 genital and 3 blood samples from 6 individuals with no Lyme disease diagnosis or suspicion. These samples were collected by Dr. John Haggblad (Associate Clinic, Calgary, AB, Canada) and cultured by Middelveen (ethical approval # HREBA.CHC-15-0029). Samples were cultured by Middelveen using the Barbour–Stonner–Kelly (BSK-H) medium (Dalynn Biologicals, Calgary, AB, Canada) with 6% rabbit serum (Sigma-Aldrich, # B8291, St. Louis and Burlington, MA, USA), a medium optimized for the growth of Borrelia [96,97], to which three antibiotics (Sigma-Aldrich, St. Louis and Burlington, MA, USA) were added: amphotericin B (2.5 μg/mL), rifampicin (50 μg/mL), and phosphomycin (20 μg/mL). Cultures were incubated between 34 to 35 °C for 4 weeks and sent to Mount Allison University (MTA), where they were stored at 4 °C for a few to approximately 90 days, until DNA extraction was performed. We obtained 24 BSK-H cultures derived from different samples from 15 Lyme disease patients. The different samples used to make the Lyme BSK-H cultures consisted of a skin sample (n = 1), urine samples (n = 3), genital samples (semen or vaginal swab; n = 15), periodontal samples (n = 2), and synovial fluid from the knee (n = 2) and the ankle (n = 1). Some of these samples included biological replicates, obtained from the same sample type of the same participant but collected at different times.
2.2. DNA Extraction
We started the optimization and validation process by assessing different DNA extraction kits. Five different DNA extraction methods were used to extract DNA from B. burgdorferi pure cultures: AquaGenomics (MultiTarget Pharmaceuticals LLC, Salt Lake City, UT, USA), DNeasy Blood & Tissue kits (Qiagen, Germantown, MD, USA), Purelink Genomic DNA Mini Kit (Thermo Fisher Scientific, Waltham, MA, USA), Monarch® Genomic DNA purification Kit (New England BioLabs, Ipswich, MA, USA), or Extracta DNA Prep for tissue (Quantabio, Beverly, MA, USA). The human genomic DNA was extracted using the PureLink Genomic DNA kit (Thermo Fisher Scientific, Waltham, MA, USA) and the QIamp DNA mini kit (Qiagen, Hilden, NRW, DEU). The DNA extraction from the B. burgdorferi pure cultures and the human cell lines was performed as described by each of the manufacturers’ protocols. DNA concentrations of both the Borrelia and human DNA was determined using a nanodrop ND-1000 spectrophotometer (Thermo Fisher Scientific, Waltham, MA, USA), with the respective DNA resuspension solutions as a blank. To prepare the spiked positive controls, different concentrations of Borrelia DNA (depending on the experiment conducted, as described in Section 2.4) was mixed with 100 ng of human DNA and samples were stored at −20 °C. For the assessment of the optimized qPCR protocol with different biological sample types, different DNA extraction protocols were not exhaustively tested as sample availability was limited. The choice of DNA extraction protocol was based on expediency or prior choice for archived DNA samples.
For DNA extraction of BSK-H cultures derived from Lyme samples, the AquaPlasmid reagent (MultiTarget Pharmaceuticals LLC, Salt Lake City, UT, USA) was used, following the manufacturer’s protocol. Briefly, samples were centrifuged at 10,000× g for 10 min in a benchtop microcentrifuge (SpectrafugeTM 24D Microcentrifuge, Labnet International, Cary, NC, USA) to pellet bacteria, which was resuspended in 100 to 200 μL of PBS 1× and put at −80 °C overnight to aid in lyzing the bacteria. Samples were then centrifuged as before and resuspended in 200 μL of AquaPlasmid solution, vortexed, and incubated at −20 °C for 5 min, and the cellular debris was pelleted by centrifugation at 14,000× g for 5 min. The supernatant was precipitated with 0.5 volume isopropanol, centrifuged at 14,000× g for 5 min, washed with ethanol (70%), air-dried, and resuspended in 50 μL of a Tris 1 mM pH 7 solution. DNA samples were stored at −20 °C until qPCR testing.
Tick DNA extraction was performed using the AquaGenomic reagent (MultiTarget Pharmaceuticals LLC, Salt Lake City, UT, USA) according to the manufacturer’s protocol. Briefly, ticks were homogenized in 50 to 200 μL of AquaGenomic solution, depending on the size and engorgement status of the tick, by using an Eppendorf pestel (Diamed Lab Supplies Inc., Mississauga, ON, Canada). The samples were incubated at 60 °C for 45 min to inactivate nucleases. The samples were then centrifuged at 16,300× g in a benchtop microcentrifuge (SpectrafugeTM 24D Microcentrifuge, Labnet International, Cary, NC, USA) and the supernatant precipitated with an equal volume of isopropanol. After pelleting the DNA by centrifugation, the pellet was washed with 50 μL of ethanol (70%), air-dried at room temperature, and resuspended in 50 μL of 1 mM Tris pH7 by incubating at 60 °C for an hour. DNA samples were stored at −20 °C until qPCR testing.
For the wildlife samples and human tissue samples, DNA was extracted as described previously [101] using the AquaGenomic reagent (MultiTarget Pharmaceuticals LLC, Salt Lake City, UT, USA), according to the manufacturer’s protocol as described for ticks above, with the exception that tissue samples were pre-digested in proteinase K (5 μg) in 100 μL of AquaGenomic solution for 90 min at 55 °C followed by a 10 min deactivation step at 95 °C before proceeding with the standard DNA extraction protocol. To confirm the DNA integrity of these archived samples (wildlife, human tissue, and tick samples), amplification of the mitochondrial Cytochrome C Oxidate subunit 1 (CO1) was used (Table 4). The PCR reaction mix consisted of the same reagents and volumes as described for the two rounds of conventional PCR with outer primers and the semi-nested PCR (Section 2.5). The CO1 PCR program was as follows: an initial denaturation of 94 °C for 5 min; 5 cycles of 94 °C for 30 s, 45 °C for 30 s, and 72 °C for 1 min; and 35 cycles of 94 °C for 30 s, 51 °C for 30 s, and 72 °C for 1 min.
2.3. Primer Design
Primers targeting a fragment of two Borrelia genes (ospA or outer surface protein and flaB or flagellin B) were designed for the qPCR assay. Ten primer pairs were generated for each gene using the software Primer3Plus (version 3.3.0), based on the criteria recommended by Thornton and Basu [104]. To detect the maximum of Borrelia species possible, several sequences from different Borrelia species (GenBank # AE000790.2:9457-10278, CP002761.1:9504-10325, CP003202.1:c45988-45170, and AB253532.1 for the ospA primer pair; GenBank # CP014808.1:778274-779278, NC_022048.1:c148659-147649, NZ_CP007564.1:753937-754947, CP000013.1:c148255-147245, CP021872.1:147918-148925, CP002746.1:147244-148254, and NZ_CP009212.1:147324-148334 for the flaB primer pair) were aligned in the MUSCLE (Multiple Sequence Comparison by Log-expectation) software version 5 on the EMBL-EBI (European Molecular Biology Laboratory of the European Bioinformatics Institute, Hinxton, CAM, UK) website. Of the 10 primer pairs, the one with the most conserved regionmins between species were selected for each of the target genes. The selected ospA and flaB primer pairs were inspected for primer dimers and secondary PCR products using the following resources: Oligocalc: Oligonucleotide Properties Calculator version 3.27, and Mfold web server for nucleic acid folding and hybridization prediction version 3.0, as well as AmplifyX version 2.1.1 to simulate the PCR in silico. Primers with a %CG between 40 and 60 were then chosen outside the previous primer pairs and inspected with the same resources as described above. Primer BLAST (National Center for Biotechnology Information (NCBI), Bethesda, MD, USA) version 2.10.0 was used to confirm the specificity of the primers. OspA and flaB primers were manufactured by Integrated DNA Technology (IDT, Coralville, IA, USA). The ospC and CO1 [105] primers were taken from the literature and manufactured by Sigma-Aldrich (St. Louis and Burlington, MA, USA). Table 4 shows the primer sequences, the hybridization temperature, and the amplicon length for all the primer pairs used in this study.
Table 4.
PCR primers and amplification conditions.
Table 4.
PCR primers and amplification conditions.
| Target | Type of PCR | Primer Name | Sequence (5′ → 3′) | Hybridization Temperature (°C) | Amplicon Length (bp) | Source of the Primers |
|---|---|---|---|---|---|---|
| Borrelia species | qPCR 1 | ospA forward | GAACCAGACTTGAATACACAGGA | 61 | 98 | Designed for this study |
| ospA reverse | TTCAGCAGTTAGAGTTCCTTCA | |||||
| flaB forward | CAATCAGGTAACGGCACATATTC | 61 | 80 | |||
| flaB reverse | CTATTAATTTCGTCTGTAAGTTGCTC | |||||
| Two rounds of conventional PCR and outer round of semi-nested PCR 2 | outer ospA forward | CAAGAGCAGACGGAACC | 52.5 | 190 | ||
| outer ospA reverse | AGTTCAACTGAAACTTCCC | |||||
| outer flaB forward | GTAAGAATGAAGGAATTGGC | 52.5 | 204 | |||
| outer flaB reverse | AGGCTGCATTCCAAGCTC | |||||
| Inner round of semi-nested PCR 3 | ospA forward | GAACCAGACTTGAATACACAGGA | 53.5 | 178 | ||
| outer ospA reverse | AGTTCAACTGAAACTTCCC | |||||
| flaB forward | CAATCAGGTAACGGCACATATTC | 61 | 180 | |||
| outer flaB reverse | AGGCTGCATTCCAAGCTC | |||||
| Nested PCR 4 | outer ospC forward | GTAATAATTCAGGGAAAGATGG | 51 | 654 | ||
| outer ospC reverse | CAGCACCTTTAGTTTTAGTACC | |||||
| inner ospC forward | CTAATGCGGTTTTACTTGCTG | 56 | 331 | |||
| inner ospC reverse | GTTTTTAAAATGGCTTCTTTTGC | |||||
| Diverse animals | Conventional PCR 5 | CO1 forward | GGTCAACAAATCATAAAGATATTGG | 45 (5 cycles) 51 (35 cycles) | 710 | Folmer et al. (1994) [105] |
| CO1 reverse | TAAACTTCAGGGTGACCAAAAAATCA |
1 The qPCR program had an initial denaturation at 95 °C for 3 min, followed by 40 cycles of denaturation at 95 °C for 15 s, hybridization at 61 °C for 30 s, and elongation at 72 °C for 30 s, as described in Section 2.4. 2 The PCR program for both rounds of conventional PCR and for the outer round of the semi-nested PCR was as follows: 95 °C for 10 min; 20 cycles at 95 °C for 1 min, 52.5 °C for 30 s, and 72 °C for 30 s; and 72 °C for 5 min. 3 The PCR program for the inner round of the semi-nested PCR was the same as the outer round but with an annealing temperature of 53.5 °C and the number of cycles increased to 40, as described in Section 2.5. 4 The ospC program for the outer round was as follows: an initial denaturation of 94 °C for 5 min; 35 cycles of 94 °C for 45 s, 51 °C for 45 s, and 72 °C for 45 s; and a final extension of 72 °C for 5 min. The program for the ospC inner round was the same as the outer round except for the annealing temperature which was 56 °C instead of 51 °C, as described in Section 2.5. 5 The CO1 PCR program was as follows: an initial denaturation of 94 °C for 5 min; 5 cycles of 94 °C for 30 s, 45 °C for 30 s, and 72 °C for 1 min; and 35 cycles of 94 °C for 30 s, 51 °C for 30 s, and 72 °C for 1 min, as described in Section 2.2.
