Next Article in Journal
Disrupting the Abuse-Prison Nexus: The Gendered Violence of Prosecution and Abolitionist Feminist Approaches to Social Care Work
Next Article in Special Issue
Adapting and Validating DigCompEdu for Early Childhood Education Students Through Expert Competence Coefficient
Previous Article in Journal
Development of Civil Society Organizations—Caught Up in the Framework of Different Welfare Systems
Previous Article in Special Issue
Evaluating Medical Students’ Satisfaction with E-Learning Platforms During the COVID-19 Pandemic: A Structural Equation Modeling Analysis Within a Multimodal Educational Framework
 
 
Font Type:
Arial Georgia Verdana
Font Size:
Aa Aa Aa
Line Spacing:
Column Width:
Background:
Article

Using WhatsApp in Distance Education: Assessing the Impact on Academic Interaction and Influencing Factors

by
Jose Miguel Romero-Saritama
1,
Sandra Espinosa-Tapia
2,* and
Antonio Palacios-Rodríguez
3,*
1
Department of Biological and Agricultural Sciences, Private Technical University of Loja, Loja 110107, Ecuador
2
Department of Chemistry, Private Technical University of Loja, Loja 110107, Ecuador
3
Department of Didactics and Educational Organization, University of Seville, 41013 Seville, Spain
*
Authors to whom correspondence should be addressed.
Soc. Sci. 2025, 14(3), 183; https://doi.org/10.3390/socsci14030183
Submission received: 20 December 2024 / Revised: 9 March 2025 / Accepted: 12 March 2025 / Published: 18 March 2025
(This article belongs to the Special Issue Educational Technology for a Multimodal Society)

Abstract

WhatsApp has gained relevance in distance higher education due to its accessibility and ease of use, making it a valuable tool for academic support. This study analyzes the use of WhatsApp in this context, considering sociodemographic variables and factors such as subject and group size. The sample included 127 students from an Ecuadorian university, belonging to two subjects from different areas. With a multivariate quantitative approach, this study evaluated the dimensions of management, communication and interaction, learning, and the relevance and benefits of using WhatsApp. The data were analyzed using Mann–Whitney U and Kruskal–Wallis tests and a K-means clustering analysis. The results show a positive assessment of the use of WhatsApp (mean of 4.48/5), highlighting the academic benefits, especially its innovative and practical effect. Smaller groups presented a more favorable assessment, and women reported a greater inclination towards some key dimensions. The clustering analysis identified three groups of students with differentiated assessments. These findings suggest that WhatsApp, as a support tool in distance education, not only facilitates academic interaction, but also responds to the specific needs of students, its effectiveness being dependent on group size and other student characteristics.

1. Introduction

Distance education is an educational modality in which students and teachers are physically and/or temporally separated, interacting through various technological means and resources to facilitate the teaching–learning process (García 2021). This modality has helped reduce geographical inequality in access to higher education, providing students with the opportunity to study without time or location constraints. Additionally, it allows them to balance work, family life, and studies (Östlund 2009; Wiitavaara and Widar 2025).
However, distance higher education has shown a lower retention rate compared to face-to-face education, leading to various economic and social challenges for both students and universities (Wiitavaara and Widar 2025).
The difficulties that students face in this modality have been widely studied. Altun et al. (2021) argue that distance education does not always guarantee effective learning, while other studies have identified issues such as difficulties in carrying out group work (Adnan and Anwar 2020; Bozavlı 2021) and academic overload due to the large number of tasks and activities to be completed (Nenakhova 2021). Moreover, students may experience a sense of abandonment, especially when they do not receive immediate responses from their teachers. Added to this is the lack of digital competencies, which hinders their interaction in virtual academic platforms.
Despite these challenges, distance education has experienced significant growth in recent years, driven by the need for flexible access to learning and, more recently, by the COVID-19 pandemic (Masalimova et al. 2022). However, this growth poses new challenges, especially in terms of effective communication, continuous interaction, and collaboration between participants in the educational process (Romero-Saritama and Simaluiza 2022; Ramírez-Montoya et al. 2024). In this context, it is essential to have learning environments that promote fluid and accessible communication between students and teachers, as the lack of immediate interaction can negatively affect the educational experience and group cohesion.
Although formal educational platforms such as Canvas and Moodle exist, these tools have limitations when it comes to meeting the demands for fast and informal communication that characterize distance learning environments. Access barriers, the formal structure of these platforms, and the lack of immediacy in interaction can hinder the natural flow of communication, limiting their effectiveness in situations where real-time collaboration is crucial (Lee et al. 2023; García Ávila and Camacho 2023).
Over the past decade, instant messaging platforms have significantly transformed the way we interact in personal and professional settings, and their impact on the educational environment has not been minor. Among these platforms, WhatsApp has stood out for its ease of use, availability, and mass adoption, both in social and academic contexts. As educational institutions adopt technologies to facilitate distance learning, WhatsApp has become a key tool for communication between students and teachers, as well as a pedagogical resource for the development of collaborative learning (Suárez-Lantarón et al. 2022; Slakmon 2024). In this context, WhatsApp has emerged as a fast and effective communication platform that, being present in the daily lives of most students, offers an accessible way to connect students with each other and with their teachers in real time (Hadiyana Fahrurrozi and Fakhri 2024). The use of WhatsApp in education has been particularly relevant during crisis situations such as the COVID-19 pandemic, when limitations on face-to-face contact increased the demand for virtual communication tools (Nkambule 2023).
One of the main advantages of WhatsApp in educational settings is its ability to facilitate synchronous and asynchronous learning, allowing real-time communication, sending and receiving text messages, images, audio messages, videos, documents, user locations, contacts, and the creation of groups where doubts can be resolved, materials can be shared, and activities can be coordinated quickly and efficiently (Suárez-Lantarón et al. 2022; Nuuyoma et al. 2020). Furthermore, unlike other more formal educational management platforms, WhatsApp does not require additional learning to use, as most students are already familiar with the application in their daily lives. This significantly reduces technological barriers, promoting greater participation and accessibility (Lee et al. 2023; Casillas-Martín et al. 2021).
Previous research has shown that WhatsApp not only improves communication between students and teachers, but also enhances collaborative learning by fostering more fluid and constant interaction outside the traditional classroom environment. Students can share ideas, reflections, and study materials in a more informal and relaxed environment, contributing to greater participation and the development of self-management skills in learning (Nasution and Munandar 2023; Suárez-Lantarón et al. 2022; Palacios-Rodríguez et al. 2025). This type of interaction, which blurs traditional hierarchical barriers between teacher and student, is crucial in distance education environments, where students may experience isolation or lack of feedback (Jaramillo-Serrano et al. 2023; Komarudin and Suherman 2024).
On the other hand, it has also been pointed out that the adoption of WhatsApp in educational settings may vary depending on sociodemographic factors. Although some studies suggest that younger students are more receptive to the use of mobile technologies, others indicate that WhatsApp, being such a widely used platform, has managed to overcome generational gaps, being positively valued by students of different ages (Yu and Motlhabane 2022; García Ávila and Camacho 2023). Regarding gender differences, it has been documented that women tend to participate more actively in virtual collaborative environments, which could be reflected in a higher appreciation of the use of WhatsApp in the educational context (Casillas-Martín et al. 2021).
Another important feature of WhatsApp is its ability to create working groups, which has proven to be particularly effective in fostering closer and more collaborative interaction between students (Morsidi et al. 2021). In this sense, WhatsApp not only acts as an instant messaging platform but also becomes a virtual space with varying numbers of participants for the development of collective learning, aligned with the principles of connectivism expressed by Siemens (2005), which emphasize that learning is no longer an individual process but occurs through connection and networked collaboration with other people and sources of information.
However, using WhatsApp is not without its challenges. Despite its numerous advantages, some studies have pointed out that its informal nature can lead to distractions or blur the boundaries between academic and personal life, affecting students’ concentration and ability to maintain effective time management (Suárez-Lantarón et al. 2022). Furthermore, unlike educational management platforms such as Moodle or Canvas, WhatsApp is not specifically designed for the structured organization of academic content, which may limit its use in more complex activities or in the delivery of large-scale assignments (Morsidi et al. 2021).
Given the growing importance of WhatsApp in the educational field and the need to explore its impact in distance education contexts, it is crucial to conduct studies that analyze how this platform is perceived by students and what factors influence its effectiveness as an academic support tool in distance studies. WhatsApp’s accessibility, combined with its ability to foster collaboration, interaction, and self-directed learning, positions it as a tool that can significantly contribute to improving teaching and learning processes in virtual environments (Lee et al. 2023; Venturino and Hsu 2022).
Given the above, this study seeks to fill a gap in the literature by analyzing not only the general impact of WhatsApp on academic interaction, but also how various contextual and sociodemographic variables can influence the perception and effectiveness of this tool in distance education environments. Within this framework, the present research aims to answer the following questions:
  • What are the dimensions of WhatsApp’s use as an academic support tool that are most valued by students, and what factors influence this assessment?
  • How do students perceive the use of WhatsApp as an academic support tool in distance education depending on the subject?
  • Are there significant differences in the assessment of the use of WhatsApp as an academic tool based on the variables of the sex and age of the participants?
  • How does the size of the WhatsApp group influence student perceptions of WhatsApp’s use in the academic context?
  • How are students grouped according to their perceptions of WhatsApp usage, and what are the key characteristics of each group identified through clustering analysis?

