Assessment of the Effectiveness of the Parenting Intervention Programme “Intelligent Families”: A Randomised Controlled Study
Abstract
1. Introduction
1.1. Attachment Theory and Self-Determination Theory
1.2. Interventions to Promote Family Well-Being
2. Materials and Methods
2.1. Participants
2.2. Variables and Instruments
2.3. Procedure
2.4. Description of the Intervention
2.5. Analysis Strategies
3. Results
3.1. Efficacy of the Intervention Programme
3.2. Effect of the Modality and Duration of the Intervention
3.3. Reliable Change Index (RCI)
3.4. Taking Advantage of the Intervention
4. Discussion
Author Contributions
Funding
Institutional Review Board Statement
Informed Consent Statement
Data Availability Statement
Acknowledgments
Conflicts of Interest
References
- Aguirre-Dávila, Eduardo, Miguel Morales-Castillo, and Manuel Moreno-Vásquez. 2023. Parenting, autonomy and academic achievement in adolescence. Journal of Family Studies 29: 63–76. [Google Scholar] [CrossRef]
- Allen, Elizabeth S., Wendy S. Grolnick, and James V. Córdova. 2019. Evaluating a self-determination theory-based preventive parenting consultation: The Parent Check-In. Journal of Child and Family Studies 28: 732–43. [Google Scholar] [CrossRef]
- Barber, Brian K. 1996. Parental psychological control: Revisiting a neglected construct. Child Development 67: 3296–319. [Google Scholar] [CrossRef]
- Bernier, Annie, Célia Matte-Gagné, Marie-Ève Bélanger, and Natasha Whipple. 2014. Taking stock of two decades of attachment transmission gap: Broadening the assessment of maternal behavior. Child Development 85: 1852–65. [Google Scholar] [CrossRef] [PubMed]
- Bowlby, John. 1969. Attachment and Loss: Vol. 1. Attachment. London: The Hogarth Press and Institute of Psycho-Analysis. [Google Scholar] [CrossRef]
- Brennan, Patricia A., Robyne L. E. Brocque, and Constance Hammen. 2003. Maternal depression, parent-child relationships and resilient outcomes in adolescence. Journal of the American Academy of Chile and Adolescent Psychiatry 42: 1469–77. [Google Scholar] [CrossRef]
- Brenning, Katrijn, Bart Soenens, Caroline Braet, and Sarah Bal. 2012. The role of parenting and mother-adolescent attachment in the intergenerational similarity of internalizing symptoms. Journal of Youth and Adolescence 41: 802–16. [Google Scholar] [CrossRef]
- Casale, Silvia, Giulia Fioravanti, and Simon Ghinassi. 2023. Applying the Self-Determination Theory to explain the link between perceived parental overprotection and perfectionism dimensions. Personality and Individual Differences 204: 112044. [Google Scholar] [CrossRef]
- Cassidy, Jude, Susan S. Woodhouse, Laura J. Sherman, Brandi Stupica, and Carl W. Lejuez. 2011. Enhancing infant attachment security: An examination of treatment efficacy and differential susceptibility. Development and Psychopathology 23: 131–48. [Google Scholar] [CrossRef]
- Chen, Qiqi, Yuhong Zhu, and Wing Hong Chui. 2021. A meta-analysis on effects of parenting programs on bullying prevention. Trauma, Violence, and Abuse 22: 1209–20. [Google Scholar] [CrossRef]
