Eight Years of African Swine Fever in the Baltic States: Epidemiological Reflections
Abstract
:1. Introduction
2. Results
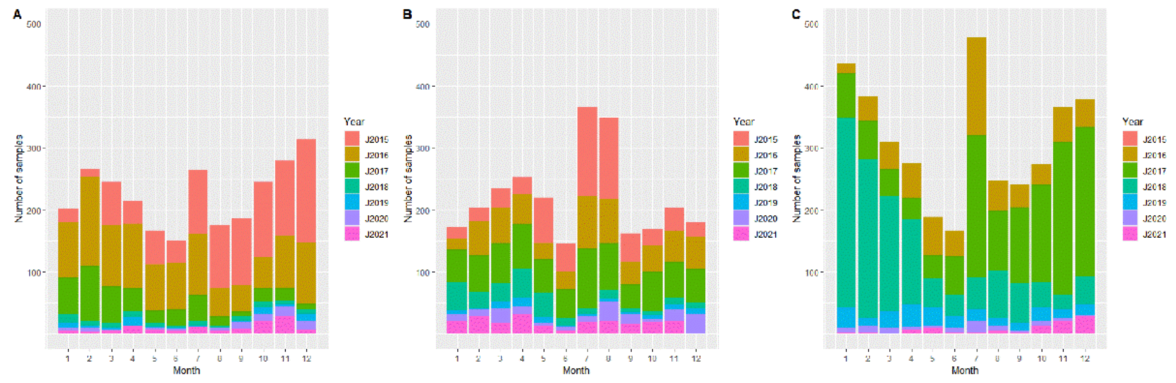
2.1. Descriptive Data
2.2. Model Analysis
2.3. Prevalence Estimates for Different Age Classes
2.4. Wild Boar Population Density
3. Discussion
4. Materials and Methods
4.1. Descriptive Data Analysis
4.2. Model Analysis
4.3. Prevalence Estimates for Different Age Classes
4.4. Wild Boar Population Density
Supplementary Materials
Author Contributions
Funding
Institutional Review Board Statement
Informed Consent Statement
Data Availability Statement
Conflicts of Interest
References
- Pautienius, A.; Grigas, J.; Pileviciene, S.; Zagrabskaite, R.; Buitkuviene, J.; Pridotkas, G.; Stankevicius, R.; Streimikyte, Z.; Salomskas, A.; Zienius, D.; et al. Prevalence and spatiotemporal distribution of African swine fever in Lithuania, 2014–2017. Virol. J. 2018, 15, 177. [Google Scholar] [CrossRef] [PubMed]
- Oļševskis, E.; Guberti, V.; Serzants, M.; Westergaard, J.; Gallardo, C.; Rodze, I.; Depner, K. African swine fever virus introduction into the EU in 2014: Experience of Latvia. Res. Vet. Sci. 2016, 105, 28–30. [Google Scholar] [CrossRef] [PubMed]
- Nurmoja, I.; Schulz, K.; Staubach, C.; Sauter-Louis, C.; Depner, K.; Conraths, F.J.; Viltrop, A. Development of African swine fever epidemic among wild boar in Estonia—Two different areas in the epidemiological focus. Sci. Rep. 2017, 7, 12562. [Google Scholar] [CrossRef] [PubMed] [Green Version]
- Bergmann, H.; Schulz, K.; Conraths, F.J.; Sauter-Louis, C. A Review of Environmental Risk Factors for African Swine Fever in European Wild Boar. Animals 2021, 11, 2692. [Google Scholar] [CrossRef]
- European Commission; ADIS. Animal Disease Information, Overview Reports. Available online: https://ec.europa.eu/food/animals/animal-diseases/animal-disease-information-system-adis_de#ecl-inpage-492 (accessed on 3 February 2022).