2. Materials and Methods

2.1. Type of Study

This study is framed within a quantitative approach, since we have used the collection of numerical data through a structured questionnaire, followed by a statistical analysis. This quantitative approach is essential when seeking to establish relationships between variables and generalize the results obtained to a broader population (Guerrero Támara 2022). From the point of view of the type of research, we can classify it as descriptive and correlational. Descriptive research has allowed us to explore and detail the students’ perceptions, while the correlational nature is justified by the relationship that has been studied between perceptions and various sociodemographic variables (Hernández-Sampieri et al. 2018). On the other hand, the non-experimental design used is ideal for this type of study, since variables were not manipulated, and it is a cross-sectional study, which is suitable for analyzing phenomena in their natural state without direct intervention (Salkind 2017).

2.2. Participants

This study was conducted with 127 out of the 140 students enrolled in the courses Prácticum 3 (Environmental Management program) and Knowledge Management (Business Administration program) in the distance learning modality at Universidad Técnica Particular de Loja—Ecuador. Prácticum 3 is taught in the fourth year of the program, while Knowledge Management is taken in the third year. The sample included data from three academic terms, Oct21–Feb22 (A), Apr22–Aug22 (B), and Oct22–Feb23 (C), with an even gender distribution of men (52%) and women (48%) (Table 1).
Since one of this study’s research questions examines the influence of WhatsApp group size on student perception (Question 2), different configurations were implemented in each academic term:
  • Cycle A: Students were divided into small groups, with sizes ranging from 7 to 14 participants (Groups 1 to 5). Group 1 corresponded to the Knowledge Management course.
  • Cycle B: A single large WhatsApp group was formed, including all students from the term (Group 6).
  • Cycle C: The strategy from Cycle B was repeated, grouping all students into a single WhatsApp group (Group 7, Table 1).
All participants provided written consent to take part in this study, under the condition that they had access to a mobile phone with WhatsApp. Students who chose not to participate accounted for 9.3%. Since participation was free and voluntary, no inquiry was made regarding their decision.

2.3. Use of WhatsApp and Research Instrument

During the first week of classes, participants were distributed in different WhatsApp groups, with the largest being Groups 6 and 7, with 27.56% (n = 35) and 26.77% (n = 34) of students, respectively, while the smallest groups, such as Group 2, had only 5.51% of students (n = 7). This distribution allowed for a variety in the experience of using WhatsApp as an academic support tool, which adds richness to the data obtained in this study. In each group, three types of general activities were carried out: a) resolving concerns, b) sharing information, and c) sending and receiving announcements about activity dates. WhatsApp was used at a time agreed upon with the students and the credibility of the information shared by the students was analyzed. Credibility refers to the extent to which the teacher verifies the reproduction of the information reflected in the opinions of the participants (Patton 2015).
At the end of the academic period, the educational experience was evaluated online using a survey, following the proposal of Klein et al. (2018). The questionnaire consisted of three sections: (a) sociodemographic data, which specifically included the age and sex of the participants and the subject in which they were enrolled, (b) previous experience with WhatsApp (four questions), and (c) student perception (Table 2). The latter included 21 items divided into 4 dimensions, evaluating 1. WhatsApp management, 2. communication and interaction, 3. learning, and 4. relevance of use and benefits obtained during the educational experience (Nuuyoma et al. 2020).
The responses were scored on a five-point Likert scale (from totally disagree to totally agree). The reliability of the instrument was measured using Cronbach ’s Alpha coefficient for each question (Table 2), generally obtaining a high internal consistency of 0.89.