- Costa, Sebastiano, Maria C. Gugliandolo, Nadia Barberis, Francesca Cuzzocrea, and Francesca Liga. 2019. Antecedents and consequences of parental psychological control and autonomy support: The role of psychological basic needs. Journal of Social and Personal Relationships 36: 1168–89. [Google Scholar] [CrossRef]
- Dean, Liz, Brendan Churchill, and Leah Ruppanner. 2022. The mental load: Building a deeper theoretical understanding of how cognitive and emotional labor overload women and mothers. Community, Work and Family 25: 13–29. [Google Scholar] [CrossRef]
- Deci, Edward L., and Richard M. Ryan. 2000. The “what” and “why” of goal pursuits: Human needs and the self-determination of behavior. Psychological Inquiry 11: 227–68. [Google Scholar] [CrossRef]
- Deci, Edward L., and Richard M. Ryan. 2008. Self-determination theory: A macro-theory of human motivation, development, and health. Canadian Psychology 49: 182–85. [Google Scholar] [CrossRef]
- Deci, Edward L., and Richard M. Ryan. 2013. Intrinsic Motivation and Self-Determination in Human Behavior. New York: Springer Science & Business Media. [Google Scholar]
- Distefano, Rebecca, and Alyssa S. Meuwissen. 2022. Parenting in context: A systematic review of the correlates of autonomy support. Journal of Family Theory and Review 14: 571–92. [Google Scholar] [CrossRef]
- England-Mason, Gillian, Krysta Andrews, Leslie Atkinson, and Andrea Gonzalez. 2023. Emotion socialization parenting interventions targeting emotional competence in young children: A systematic review and meta-analysis of randomized controlled trials. Clinical Psychology Review 100: 102252. [Google Scholar] [CrossRef]
- Erozkan, Atilgan. 2009. The relationship between attachment styles and social anxiety: An investigation with Turkish university students. Social Behaviour and Personality 37: 835–44. [Google Scholar] [CrossRef]
- Evans, Chris, Frank Margison, and Michael Barkham. 1998. The contribution of reliable and clinically significant change methods to evidence-based mental health. Evidence-Based Mental Health 1: 70–72. [Google Scholar] [CrossRef]
- Grolnick, Wendy S., and Jacquelyn N. Raftery-Helmer. 2013. The importance of autonomy for development and well-being. In Self-Regulation and Autonomy: Social and Developmental Dimensions of Human Conduct. Edited by Bryan W. Sokol, Frederick M. E. Grouzet and Ulrich Muller. Cambridge: Cambridge University Press, pp. 141–64. [Google Scholar] [CrossRef]
- Grolnick, Wendy S., Madeline R. Levitt, Alessandra J. Caruso, and Rachel E. Lerner. 2021. Effectiveness of a brief preventive parenting intervention based in self-determination theory. Journal of Child and Family Studies 30: 905–20. [Google Scholar] [CrossRef]
- Halford, W. Kim, and Guy Bodenmann. 2013. Effects of relationship education on maintenance of couple relationship satisfaction. Clinical Psychology Review 33: 512–25. [Google Scholar] [CrossRef]
- Harris, Madeleine, Krysta Andrews, Andrea Gonzalez, Heather Prime, and Leslie Atkinson. 2020. Technology-assisted parenting interventions for families experiencing social disadvantage: A meta-analysis. Prevention Science 21: 714–27. [Google Scholar] [CrossRef]
