Comparison of Selected Immune Parameters in a Single Infection and Co-Infection with Infectious Pancreatic Necrosis Virus with Other Viruses in Rainbow Trout
Abstract
:1. Introduction
2. Results
2.1. Disease Symptoms and Lesions
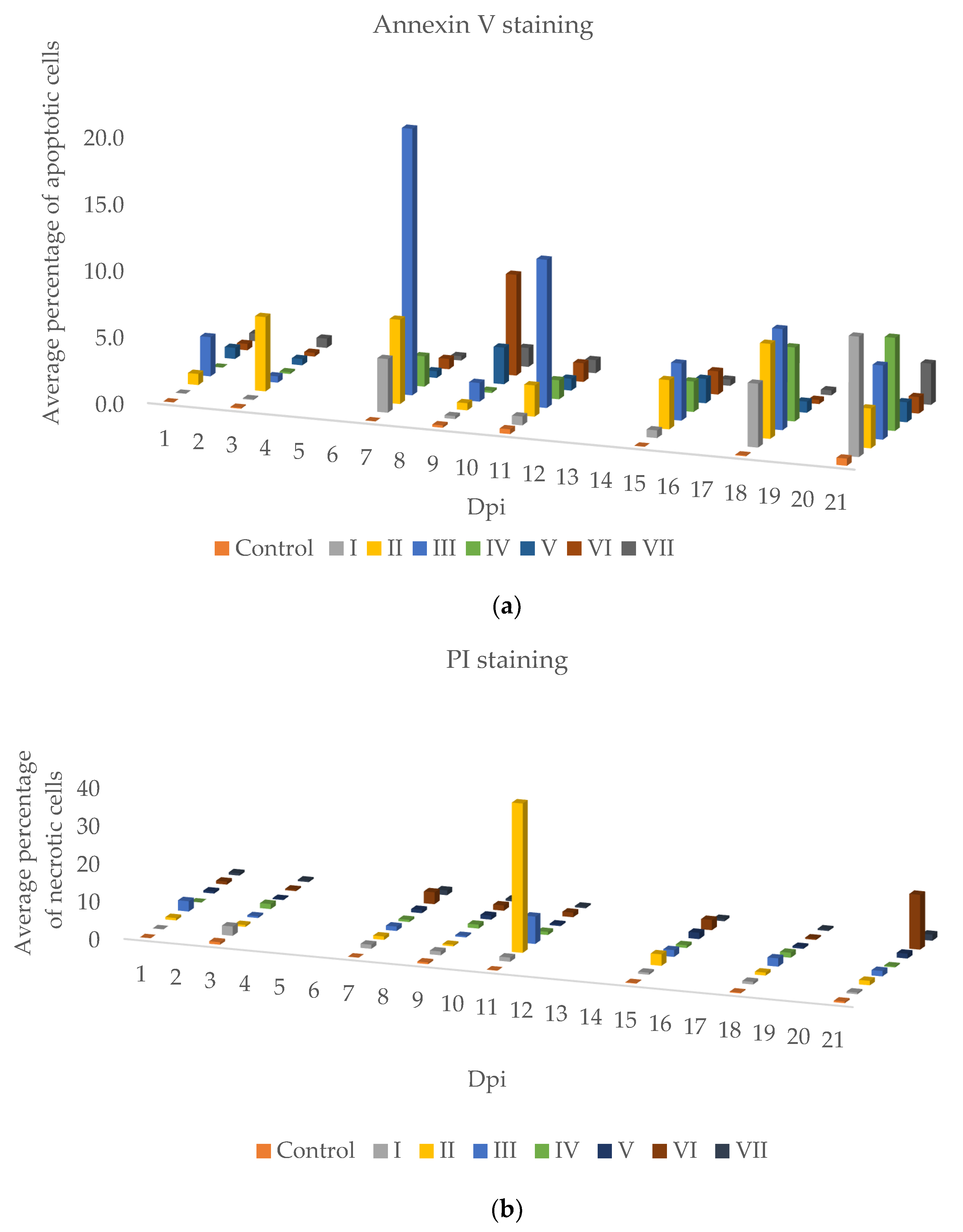
2.2. Apoptosis
2.3. IFN, TLR-3
2.4. Analysis of Results Obtained by Real-Time RT-PCR
3. Discussion
4. Materials and Methods
4.1. Fish
4.2. Flow Cytometry
4.3. Real-Time RT-PCR
4.4. Statistical Analysis
5. Conclusions
Supplementary Materials
Author Contributions
Funding
Institutional Review Board Statement
Data Availability Statement
Acknowledgments
Conflicts of Interest
References
- Yamamoto, T. Infectious pancreatic necrosis virus and bacterial kidney disease appearing concurrently in populations of Salmo gairdneri and Salvelinus fontinalis. J. Fish Res. Board Can. 1975, 32, 92–95. [Google Scholar] [CrossRef]
- McAllister, P.E.; Owens, W.J. Assessment of the virulence of fish and molluscan isolates of infectious pancreatic necrosis virus for salmonid fish by challenge of brook trout, Salvelinus fontinalis (Mitchill). J. Fish Dis. 1995, 18, 97–103. [Google Scholar] [CrossRef]
- Alonso, M.; Rodriguez Saint-Jean, S.; Pérez-Pietro, S.I. Virulence of Infectious Hematopoietic necrosis virus and Infectious pancreatic necrosis virus coinfection in rainbow trout (Oncorhynchus mykiss) and nucleotide sequence analysis of the IHNV glycoprotein gene. Arch. Virol. 2003, 148, 1507–1521. [Google Scholar] [CrossRef] [PubMed]
- Holopainen, R.; Erikson-Kallio, A.M.; Gadd, T. Molecular characterization of infectious pancreatic necrosis viruses isolated from farmed fish in Finland. Arch. Virol. 2017, 162, 3459–3471. [Google Scholar] [CrossRef] [PubMed] [Green Version]
- Rodriguez, S.; Alonso, M.; Pérez-Prieto, S.I. Comparison of two birnavirus-rhabdovirus coinfections in fish cell lines. Dis. Aquat. Org. 2005, 67, 183–190. [Google Scholar] [CrossRef]
- Barlic-Maganja, D.; Strancar, M.; Hostnik, P.; Jencic, V.; Grom, J. Comparison of the efficiency and sensitivity of virus isolation and molecular methods for routine diagnosis of infectious haematopoietic necrosis virus and infectious pancreatic necrosis virus. J. Fish Dis. 2002, 25, 73–80. [Google Scholar] [CrossRef]
- Byrne, N.; Castric, J.; Lamour, F.; Cabon, J.; Quentel, C. Study of the viral interference between infectious pancreatic necrosis virus (IPNV) and infectious haematopoietic necrosis virus (IHNV) in rainbow trout (Oncorhynchus mykiss). Fish Shellfish Immunol. 2008, 24, 489–497. [Google Scholar] [CrossRef]
- Rodriguez, S.; Borrego, J.J.; Pérez Prieto, S.I. Infectious pancreatic necrosis virus: Biology, pathogenesis and diagnostic methods. Adv. Virus Res. 2003, 62, 113–165. [Google Scholar]
- Abdullah, A.; Olsen, C.M.; Hodneland, K.; Rimstad, E. A Polyprotein-Expressing Salmonid Alphavirus Replicon Induces Modest Protection in Atlantic Salmon (Salmo salar) Against Infectious Pancreatic Necrosis. Viruses 2015, 7, 252–267. [Google Scholar] [CrossRef] [Green Version]