2.4. Data Analysis

The data analysis was conducted in multiple stages, combining descriptive statistical methods, inferential tests, and multivariate analysis to evaluate students’ perceptions of using WhatsApp in education.
First, a descriptive analysis of the survey responses was performed, calculating the mean (M) and standard deviation (SD) for each perception-related question, grouped into four main dimensions: WhatsApp management, communication and interaction, WhatsApp as academic support, and relevance of use and benefits.
The overall mean perception score was calculated to provide a general assessment of WhatsApp as an educational tool. Additionally, differences in students’ participation across different types of WhatsApp groups (family, friends, study peers, and teachers) were examined using mean comparison tests.
To identify significant differences between sociodemographic groups and perception dimensions, non-parametric tests were applied due to the ordinal nature of the data and the non-normal distribution. The Mann–Whitney U test was used to assess differences between two groups (gender and academic program) in each perception dimension, with a significance level set at p < 0.05 to determine statistically significant differences. Additionally, the Kruskal–Wallis test was employed to analyze differences in WhatsApp perception across groups, particularly in the “WhatsApp group” variable, evaluating whether the organization of students into different groups affected their perception of the tool’s usefulness. Chi-square values (X²) and p-values were reported for each test.
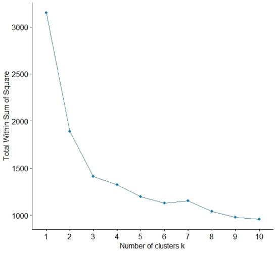
Furthermore, a clustering analysis was conducted using the K-means clustering method to identify perception patterns among students. Before applying the clustering algorithm, perception variables were standardized to avoid bias in group assignment. The elbow method was used to determine the optimal number of clusters, selecting three groups based on the explained variance within each cluster. Subsequently, the characteristics of each cluster were analyzed based on their average values in the perception dimensions, identifying students with critical, moderate, and highly positive perceptions of WhatsApp in education Figure 1.
Finally, to evaluate students’ preference for WhatsApp compared to other academic communication methods, a mean comparison analysis was conducted using the Kruskal–Wallis test, considering a significance level of p < 0.05. Chi-square (X²) values and degrees of freedom (df) were calculated to determine differences between WhatsApp, email, and tutoring sessions.
All statistical analyses were performed R software (version 4.1.1), using the stats, ggplot2, and cluster libraries for data processing and visualization.

3. Results

Analysis of the pre-diagnosis of students’ use and participation in WhatsApp groups revealed that most have frequently participated in groups with friends (M = 4.23) and family (M = 3.95), followed by groups with classmates, while interaction with teachers is less common. The statistical difference between the groups was evident, with an alpha significance level less than 0.05 (Figure 2).
The descriptive results show that the students’ overall assessment of the use of WhatsApp is highly positive, with a general mean of 4.48 out of 5 points evaluated and a standard deviation (SD) of 0.64, which represents a consistent evaluation among the participants. Regarding Dimension 1, related to the management of the WhatsApp application, the students consider that it is relatively easy to use, with a mean of 4.58 (SD = 0.89), highlighting the ease of respecting interaction times (M = 4.78) as the most valued aspect. However, respect for participation rules obtained the lowest rating (M = 4.21. SD = 1.09) among all the issues analyzed, although the general average of the dimension was positive (Figure 3).
Regarding “communication and interaction”, indicated in Dimension 2, the general mean was positive (M = 4.47, SD = 0.73) (Figure 2), with similar values between most of the questions evaluated in the dimension, with question D2P8 (ease of sharing ideas) being one of the best-rated aspects (M = 4.54. SD = 0.74). Dimension 3, WhatsApp as an academic support, reached a general mean of 4.48 (SD = 0.74), a slightly higher value than the previous dimensions; in this case, the students consider that the use of WhatsApp is a useful resource to support their learning. The information transmitted in the group allowed them to remember the academic activities to be carried out (PD3P10), with this activity being the highest valued (M = 4.68), although the ability to exchange knowledge (D3P13) was valued slightly lower (M = 4.31).
In contrast, Dimension 4, which assessed the relevance of the application’s use and overall benefit, was the highest rated among the dimensions (Figure 2), with a mean of 4.55 (SD = 0.65). Students view WhatsApp as an innovative (D4P18: M = 4.53) and practical resource for learning (D4P19), mainly highlighting the benefit of integrating WhatsApp in general in education (D5p16: M = 4.65 ± 0.70) and the recommendation of its use for other subjects (M = 4.66).
Likewise, the results of the Mann–Whitney and Kruskal–Wallis tests revealed significant differences in students’ perceptions of WhatsApp use based on two dimensions, with values below their significance value (p < 0.05). The subject that students are enrolled in significantly influences their perception of WhatsApp management (Dimension 1) and its general use (Dimension 4) (p < 0.018 for Dimension 1 and p < 0.027 for Dimension 4), with those in Knowledge Management being those who rated the dimensions best. Regarding sex, a significant difference was determined in Dimension 1 (W = 1591.5, p- value = 0.036), where women obtained a higher rating (M = 5.00) (Figure 4), unlike men, whose average value reached 4.67.
The Kruskal–Wallis test showed significant differences in Dimension 1 between the different WhatsApp groups (X²: 13.196, p-value = 0.03). Group 1 (M = 5) and Group 5 (M = 5) had the highest scores, while Group 3 (M = 4.37) and Group 4 (M = 4.62) showed lower scores. It is important to highlight that the general average of the groups where there were fewer participants had a higher average score (4.75) than the groups with a greater number of students (M = 4.63), suggesting that the number of participants in the groups affects the perception of the usefulness of the tool for communication.
K-means clustering analysis revealed three distinct clusters of students based on their perceptions of WhatsApp use. Each cluster presented unique characteristics that reflect important differences in how students rate the platform’s usefulness and effectiveness for communication and its general application in the academic environment. Cluster 1 (Figure 5, red color) was characterized by containing students with the least favorable perceptions about WhatsApp use. The average scores on the variables related to usefulness for communication with peers and group work were 2.7 and 2.6, respectively, indicating that these students do not perceive WhatsApp as a particularly useful tool in the educational context. The total means of perception in the different dimensions ranged from 2.5 to 3.1; this group of students might have certain reservations about using the platform in collaborative or educational activities. These students may prefer other methods or tools to carry out such activities.
In contrast, Cluster 2 grouped students with moderately positive perceptions about the use of WhatsApp. Scores on key variables such as WhatsApp’s usefulness for group work ranged between 3.9 and 4.2, indicating a general acceptance of the platform, albeit with some reservations. The total average scores for this cluster were higher than in Cluster 1, with values between 4.0 and 4.3 in the different dimensions evaluated. Here, students consider WhatsApp to be useful in the educational context but are likely to perceive some limitations in its effectiveness or in its capacity to facilitate collaborative work. Cluster 3, on the other hand, included students with the most positive perceptions. Average scores on all variables exceeded 4.8, indicating that these students see WhatsApp as a highly effective tool for communication and group work. Total perception scores on all dimensions were consistently high, with values close to 4.9. These students are likely to use WhatsApp regularly and find that the platform fully meets their academic communication and collaboration needs. Additionally, it was observed that Cluster 2 (green) and Cluster 3 (blue) appear more compact, indicating that students in these clusters have more similar perceptions to each other, which supports the results found.
Finally, most students (n = 83) prefer using WhatsApp (Figure 6) as their main means of communication with teachers, showing significant differences with other academic means such as email or tutoring (X = 111.77, gl = 3, p-value = 0.001).