- Havighurst, Sophie S., Alessandra Radovini, Brandon Hao, and Christiane E. Kehoe. 2020. Emotion-focused parenting interventions for prevention and treatment of child and adolescent mental health problems: A review of recent literature. Current Opinion in Psychiatry 33: 586–601. [Google Scholar] [CrossRef]
- Havighurst, Sophie S., Katherine R. Wilson, Ann E. Harley, Margot R. Prior, and Christiane Kehoe. 2010. Tuning in to kids: Improving emotion socialization practices in parents of preschool children—Findings from a community trial. Journal of Child Psychology and Psychiatry 51: 1342–50. [Google Scholar] [CrossRef] [PubMed]
- Jiang, Zixin, Xi Liang, Zhengyan Wang, Yige Lin, and Linlin Zhang. 2023. Intrusive parenting in early childhood: A review and meta-analysis. PsyCh Journal 12: 335–54. [Google Scholar] [CrossRef] [PubMed]
- Joussemet, Mireille, Geneviève A. Mageau, and Richard Koestner. 2014. Promoting optimal parenting and children’s mental health: A preliminary evaluation of the how-to parenting program. Journal of Child and Family Studies 23: 949–64. [Google Scholar] [CrossRef]
- Jugovac, Samantha, Richard O’Kearney, David J. Hawes, and Dave S. Pasalich. 2022. Attachment- and emotion-focused parenting interventions for child and adolescent externalizing and internalizing behaviors: A meta-analysis. Clinical Child and Family Psychology Review 25: 754–73. [Google Scholar] [CrossRef]
- Ortuño, Antonio. 2012. Familias Inteligentes. Claves Prácticas para la Educación [Intelligent Families. Key Practices for Education]. Madrid: El Rincón del Quijote. [Google Scholar]
- Ortuño, Antonio. 2015. ¿Quién Cuenta Cuentos a Mis Padres? [Who Tells Stories to My Parents?]. Madrid: Letras de Autor. [Google Scholar]
- Ortuño, Antonio, and Luis Benedicto. 2020. Guía Ilustrada para una Convivencia Familiar Inteligente: Utiliza tu Inteligencia Emocional para Poner Límites Educativos [Illustrated Guide for Intelligent Family Coexistence: Use Your Emotional Intelligence to Set Educational Limits]. Andalusia: Toromítico. [Google Scholar]
- Patterson, Gerald R., Marion S. Forgatch, and David S. DeGarmo. 2010. Cascading effects following intervention. Development and Psychopathology 22: 949–70. [Google Scholar] [CrossRef]
- Pitillas, Carlos, and Ana Berástegui. 2018. Primera Alianza. Fortalecer y Reparar los Vínculos Tempranos [First Alliance: Strengthen and Repair Early Attachments]. Barcelona: Gedisa Editorial. [Google Scholar]
- Simpson, David M., Nathan D. Leonhardt, and Alan J. Hawkins. 2018. Learning about love: A meta-analytic study of individually-oriented relationship education programs for adolescents and emerging adults. Journal of Youth and Adolescence 47: 477–89. [Google Scholar] [CrossRef]
- Spencer, Chelsea M., Glade L. Topham, and Erika L. King. 2020. Do online parenting programs create change? A meta-analysis. Journal of Family Psychology 34: 364–74. [Google Scholar] [CrossRef]
- Steele, Howard, Anne Murphy, Karen Bonuck, Paul Meissner, and Miriam Steele. 2019. Randomized control trial report on the effectiveness of Group Attachment-Based Intervention (GABI©): Improvements in the parent-child relationship not seen in the control group. Development and Psychopathology 31: 203–17. [Google Scholar] [CrossRef]