- European Food Safety Authority. Scientific opinion on African swine fever in wild boar. EFSA J. 2018, 16, 5344. [Google Scholar] [CrossRef] [Green Version]
- Oļševskis, E.; Schulz, K.; Staubach, C.; Serzants, M.; Lamberga, K.; Pule, D.; Ozolins, J.; Conraths, F.J.; Sauter-Louis, C. African swine fever in Latvian wild boar-A step closer to elimination. Transbound. Emerg. Dis. 2020, 67, 2615–2629. [Google Scholar] [CrossRef]
- Schulz, K.; Staubach, C.; Blome, S.; Viltrop, A.; Nurmoja, I.; Conraths, F.J.; Sauter-Louis, C. Analysis of Estonian surveillance in wild boar suggests a decline in the incidence of African swine fever. Sci. Rep. 2019, 9, 8490. [Google Scholar] [CrossRef]
- Schulz, K.; Masiulis, M.; Staubach, C.; Malakauskas, A.; Pridotkas, G.; Conraths, F.J.; Sauter-Louis, C. African Swine Fever and Its Epidemiological Course in Lithuanian Wild Boar. Viruses 2021, 13, 1276. [Google Scholar] [CrossRef]
- Schulz, K.; Staubach, C.; Blome, S.; Nurmoja, I.; Viltrop, A.; Conraths, F.J.; Kristian, M.; Sauter-Louis, C. How to Demonstrate Freedom from African Swine Fever in Wild Boar-Estonia as an Example. Vaccines 2020, 8, 336. [Google Scholar] [CrossRef]
- Schulz, K.; Schulz, J.; Staubach, C.; Blome, S.; Nurmoja, I.; Conraths, F.J.; Sauter-Louis, C.; Viltrop, A. African Swine Fever Re-Emerging in Estonia: The Role of Seropositive Wild Boar from an Epidemiological Perspective. Viruses 2021, 13, 2121. [Google Scholar] [CrossRef]
- Urner, N.; Seržants, M.; Užule, M.; Sauter-Louis, C.; Staubach, C.; Lamberga, K.; Oļševskis, E.; Conraths, F.J.; Schulz, K. Hunters’ view on the control of African swine fever in wild boar. A participatory study in Latvia. Prev. Vet. Med. 2021, 186, 105229. [Google Scholar] [CrossRef] [PubMed]
- Urner, N.; Mõtus, K.; Nurmoja, I.; Schulz, J.; Sauter-Louis, C.; Staubach, C.; Conraths, F.J.; Schulz, K. Hunters’ Acceptance of Measures against African Swine Fever in Wild Boar in Estonia. Prev. Vet. Med. 2020, 182, 105121. [Google Scholar] [CrossRef] [PubMed]
- Stončiūtė, E.; Malakauskas, A.; Conraths, F.J.; Masiulis, M.; Sauter-Louis, C.; Schulz, K. Evaluation of the perceptions of Lithuanian hunters towards African swine fever using a participatory approach. BMC Vet. Res. 2022; submitted. [Google Scholar]
- Pautienius, A.; Schulz, K.; Staubach, C.; Grigas, J.; Zagrabskaite, R.; Buitkuviene, J.; Stankevicius, R.; Streimikyte, Z.; Oberauskas, V.; Zienius, D.; et al. African swine fever in the Lithuanian wild boar population in 2018: A snapshot. Virol. J. 2020, 17, 148. [Google Scholar] [CrossRef]
- Frant, M.; Gal, A.; Bocian, Ł.; Ziętek-Barszcz, A.; Niemczuk, K.; Woźniakowski, G. African Swine Fever Virus (ASFV) in Poland in 2019—Wild Boars: Searching Pattern. Agriculture 2021, 11, 45. [Google Scholar] [CrossRef]
- Arias, M.; Jurado, C.; Gallardo, C.; Fernandez-Pinero, J.; Sanchez-Vizcaino, J.M. Gaps in African swine fever: Analysis and priorities. Transbound. Emerg. Dis. 2018, 65, 235–247. [Google Scholar] [CrossRef]