4. Discussion

Our data analysis shows that students positively value the use of WhatsApp in all dimensions evaluated, with values above 4 points. These results are aligned with studies indicating that WhatsApp is a useful platform to improve collaboration and team effectiveness in higher education contexts, especially in environments where physical interaction is limited (Lee et al. 2023; Suárez-Lantarón et al. 2021). Indeed, studies such as Hadiyana Fahrurrozi and Fakhri (2024)’s highlight that WhatsApp promotes the creation of collaborative virtual spaces that improve interaction and feedback between students and their teachers, a crucial feature in distance education.

4.1. Key Dimensiones of WhatsApp as an Academic Support Tool

In the context of the research question which dimensions of WhatsApp use are most valued by students? it is highlighted that students rated Dimension 4 most favorably, which assesses the relevance and overall benefit of using WhatsApp as an academic support. This reinforces the idea that WhatsApp not only facilitates synchronous and asynchronous communication (Misaghi et al. 2021), but also integrates students and encourages active participation in subject-related discussions, which can improve their academic experience, especially in distance education environments. Venturino and Hsu (2022) mention that, since WhatsApp is an informal space where students feel more comfortable asking questions and sharing information, it allows for greater communication, which could be a key factor in students highlighting WhatsApp as an academic support.
The fact that students consider WhatsApp as an innovative learning resource may also be related to the previous use of the platform in non-academic contexts, such as communication with friends or family. This familiarity allows for a smooth transition to academic use of the tool, and its ability to facilitate practical interactions with both peers and teachers significantly improves students’ perception of its usefulness in learning (Jaramillo-Serrano et al. 2023). This use of WhatsApp as an innovative resource highlights its potential not only for immediacy in communication, but also for addressing isolation issues typical in distance modalities, a key contribution little explored in previous studies.

4.2. WhatsApp Use Perception by Subject

Considering the second study question related to the use of WhatsApp as an academic support tool in distance education based on subject, in particular, students enrolled in the Knowledge Management subject reported a higher assessment compared to those taking Practicum 3. This may be due to the more theoretical nature of the first subject and the smaller number of students, which facilitated the use of WhatsApp for discussion and the exchange of theoretical information (Suárez-Lantarón et al. 2022; Lee et al. 2023). Therefore, our results are in line with previous research indicating that the perception regarding the use of an educational tool may vary depending on the subject context and the types of activities required (Nasution and Munandar 2023).

4.3. Differences in Perception Based on Sex and Age

Regarding whether there are significant differences in the assessment of the use of WhatsApp as an academic tool based on the variables of sex and age of the participants, the results indicate significant differences based on the sex of the participants. Women tended to rate the use of WhatsApp as an educational tool more positively, especially in the dimension of management and academic support, which is related to previous studies that have found that women tend to participate more actively in online collaborative environments (Yu and Motlhabane 2022; Suárez-Lantarón et al. 2022). However, differences in skills and attitudes towards the use of other technologies may vary, with some studies indicating that men tend to show more positive attitudes and a greater willingness to use technologies compared to women (Menéndez Álvarez-Dardet et al. 2020).
On the other hand, no significant differences were found in terms of age (although there is a trend that will be discussed in the final section). This finding is interesting, since previous studies have reported that age can directly influence the way students interact with educational technologies, especially in distance education contexts. Older students tend to have more difficulties or are less confident in using educational technologies compared to younger students. For example, Selinger and Gröstenberger (2023) found that adult students have less confidence in using technological equipment for learning, while Menéndez Álvarez-Dardet et al. (2020) observed that older students require more time to adapt to educational technologies, although their confidence improves with experience using technological tools (Douglas et al. 2020). The fact that this study found no significant differences based on age could be related to the widely accessible and familiar nature of WhatsApp, which, unlike more specialized technologies, is regularly used by people of all ages.