2.4. Validation and Optimization of the qPCR Assay
Before testing tick and human samples, the qPCR assay was validated and optimized. The first step was to test different qPCR master mixes. Quantabio’s PerfeCta 2× SYBR Green SuperMix (VWR 101414, Radnor, PA, USA), Quantabio’s PerfeCta 2× FastMix II (VWR 97065, Radnor, PA, USA), and Montreal Biotech MBI EvOlution 5× EvaGreen qPCR mix (Montreal Biotech MBI-E1000, Dorval, QC, Canada) were tested to determine which one was the most efficient for our samples. This was performed with technical triplicates, for the ospA and flaB primers, at different concentrations of Borrelia (10 ng, 1 ng, and 0.1 ng) in 100 ng of human DNA. We also included samples of 100 ng of only Borrelia DNA and 100 ng of only human DNA. To further evaluate the detection limit, a sensitivity test was performed, again with technical triplicates and the same primers but using samples that included an even lower concentration, 0.001 ng of Borrelia DNA in 100 ng of human DNA. Secondly, a hybridization temperature gradient, between 58 °C and 63 °C, was performed to select the optimal hybridization temperature, one with good specificity without much compromise of sensitivity, again using technical triplicates for ospA and flaB primers and with the same templates as described above. Specificity of primer pairs was assessed through the inspection of the melt curve peaks for secondary peaks and primer sensitivity was assessed by looking at the fluorescence (Y axis) of the melt curve peaks. A PCR amplification efficiency test was then performed for the Borrelia primers (ospA and flaB) by using a serial dilution (1:10) of the Borrelia DNA sample, starting with a quantity of 100 ng.
For the first of the validation and optimization steps, the performance of the different previously mentioned qPCR master mixes was compared and, for the rest of the steps, the SYBR Green Super mix (the commercial qPCR master mix that produced the best amplification—see Section 3.1) was used. The PCR reaction mix also consisted of 450 nM of forward primer, 450 nM of reverse primer, and 2 μL of DNA template in a final volume of 10 μL. For each of the steps, a negative control (no-template control) was carried out in triplicate for each primer pair tested. The PCR program had an initial denaturation at 95 °C for 3 min, followed by 40 cycles of denaturation at 95 °C for 15 s, hybridization at 61 °C for 30 s, and elongation at 72 °C for 30 s. The melt curve was carried out between 65 °C and 95 °C with an increase of 0.5 °C every 5 s. A CFX96 Connect qPCR Detection System thermocycler (Bio-Rad, Hercules, CA, USA) was used, and data were obtained using the software CFX Maestro 1.1, version 4.1.2433.1219.
2.5. Testing of Tick Samples, Wildlife Tissues, Human Tissues, and BSK-H Cultures Derived from Human Samples
Ticks from the positive, negative, and ambiguous categories were tested with the optimized qPCR protocol, with technical triplicates, using Borrelia primers (ospA and flaB). BSK-H cultures derived from samples of individuals with a Lyme disease diagnosis or suspicion of Lyme disease, as well as negative controls (BSK-H cultures derived from those with no diagnosis or suspicion of Lyme disease), were also tested by qPCR with technical triplicates, using Borrelia primers (ospA and flaB). Testing of these samples was carried out simultaneously with a negative control (no-template control) and a positive control (100 ng of Borrelia DNA). For the testing of the biological samples, the PCR reaction mix, the PCR program, the thermocycler, and the software used to obtain the data were the same as described for the validation and optimization steps (Section 2.4). The ospC-nested PCR testing was performed on BSK-H culture samples using the MultiGene OptiMax thermal cycler (Labnet International, Cary, NC, USA). The PCR reaction mix was carried out in a final volume of 25 µL, which included 12.5 µL of GoTaq Green 2× Master mix (Promega, Madison, WI, USA), 8.5 µL of nuclease-free water, 1 µL of forward primers (10 µM), 1 µL of reverse primers (10 µM) (primers are listed in Table 4), and 2 µL of DNA (or nuclease-free water for the no-template control) for the outer round and PCR product of the outer round for the inner round. The program for the outer round was as follows: an initial denaturation of 94 °C for 5 min; 35 cycles of 94 °C for 45 s, 51 °C for 45 s, and 72 °C for 45 s; and a final extension of 72 °C for 5 min. The program for the inner round was the same as the outer round, except for the annealing temperature, which was 56 °C instead of 51 °C.
For wildlife and human tissue samples, DNA extracted directly from tissues was tested by qPCR in duplicate with and without a round of pre-amplification for the Borrelia ospA and flaB genes using the iCycler iQ qPCR Detection System (Bio-Rad, Hercules, CA, USA) and iCycler software version 3.0.6070. The PCR reaction mix and PCR program are as described for the validation and optimization steps (Section 2.4). These samples were also tested with two rounds of conventional PCR using outer ospA and flaB primers and with a semi-nested PCR using outer forward and reverse primers for the first round or forward primer and outer reverse primer for the second round, as listed in Table 4 (outer ospA or flaB reverse and ospA or flaB forward) using the MyCycler Thermal Cycler (Bio-Rad, Hercules, CA, USA). The PCR reaction mix used the same reagents and volumes as for ospC. The PCR program for both rounds of conventional PCR and for the outer round of the semi-nested PCR was as follows: 95 °C for 10 min; 20 cycles at 95 °C for 1 min, 52.5 °C for 30 s, and 72 °C for 30 s; and 72 °C for 5 min. The PCR program for the inner round of the semi-nested PCR was the same as the outer round but with an annealing temperature of 53.5 °C and the number of cycles increased to 40.
2.6. DNA Sequencing
To confirm the specificity of amplification, some of the amplicons were Sanger-sequenced. The short qPCR amplicons were prepared for sequencing by cloning, whereas longer amplicons (two round of conventional PCR, semi-nested PCR, and nested PCR) were directly sequenced. Of the biological samples that amplified a short qPCR product, 8 samples consisting of ospA and flaB amplicons obtained from tick samples, Lyme BSK-H cultures, and the positive control (DNA extracted from the B. burgdorferi pure culture) were prepared for Sanger sequencing. This was carried out by cloning and purifying plasmid DNA according to the manufacturer’s protocol of the kits and materials. Briefly, the PCR product migration was carried out in a 2% agarose gel for approximately 1 h at 120 volts; bands corresponding to the amplicon’s sizes were removed from the gel, from which DNA was extracted using the gel extraction kit (Qiagen, Germantown, MD, USA). The PCR products were ligated in the cloning vector pGEM by using the pGEM-T Easy vector systems (Promega, Madison, WI, USA) and plasmid DNA was transformed into competent cells using Escherichia coli Mix and Go JM109 (Zymo Research, Irvine, CA, USA). The colonies were then screened with regular PCR using the commercial PCR mix DreamTaq PCR Master Mix (2×) (Thermo Fisher Scientific, Waltham, MA, USA) with the same ospA and flaB primers as described for qPCR in Section 2.3. The selected colonies were then cultured in 2 mL of liquid LB culture medium at 37 °C in a shaking incubator. Plasmid DNA was extracted using the ZymoPURE Plasmid Miniprep kit (Zymo Research, Irvine, CA, USA) and sent to the TCAG DNA sequencing facility (Toronto, ON, Canada) for Sanger sequencing of DNA strands was done in both directions (sense and antisense). For the sequencing of the longer amplicons, 11 ospA amplicons and two flaB amplicons from wildlife samples were obtained using two rounds of conventional PCR, five ospA and one flaB amplicons from the wildlife samples were obtained using semi-nested PCR, two ospA amplicons and two flaB amplicons from ticks of the positive category were obtained by two rounds of conventional PCR, and seven ospC amplicons from BSK-H cultures were obtained with nested PCR. Longer amplicons were sent to Centre d’expertise et de services Génome Québec (Montréal, QC, Canada). The sequences were then manually compared using the FinchTV software version 1.4.0, and a nBLAST analysis, optimized for highly similar sequences (megablast) (NCBI, the National Center for Biotechnology Information, Bethesda, MD, USA), was performed on the consensus sequences.
3. Results
3.1. Validation and Optimization Results of the Borrelia qPCR Assay
Before testing the tick, wildlife, and human samples for the Borrelia species, the qPCR assay was validated and optimized. First, the DNA extraction methods (described in Section 2.2) for the B. burgdorferi B31 pure cultures of the positive control were tested to determine which one had the best DNA yield, and the Extracta DNA prep for tissue (Quantabio) was found to perform best (see Table 5).
Table 5.
Optimization of the DNA extraction method using Borrelia burgdorferi B31 pure culture.
Figure 1 shows the comparison of the performance of the three different commercial qPCR mixes tested (SYBR Green SuperMix, FastMix, and EvaGreen qPCR mix) with our Borrelia primers, using different concentration of Borrelia DNA spiked in 100 ng of human DNA. The SuperMix (dark gray, Figure 1) was the most sensitive qPCR mix, with detection between 20 and 30 cycles, lower than the other mixes, for all the concentrations tested, for both targeted genes (ospA in Figure 1A and flaB in Figure 1B). For the FastMix (light gray, Figure 1), Borrelia samples amplified a product from the most concentrated Borrelia DNA samples (i.e., 10 ng of Borrelia DNA in 100 ng of human DNA, approximately equivalent to 800 Borrelia genomes, constituting 8000–16,000 targets depending on the cell ploidy, in 60,000 human genomes) at 30 cycles of amplification and 10 ng of pure Borrelia DNA at 20 cycles with ospA (Figure 1A), whereas, for flaB (Figure 1B), Borrelia DNA was only detected with a low Cq value in the most concentrated Borrelia DNA samples (i.e., 10 ng of Borrelia DNA in 100 ng of human DNA and 10 ng of pure Borrelia DNA, both below 25 cycles, and a high Cq of 35 cycles was obtained for the two samples with the lowest Borrelia DNA concentration; 1 ng of Borrelia DNA in 100 ng of human DNA, or approximately 80 Borrelia genomes in 60,000 human genomes, and 0.1 ng Borrelia DNA in 100 ng human DNA, or approximately 8 Borrelia genomes in 60,000 human genomes). For the EvaGreen qPCR Mix (white, Figure 1), no amplification, except for the amplification of two samples with high Cq values (10 ng of Borrelia DNA in 100 ng of human DNA and 1 ng of Borrelia DNA in 100 ng of human DNA, both appearing at 35 cycles) was obtained for flaB.
Figure 1.
Quantitative PCR assay results for the optimization of the commercial qPCR master mix test. The SYBR Green SuperMix is represented in dark gray, the FastMix is in light gray, and the EvaGreen Mix is in white, for the ospA (A) and flaB (B) primers. The average Cq values were calculated from the technical triplicate Cq values and the error bars were calculated using the standard deviation of the technical triplicate Cq values. The NTC sample is a no-template control.
To determine the sensitivity of the primers, the next step was carried out by lowering the Borrelia DNA concentration (Figure 2). The ospA primers detected Borrelia DNA at even the lowest concentration of DNA tested (0.01 ng of Borrelia DNA in 100 ng human DNA at around 30 cycles), whereas the flaB primers detected nothing at this concentration or the next lowest Borrelia concentration (0.1 ng of Borrelia DNA in 100 ng human DNA). These results indicate that the limit of detection for Borrelia DNA is 0.01 ng or lower for the ospA primers and between 0.1 ng to 1 ng for flaB.