- Jarp, J.; Gjevre, A.G.; Olsen, A.B.; Bruheim, T. Risk factor for furunculosis, infectious pancreatic necrosis virus and mortality in post-smolt of Atlantic salmon, Salmo salar L. J. Fish Dis. 1994, 18, 67–78. [Google Scholar] [CrossRef]
- Schlotfeldt, H.J.; Frost, J.W. Doppelinfektion von Regenbogenforellen mit dem Virus der viralen hämorrhagischen Septikämie (VHS) und dem Virus der infectiosen Pankreasnekrose (IPN). Berl Münch Tierärztl Wochenschr 1975, 88, 455. [Google Scholar]
- Reno, P.W. Infectious pancreatic necrosis and associated aquatic birnaviruses. In Fish Diseases and Disorders, Vol 3. Viral, Bacterial and Fungal Infections; Woo, P.T.K., Bruo, D.W., Eds.; CABI Publishing: New York, NY, USA, 1999; Volume 3, pp. 1–65. [Google Scholar]
- Castric, J. Viral diseases in fish mariculture. Bull. Eur. Ass. Fish Path. 1997, 17, 111–119. [Google Scholar]
- Barber, G.N. Host defense, viruses and apoptosis. Cell Death Differ. 2001, 8, 113–126. [Google Scholar] [CrossRef] [Green Version]
- Robertsen, B. The interferon system of teleost fish. Fish Shellfish Immunol. 2006, 20, 172–191. [Google Scholar] [CrossRef]
- Skotheim, S.A. Co-Infection with Norwegian Salmonid Alphavirus (NSAV) and Infectious Pancreatic Necrosis Virus (IPNV) in Chinook Salmon Embryo Cells (CHSE-214). Master’s Thesis, Science in Aquamedicine, Department of Biology, University of Bergen, Bergen, Norway, June 2009. [Google Scholar]
- Van Engeland, M.; Nieland, L.J.W.; Ramaekers, F.C.S.; Schutte, B.; Reutelingsperger, C.P.M. Annexin V-Affinity assay: A review on an apoptosis detection system based on phosphatidylserine exposure. Cytometry 1998, 31, 1–9. [Google Scholar] [CrossRef]
- Fadok, V.A.; Laszlo, D.J.; Noble, P.W.; Weinstein, L.; Riches, D.W.; Henson, P.M. Particle digestibility is required for induction of the phosphatidylserine recognition mechanism used by murine macrophages to phagocytose apoptotic cells. J. Immunol. 1993, 151, 4274–4285. [Google Scholar]
- Fadok, V.A.; Voelker, D.R.; Campbell, P.A.; Cohen, J.J.; Bratton, D.L.; Henson, P.M. Exposure of phosphatidylserine on the surface of apoptotic lymphocytes triggers specific recognition and removal by macrophages. J. Immunol. 1992, 148, 2207–2216. [Google Scholar]
- Abouelmaatti, R.R.; Algammal, A.M.; Li, X.; Ma, J.; Abdenaby, E.A.; Elfeil, W.M.K. Cloning and analysis of Nile tilapia Toll-like receptors type-3 mRNA. Cent. Eur. J. Immunol. 2013, 38, 277–282. [Google Scholar] [CrossRef] [Green Version]
- Rodriguez, M.F.; Wiens, G.D.; Purcell, M.K.; Palti, Y. Characterization of Toll-like receptor 3 gene in rainbow trout (Oncorhynchus mykiss). Immunogenetics 2005, 57, 510–519. [Google Scholar] [CrossRef]