4.4. Infuence of WhatsApp Group Size on Perception

The question how does WhatsApp group size influence student perception of WhatsApp usage in the academic context? shows a relevant finding. Smaller WhatsApp groups (10–14 students) scored higher on average compared to larger groups (30–35 students). This suggests that group size influences the perception of the tool’s effectiveness for academic communication and collaboration. Students in smaller groups perceive greater proximity, fluidity, and dynamism in interaction, which facilitates active participation, collaboration, and quick resolution of doubts (Madge et al. 2019; Suárez-Lantarón et al. 2022; Verma and Yuvaraj 2023). This question is consistent with studies indicating that smaller groups promote greater interaction and more fluid communication, resulting in a richer academic experience (Yeboah and Nyagorme 2022).

4.5. Student Clustering Based on WhastsApp Perception

The results for the question how are students grouped according to their perceptions of WhatsApp usage, and what are the key characteristics of each group identified through clustering analysis? allowed us to identify three distinct groups of students regarding WhatsApp usage. These groupings indicate that although there is a general acceptance of the technology, there are differences between students in terms of how they perceive its usefulness and effectiveness, which is reflected in their acceptance, enthusiasm, or skepticism towards the use of this technology in distance education.
Likewise, the results obtained suggest the need to design different teaching strategies depending on the group of students. Students in Cluster 1 could benefit from a different pedagogical approach, perhaps using WhatsApp in a more specific or complementary way, while students in Clusters 2 and 3 could integrate it more easily, the latter where students are younger. Likewise, these results show that familiarity with digital technologies and previous skills for the use of instant messaging applications are factors that influence the positive assessment of the use of WhatsApp in the educational context (Suárez-Lantarón et al. 2022).
Finally, most students prefer WhatsApp as their main means of communication with teachers, over tools such as the academic platform Canvas, face-to-face tutoring, and email. This finding reflects a clear trend towards the use of instant messaging in educational environments, especially in the context of distance education, where maintaining close and agile interaction is essential. As Misaghi et al. (2021) point out, WhatsApp, being a technology that allows both synchronous and asynchronous connection, and that facilitates mobile use, offers real-time communication, which allows queries to be resolved quickly and encourages continuous interaction.
WhatsApp’s ability to combine immediacy and ease of use helps distance learning students perceive a closer connection with their teachers, removing the formal barriers that often characterize other means of academic communication, such as email or institutional educational platforms. This immediacy, coupled with its accessibility and familiarity, becomes particularly relevant in distance education, where constant and accessible communication is critical to supporting learning continuity, maintaining student motivation, and encouraging active participation.

5. Conclusions

The results of this study underline the relevance of WhatsApp as an innovative, accessible, and effective tool to support distance education, providing a practical and flexible medium that favors both interaction and collaborative learning. Students positively valued its use, with variations in perception depending on variables such as gender, age, group size, and subject studied, which is consistent with previous research that has highlighted the advantages of WhatsApp in higher education. These findings reinforce the strength of WhatsApp as a viable platform for academic communication in non-face-to-face environments and suggest a solid foundation for its continued implementation in such contexts.
Students’ preference for using WhatsApp as their main means of communication with teachers is particularly noteworthy, significantly outperforming other means such as email, face-to-face tutoring, and institutional learning platforms. This choice reflects the need for tools that allow for quick and accessible interactions and constant communication, critical factors for success in distance education.
The multidimensional analysis conducted in this study on the use of WhatsApp, covering not only communication and interaction but also its impact on academic support and its effectiveness based on group size, has allowed us to obtain a more detailed and nuanced view of its effectiveness in distance learning. These results suggest the importance of adjusting the use of WhatsApp and other digital tools according to the specific characteristics of students and the educational context in which they are implemented.

6. Limitations of the Study and Future Perspectives

Although this research covered distance education students distributed nationally, it was conducted within the context of a single country. This might limit the generalizability of the results to other universities or regions that may have different cultural and technological contexts. Nevertheless, this study makes a significant contribution to the field of distance education and the use of communication technologies in learning, offering a valuable framework for future research.
Furthermore, this research did not examine the long-term effects of using WhatsApp in teaching and learning. Future studies could focus on evaluating the impact of this tool on academic performance over a longer period, as well as on student outcomes in various subjects. It would also be relevant to explore the effect of different moderation and group dynamics strategies on WhatsApp, since the role of the teacher could be key to maximizing the potential of this tool in promoting collaborative learning.
Given the constant advancement of communication technologies, future research is encouraged to compare the use of WhatsApp with other instant messaging platforms or social networks in educational settings. Evaluating whether these alternatives offer additional advantages for collaborative learning and academic support in distance education could provide valuable insights. These research directions could shed light on the role of instant messaging technologies in education, helping to optimize their use to enhance learning quality in increasingly flexible and digital environments.
However, despite the widespread use of mobile phones among the Ecuadorian population, it is important to consider that not all students have access to a stable internet connection or mobile data, which may prevent them from maintaining constant communication with their peers via WhatsApp. It is essential to remember that distance education includes students from all geographic sectors, and this digital divide can impact their internet access and participation.
Finally, although WhatsApp has proven to be an effective tool for improving communication in higher education in this study, its use in academic contexts must consider security and privacy implications. Since WhatsApp is not an official or institutional means of communication for student interaction, it is crucial to understand the challenges associated with data protection and responsible use of the platform in distance education settings. A key aspect is the security measures needed to ensure confidentiality and privacy; while WhatsApp implements end-to-end encryption, this does not guarantee absolute security, as vulnerabilities may arise if the user’s account or device is compromised. Additionally, privacy concerns and compliance with the General Data Protection Regulation (GDPR) should be considered, as WhatsApp does not fully adhere to European data protection regulations, which may pose challenges for institutions requiring strict privacy standards. Another challenge is the difficulty for universities to monitor and audit communication records. Unlike institutional platforms such as Moodle or Canvas, WhatsApp does not allow formal tracking of interactions between teachers and students, which can be problematic in cases of academic disputes or investigations related to the misuse of the platform. Furthermore, data retention and access to information become a concern when a teacher leaves a WhatsApp group, as they lose access to previous messages, potentially affecting the continuity of shared information. There are also risks associated with sharing personal information, as WhatsApp users must share their phone numbers, exposing personal details that may be undesirable in educational environments. Lastly, the platform does not effectively separate personal and academic communication, which can lead to confusion and blurred boundaries between private and professional interactions.