Figure 2.
Detection limit of the qPCR Borrelia primers. The average Cq values, calculated from the technical triplicate Cq values, are represented in gray for ospA and in white for flaB. Error bars were calculated using the standard deviation of the technical triplicate Cq values. The NTC sample is a no-template control.
To further optimize the amplification sensitivity and specificity, the optimal hybridization temperature gradient was determined by varying the annealing temperatures between 58 °C and 63 °C and examining the melt curves to assess specificity (determined by a single peak) and sensitivity (the height of the peaks). These data are presented in Figure 3, for ospA (Figure 3A) and flaB (Figure 3B). With hybridization temperatures below 61.2 °C, a small secondary peak indicates that amplification loses specificity relative to other hybridization temperatures, for ospA and flaB. Thus, the annealing temperature chosen had to be 61.2 °C or higher. To choose between these temperatures (61.2, 62.2, or 63 °C), the sensitivity was assessed by looking at the fluorescence signal of graphs (Y axis) in Figure 3. At 61.2 °C, the signal of the peak rises to around 300 RFU (relative fluorescence units) for ospA and 120 for flaB. However, for 62.2 and 63 °C, the fluorescence signal starts to generally diminish, especially for ospA. Considering this, the hybridization temperature of 61 °C was chosen for ospA and flaB since it allows for a good specificity without compromising the sensitivity. A difference of fluorescence signal was noted between ospA and flaB (around 300 versus 120, respectively), which suggests that ospA primers are more sensitive than flaB primers.
Figure 3.
Optimization of hybridization temperature for the qPCR primers. The peak graphs show derivatives of the fluorescence as the melting temperature increases. The hybridization temperature gradient covered the following temperatures: 58, 59, 60, 61.2, 62.2, and 63 °C. The melt peaks for the two targeted Borrelia genes, ospA (A) and flaB (B), at different concentrations of Borrelia DNA (10, 1, and 0.1 ng) in 100 ng of human DNA and 100 ng of Borrelia DNA only are combined in these graphs. Hybridization temperatures were grouped (from 58 °C to 60 °C, 61.2 °C, and from 62.2 °C to 63 °C) in these graphs according to the changes observed in the peaks. More than one melt peak or the distortion of peaks indicate a non-specific amplification. The threshold line was placed by the CFX Maestro 1.1 software, version 4.1.2433.1219 based on default settings.
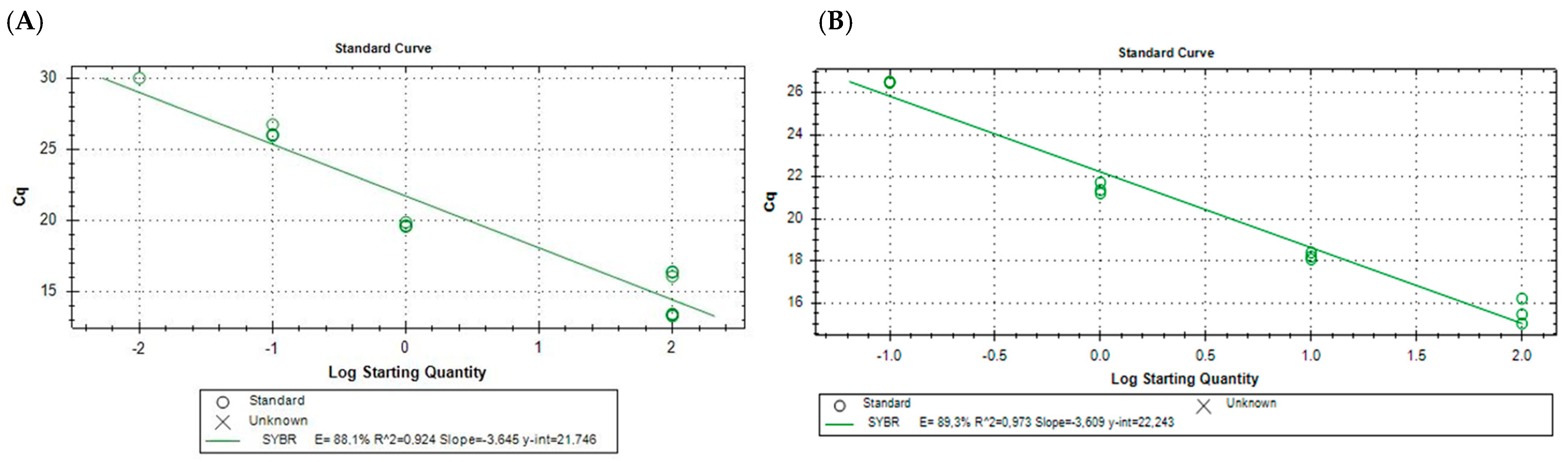
The amplification efficiency for the qPCR primers ospA (Figure 4A) and flaB (Figure 4B) was calculated by the CFX Maestro software 1.1, version 4.1.2433.1219 with samples described in Section 2.4. The efficiencies of the primer pairs were similar, 88.1% for ospA and 89.3% for flaB. Comparing the slopes of the different primer pairs allowed us to determine that they have a similar amplification efficacy. The goodness-of-fit of the curve approaches 1, which ensures a good technique has been employed in manipulating samples.
Figure 4.
Efficacy test for the primers used in this study. The efficacy percentage (E) is shown along with the goodness-of-fit (R2) and the linear equation for the primers ospA (A) and flaB (B), as determined by the Maestro software 1.1, version 4.1.2433.1219. Standards are samples from a serial dilution (1:10) of Borrelia DNA starting with 100 ng of Borrelia DNA, in a volume of 2 µL, tested with technical triplicates.
3.2. PCR Testing on Tick, Wildlife, and Human Samples
3.2.1. Quantitative PCR Testing on Tick Samples
Figure 5 shows the results of the qPCR using our optimized primer sets on tick DNA. Amplicons were generated for all the ticks previously found to be Borrelia-positive with average Cqs between 20 and 30 cycles, for both genes (ospA and flaB). Ticks from the negative category did not produce any amplification or they had a signal of amplification of 35 cycles (average Cq) for both genes or for one of the two genes. For the ticks from the ambiguous category, amplification was obtained for only one tick and it occurred below 30 cycles for ospA and flaB. The positive control (100 ng of Borrelia DNA) amplified a product with an average Cq of 20 cycles for ospA and flaB. The negative controls (NTC) for ospA and flaB did not amplify, or amplification was at 35 cycles or more. Based on these results, the amplification of a PCR product with an average Cq below 35 cycles indicates a tick positive for the presence of Borrelia DNA.
Figure 5.
Quantitative PCR results of tick samples. Quantitative PCR for positive ticks, negative ticks, and ambiguous ticks. The classification of ticks as positive, negative, and ambiguous is based on nPCR testing [100]. The red line indicates the 35-cycle cut-off line; to be considered positive amplification, both genes must be non-zero values below this line. The average Cq results are shown in gray for ospA primers and in white for flaB primers. The samples starting with the letter “T” represent tick samples. The negative control consisted of a PCR reaction with molecular-grade water instead of DNA (NTC for no-template control) and the positive control was 100 ng of Borrelia DNA in a volume of 2 µL. The average Cq was calculated with the Cq values of technical triplicates and the error bars were calculated by using the standard deviation of the Cq values of the technical triplicates.
3.2.2. PCR Testing of Wildlife Samples
As the amplification of Borrelia is more challenging in mammals than ticks due to the overwhelming amounts of host DNA [101], we investigated both the basic qPCR amplification protocol and a pre-amplification step that might increase its sensitivity. Table 6 shows the testing outcome for the DNA extracted from 21 tissues samples from mammalian reservoir hosts, of which seven samples previously determined by nested PCR to have Borrelia and 14 without Borrelia [101]. Without any pre-amplification, none of the seven positive samples showed a positive result with qPCR for either the ospA and flaB primer sets; one of the negative samples (C3K16) showed amplification with the ospA and flaB primer sets and two produced non-specific amplification (non-Borrelia sequences) with the flaB primer set. With pre-amplification, three positive samples (R1K16, R1L16, and R6L16) and four samples previously categorized as negative (C3K16, C70K16, C94K16, and C6K17) showed amplification with the ospA primer set. Two other samples, one categorized as positive (C50K17) and the other as negative (C126K16), produced a poor-quality sequence using semi-nested PCR and a non-specific amplification using two rounds of conventional PCR, respectively. We also investigated two rounds of amplification with outer ospA and flaB primers, which gave only non-specific amplification for the samples previously categorized as negatives and a poor sequence quality for samples previously categorized as positive, although this did generate the amplification of B. burgdorferi in tick samples (see the ospA amplicon of T299 and flaB amplicons of T299 and T375 in Supplemental Tables S1 and S2), and semi-nested amplification with the primers listed in Table 4. The semi-nested PCR produced Borrelia amplicons for one sample categorized as positive (R1L16) and four samples categorized as negatives (C3K16, C70K16, C94K16, and C6K17), all identified as positive for ospA by pre-amplification followed by qPCR. The amplicons generated by the semi-nested PCR were large enough for Sanger sequencing without a preliminary cloning step; the ospA amplicons and the flaB amplicon were confirmed to detect B. burgdorferi (Supplementary Table S2). Thus, the ospA primer set is effective in detecting B. burgdorferi in wildlife tissues when adapted with a pre-amplification step [101]. Consistent with our findings during validation, the flaB primer set does not appear to be sufficiently sensitive or specific for unamplified mammalian tissue samples.
Table 6.
Result for the PCR testing on wildlife samples.
3.2.3. Quantitative PCR Testing of Human Samples
We extended the use of our assay to test DNA from untreated Borrelia seropositive human tissues but were unable to identify amplicons with the ospA primer set (Supplemental Figure S1). Since the detection of Borrelia DNA in human samples is difficult, we also tested BSK-H cultures obtained from human samples.
Culture is a traditional means of amplifying Borrelia in a sample to enhance detection [99]. Figure 6 shows the result of qPCR on DNA of BSK-H cultures derived from samples from people with a diagnosis or suspicion of Lyme disease (Figure 6, “L” samples) and samples from the control group, which include those without a Lyme disease diagnosis or suspicion (Figure 6, “C” samples). Although ospA amplification was below 35 cycles in all Lyme disease samples (but none of the control samples), amplification with an average Cq below 35 cycles for both Borrelia genes (ospA and flaB) was obtained for only 12 of the 24 samples, corresponding to 9 of the 15 individuals diagnosed with Lyme disease. As culture serves to enrich the samples for Borrelia, we used the more conservative criterion of requiring amplification with both primer sets to mitigate the chance of false positives. Once more, the error bars were small. For the positive control (100 ng of Borrelia DNA), amplification was obtained with an average Cq of around 25 cycles for ospA and flaB. For the negative control of BSK-H cultures derived from the samples of individuals without a Lyme disease diagnosis or suspicion, no amplification was obtained below 35 cycles of amplification for either ospA or flaB.
Figure 6.