- Cukor, J.; Linda, R.; Václavek, P.; Šatrán, P.; Mahlerová, K.; Vacek, Z.; Kunca, T.; Havránek, F. Wild boar deathbed choice in relation to ASF: Are there any differences between positive and negative carcasses? Prev. Vet. Med. 2020, 177, 104943. [Google Scholar] [CrossRef]
- Gervasi, V.; Gubertì, V. Combining hunting and intensive carcass removal to eradicate African swine fever from wild boar populations. Prev. Vet. Med. 2022, 203, 105633. [Google Scholar] [CrossRef]
- Europäische Kommission. Durchführungsverordnung (EU) 2021/605 der Kommission vom 7. April 2021 mit besonderen Maßnahmen zur Bekämpfung der Afrikanischen Schweinepest (ABl. EU vom 15.4.2021 L 129 S. 1); Europäische Kommission: Brussels, Belgium, 2021. [Google Scholar]
- Stonciute, E.; Schulz, K.; Malakauskas, A.; Conraths, F.J.; Masiulis, M.; Sauter-Louis, C. What Do Lithuanian Hunters Think of African Swine Fever and Its Control-Perceptions. Animals 2021, 11, 525. [Google Scholar] [CrossRef]
- Schulz, K.; Calba, C.; Peyre, M.; Staubach, C.; Conraths, F.J. Hunters’ acceptability of the surveillance system and alternative surveillance strategies for classical swine fever in wild boar—A participatory approach. BMC Vet. Res. 2016, 12, 187. [Google Scholar] [CrossRef] [Green Version]
- Quiros-Fernandez, F.; Marcos, J.; Acevedo, P.; Gortazar, C. Hunters serving the ecosystem: The contribution of recreational hunting to wild boar population control. Eur. J. Wildl. Res. 2017, 63, 57. [Google Scholar] [CrossRef]
- Keuling, O.; Lauterbach, K.; Stier, N.; Roth, M. Hunter feedback of individually marked wild boar Sus scrofa L.: Dispersal and efficiency of hunting in northeastern Germany. Eur. J. Wildl. Res. 2010, 56, 159–167. [Google Scholar] [CrossRef]
- Probst, C.; Gethmann, J.; Amler, S.; Globig, A.; Knoll, B.; Conraths, F.J. The potential role of scavengers in spreading African swine fever among wild boar. Sci. Rep. 2019, 9, 11450. [Google Scholar] [CrossRef] [PubMed]
- European Food Safety Authority; Cortinas Abrahantes, J.; Gogin, A.; Richardson, J.; Gervelmeyer, A. Scientific report on epidemiological analyses on African swinefever in the Baltic countries and Poland. EFSA J. 2017, 15, 4732. [Google Scholar]
- Post, J.; Weesendorp, E.; Montoya, M.; Loeffen, W.L. Influence of Age and Dose of African Swine Fever Virus Infections on Clinical Outcome and Blood Parameters in Pigs. Viral Immunol. 2017, 30, 58–69. [Google Scholar] [CrossRef]
- Pikalo, J.; Schoder, M.-E.; Sehl-Ewert, J.; Breithaupt, A.; Cay, A.B.; Lhoëst, C.; van Campe, W.; Mostin, L.; Deutschmann, P.; Roszyk, H.; et al. Towards Efficient Early Warning: Pathobiology of African Swine Fever Virus “Belgium 2018/1” in Domestic Pigs of Different Age Classes. Animals 2021, 11, 2602. [Google Scholar] [CrossRef] [PubMed]
- Morelle, K.; Bubnicki, J.; Churski, M.; Gryz, J.; Podgorski, T.; Kuijper, D.P.J. Disease-Induced Mortality Outweighs Hunting in Causing Wild Boar Population Crash After African Swine Fever Outbreak. Front. Vet. Sci. 2020, 7, 378. [Google Scholar] [CrossRef]