7. Study Implications

The findings of this study have significant implications for distance education and other flexible learning modalities, such as online and hybrid education.
First, the high valuation of WhatsApp as an academic support tool suggests that higher education institutions can leverage its accessibility and familiarity to enhance communication and interaction between students and teachers. This is especially relevant in contexts where Learning Management Systems (LMSs) may be perceived as rigid or less intuitive for students.
From a pedagogical perspective, this study demonstrates that WhatsApp facilitates both synchronous and asynchronous communication, allowing for quick responses to inquiries, easy sharing of materials, and the reinforcement of collaborative learning. In this sense, integrating WhatsApp into teaching strategies can contribute to improving student motivation and the sense of support, which are key factors in student retention in distance education. Additionally, students’ preference for WhatsApp over other academic communication methods, such as email and tutoring sessions, highlights the need to rethink institutional communication channels and adapt them to students’ digital habits.
On the other hand, the results indicating differences in the perception of WhatsApp use depending on group size can help shape strategies to optimize online learning. The trend toward better perception in smaller groups suggests that personalizing communication spaces and creating smaller learning communities could enhance the academic experience in virtual environments.

Author Contributions

Conceptualization, J.M.R.-S. and A.P.-R.; methodology, J.M.R.-S.; software, J.M.R.-S.; validation, J.M.R.-S., S.E.-T. and A.P.-R.; formal analysis, J.M.R.-S.; investigation, J.M.R.-S.; resources, J.M.R.-S.; data curation, J.M.R.-S.; writing—original draft preparation, J.M.R.-S.; writing—review and editing, A.P.-R.; visualization, J.M.R.-S.; supervision, A.P.-R.; project administration, J.M.R.-S.; funding acquisition, A.P.-R. All authors have read and agreed to the published version of the manuscript.

Funding

This research received no external funding.

Institutional Review Board Statement

In Article 5, Section 1 of Comité de Ética de la Investigación de la Universidad de Sevilla (CEIUS) it states that it only evaluates biomedical research. Therefore, this research does not require ethical statement since it is data from an Educational Sciences project, where the data has been anonymized and informed consent is obtained.

Informed Consent Statement

Informed consent was obtained from all subjects involved in this study.

Data Availability Statement

The data supporting the conclusions of this article can be requested from the authors.

Acknowledgments

To all the students that participated in this study.

Conflicts of Interest

The authors declare no conflicts of interest.