- Funami, K.; Matsumoto, M.; Oshiumi, H.; Akazawa, T.; Yamamoto, A.; Seya, T. The cytoplasmic ‘linker region’ in Toll-like receptor 3 controls receptor localization and signaling. Int. Immunol. 2004, 16, 1143–1154. [Google Scholar] [CrossRef] [Green Version]
- Livak, K.J.; Schmittgen, T.D. Analysis of relative gene expression data using real time quantitative PCR and the 2−ΔΔCt method. Methods 2001, 25, 402–408. [Google Scholar] [CrossRef] [PubMed]
- Silver, N.; Best, S.; Jiang, J.; Thein, S.L. Selection of housekeeping genes for gene expression studies in human reticulocytes using real-time PCR. BMC Mol. Biol. 2006, 7, 33. [Google Scholar] [CrossRef] [PubMed] [Green Version]
- Hwang, H.J.; Moon, C.H.; Kim, H.G.; Kim, J.Y.; Lee, J.M.; Park, J.W.; Chung, D.K. Identification and functional analysis of salmon annexin 1 induced by a virus infection in a fish cell line. J. Virol. 2007, 81, 13816–13824. [Google Scholar] [CrossRef] [PubMed] [Green Version]
- Skjesol, A.; Aamo, T.; Hegseth, M.N.; Robertsen, B.; Jorgensen, J.B. The interplay between infectious pancreatic necrosis virus (IPNV) and theIFN system: IFN signaling is inhibited by IPNV infection. Virus Res. 2009, 143, 53–60. [Google Scholar] [CrossRef] [PubMed]
- Robertsen, B. Expression of interferon and interferon-induced genes in salmonids in response to virus infection, interferon-inducing compounds and vaccination. Fish Shellfish Immunol. 2008, 25, 351–357. [Google Scholar] [CrossRef] [PubMed]
- López-Vázquez, C.; Alonso, M.C.; Dopazo, C.P.; Bandín, I. In vivo study of viral haemorrhagic septicaemia virus and infectious pancreatic necrosis virus coexistence in Senegales sole (Solea senegalensis). J. Fish Dis. 2017, 40, 1129–1139. [Google Scholar] [CrossRef]
- De Kinkelin, P.; Dorson, M.; Renault, T. Interferon and viral interference in viruses of salmonid fish. In Proceedings of the Oji International Symposium on Salmonid Diseases, Sapporo, Japan, 22–25 October 1991; Kimura, T., Ed.; Hokkaido University Press: Sapporo, Japan, 1992; pp. 241–249. [Google Scholar]
- European Union. Commission Implementing Decision (EU) 2015/1554 of 11 September 2015 laying down rules for the application of Directive 2006/88/EC as regards requirements for surveillance and diagnostic methods (notified under document C (2015) 6188). Off. J. Eur. Union 2015, 247, 1–62. [Google Scholar]
- Jonstrup, S.P.; Kahns, S.; Skall, T.S.; Boutrup, T.S.; Olesen, N.J. Development and validation of a novel Taqman-based real-time RT-PCR assay suitable for demonstrating freedom from viral haemorrhagic septicaemia virus. J. Fish Dis. 2012, 36, 9–23. [Google Scholar] [CrossRef] [Green Version]














| DPI | I IPNV | II IHNV | III VHSV | IV SAV | V IPNV+IHNV | VI IPNV+VHSV | VII IPNV+SAV |
|---|---|---|---|---|---|---|---|
| 1 | pale liver | pale liver, single petechiae on the skin | Single petechiae on the skin | ||||
| 3 | petechiae on the liver | petechiae on the skin, pale gills and liver, swollen kidney and gut, fluid in the body cavity | petechiae on the liver | petechiae on the gills, pale gills | |||