Quantitative PCR results of Lyme BSK-H cultures. Quantitative PCR results for the testing of BSK-H culture derived from Lyme and control samples. These samples were tested for two Borrelia genes (ospA in gray and flab in white). The red line indicates the 35-cycle cut-off line; to be considered positive amplification, both genes must be non-zero values below this line. The samples starting with the letter “L” are Lyme samples and samples starting with the letter “C” are BSK-H culture controls. The sample ending with the letter “s” is the skin sample, “g” is for genital samples, “u” is for urine samples, “p” is for periodontal samples, “a” is for the ankle synovial fluid sample, and “k” is for knee synovial fluid samples. The numbers at the end of the sample’s names (1, 2, or 3) represent the biological replicates. Negative controls consisted in molecular-grade water (NTC for no-template control) and the BSK-H cultures derived from control samples, provided by study participants that were not diagnosed with Lyme disease. The positive control was 100 ng of Borrelia DNA in a volume of 2 µL. The average Cq was calculated from the Cq values of the technical triplicates, and the error bar was calculated by doing the standard deviation of the technical triplicates.
Some study participants contributed only one sample, while others contributed multiple samples, at one time or at different times. For study participant L3, all three samples (L3g, L3p, and L3u) were positive for the detection of Borrelia. For the study participant # 102, both samples (L102g and L102u) were positive. For the study participant # 72, only one (L72g) of four samples (L72a, L72k1, L72k2, and L72g) was positive. For the study participants # 6, 35, 37, 70, 73, and 99, only one sample was tested per participant (L6p, L35g, L37g, L70g, L73g, and L99g) and they were positive. Samples of the study participants # 2, 5, 7, 12, 20, and 103 (L2g1, L2g2, L2g3, L5u, L5s, L7g, L12g, L20g, and L103g) were all considered negative. Using the same conservative criterion, we then compared the results based on the different sample types. Of the genital samples (n = 15), eight were considered positive for the presence of Borrelia DNA. Both periodontal samples and two of three urine samples were positive, whereas all three of the synovial fluid samples were negative.
3.3. Sanger Confirmation of Amplified Products
A cloned amplicon for each of the following biological sample types were sequenced: BSK-H cultures of the Lyme samples (L37g for ospA and L102g for flaB), ticks in the positive category (T299 for ospA and T383 for flaB), one tick in the negative category (T294 for ospA and flaB), and the B. burgdorferi control. Additionally, five ospA and one flaB larger amplicons were sequenced from the wildlife samples using the semi-nested PCR, eleven ospA amplicons and two flaB amplicons were obtained from ticks from the positive category were sequenced by two rounds of the conventional PCR, and seven ospC amplicons from BSK-H cultures were obtained with nested PCR. Table S1 provides the consensus sequence (forward and reverse combined) for each of these amplicons. A BLAST analysis of the NCBI GenBank database (see Supplementary Material, Table S2) confirmed that the primers are specifically targeting Borrelia with a 96.97% to 100% identity percentage to existing Borrelia GenBank sequences; the confirmation of the Borrelia strain, however, would require the sequencing of additional amplicons.
To further assess the amplicons of human origin (L3g, L3p, L35g, L70g, L72g, L73g, and L99g), a portion of the Borrelia ospC gene were sequenced and aligned to determine the ospC allele type. All of the sequences were identical (Supplemental Table S2). They were ospC A alleles, a globally-distributed allele that includes B. burgdorferi B31 which is of eastern North American origin [106,107]; however, these sequences were also 100% matches to natural isolates with ospC A alleles from western North America [108,109].
4. Discussion
4.1. Value of Optimized and Validated Tools for Direct Borrelia Detection
There is a need for optimized and validated tools to address both research and clinical problems associated with Borrelia, the causative agent of Lyme disease. Quantitative PCR is widely used in laboratories because it is a sensitive and specific fluorometric detection technique that allows for the real-time amplification, detection, and quantification of DNA or RNA without the need for post-PCR hands-on work, such as gel electrophoresis, to visualize results [72,73]. Furthermore, guidelines are available to standardize qPCR work (MIQE guidelines) [74], although it has been reported that most publications still do not provide enough details [75]. When carefully performed, qPCR is well-suited for the detection of infectious agents [76]. While the PCR approach has the advantage of directly detecting the pathogen, and so reducing ambiguity, it is not without its own limitations. Surveillance and clinical research applications have so far used a variety of primer sets, not always described sufficiently for replication, and optimization and validation are not always reported. Factors affecting Borrelia species detection by PCR include the sample types tested, the protocols used, and the course of pathogen infection [82]. In addition, the number of Borrelia bacteria, and so PCR targets, in clinical samples is lower than the number of targets for many other viral and bacterial infections [77,78,79,80,81], although the bacterial load of Borrelia in tick samples is much higher [83,84,85]. The low target abundance of Borrelia can be mitigated by the use of culture medium optimized for the growth of Borrelia [96,97]. PCR inhibitors in clinical samples, bacterial constituents, reagents, buffers, detergents, and antibiotics acting on nucleic acids or polymerases can cause false negatives. Reaction conditions can also interfere with PCR amplification if not optimized, leading to false negatives. Equally, cross-contamination can lead to false positives [91,92]. Nevertheless, there exist ways to mitigate these problems. False negatives from PCR inhibition can be detected using an internal control or can be avoided by using specific strategies to remove known PCR inhibitors [92], whereas false positives from cross-contamination can be prevented by good lab technique and the use of Uracil-N-glycosylase to degrade carryover PCR products in a preincubation step [93].
To optimize and fully describe the validation of such PCR tools was the motivation for this work. Our assay consists of a qPCR assay that targets two Borrelia genes (ospA and flaB), designed to qualitatively assess the presence or absence of Borrelia DNA in tick, wildlife, and culture-amplified human samples. While, in principle, any Borrelia genes could be used, ospA and flaB, a plasmid-borne gene and a chromosomal gene, respectively, have been used extensively as PCR targets, which is why we focused on these two genes. We found that different commercial qPCR master mixes affected the detection of Borrelia in our positive control (pure Borrelia DNA mixed in human DNA extracted from cell lines) to different extents; one was reliable for both primers, another generated results with a lower sensitivity, and the other did not work for either primer pair. Similarly, different commercial qPCR mixes have been shown to affect the sensitivity of detection of other DNA templates, including infectious agents [110,111]. The ospA primers seem to consistently show greater sensitivity than the flaB primers; nevertheless, both were effective in detecting sequence-validated Borrelia DNA in tick, wildlife, and culture-amplified human samples. For the samples with abundant Borrelia (tick and culture samples), we found that DNA isolation procedures did not greatly influence outcomes, but, in some cases, the optimization of DNA extraction is important. For the DNA extraction of most of our samples, we used methods that are known for producing a suboptimal DNA yield and sample purity. Nevertheless, they performed well, and they are a less expensive alternative to many commercial kits for DNA extraction. This is in accordance with the findings from the study by Okeyo and colleagues (2019) [112], in which the authors concluded that the variation in DNA yield from several extraction methods depended on the sample type (tissue or culture) as well as Borrelia DNA concentration. Thus, the use of the primers and protocols described here can be valuable in monitoring Borrelia in both tick vectors and in hosts.
4.2. Detection of Borrelia in Ticks
After optimization and validation, we applied our qPCR assay to detect Borrelia in ticks. The primers and protocol performed well, both confirming the results obtained by the nested PCR and clarifying the status of ticks with an “ambiguous” designation. The increased power of this approach, complemented by the reduced time and material handling required for qPCR relative to nested PCR, will be helpful in the detection of this pathogen in ticks. The quantitative PCR efficiency lowers after 30 cycles [113], so data should be interpreted carefully above that threshold. Using our positive control and our previously tested tick, wildlife, and human samples, we established criteria for samples to be considered as positive.
4.3. Detection of Borrelia in Wildlife
The direct detection of Borrelia in mammals, as opposed to ticks, remains a significant challenge due to the low copy number of Borrelia DNA within an overwhelming amount of mammalian DNA [101]. The bacterial load in ticks, wildlife tissues, and human tissues vary greatly depending on many, not all fully investigated, factors. The number of Borrelia spirochetes per tick have been estimated as varying between 10 to 106, depending on whether the tick has fed, the time since feeding, the tick species, and the microbiome of the individual tick [85,114,115,116,117]. Wilhelmsson et al. [85] and Wang et al. [114] both reported an average of ~2000 B. burgdorferi spirochetes in unfed adult I. scapularis ticks, by direct counting and qPCR, respectively. This average is roughly comparable to the average Borrelia load per milligram of tissue of wildlife species [118]; however, the bacterial load varies appreciably depending on the wildlife species and tissue used [118], which, combined with the larger mammalian genome, makes the detection of Borrelia in mammalian tissues more technically challenging. To determine if our qPCR protocol could directly detect Borrelia DNA in mammalian wild reservoir species, we tested DNA samples from different species previously shown to be infected with Borrelia, or not, by nested PCR [101]. While the sensitivity of the qPCR protocol in the absence of a pre-amplification step was low (10%), upon pre-amplification, the ospA primers worked well in amplifying the product from some of the positive samples. The other samples may have suffered DNA degradation during storage, or been below the limit of detection, or were false positives when assessed by the nested PCR. The bacteria might also have been located in tissues other than the ones tested. The ospA primer set also amplified the product, which were sequence-confirmed as B. burgdorferi, from four of the samples previously categorized as negative. The identification, with sequence confirmation, of four samples (C3K16, C70K16, C94K16, and C6K17) previously considered uninfected by the nested PCR [101] may indicate that the protocol used here is more sensitive than the nested protocol. Further work would be needed to determine the sensitivity and specificity relative to other PCR protocols. Consistent with the lower sensitivity of the flaB primer set, these primers generated non-specific amplicons from the wildlife samples. This indicates that, while this primer set is effective with samples with abundant Borrelia target DNA such as tick or culture-amplified samples, these primers are not specific enough for use with wild mammal samples.
4.4. Detection of Borrelia in Culture-Amplified Human Lyme Cultures
The direct detection of Borrelia in humans, who are accidental rather than reservoir hosts for Borrelia, remains a significant challenge due to the low number of Borrelia cells in human tissues [77,78,79,80,81,119]. Schmidt estimates that the higher end of the Borrelia burden in humans is approximately 4000 spirochetes/gram of plasma, and notes that this value will be lower in chronic/late infections [80]. Assuming the average DNA recovery from blood (Qiagen) [120], this corresponds to a maximum of 0.1 Borrelia spirochetes per ng of human DNA, approximately three to four orders of magnitude lower than wildlife [118]. Culture addresses this problem by amplifying Borrelia from biological tissue or fluid samples [99]. Culturing samples from people diagnosed with Lyme disease provides a better chance at detecting Borrelia than testing the sample without cultivation; however, using a BSK-H culture does preclude the quantification of the bacterial load in the original sample and the culturing process delays the obtaining of results as Borrelia are slow-growing bacteria [121,122,123,124]. The BSK-H cultures sent by our clinical partners were derived from different sample types. Based on the nature and course of an infection with Borrelia species, some of these samples might not be ideal and the tissue distribution in late-stage Lyme disease has been understudied [80]. For example, B. burgdorferi does not stay in the bloodstream for long and undergoes only sporadic bursts of spirochetemia [125]. Furthermore, Borrelia is known to infect many tissues and its presence in genital fluids has been reported [102] but remains controversial. The isolation of Borrelia from genital fluids could arise from cross-contamination with blood or urine or from infection of the gonads and accessory tissues. Bosler and Schulze (1986) [126] report that Borrelia can be cultured from the urine of the wild reservoir host, Peromyscus leucopus, although Wright and Nielsen (1990) [127] were not able to find microscopic evidence of spirochaetes in mouse urine. Similarly, live spirochaetes have been reported to have been cultured from urine from cows (Burgess 1988) [128]. Culture from canine urine has been found by some researchers (Grauer et al. 1988) [129] but not others (Appel et al. 1993) [130]. While many of the samples tested here were unconventional, they do have the advantage of avoiding invasive sample collection. Using different sample types and biological replicates (same sample types from the same patient collected at different times), as included in this study, could increase the chance of collecting samples at the appropriate time and place during the course of infection and, thus, avoiding false negative results.