References

  1. Adnan, M. Muhammad, and Kainat Anwar. 2020. Online learning amid the COVID-19 pandemic: Students perspectives. Journal of Pedagogical Sociology and Psychology 1: 1309. [Google Scholar] [CrossRef]
  2. Altun, Taner, Salih Akyıldız, Ahmet Gülay, and Caner Özdemir. 2021. Investigating Education Faculty Students’ Views about Asynchronous Distance Education Practices During Covid-19 Isolation Period. Psycho-Educational Research Reviews 10: 34–45. [Google Scholar]
  3. Bozavlı, Ebubekir. 2021. Is foreign language teaching possible without school? Distance learning experiences of foreign language students at Ataturk university during the COVID-19 pandemic. Arab World English Journal (AWEJ) 12: 3–18. [Google Scholar] [CrossRef]
  4. Casillas-Martín, Sergio, María Cabezas-González, and Ana García-Valcárcel-Muñoz-Repiso. 2021. Influencia del uso de WhatsApp y correo electrónico en la competencia digital en el área de comunicación. Estudios Sobre Educación 41: 227–49. [Google Scholar] [CrossRef]
  5. Douglas, Helen E., Jenny Scevak, Mark Rubin, Stephen Macqueen, Erica Southgate, and John T. E. Richardson. 2020. Older women, deeper learning: Age and gender interact to predict learning approach and academic achievement at university. Frontiers in Education 5: 158. [Google Scholar] [CrossRef]
  6. García, Aretio. 2021. COVID-19 y educación a distancia digital: Preconfinamiento, confinamiento y posconfinamiento. RIED-Revista Iberoamericana de Educación a Distancia 24: 9–32. [Google Scholar] [CrossRef]
  7. García Ávila, Sandra, and Edelmira Ochoa Camacho. 2023. El uso del WhatsApp en la formación de profesores. Revista Docencia Universitaria 24: 37–43. [Google Scholar] [CrossRef]
  8. Guerrero Támara, Vidal. 2022. Enfoque cuantitativo: Taxonomía desde el nivel de profundidad de la búsqueda del conocimiento. Llalliq 2: 13–27. [Google Scholar] [CrossRef]
  9. Hadiyana Fahrurrozi, Enriq, and Mahn Fakhri. 2024. Innovative diffusion and social penetration in education: WhatsApp as a medium of communication for thesis guidance between lecturers and students. In Religion, Education, Science and Technology Towards a More Inclusive and Sustainable Future, 1st ed. Edited by Maila D. H. Rahiem. London: Routledge, pp. 133–38. [Google Scholar] [CrossRef]
  10. Hernández-Sampieri, Roberto, Carlos Fernández, and Pilar Baptista. 2018. Metodología de la investigación, 6th ed. México: McGraw-Hill. [Google Scholar]
  11. Jaramillo-Serrano, Fern, August Sánchez-Rodríguez, and Ángel Hernando-Gómez. 2023. Mensajería instantánea para humanizar el aprendizaje en línea: Lecciones aprendidas con el uso de WhatsApp en un contexto de educación superior. Campus Virtuales 12: 181–91. [Google Scholar] [CrossRef]
  12. Klein, Amarolinda Zanela, Juliana V. Mattiello Mattiello da Silva, José C. Freitas Junior, Jorge Luis Victória Barbosa, and Lucas Baldasso. 2018. The educational affordances of Mobile Instant Messaging (MIM): Results of Whatsapp® used in higher education. International Journal of Distance Education Technologies 16: 51–64. [Google Scholar] [CrossRef]
  13. Komarudin, Karl, and Sue Suherman. 2024. Evaluación del conocimiento tecnológico pedagógico del contenido (TPACK) entre los profesores en formación: Modelo de medición Rasch [An Assessment of Technological Pedagogical Content Knowledge (TPACK) among Pre-service Teachers: A Rasch Model Measurement]. Pixel-Bit. Revista De Medios Y Educación 71: 59–82. [Google Scholar] [CrossRef]
  14. Lee, Cheng Ean, Huei Huei Chern, and Dzafran Adris Azmir. 2023. WhatsApp Use in a Higher Education Learning Environment: Perspective of Students of a Malaysian Private University on Academic Performance and Team Effectiveness. Education Sciences 13: 244. [Google Scholar] [CrossRef]
  15. Madge, Clare, Markus Roos Breines, Mwazvita Tapiwa Beatrice Dalu, Ashley Gunter, Jenna Mittelmeier, Paul Prinsloo, and Parvati Raghuram. 2019. WhatsApp use among African international distance education (IDE) students: Transferring, translating and transforming educational experiences. Learning, Media and Technology 44: 267–82. [Google Scholar] [CrossRef]
  16. Masalimova, Alfiya, Lyudmila S. Chikileva, Maria A. Khvatova, Elena P. Zvyagintseva, Valentina V. Stepanova, and Mariya V. Melnik. 2022. Distance Learning in Higher Education During Covid-19. Frontiers in Education 7: 822958. [Google Scholar] [CrossRef]
  17. Menéndez Álvarez-Dardet, Susana, Bárbara Lorence Lara, and Javier Pérez-Padilla. 2020. Older adults and ICT adoption: Analysis of the use and attitudes toward computers in elderly Spanish people. Computers in Human Behavior 110: 106377. [Google Scholar] [CrossRef]
  18. Misaghi, Mohammad, Evelise Tonioti, Eduardo Concepcion Batiz, and Antonio José Dos Santos. 2021. WhatsApp as a Tool for Integration and Motivation in Distance Education. Social Networking 10: 29–43. [Google Scholar] [CrossRef]
  19. Morsidi, Suraya, Khairul Anuar Abdul Rahman, Zakiah Mohamad Ashari, Nurul Farhana Jumaat, and Abdul Halim Abdullah. 2021. WhatsApp and Its Potential to Develop Communication Skills among University Students. International Journal of Interactive Mobile Technologies (iJIM) 15: 57–71. [Google Scholar] [CrossRef]
  20. Nasution, Awal Kurnia Putra, and Imam Munandar. 2023. Trends, Opportunities, and Challenges of Using WhatsApp in Learning: A Literature Review. Jurnal Simki Pedagogia 6: 531–44. [Google Scholar] [CrossRef]
  21. Nenakhova, Ekaterina. 2021. Distance learning practices on the example of second language learning during coronavirus epidemic in Russia. International Journal of Instruction 14: 807–26. [Google Scholar] [CrossRef]
  22. Nkambule, Bongani I. 2023. WhatsApp Messenger as a supplementary tool for school curriculum knowledge transfer and acquisition during COVID-19 stricter lockdown: Educators’ perceptions. Research in Social Sciences and Technology 8: 37–55. [Google Scholar] [CrossRef]
  23. Nuuyoma, Vistolina, Nkosenhle Jermaine Mhlope, and Leonard Chihururu. 2020. The use of WhatsApp as an educational communication tool in higher education: Experiences of nursing students in Kavango East, Namibia. International Journal of Higher Education 9: 105–14. [Google Scholar] [CrossRef]
  24. Östlund, Berit. 2009. Women and men in computer-mediated distance learning– an exploratory study on conditions for distance learning based on male and female students’ own descriptions. Nordic Journal of Digital Literacy 4: 48–64. [Google Scholar] [CrossRef]
  25. Palacios-Rodríguez, Antonio, Carmen Llorente-Cejudo, Margarida Lucas, and Pedró Bem-haja. 2025. Macroevaluación de la competencia digital docente. Estudio DigCompEdu en España y Portugal. RIED-Revista Iberoamericana de Educación a Distancia 28: 177–96. [Google Scholar] [CrossRef]
  26. Patton, Michael Q. 2015. Qualitative research and evaluation methods: Integrating theory and practice, 4th ed. Thousand Oaks: Sage Publications. [Google Scholar]
  27. Ramírez-Montoya, Maria Soledad, Isabeñ Alvarez-Icaza, Joe Weber, and Francisco Casillas-Muñoz. 2024. Tecnologías abiertas e inclusivas en la complejidad del futuro de la educación: Diseño de modelo basado en investigación [Open and Inclusive Technologies in the Complexity of the Future of Education: Designing a Research-Based Model]. Pixel-Bit. Revista De Medios Y Educación 71: 123–39. [Google Scholar] [CrossRef]
  28. Romero-Saritama, José Miguel, and Janneth Simaluiza. 2022. Grupos de Facebook como herramienta de apoyo a la comunicación y enseñanza en la Educación Superior a distancia. In Nuevas metodologías, espacios y estilos de enseñanza-aprendizaje: Prácticas docentes e innovación educativa. Edited by Sue Carrascal, Daniel Melaré and Diego Gallego. Madrid: Universitas, S.A, pp. 1–10. [Google Scholar]
  29. Salkind, Neil J. 2017. Exploring Research, 9th ed. Kansas City: Pearson Education. [Google Scholar]
  30. Selinger, Adolf, and Eva Gröstenberger. 2023. The effect of gender and age on computer self-efficacy, computer anxiety and perceived enjoyment among Austrian secondary school teachers. MAP Education and Humanities 4: 1–9. [Google Scholar] [CrossRef]
  31. Siemens, George. 2005. Connectivism: A learning theory for the digital age. International Journal of Instructional Technology & Distance Learning 2: 3–10. [Google Scholar]
  32. Slakmon, Benzi. 2024. WhatsApp for pedagogy: Initiatives, instructional practices and the nature of knowledge in Israel’s secondary education. Technology, Pedagogy and Education 33: 647–62. [Google Scholar] [CrossRef]
  33. Suárez-Lantarón, Belén, Irina Castillo-Reche, and Ana M. López Medialdea. 2021. Tutoría académica universitaria apoyada mediante WhatsApp: Conocer sus ventajas y salvar sus desventajas. Revista Electrónica Interuniversitaria de Formación del Profesorado 24: 189–203. [Google Scholar] [CrossRef]
  34. Suárez-Lantarón, Belén, Yolanda Deocano-Ruíz, Nuria García-Perales, and Irina Sherezade Castillo-Reche. 2022. The educational use of WhatsApp. Sustainability 14: 10510. [Google Scholar] [CrossRef]
  35. Venturino, Marielle, and Yu-C. Hsu. 2022. Using WhatsApp to Enhance International Distance Education at the University of South Africa. TechTrends 66: 401–4. [Google Scholar] [CrossRef]
  36. Verma, Manoj K., and Mayank Yuvaraj. 2023. What’s up in WhatsApp research: A comprehensive analysis of 12,947 papers indexed in Dimensions.ai. Library Hi Tech. [Google Scholar] [CrossRef]
  37. Wiitavaara, Birgitta, and Linda Widar. 2025. Challenges and opportunities related to online studies in higher education. Education and Information Technologies 21: 1–26. [Google Scholar] [CrossRef]
  38. Yeboah, Douglas, and Paul Nyagorme. 2022. Students’ acceptance of WhatsApp as teaching and learning tool in distance higher education in sub-Saharan Africa. Cogent Education 9. [Google Scholar] [CrossRef]
  39. Yu, Ke, and Monicah G. Motlhabane. 2022. WhatsApp’s potential to broaden online teaching and learning: Perceptions of undergraduate students from one South African university. Journal of Information Technology Education: Research 21: 547–69. [Google Scholar] [CrossRef] [PubMed]
Figure 1. Elbow method for cluster number identification.
Figure 1. Elbow method for cluster number identification.
Socsci 14 00183 g001
Figure 2. Previous participation of students in WhatsApp groups.
Figure 2. Previous participation of students in WhatsApp groups.
Socsci 14 00183 g002
Figure 3. Average values of the questions and dimensions used.
Figure 3. Average values of the questions and dimensions used.
Socsci 14 00183 g003
Figure 4. Boxplot of dimensions based on participants’ sex.
Figure 4. Boxplot of dimensions based on participants’ sex.
Socsci 14 00183 g004
Figure 5. Clustering using K-means clustering.
Figure 5. Clustering using K-means clustering.
Socsci 14 00183 g005
Figure 6. Students’ media preference. n = 127.
Figure 6. Students’ media preference. n = 127.
Socsci 14 00183 g006
Table 1. Sociodemographic data of the participants.
Table 1. Sociodemographic data of the participants.
VariableCategoryFrequency *%
SexMan6651.97
Women6148.03
Age19–2264.72
23–262418.9
27–303930.71
31–343124.41
35–38118.66
39–421612.6
Academic cycleOct21-Feb22 (A)5845.67
Apr22-Aug22 (B)3527.56
Oct22-Feb23 (C)3426.77
SubjectKnowledge Management107.87
Practicum 311792.13
WhatsApp Group Group 1 107.87
Group 275.51
Group 31411.02
Group 41411.02
Group 51310.24
Group 63527.56
Group 73426.77
* Frequency is the number of students who correspond to the assigned category.
Table 2. Dimensions and questions about the use of WhatsApp.
Table 2. Dimensions and questions about the use of WhatsApp.
DimensionCod. Item *ItemCronbach’s Alpha
WhatsApp ManagementD1P1It was easy to handle WhatsApp for the subject
D1P2The student identified all the WhatsApp functions
D1P3The rules for participation in the WhatsApp group were respected
D1P4The duration of interaction on WhatsApp was used properly
Communication and interaction D2P5The students were able to communicate easily with their classmates in the group
D2P6The students were able to communicate easily with their teacher in the group0.86
D2P7It was easy to make questions in the group
D2P8It was easy to share ideas in the group
D2P9It was easy to find interaction in the group
WhatsApp academic mediumD3P10The information in the group helped students to remember pendent activities
D3P11The information in the group helped students to complete tasks
D3P12The group helped students to solve their questions quickly0.77
D3P13It was easy to exchange knowledge in the group
D3P14The content in the group helped the learning process
D3P15The group was a proper resource for the development of the subject
Relevance of use and benefitsD4P16It is useful to integrate the use of WhatsApp into education
D4P17WhatsApp groups increase confidence between students and teachers
D4P18The group represents an innovative learning resource0.81
D4P19The interaction in the group was practical
D4P20I would recommend creating groups for other subjects
D4P21WhatsApp groups help students to become more integrated
* Cod. Item = identifies the dimension number and the item number, e.g., D1P1 = Dimension 1, Item 1.
Disclaimer/Publisher’s Note: The statements, opinions and data contained in all publications are solely those of the individual author(s) and contributor(s) and not of MDPI and/or the editor(s). MDPI and/or the editor(s) disclaim responsibility for any injury to people or property resulting from any ideas, methods, instructions or products referred to in the content.