- European Food Safety Authority. ASF Exit Strategy: Providing cumulative evidence of the absence of African swine fever virus circulation in wild boar populations using standard surveillance measures. EFSA J. 2021, 19, 72. [Google Scholar] [CrossRef]
- Scherer, C.; Radchuk, V.; Staubach, C.; Mueller, S.; Blaum, N.; Thulke, H.-H.; Kramer-Schadt, S. Seasonal host life-history processes fuel disease dynamics at different spatial scales. J. Anim. Ecol. 2019, 88, 1812–1824. [Google Scholar] [CrossRef]
- Klinkenberg, D.; de Bree, J.; Laevens, H.; de Jong, M.C.M. Within- and between-pen transmission of Classical Swine Fever Virus: A new method to estimate the basic reproduction ratio from transmission experiments. Epidemiol. Infect. 2002, 128, 293–299. [Google Scholar] [CrossRef]
- Schulz, K.; Conraths, F.J.; Blome, S.; Staubach, C.; Sauter-Louis, C. African Swine Fever: Fast and Furious or Slow and Steady? Viruses 2019, 11, 866. [Google Scholar] [CrossRef] [PubMed] [Green Version]
- Probst, C.; Globig, A.; Knoll, B.; Conraths, F.J.; Depner, K. Behaviour of free ranging wild boar towards their dead fellows: Potential implications for the transmission of African swine fever. R. Soc. Open Sci. 2017, 4, 170054. [Google Scholar] [CrossRef] [PubMed] [Green Version]
- Chenais, E.; Ståhl, K.; Guberti, V.; Depner, K. Identification of Wild Boar–Habitat Epidemiologic Cycle in African Swine Fever Epizootic. Emerg. Infect. Dis. 2018, 24, 809–811. [Google Scholar] [CrossRef] [PubMed] [Green Version]
- Pepin, K.M.; Golnar, A.J.; Abdo, Z.; Podgorski, T. Ecological drivers of African swine fever virus persistence in wild boar populations: Insight for control. Ecol. Evol. 2020, 10, 2846–2859. [Google Scholar] [CrossRef] [PubMed] [Green Version]
- O’Neill, X.; White, A.; Ruiz-Fons, F.; Gortazar, C. Modelling the transmission and persistence of African swine fever in wild boar in contrasting European scenarios. Sci. Rep. 2020, 10, 5895. [Google Scholar] [CrossRef] [Green Version]
- Sauter-Louis, C.; Schulz, K.; Richter, M.; Staubach, C.; Mettenleiter, T.C.; Conraths, F.J. African swine fever: Why the situation in Germany is not comparable to that in the Czech Republic or Belgium. Transbound. Emerg. Dis. 2021, 1–8. [Google Scholar] [CrossRef]
- Staubach, C.; Hoffmann, L.; Schmid, V.J.; Ziller, M.; Tackmann, K.; Conraths, F.J. Bayesian space-time analysis of Echinococcus multilocularis-infections in foxes. Vet. Parasitol. 2011, 179, 77–83. [Google Scholar] [CrossRef]
- Staubach, C.; Schmid, V.; Knorr-Held, L.; Ziller, M. A Bayesian model for spatial wildlife disease prevalence data. Prev. Vet. Med. 2002, 56, 75–87. [Google Scholar] [CrossRef] [Green Version]
- Schulz, K.; Oļševskis, E.; Staubach, C.; Lamberga, K.; Seržants, M.; Cvetkova, S.; Conraths, F.J.; Sauter-Louis, C. Epidemiological evaluation of Latvian control measures for African swine fever in wild boar on the basis of surveillance data. Sci. Rep. 2019, 9, 4189. [Google Scholar] [CrossRef]
- Dunn, O.J. Multiple comparisons among means. J. Am. Stat. Assoc. 1961, 56, 52. [Google Scholar] [CrossRef]




| Age Class | ||||
|---|---|---|---|---|
| Median in % of | <1 Year | 1–2 Years | >2 Years | p-Value |