Borrelia DNA was not found in all of the cultures from individuals with a diagnosis or suspicion of Lyme disease. In this small sample, there seemed to be a poor correlation between the serology (when available) and PCR analysis of cultures from the participants; of the three with a positive serology (L2, L5, and L6), only one was positive by PCR, and, of the five with an indeterminate or negative serology (L3, L7, L12, L20, and L35), two were positive by PCR. The complex nature of the course of infection and flaws in standard serological testing can lead to delayed, failed, or erroneous diagnoses, in many cases, over the course of years [53,54,55,56,57,58,59,60,61]. As is true of all tests dependent on antibody detection, the results of Lyme disease testing are undesirably inaccurate in some cases [64,71]. Possible reasons for the non-detection of Borrelia in samples from seropositive individuals might be the absence of Borrelia in that fluid or tissue at the time the sample was taken or a resolved infection. Possible explanations for positive PCR findings in samples from seronegative individuals could be the insensitivity of the serological diagnosis, misdiagnosis of the individual, or contamination. Contamination is always a concern that needs to be addressed when using protocols that amplify biological agents, in this case, both culture and PCR. Opportunities for the contamination of the cultures were minimal in this study. The culture medium was commercially supplied, and, while aliquoted prior to sample collection, there was no pattern of consecutive samples being positive as might happen if a series of culture tubes were contaminated in preparation. The cultures were generally inoculated by the participants in the participants’ homes, locations not expected to have access to pure cultures of Borrelia. Once inoculated, the culture tubes remained sealed until DNA isolation was performed. DNA isolation and PCR were performed in different buildings, and both the biological and technical negative controls were negative, reducing the likelihood of DNA contamination. The ospC genotyping of DNA from these culture-amplified samples showed that they all had identical type A ospC alleles (Supplemental Table S2), which may not be surprising as the most common and globally distributed allele found in both eastern and western North America. The absence of full serological and medical assessments of the human participants in this portion of the study and the non-linear Borrelia amplification by culture precludes the determination of the sensitivity or specificity of this protocol. Nevertheless, there is value in methods that are applicable to “real-world” situations and this protocol did detect Borrelia DNA in half of the samples, which corresponds to 60% of individuals with a diagnosis or suspicion of Lyme disease.
Tools such as we describe here will aid in tick surveillance and wildlife surveillance, and to understand the mechanism of pathogenesis in humans. Lyme disease is considered a climate disease [6,7,8,9,10,131,132], which indicates that the prevalence, and cost in both human suffering and at the societal level, has been increasing and will continue to do so. Well-validated tools for direct detection provide one tool to support the surveillance and research in ticks, reservoir hosts, and accidental hosts such as companion animals, agricultural animals, and humans.
Supplementary Materials
The following supporting information can be downloaded at: https://www.mdpi.com/article/10.3390/pathogens13121034/s1, Table S1: Sequences of amplicons obtained from Sanger sequencing; Table S2: BLAST analysis of amplicons sequenced; Figure S1: Gel electrophoresis of semi-nested amplicons from human tissues samples.
Author Contributions
Conceptualization, G.A.R.; methodology, G.A.R.; formal analysis, J.L., G.A.R. and V.K.L.; investigation, J.L.; resources, G.A.R. and V.K.L.; writing—original draft preparation, J.L.; writing—review and editing, J.L. and V.K.L.; supervision, G.A.R.; funding acquisition, G.A.R. and V.K.L. All authors have read and agreed to the published version of the manuscript.
Funding
This research was funded by the Mount Allison Lyme Disease Research Fund, NSERC (V.K.L.), and Bourse d’études et de recherche de Université de Moncton (J.L.). The Canadian Lyme disease foundation provided seed funding for the Mount Allison tick bank.
Institutional Review Board Statement
The study was conducted in accordance with the Declaration of Helsinki. The collection and study of samples used in this work was approved by the Institutional Review Board of the Western Institutional Review Board (#1148461), by the Institutional Review Board of the Health Research Ethics Board of Alberta (HREBA.CHC-15-0029), and the Research Ethics Board of Mount Allison University (#102064).
Informed Consent Statement
Informed consent was obtained from all subjects involved in the study.
Data Availability Statement
The original contributions presented in this study are included in the article/Supplementary Materials. Further inquiries can be directed to the corresponding authors.
Acknowledgments
We thank all the participants who supported this work. We also extend our thanks to R. Stricker and J. Haggblad and other healthcare providers for their support of the research and of their patients. We extend our great thanks to M. Middelveen for the technical and logistical support and advice.
Conflicts of Interest
The authors declare no conflicts of interest. The funders had no role in the design of the study; in the collection, analyses, or interpretation of the data; in the writing of the manuscript; or in the decision to publish.
References
- Baneth, G. Tick-Borne Infections of Animals and Humans: A Common Ground. Int. J. Parasitol. 2014, 44, 591–596. [Google Scholar] [CrossRef] [PubMed]
- Knapp, K.L.; Rice, N.A. Human Coinfection with Borrelia burgdorferi and Babesia microti in the United States. J. Parasitol. Res. 2015, 2015, 587131. [Google Scholar] [CrossRef] [PubMed]
- Hoversten, K.; Bartlett, M.A. Diagnosis of a Tick-Borne Coinfection in a Patient with Persistent Symptoms Following Treatment for Lyme Disease. BMJ Case Rep. 2018, 2018, bcr2018225342. [Google Scholar] [CrossRef] [PubMed]
- Boyer, P.H.; Lenormand, C.; Jaulhac, B.; Talagrand-Reboul, E. Human Co-Infections between Borrelia burgdorferi s.l. and Other Ixodes-Borne Microorganisms: A Systematic Review. Pathogens 2022, 11, 282. [Google Scholar] [CrossRef]
- Rocha, S.C.; Velásquez, C.V.; Aquib, A.; Al-Nazal, A.; Parveen, N. Transmission Cycle of Tick-Borne Infections and Co-Infections, Animal Models and Diseases. Pathogens 2022, 11, 1309. [Google Scholar] [CrossRef]
- Cumming, G.S.; Van Vuuren, D.P. Will Climate Change Affect Ectoparasite Species Ranges? Glob. Ecol. Biogeogr. 2006, 15, 486–497. [Google Scholar] [CrossRef]
- Ogden, N.H.; Maarouf, A.; Barker, I.K.; Bigras-Poulin, M.; Lindsay, L.R.; Morshed, M.G.; O’Callaghan, C.J.; Ramay, F.; Waltner-Toews, D.; Charron, D.F. Climate Change and the Potential for Range Expansion of the Lyme Disease Vector Ixodes Scapularis in Canada. Int. J. Parasitol. 2006, 36, 63–70. [Google Scholar] [CrossRef]
- Porretta, D.; Mastrantonio, V.; Amendolia, S.; Gaiarsa, S.; Epis, S.; Genchi, C.; Bandi, C.; Otranto, D.; Urbanelli, S. Effects of Global Changes on the Climatic Niche of the Tick Ixodes ricinus Inferred by Species Distribution Modelling. Parasit. Vectors 2013, 6, 271. [Google Scholar] [CrossRef]
- Sonenshine, D.E. Range Expansion of Tick Disease Vectors in North America: Implications for Spread of Tick-Borne Disease. Int. J. Environ. Res. Public. Health 2018, 15, 478. [Google Scholar] [CrossRef]
- McCoy, K.D.; Toty, C.; Dupraz, M.; Tornos, J.; Gamble, A.; Garnier, R.; Descamps, S.; Boulinier, T. Climate Change in the Arctic: Testing the Poleward Expansion of Ticks and Tick-Borne Diseases. Glob. Chang. Biol. 2023, 29, 1729–1740. [Google Scholar] [CrossRef]
- Rosenberg, R.; Lindsey, N.P.; Fischer, M.; Gregory, C.J.; Hinckley, A.F.; Mead, P.S.; Paz-Bailey, G.; Waterman, S.H.; Drexler, N.A.; Kersh, G.J.; et al. Vital Signs: Trends in Reported Vectorborne Disease Cases—United States and Territories, 2004–2016. Morb. Mortal. Wkly. Rep. (MMWR) 2018, 67, 496–501. [Google Scholar] [CrossRef] [PubMed]
- Madison-Antenucci, S.; Kramer, L.D.; Gebhardt, L.L.; Kauffman, E. Emerging Tick-Borne Diseases. Clin. Microbiol. Rev. 2020, 33, 10–128. [Google Scholar] [CrossRef] [PubMed]
- Rochlin, I.; Toledo, A. Emerging Tick-Borne Pathogens of Public Health Importance: A Mini-Review. J. Med. Microbiol. 2020, 69, 781–791. [Google Scholar] [CrossRef] [PubMed]
- Zhang, X.; Sun, B.; Lou, Y. Dynamics of a Periodic Tick-Borne Disease Model with Co-Feeding and Multiple Patches. J. Math. Biol. 2021, 82, 27. [Google Scholar] [CrossRef]