Share and Cite

MDPI and ACS Style

Romero-Saritama, J.M.; Espinosa-Tapia, S.; Palacios-Rodríguez, A. Using WhatsApp in Distance Education: Assessing the Impact on Academic Interaction and Influencing Factors. Soc. Sci. 2025, 14, 183. https://doi.org/10.3390/socsci14030183

AMA Style

Romero-Saritama JM, Espinosa-Tapia S, Palacios-Rodríguez A. Using WhatsApp in Distance Education: Assessing the Impact on Academic Interaction and Influencing Factors. Social Sciences. 2025; 14(3):183. https://doi.org/10.3390/socsci14030183

Chicago/Turabian Style

Romero-Saritama, Jose Miguel, Sandra Espinosa-Tapia, and Antonio Palacios-Rodríguez. 2025. "Using WhatsApp in Distance Education: Assessing the Impact on Academic Interaction and Influencing Factors" Social Sciences 14, no. 3: 183. https://doi.org/10.3390/socsci14030183

APA Style

Romero-Saritama, J. M., Espinosa-Tapia, S., & Palacios-Rodríguez, A. (2025). Using WhatsApp in Distance Education: Assessing the Impact on Academic Interaction and Influencing Factors. Social Sciences, 14(3), 183. https://doi.org/10.3390/socsci14030183

Note that from the first issue of 2016, this journal uses article numbers instead of page numbers. See further details here.

Article Metrics

Back to TopTop