| Seroprevalence | 1.44 | 1.57 | 1.60 | 0.59 |
| Virus prevalence in hunted wild boar | 2.95 | 1.66 | 0.87 | 0.16 |
| Virus prevalence in wild boar found dead | 50.41 | 55.29 | 45.67 | 0.89 |
| Hunting Season | Median of the Estimated Number of Wild Boar/km2 | Hunting Season | |||||||
|---|---|---|---|---|---|---|---|---|---|
| 2013/14 | 2014/15 | 2015/16 | 2016/17 | 2017/18 | 2018/19 | 2019/20 | 2020/21 | ||
| p-Value * | |||||||||
| 2012/13 | 0.58 | 1 | 1 | 1 | 1 | 0.03 | <0.001 | <0.001 | 0.05 |
| 2013/14 | 0.54 | 1 | 1 | 1 | 0.06 | <0.001 | <0.001 | 0.04 | |
| 2014/15 | 0.60 | 1 | 0.85 | 0.03 | <0.001 | <0.001 | 0.04 | ||
| 2015/16 | 0.67 | 0.52 | 0.005 | <0.001 | <0.001 | 0.003 | |||
| 2016/17 | 0.19 | 1 | 1 | 0.60 | 1 | ||||
| 2017/18 | 0.09 | 1 | 1 | 0.18 | |||||
| 2018/19 | 0.08 | 1 | 0.006 | ||||||
| 2019/20 | 0.07 | 0.01 | |||||||
| 2020/21 | 0.17 | ||||||||
| Hunting Season | Median of Estimated Number of Wild Boar/km2 | Hunting Season | |||||
|---|---|---|---|---|---|---|---|
| 2015/16 | 2016/17 | 2017/18 | 2018/19 | 2019/20 | 2020/21 | ||
| p-Value * | |||||||
| 2014/15 | 0.66 | 1 | <0.001 | <0.001 | <0.001 | <0.001 | <0.001 |
| 2015/16 | 0.65 | <0.001 | <0.001 | <0.001 | <0.001 | ||
| 2016/17 | 0.25 | <0.001 | <0.001 | <0.001 | 1 | ||
| 2017/18 | 0.16 | <0.001 | 1 | <0.001 | |||
| 2018/19 | 0.11 | <0.001 | <0.001 | ||||
| 2019/20 | 0.17 | <0.001 | |||||
| 2020/21 | 0.26 | ||||||
Publisher’s Note: MDPI stays neutral with regard to jurisdictional claims in published maps and institutional affiliations. |
© 2022 by the authors. Licensee MDPI, Basel, Switzerland. This article is an open access article distributed under the terms and conditions of the Creative Commons Attribution (CC BY) license (https://creativecommons.org/licenses/by/4.0/).
Share and Cite
Schulz, K.; Oļševskis, E.; Viltrop, A.; Masiulis, M.; Staubach, C.; Nurmoja, I.; Lamberga, K.; Seržants, M.; Malakauskas, A.; Conraths, F.J.; et al. Eight Years of African Swine Fever in the Baltic States: Epidemiological Reflections. Pathogens 2022, 11, 711. https://doi.org/10.3390/pathogens11060711
Schulz K, Oļševskis E, Viltrop A, Masiulis M, Staubach C, Nurmoja I, Lamberga K, Seržants M, Malakauskas A, Conraths FJ, et al. Eight Years of African Swine Fever in the Baltic States: Epidemiological Reflections. Pathogens. 2022; 11(6):711. https://doi.org/10.3390/pathogens11060711
Chicago/Turabian StyleSchulz, Katja, Edvīns Oļševskis, Arvo Viltrop, Marius Masiulis, Christoph Staubach, Imbi Nurmoja, Kristīne Lamberga, Mārtiņš Seržants, Alvydas Malakauskas, Franz Josef Conraths, and et al. 2022. "Eight Years of African Swine Fever in the Baltic States: Epidemiological Reflections" Pathogens 11, no. 6: 711. https://doi.org/10.3390/pathogens11060711
APA StyleSchulz, K., Oļševskis, E., Viltrop, A., Masiulis, M., Staubach, C., Nurmoja, I., Lamberga, K., Seržants, M., Malakauskas, A., Conraths, F. J., & Sauter-Louis, C. (2022). Eight Years of African Swine Fever in the Baltic States: Epidemiological Reflections. Pathogens, 11(6), 711. https://doi.org/10.3390/pathogens11060711