- Ackleh, A.S.; Veprauskas, A. Modeling the Invasion and Establishment of a Tick-Borne Pathogen. Ecol. Modell. 2022, 467, 109915. [Google Scholar] [CrossRef]
- de la Fuente, J.; Estrada-Peña, A.; Rafael, M.; Almazán, C.; Bermúdez, S.; Abdelbaset, A.E.; Kasaija, P.D.; Kabi, F.; Akande, F.A.; Ajagbe, D.O.; et al. Perception of Ticks and Tick-Borne Diseases Worldwide. Pathogens 2023, 12, 1258. [Google Scholar] [CrossRef]
- Kiryluk, H.D.; Beard, C.B.; Holcomb, K.M. The Use of Environmental Data in Descriptive and Predictive Models of Vector-Borne Disease in North America. J. Med. Entomol. 2024, 61, 595–602. [Google Scholar] [CrossRef]
- Tito, M.H.; Arifuzzaman, M.; Rahman, M.S.; Khan, S.; Chohan, M.S.; Nasrin, A. Predictive Modeling of Global Vector-Borne Diseases: Leveraging Machine Learning for Intervention Strategies. In Proceedings of the 2024 ASU International Conference in Emerging Technologies for Sustainability and Intelligent Systems (ICETSIS), Manama, Bahrain, 28–29 January 2024; pp. 1027–1031. [Google Scholar]
- Rudenko, N.; Golovchenko, M.; Grubhoffer, L.; Oliver, J.H. Updates on Borrelia burgdorferi Sensu Lato Complex with Respect to Public Health. Ticks Tick. Borne Dis. 2011, 2, 123–128. [Google Scholar] [CrossRef]
- Cutler, S.J.; Ruzic-Sabljic, E.; Potkonjak, A. Emerging Borreliae—Expanding beyond Lyme Borreliosis. Mol. Cell Probes 2017, 31, 22–27. [Google Scholar] [CrossRef]
- Randolph, S.E.; Gem, L.; Nuttall, P.A. Co-Feeding Ticks: Epidemiological Significance for Tick-Borne Pathogen Transmission. Parasitol Today 1996, 12, 472–479. [Google Scholar] [CrossRef]
- Voordouw, M.J. Co-Feeding Transmission in Lyme Disease Pathogens. Parasitology 2015, 142, 290–302. [Google Scholar] [CrossRef] [PubMed]
- Belli, A.; Sarr, A.; Rais, O.; Rego, R.O.M.; Voordouw, M.J. Ticks Infected via Co-Feeding Transmission Can Transmit Lyme Borreliosis to Vertebrate Hosts. Sci. Rep. 2017, 7, 5006. [Google Scholar] [CrossRef] [PubMed]
- Kirsch, M.; Ruben, F.L.; Steere, A.C.; Duray, P.H.; Norden, C.W.; Winkelstein, A. Fatal Adult Respiratory Distress Syndrome in a Patient with Lyme Disease. JAMA 1988, 259, 2737–2739. [Google Scholar] [CrossRef] [PubMed]
- Butler, T. The Jarisch-Herxheimer Reaction after Antibiotic Treatment of Spirochetal Infections: A Review of Recent Cases and Our Understanding of Pathogenesis. Am. J. Trop. Med. Hyg. 2017, 96, 46–52. [Google Scholar] [CrossRef] [PubMed]
- Wan, D.; Blakely, C.; Branscombe, P.; Suarez-Fuster, L.; Glover, B.; Baranchuk, A. Lyme Carditis and High-Degree Atrioventricular Block. Am. J. Cardiol. 2018, 121, 1102–1104. [Google Scholar] [CrossRef]
- Sapi, E.; Kasliwala, R.S.; Ismail, H.; Torres, J.P.; Oldakowski, M.; Markland, S.; Gaur, G.; Melillo, A.; Eisendle, K.; Liegner, K.B.; et al. The Long-Term Persistence of Borrelia burgdorferi Antigens and DNA in the Tissues of a Patient with Lyme Disease. Antibiotics 2019, 8, 183. [Google Scholar] [CrossRef]
- Marx, G.E.; Leikauskas, J.; Lindstrom, K.; Mann, E.; Reagan-Steiner, S.; Matkovic, E.; Read, J.S.; Kelso, P.; Kwit, N.A.; Hinckley, A.F.; et al. Fatal Lyme Carditis in New England: Two Case Reports. Ann. Intern. Med. 2020, 172, 222–224. [Google Scholar] [CrossRef]
- Semproni, M.; Rusk, R.; Wuerz, T. Fatal Lyme Carditis Presenting as Fluctuating High-Grade Atrioventricular Block. CMAJ 2020, 192, E574–E577. [Google Scholar] [CrossRef]
- Cabello, F.C.; Godfrey, H.P.; Newman, S.A. Hidden in Plain Sight: Borrelia burgdorferi and the Extracellular Matrix. Trends Microbiol. 2007, 15, 350–354. [Google Scholar] [CrossRef]
- Hyde, J.A. Borrelia burgdorferi Keeps Moving and Carries on: A Review of Borrelial Dissemination and Invasion. Front. Immunol. 2017, 8, 114. [Google Scholar] [CrossRef]
- Burgdorfer, W.; Barbour, A.G.; Hayes, S.F.; Péter, O.; Aeschlimann, A. Erythema Chronicum Migrans—A Tickborne Spirochetosis. Acta Trop. 1983, 40, 79–83. [Google Scholar] [PubMed]
- Steere, A.C.; Bartenhagen, N.H.; Craft, J.E.; Hutchinson, G.J.; Newman, J.H.; Rahn, D.W.; Sigal, L.H.; Spieler, P.N.; Stenn, K.S.; Malawista, S.E. The Early Clinical Manifestations of Lyme Disease. Ann. Intern. Med. 1983, 99, 76–82. [Google Scholar] [CrossRef] [PubMed]
- Cooke, W. Complications of Lyme Borreliosis. Annu. Rev. Med. 1992, 43, 93–103. [Google Scholar] [CrossRef] [PubMed]
- Smith, R.P.; Schoen, R.T.; Rahn, D.W.; Sikand, V.K.; Nowakowski, J.; Parenti, D.L.; Holman, M.S.; Persing, D.H.; Steere, A.C. Clinical Characteristics and Treatment Outcome of Early Lyme Disease in Patients With Microbiologically Confirmed Erythema Migrans. Infect. Dis. Clin. Pract. 2002, 11, 170–171. [Google Scholar] [CrossRef]
- Tibbles, C.D.; Edlow, J.A. Does This Patient Have Erythema Migrans? JAMA 2007, 297, 2617–2627. [Google Scholar] [CrossRef]
- Vasudevan, B.; Chatterjee, M. Lyme Borreliosis and Skin. Indian. J. Dermatol. 2013, 58, 167–174. [Google Scholar] [CrossRef]
- Schotthoefer, A.M.; Green, C.B.; Dempsey, G.; Horn, E.J. The Spectrum of Erythema Migrans in Early Lyme Disease: Can We Improve Its Recognition? Cureus 2022, 14, e30673. [Google Scholar] [CrossRef]
- Kimsey, R.B.; Spielman, A. Motility of Lyme Disease Spirochetes in Fluids as Viscous as the Extracellular Matrix. J. Inect Dis. 1990, 162, 1205–1208. [Google Scholar] [CrossRef]
- Gebbia, J.A.; Coleman, J.L.; Benach, J.L. Borrelia Spirochetes Upregulate Release and Activation of Matrix Metalloproteinase Gelatinase B (MMP-9) and Collagenase 1 (MMP-1) in Human Cells. Infect. Immun. 2001, 69, 456–462. [Google Scholar] [CrossRef]
- Craven, D.E.; Jones, R. Lyme Neuroborreliosis: Manifestations of a Rapidly Emerging Zoonosis. Am. J. Neuroradiol. 2009, 30, 1079–1087. [Google Scholar] [CrossRef]
- Stanek, G.; Wormser, G.P.; Gray, J.; Strle, F. Lyme Borreliosis. Lancet 2012, 379, 461–473. [Google Scholar] [CrossRef] [PubMed]
- Dorward, D.W.; Fischer, E.R.; Brooks, D.M. Invasion and Cytopathic Killing of Human Lymphocytes by Spirochetes Causing Lyme Disease. Clin. Infect. Dis. 1997, 25, S2–S8. [Google Scholar] [CrossRef] [PubMed]
- Embers, M.E.; Ramamoorthy, R.; Philipp, M.T. Survival Strategies of Borrelia burgdorferi, the Etiologic Agent of Lyme Disease. Microbes Infect. 2004, 6, 312–318. [Google Scholar] [CrossRef] [PubMed]
- Elsner, R.A.; Hastey, C.J.; Olsen, K.J.; Baumgarth, N. Suppression of Long-Lived Humoral Immunity Following Borrelia burgdorferi Infection. PLoS Pathog. 2015, 11, e1004976. [Google Scholar] [CrossRef] [PubMed]
- Tracy, K.E.; Baumgarth, N. Borrelia burgdorferi Manipulates Innate and Adaptive Immunity to Establish Persistence in Rodent Reservoir Hosts. Front. Immunol. 2017, 8, 116. [Google Scholar] [CrossRef]
- Pausa, M.; Pellis, V.; Cinco, M.; Piero, G.; Presani, G.; Perticarari, S.; Tedesco, F. Serum-Resistant Strains of Borrelia burgdorferi Evade Complement-Mediated Killing by Expressing a CD59-Like Complement Inhibitory Molecule. J. Immunol. 2021, 170, 3214–3222. [Google Scholar] [CrossRef]
- de Taeye, S.W.; Kreuk, L.; van Dam, A.P.; Hovius, J.W.; Schuijt, T.J. Complement Evasion by Borrelia Burgdorferi: It Takes Three to Tango. Trends Parasitol. 2013, 29, 119–128. [Google Scholar] [CrossRef]
- Elsner, R.A.; Hastey, C.J.; Baumgarth, N. CD4+ T Cells Promote Antibody Production but Not Sustained Affinity Maturation during Borrelia burgdorferi Infection. Infect. Immun. 2015, 83, 48–56. [Google Scholar] [CrossRef]
- Snydman, D.R.; Schenkein, D.P.; Berardi, V.P.; Lastavica, C.C.; Pariser, K.M. Borrelia burgdorferi in Joint Fluid in Chronic Lyme Arthritis. Ann. Intern. Med. 1986, 104, 798–800. [Google Scholar] [CrossRef]
- Rasley, A.; Anguita, J.; Marriott, I. Borrelia burgdorferi Induces Inflammatory Mediator Production by Murine Microglia. J. Neuroimmunol. 2002, 130, 22–31. [Google Scholar] [CrossRef]
- Aucott, J.N.; Yang, T.; Yoon, I.; Powell, D.; Geller, S.A.; Rebman, A.W. Risk of Post-Treatment Lyme Disease in Patients with Ideally-Treated Early Lyme Disease: A Prospective Cohort Study. Int. J. Infect. Dis. 2022, 116, 230–237. [Google Scholar] [CrossRef] [PubMed]
- Feder, H.; Hunt, M. Pitfalls in the Diagnosis and Management of Lyme Disease. JAMA 1995, 274, 66–68. [Google Scholar] [CrossRef] [PubMed]
- Aucott, J.; Morrison, C.; Munoz, B.; Rowe, P.C.; Schwarzwalder, A.; West, S.K. Diagnostic Challenges of Early Lyme Disease: Lessons from a Community Case Series. BMC Infect. Dis. 2009, 9, 79. [Google Scholar] [CrossRef] [PubMed]
- Aucott, J.N.; Seifter, A. Misdiagnosis of Early Lyme Disease as the Summer Flu. Orthop. Rev. 2011, 3, 14. [Google Scholar] [CrossRef]
- Donta, S.T. Issues in the Diagnosis and Treatment of Lyme Disease. Open Neurol. J. 2012, 6, 140–145. [Google Scholar] [CrossRef]
- Hinckley, A.F.; Connally, N.P.; Meek, J.I.; Johnson, B.J.; Kemperman, M.M.; Feldman, K.A.; White, J.L.; Mead, P.S. Lyme Disease Testing by Large Commercial Laboratories in the United States. Clin. Infect. Dis. 2014, 59, 676–681. [Google Scholar] [CrossRef]