| 5 | enlarged swim bladder, swollen kidney | petechiae | pale liver | ||||
| 7 | petechiae on the skin and liver | petechiae on the skin, fluid in the body cavity, petechiae in the eyeball | petechiae on the liver | body swelling, petechiae at the base of the fins, exophthalmia and petechiae in the eyeball, petechiae in the gut, enlarged swim bladder | |||
| 9 | petechiae on the liver | petechiae on the liver, fluid in the body cavity, petechiae in the eyeball | emergent liver necrosis | ||||
| 11 | pale liver, enlarged kidney | gill and kidney necrosis | enlarged spleen, pale kidney, enlarged swim bladder, petechiae in the muscles and eyeball | fluid in the body cavity, exophthalmia, petechiae in the muscles and gut, gill and kidney necrosis, thin blood | |||
| 13 | pale liver, enlarged spleen | exophthalmia, petechiae on the skin | pale liver, enlarged swim bladder | fluid in the body cavity, exophthalmia | |||
| 15 | pale liver | petechiae on the skin | pale liver, enlarged spleen, petechiae on the skin | fluid in the body cavity, exophthalmia, pale liver, gill necrosis | |||
| 18 | necrotic, marbled liver | pale gills and liver | marbled liver | necrotic liver and gills | changes in the liver | ||
| 21 | pale liver and gills | corkscrew swimming |
Publisher’s Note: MDPI stays neutral with regard to jurisdictional claims in published maps and institutional affiliations. |
© 2022 by the authors. Licensee MDPI, Basel, Switzerland. This article is an open access article distributed under the terms and conditions of the Creative Commons Attribution (CC BY) license (https://creativecommons.org/licenses/by/4.0/).
Share and Cite
Maj-Paluch, J.; Wasiak, M.; Bocian, Ł.; Reichert, M. Comparison of Selected Immune Parameters in a Single Infection and Co-Infection with Infectious Pancreatic Necrosis Virus with Other Viruses in Rainbow Trout. Pathogens 2022, 11, 658. https://doi.org/10.3390/pathogens11060658
Maj-Paluch J, Wasiak M, Bocian Ł, Reichert M. Comparison of Selected Immune Parameters in a Single Infection and Co-Infection with Infectious Pancreatic Necrosis Virus with Other Viruses in Rainbow Trout. Pathogens. 2022; 11(6):658. https://doi.org/10.3390/pathogens11060658
Chicago/Turabian StyleMaj-Paluch, Joanna, Magdalena Wasiak, Łukasz Bocian, and Michał Reichert. 2022. "Comparison of Selected Immune Parameters in a Single Infection and Co-Infection with Infectious Pancreatic Necrosis Virus with Other Viruses in Rainbow Trout" Pathogens 11, no. 6: 658. https://doi.org/10.3390/pathogens11060658
APA StyleMaj-Paluch, J., Wasiak, M., Bocian, Ł., & Reichert, M. (2022). Comparison of Selected Immune Parameters in a Single Infection and Co-Infection with Infectious Pancreatic Necrosis Virus with Other Viruses in Rainbow Trout. Pathogens, 11(6), 658. https://doi.org/10.3390/pathogens11060658