- Nelson, C.A.; Saha, S.; Kugeler, K.J.; Delorey, M.J.; Shankar, M.B.; Hinckley, A.F.; Mead, P.S. Incidence of Clinician-Diagnosed Lyme Disease, United States, 2005–2010. Emerg. Infect. Dis. 2015, 21, 1625–1631. [Google Scholar] [CrossRef]
- Hirsch, A.G.; Herman, R.J.; Rebman, A.; Moon, K.A.; Aucott, J.; Heaney, C.; Schwartz, B.S. Obstacles to Diagnosis and Treatment of Lyme Disease in the USA: A Qualitative Study. BMJ Open 2018, 8, e021367. [Google Scholar] [CrossRef]
- Lloyd, V.K.; Hawkins, R.G. Under-Detection of Lyme Disease in Canada. Healthcare 2018, 6, 125. [Google Scholar] [CrossRef]
- Moritz, R.L.; Bobe, J.R.; Jutras, B.L.; Horn, E.J.; Embers, M.E.; Marconi, R.T.; Aucott, J.; Ma, A.; Keesing, F.; Lewis, K. Recent Progress in Lyme Disease and Remaining Challenges. Front. Med. 2021, 8, 666554. [Google Scholar] [CrossRef]
- Dressler, F.; Whalen, J.A.; Reinhardt, B.N.; Steere, A.C. Western Blotting in the Serodiagnosis of Lyme Disease. J. Infect. Dis. 1993, 167, 392–400. [Google Scholar] [CrossRef] [PubMed]
- Schutzer, S.; Coyle, P.; Belman, A.; Golightly, M.; Drulle, J. Sequestration of Antibody to Borrelia burgdorferi in Immune Complexes in Seronegative Lyme Disease. Lancet 1990, 335, 312–315. [Google Scholar] [CrossRef] [PubMed]
- Waddell, L.A.; Greig, J.; Mascarenhas, M.; Harding, S.; Lindsay, R.; Ogden, N. The Accuracy of Diagnostic Tests for Lyme Disease in Humans, a Systematic Review and Meta-Analysis of North American Research. PLoS ONE 2016, 11, e0168613. [Google Scholar] [CrossRef] [PubMed]
- Ryan, M.F.; Thorn, C. Lyme Carditis in an Immunocompromised Patient. Case Rep. Emerg. Med. 2013, 2013, 380734. [Google Scholar] [CrossRef] [PubMed]
- Wagemakers, A.; Visser, M.C.; de Wever, B.; Hovius, J.W.; van de Donk, N.W.C.J.; Hendriks, E.J.; Peferoen, L.; Muller, F.F.; Ang, C.W. Case Report: Persistently Seronegative Neuroborreliosis in an Immunocompromised Patient. BMC Infect. Dis. 2018, 18, 362. [Google Scholar] [CrossRef]
- Basile, E.J.; Smoot, M.; Hanna, M.E.; Ijaz, Z.; Keeley, E.C. A Rare Presentation of Lyme Disease in an Immunocompromised Patient. Cureus 2024, 16, e58605. [Google Scholar] [CrossRef]
- Sillanpää, H.; Lahdenne, P.; Sarvas, H.; Arnež, M.; Steere, A.; Peltomaa, M.; Seppälä, I. Immune Responses to Borrelial VlsE IR6 Peptide Variants. Int. J. Med. Microbiol. 2007, 297, 45–52. [Google Scholar] [CrossRef]
- Mavin, S.; Milner, R.M.; Evans, R.; Chatterton, J.M.W.; Joss, A.W.L.; Ho-Yen, D.O. The Use of Local Isolates in Western Blots Improves Serological Diagnosis of Lyme Disease in Scotland. J. Med. Microbiol. 2007, 56, 47–51. [Google Scholar] [CrossRef]
- Molins, C.R.; Sexton, C.; Young, J.W.; Ashton, L.V.; Pappert, R.; Beard, C.B.; Schriefer, M.E. Collection and Characterization of Samples for Establishment of a Serum Repository for Lyme Disease Diagnostic Test Development and Evaluation. J. Clin. Microbiol. 2014, 52, 3755–3762. [Google Scholar] [CrossRef]
- Cook, M.J.; Puri, B.K. Commercial Test Kits for Detection of Lyme Borreliosis: A Meta-Analysis of Test Accuracy. Int. J. Gen. Med. 2016, 9, 427–440. [Google Scholar] [CrossRef]
- Valasek, M.A.; Repa, J.J. The Power of Real-Time PCR. Am. J. Physiol. -Adv. Physiol. Educ. 2005, 29, 151–159. [Google Scholar] [CrossRef] [PubMed]
- Navarro, E.; Serrano-Heras, G.; Castaño, M.J.; Solera, J. Real-Time PCR Detection Chemistry. Clin. Chim. Acta 2015, 439, 231–250. [Google Scholar] [CrossRef] [PubMed]
- Bustin, S.A.; Benes, V.; Garson, J.A.; Hellemans, J.; Huggett, J.; Kubista, M.; Mueller, R.; Nolan, T.; Pfaffl, M.W.; Shipley, G.L.; et al. The MIQE Guidelines: Minimum Information for Publication of Quantitative Real-Time PCR Experiments. Clin. Chem. 2009, 55, 611–622. [Google Scholar] [CrossRef] [PubMed]
- Bustin, S.A.; Benes, V.; Garson, J.; Hellemans, J.; Huggett, J.; Kubista, M.; Mueller, R.; Nolan, T.; Pfaffl, M.W.; Shipley, G.; et al. The Need for Transparency and Good Practices in the QPCR Literature. Nat. Methods 2013, 10, 1063–1067. [Google Scholar] [CrossRef]
- Burkardt, H.J. Standardization and Quality Control of PCR Analyses. Clin. Chem. Lab. Med. 2000, 38, 87–91. [Google Scholar] [CrossRef]
- Lebech, A.-M.; Hansen, K. Detection of Borrelia Burgdorferi DNA in Urine Samples and Cerebrospinal Fluid Samples from Patients with Early and Late Lyme Neuroborreliosis by Polymerase Chain. Reaction. J. Clin. Microbiol. 1992, 30, 1646–1653. [Google Scholar] [CrossRef]
- Goodman, J. Nucleic Acid Detection of Borrelia burgdorferi Infection. In Lyme Disease; Coyle, P., Ed.; Mosby-Year Book Inc.: St. Louis, MO, USA, 1993; pp. 127–135. [Google Scholar]
- Goodman, J.; Bradley, J.; Ross, A.; Goellner, P.; Lagus, A.; Vitale, B.; Berger, B.; Luger, S.; Johnson, R. Bloodstream Invasion in Early Lyme Disease: Results from a Prospective, Controlled, Blinded Study Using Polymerase Chain Reaction. Am. J. Med. 1995, 99, 6–12. [Google Scholar] [CrossRef]
- Schmidt, B.L. PCR in Laboratory Diagnosis of Human. Borrelia burgdorferi Infections. Clin. Microbiol. Rev. 1997, 10, 185–201. [Google Scholar] [CrossRef]
- Tilly, K.; Rosa, P.A.; Stewart, P.E. Biology of Infection with Borrelia burgdorferi. Infect. Dis. Clin. North Am. 2008, 22, 217–234. [Google Scholar] [CrossRef]
- Trevisan, G.; Bonin, S.; Ruscio, M. A Practical Approach to the Diagnosis of Lyme Borreliosis: From Clinical Heterogeneity to Laboratory Methods. Front. Med. 2020, 7, 265. [Google Scholar] [CrossRef]
- Brunet, L.; Spielman, A.; Telford, S. Short Report: Density of Lyme Disease Spirochetes within Deer Ticks Collected from Zoonotic Sites. Am. J. Trop. Med. Hyg. 1995, 53, 300–302. [Google Scholar] [CrossRef] [PubMed]
- Rauter, C.; Oehme, R.; Diterich, I.; Engele, M.; Hartung, T. Distribution of Clinically Relevant Borrelia Genospecies in Ticks Assessed by a Novel, Single-Run, Real-Time PCR. J. Clin. Microbiol. 2002, 40, 36–43. [Google Scholar] [CrossRef] [PubMed]
- Wilhelmsson, P.; Lindblom, P.; Fryland, L.; Ernerudh, J.; Forsberg, P.; Lindgren, P.E. Prevalence, Diversity, and Load of Borrelia Species in Ticks That Have Fed on Humans in Regions of Sweden and Åland Islands, Finland with Different Lyme Borreliosis Incidences. PLoS ONE 2013, 8, e81433. [Google Scholar] [CrossRef] [PubMed]
- Mackay, I.M. Real-Time PCR in the Microbiology Laboratory. Clin. Microbiol. Infect. 2004, 10, 190–212. [Google Scholar] [CrossRef] [PubMed]
- Espy, M.J.; Uhl, J.R.; Sloan, L.M.; Buckwalter, S.P.; Jones, M.F.; Vetter, E.A.; Yao, J.D.C.; Wengenack, N.L.; Rosenblatt, J.E.; Cockerill, F.R.; et al. Erratum: Real-Time PCR in Clinical Microbiology: Applications for Routine Laboratory Testing. Clin. Microbiol. Rev. 2006, 19, 595. [Google Scholar] [CrossRef]
- Raymaekers, M.; Smets, R.; Maes, B.; Cartuyvels, R. Checklist for Optimization and Validation of Real-Time PCR Assays. J. Clin. Lab. Anal. 2009, 23, 145–151. [Google Scholar] [CrossRef]
- Maurin, M. Real-Time PCR as a Diagnostic Tool for Bacterial Diseases. Expert. Rev. Mol. Diagn. 2012, 12, 731–754. [Google Scholar] [CrossRef]
- Kralik, P.; Ricchi, M. A Basic Guide to Real Time PCR in Microbial Diagnostics: Definitions, Parameters, and Everything. Front. Microbiol. 2017, 8, 108. [Google Scholar] [CrossRef]
- Wilson, I.G. Inhibition and Facilitation of Nucleic Acid Amplification. Appl. Environ. Microbiol. 1997, 63, 3741–3751. [Google Scholar] [CrossRef]
- Schrader, C.; Schielke, A.; Ellerbroek, L.; Johne, R. PCR Inhibitors—Occurrence, Properties and Removal. J. Appl. Microbiol. 2012, 113, 1014–1026. [Google Scholar] [CrossRef]
- Longo, M.C.; Berninger, M.S.; Hartley, J.L. Use of Uracil DNA Glycosylase to Control Carry-over Contamination in Polymerase Chain Reactions. Gene 1990, 93, 125–128. [Google Scholar] [CrossRef] [PubMed]
- Wang, G.; Liveris, D.; Mukherjee, P.; Jungnick, S.; Margos, G.; Schwartz, I. Molecular Typing of Borrelia burgdorferi. Curr. Prot. Microbiol. 2015, 34, 12C.5.1–12C.5.31. [Google Scholar] [CrossRef]
- Wang, G.; Iyer, R.; Bittker, S.; Cooper, D.; Wormser, G.P.; Schwartz, I. Assessment of Variations in BSK Culture Medium on Infectivity and Pathogenicity of Borrelia burgdorferi Clinical Isolates. Abstr. General. Meet. Am. Soc. Microbiol. 2004, 104, 196. [Google Scholar]
- Wang, G.; Iyer, R.; Bittker, S.; Cooper, D.; Small, J.; Wormser, G.P.; Schwartz, I. Variations in Barbour-Stoenner-Kelly Culture Medium Modulate Infectivity and Pathogenicity of Borrelia burgdorferi Clinical Isolates. Infect. Immun. 2004, 72, 6702–6706. [Google Scholar] [CrossRef] [PubMed]
- Veinović, G.; Ćakić, S.; Mihaljica, D.; Sukara, R.; Tomanović, S. Comparison of Growth and Morphology of Borrelia burgdorferi Sensu Lato in BSK-H and BSK-II Media Stored for Prolonged Periods. Apmis 2020, 128, 552–557. [Google Scholar] [CrossRef]
- Guérin, M.; Shawky, M.; Zedan, A.; Octave, S.; Avalle, B.; Maffucci, I.; Padiolleau-Lefèvre, S. Lyme Borreliosis Diagnosis: State of the Art of Improvements and Innovations. BMC Microbiol. 2023, 23, 204. [Google Scholar] [CrossRef]
- Berthold, A.; Faucillion, M.-L.; Nilsson, I.; Golovchenko, M.; Lloyd, V.; Bergström, S.; Rudenko, N. Cultivation Methods of Spirochetes from Borrelia burgdorferi Sensu Lato Complexe and Relapsing Fever Borrelia. Jove 2022, 189, e64431. [Google Scholar]
- Lewis, J.; Kirby, A.M.; Harris, K.D.; Filiaggi, C.L.; Foley-Eby, A.; Mann, M.; Lieske, D.; Lloyd, V.K. Monitoring Risk: Tick and Borrelia Burgdorferi Public Participatory Surveillance in the Canadian Maritimes, 2012–2020. Pathogens 2021, 6, 1284. [Google Scholar] [CrossRef]
- Zinck, C.B.; Lloyd, V.K. Borrelia burgdorferi and Borrelia miyamotoi in Atlantic Canadian Wildlife. PLoS ONE 2022, 17, e0262229. [Google Scholar] [CrossRef]
- Middelveen, M.J.; Burke, J.; Sapi, E.; Bandoski, C.; Filush, K.R.; Wang, Y.; Franco, A.; Timmaraju, A.; Schlinger, H.A.; Mayne, P.J.; et al. Culture and Identification of Borrelia Spirochetes in Human Vaginal and Seminal Secretions. F1000Res 2014, 3, 309. [Google Scholar] [CrossRef]
- Middelveen, M.J.; Sapi, E.; Burke, J.; Filush, K.R.; Franco, A.; Fesler, M.C.; Stricker, R.B. Persistent Borrelia Infection in Patients with Ongoing Symptoms of Lyme Disease. Healthcare 2018, 6, 33. [Google Scholar] [CrossRef] [PubMed]
- Thornton, B.; Basu, C. Real-Time PCR (QPCR) Primer Design Using Free Online Software. Biochem. Mol. Biol. Educ. 2011, 39, 145–154. [Google Scholar] [CrossRef] [PubMed]
- Folmer, O.; Black, M.; Hoeh, W.; Lutz, R.; Vrijenhoek, R. DNA Primers for Amplification of Mitochondrial Cytochrome c Oxidase Subunit I from Diverse Metazoan Invertebrates. Mol. Mar. Biol. Biotechnol. 1994, 3, 294–299. [Google Scholar] [PubMed]
- Johnson, R.C.; Schmid, G.P.; Hyde, F.W. Borrelia burgdorferi Sp. Nov.: Etiologic Agent of Lyme Disease. Int. J. Syst. Bacteriol. 1984, 34, 496–497. [Google Scholar] [CrossRef]
- Baranton, G.; Postic, D.; Girons, I.S.; Boerlin, P.; Piffaretti, J.-C.; Assous, M.; Grimonp, P.A.D. Delineation of Borrelia burgdorferi Sensu Stricto, Borrelia Garinii Sp. Nov., and Group VS461 Associated with Lyme Borreliosis. Int. J. Syst. Bacteriol. 1992, 42, 378–383. [Google Scholar] [CrossRef]
- Rudenko, N.; Golovchenko, M.; Hönig, V.; Mallátová, N.; Krbková, L.; Mikulášek, P.; Fedorova, N.; Belfiore, N.M.; Grubhoffer, L.; Lane, R.S.; et al. Detection of Borrelia burgdorferi Sensu Stricto OspC Alleles Associated with Human Lyme Borreliosis Worldwide in Non-Human-Biting Tick Ixodes affinis and Rodent Hosts in Southeastern United States. Appl. Environ. Microbiol. 2013, 79, 1444–1453. [Google Scholar] [CrossRef]
- Rudenko, N.; Golovchenko, M.; Clark, K.; Oliver, J.H.; Grubhoffer, L. Detection of Borrelia burgdorferi Sensu Stricto in Amblyomma Americanum Ticks in the Southeastern United States: The Case of Selective Compatibility. Emerg. Microbes Infect. 2016, 5, 1–3. [Google Scholar] [CrossRef][Green Version]
- Kang, S.J.; Jang, C.S.; Son, J.M.; Hong, K.W. Comparison of Seven Commercial Taqman Master Mixes and Two Real-Time PCR Platforms Regarding the Rapid Detection of Porcine DNA. Food Sci. Anim. Resour. 2021, 41, 85–94. [Google Scholar] [CrossRef]
- Şen, Z.B.; Kara, N.T. Comparative Analysis of Commercial QPCR Master Mixes for Reliable Plant Telomere Length Measurement by Monochrome Multiplex QPCR. J. Plant Biochem. Biotechnol. 2024, 33, 92–96. [Google Scholar] [CrossRef]
- Okeyo, M.; Hartberger, C.; Margos, G.; Straubinger, R.K.; Sing, A.; Fingerle, V. Comparison of Methods for Economic and Efficient Tick and Borrelia DNA Purification. Ticks Tick. Borne Dis. 2019, 10, 1041–1045. [Google Scholar] [CrossRef]
- Ruiz-villalba, A.; Ruijter, J.M.; Hoff, M.J.B. Van Den Use and Misuse of C q in QPCR Data Analysis and Reporting. Life 2021, 11, 496. [Google Scholar] [CrossRef] [PubMed]
- Wang, G.; Liveris, D.; Brei, B.; Wu, H.; Falco, R.C.; Fish, D.; Schwartz, I. Real-Time PCR for Simultaneous Detection and Quantification of Borrelia burgdorferi in Field-Collected Ixodes Scapularis Ticks from the Northeastern United States. Appl. Environ. Microbiol. 2003, 69, 4561–4565. [Google Scholar] [CrossRef] [PubMed]
- Jacquet, M.; Genné, D.; Belli, A.; Maluenda, E.; Sarr, A.; Voordouw, M.J. The Abundance of the Lyme Disease Pathogen Borrelia Afzelii Declines over Time in the Tick Vector Ixodes Ricinus. Parasit. Vectors 2017, 10, 257. [Google Scholar] [CrossRef] [PubMed]
- Landesman, W.J.; Mulder, K.; Page Fredericks, L.; Allan, B.F. Cross-Kingdom Analysis of Nymphal-Stage Ixodes scapularis Microbial Communities in Relation to Borrelia burgdorferi Infection and Load. FEMS Microbiol. Ecol. 2019, 95, fiz167. [Google Scholar] [CrossRef] [PubMed]
- Pukhovskaya, N.M.; Morozova, O.V.; Vysochina, N.P.; Belozerova, N.B.; Ivanov, L.I. Prevalence of Borrelia Burgdorferi Sensu Lato and Borrelia miyamotoi in Ixodid Ticks in the Far East of Russia. Int. J. Parasitol. Parasites Wildl. 2019, 8, 192–202. [Google Scholar] [CrossRef]
- Zhong, X.; Nouri, M.; Råberg, L. Colonization and Pathology of Borrelia afzelii in Its Natural Hosts. Ticks Tick. Borne Dis. 2019, 10, 822–827. [Google Scholar] [CrossRef]
- Schwartz, I.; Wormser, G.P.; Schwartz, J.J.; Cooper, D.; Weissensee, P.; Gazumyan, A.; Zimmermann, E.; Goldberg, N.S.; Bitker, S.; Campbell, G.L.; et al. Diagnosis of Early Lyme Disease by Polymerase Chain. Reaction Amplification and Culture of Skin Biopsies from Erythema Migrans Lesions. J. Clin. Microbiol. 1992, 30, 3082–3088. [Google Scholar] [CrossRef]
- Qiagen. DNeasy Blood & Tissue Handbook. 2023. Available online: https://www.scribd.com/document/727832120/HB-2061-004-HB-DNY-Blood-Tissue-0623-WW (accessed on 18 November 2024).
- Elias, A.; Bono, J.; Tilly, K.; Rosa, P. Growth of Infectious and Non-Infectious B. burgdorferi at Different Salt Concentrations. Wien. Klin. Wochenschr. 1998, 110, 863–865. [Google Scholar]
- Heroldova, M.; Nemec, M.; Hubalek, Z. Growth Parameters of Borrelia burgdorferi Sensu Stricto at Various Temperatures. Zentbl. Bakteriol. 1998, 288, 451–455. [Google Scholar] [CrossRef]
- Zückert, W. Laboratory Maintenance of Borrelia burgdorferi. Curr. Protoc. Microbiol. 2007, 4, 12C-1. [Google Scholar] [CrossRef]
- Jutras, B.L.; Chenail, A.M.; Stevenson, B. Changes in Bacterial Growth Rate Govern Expression of the Borrelia burgdorferi OspC and Erp Infection-Associated Surface Proteins. J. Bacteriol. 2013, 195, 757–764. [Google Scholar] [CrossRef] [PubMed]
- Liang, L.; Wang, J.; Schorter, L.; Phong, T.; Trong, N.; Fell, S.; Ulrich, S.; Straubinger, R.K. Rapid Clearance of Borrelia burgdorferi from the Blood Circulation. Parasit. Vectors 2020, 13, 191. [Google Scholar] [CrossRef] [PubMed]
- Bosler, E.M.; Schulze, T.L. The Prevalence and Significance of Borrelia burgdorferi in the Urine of Feral Reservoir Hosts. Zentralblatt Bakteriol. Mikrobiol. Und Hyg. 1986, 263, 40–44. [Google Scholar] [CrossRef] [PubMed]
- Wright, S.D.; Nielsen, S.W. Experimental Infection of the White-Footed Mouse with Borrelia burgdorferi. Am. J. Vet. Res. 1990, 51, 1980–1987. [Google Scholar] [CrossRef]
- Burgess, E.C. Borrelia burgdorferi Infection in Wisconsin Horses and Cows. Ann. N. Y. Acad. Sci. 1988, 539, 235–243. [Google Scholar] [CrossRef]
- Grauer, G.F.; Burgess, E.C.; Cooley, A.J.; Hagee, J.H. Renal lesions associated with Borrelia burgdorferi infection in a dog. J. Am. Vet. Med. Assoc. 1988, 193, 237–239. [Google Scholar] [PubMed]
- Appel, M.J.; Allan, S.; Jacobson, R.H.; Lauderdale, T.L.; Chang, Y.F.; Shin, S.J.; Thomford, J.W.; Todhunter, R.J.; Summers, B.A. Experimental Lyme Disease in Dogs Produces Arthritis and Persistent Infection. J. Infect. Dis. 1993, 167, 651–654. [Google Scholar] [CrossRef]
- Lieske, D.J.; Lloyd, V.K. Combining Public Participatory Surveillance and Occupancy Modelling to Predict the Distributional Response of Ixodes Scapularis to Climate Change. Ticks Tick. Borne Dis. 2018, 9, 695–706. [Google Scholar] [CrossRef]
- Bouchard, C.; Dibernardo, A.; Koffi, J.; Wood, H.; Leighton, P.; Lindsay, L. Increased Risk of Tick-Borne Diseases with Climate and Environmental Changes. Can. Commun. Dis. Rep. 2019, 45, 83–89. [Google Scholar] [CrossRef]
Disclaimer/Publisher’s Note: The statements, opinions and data contained in all publications are solely those of the individual author(s) and contributor(s) and not of MDPI and/or the editor(s). MDPI and/or the editor(s) disclaim responsibility for any injury to people or property resulting from any ideas, methods, instructions or products referred to in the content. |
© 2024 by the authors. Licensee MDPI, Basel, Switzerland. This article is an open access article distributed under the terms and conditions of the Creative Commons Attribution (CC BY) license (https://creativecommons.org/licenses/by/4.0/).