- Tanaka, Ayumi, Ayame Tamura, Ryo Ishii, Shin-Ichi Ishikawa, Naoki Nakazato, Kazuhiro Ohtani, Michiko Sakaki, Takashi Suzuki, and Kou Murayama. 2023. Longitudinal association between maternal autonomy support and controlling parenting and adolescents’ depressive symptoms. Journal of Youth and Adolescence 52: 1058–73. [Google Scholar] [CrossRef]
- Van Ijzendoorn, Marinus H., Carlo Schuengel, Qiang Wang, and Marian J. Bakermans-Kranenburg. 2023. Improving parenting, child attachment, and externalizing behaviors: Meta-analysis of the first 25 randomized controlled trials on the effects of video-feedback intervention to promote positive parenting and sensitive discipline. Development and Psychopathology 35: 241–56. [Google Scholar] [CrossRef] [PubMed]
- Verstuyf, Joke, Maarten Vansteenkiste, Bart Soenens, Liesbet Boone, and Athanasios Mouratidis. 2013. Daily ups and downs in women’s binge eating symptoms: The role of basic psychological needs, general self-control, and emotion eating. Journal of Social and Clinical Psychology 32: 335–61. [Google Scholar] [CrossRef]
- Woodward, Kerri E., Debra L. Boeldt, Robin P. Corley, Lisabeth DiLalla, Naomi P. Friedman, John K. Hewitt, Paula Y. Mullineaux, JoAnn Robinson, and Soo Hyun Rhee. 2018. Correlates of positive parenting behaviors. Behavior Genetics 48: 283–97. [Google Scholar] [CrossRef] [PubMed]
- World Health Organization. 2024. Adolescent Health. Geneva: World Health Organization. Available online: https://www.who.int/health-topics/adolescent-health/#tab=tab_1 (accessed on 25 January 2025).
- World Medical Association. 2013. World Medical Association Declaration of Helsinki: Ethical principles for medical research involving human subjects. JAMA 310: 2191–94. [Google Scholar]
- Yaholkoski, Amber, Kylee Hurl, and Jennifer Theule. 2016. Efficacy of the Circle of Security intervention: A meta-analysis. Journal of Infant, Child, and Adolescent Psychotherapy 15: 95–103. [Google Scholar] [CrossRef]
- Young, Rachel, and Melissa Tully. 2022. Autonomy vs. control: Associations among parental mediation, perceived parenting styles, and U. S. adolescents’ risky online experiences. Cyberpsychology 16: 5. [Google Scholar] [CrossRef]



| Session | Objective | Contents |
|---|---|---|
| Session 1. “Intelligent family coexistence” | To present the intervention programme, introducing the concept of “intelligent family coexistence” and the intelligent traffic light technique. |
|
| Session 2. “Red Traffic Light—Empathic Authority” | To address the ability to exercise authority empathetically in family decisions that are non-negotiable and that depend solely on the parents. |
|
| Session 3. “Yellow Traffic Light—Negotiation” | To address the ability to negotiate and reach agreements, seeking an adequate balance between the children’s wishes and obligations in those areas where negotiation is possible. |
|
| Session 4. “Green Traffic Light—Transfer of Responsibilities” | To address the ability to transfer responsibilities in those areas where the children can take care of themselves while remaining available and close. |
|
| Variable | Group | T0 | T1 | T2 | |||
|---|---|---|---|---|---|---|---|
| M | SD | M | SD | M | SD | ||
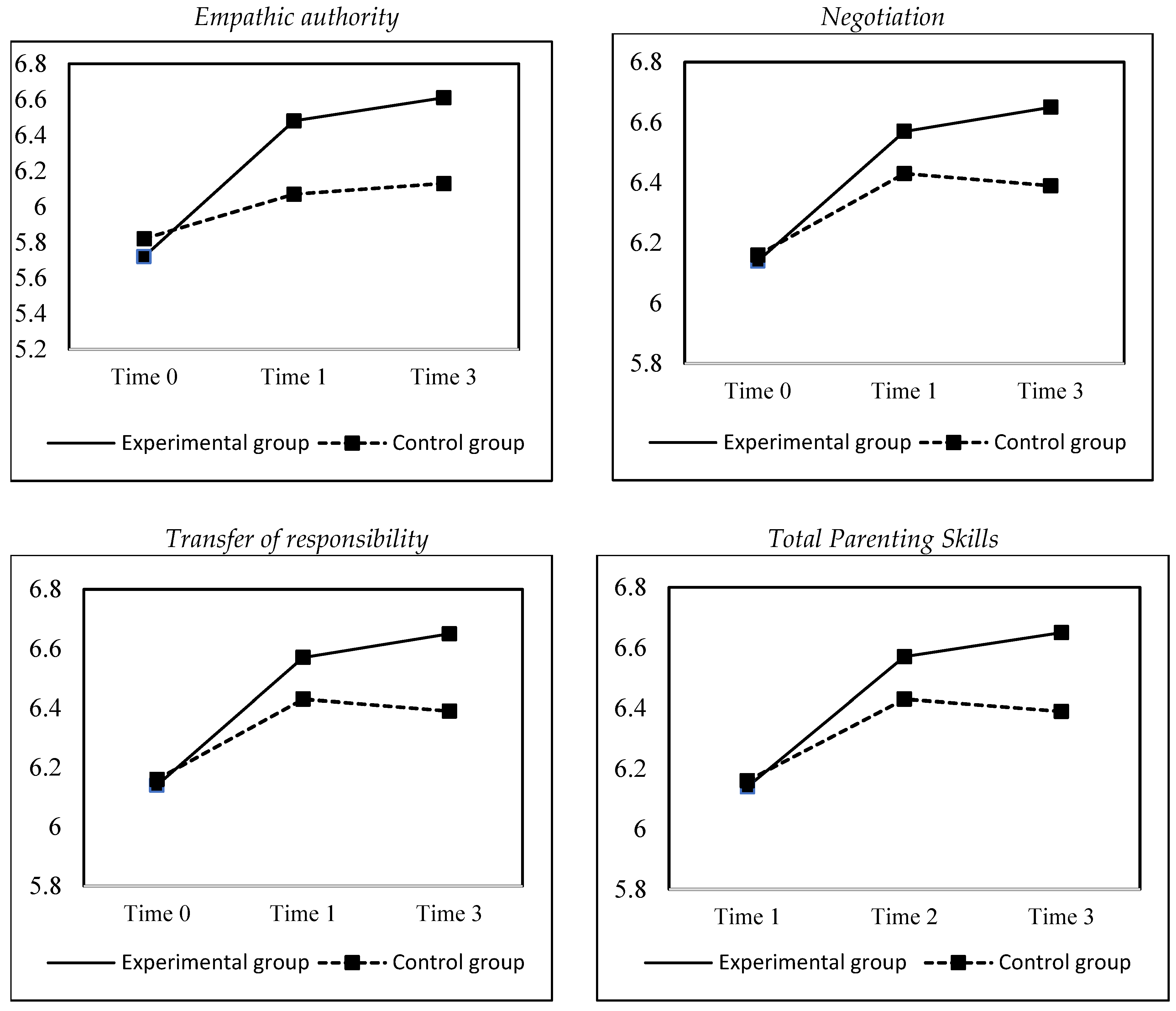
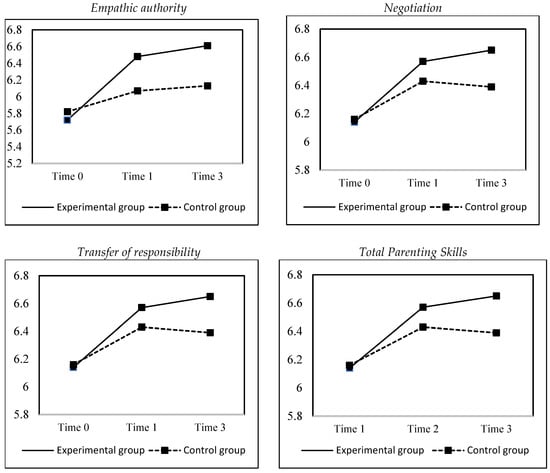
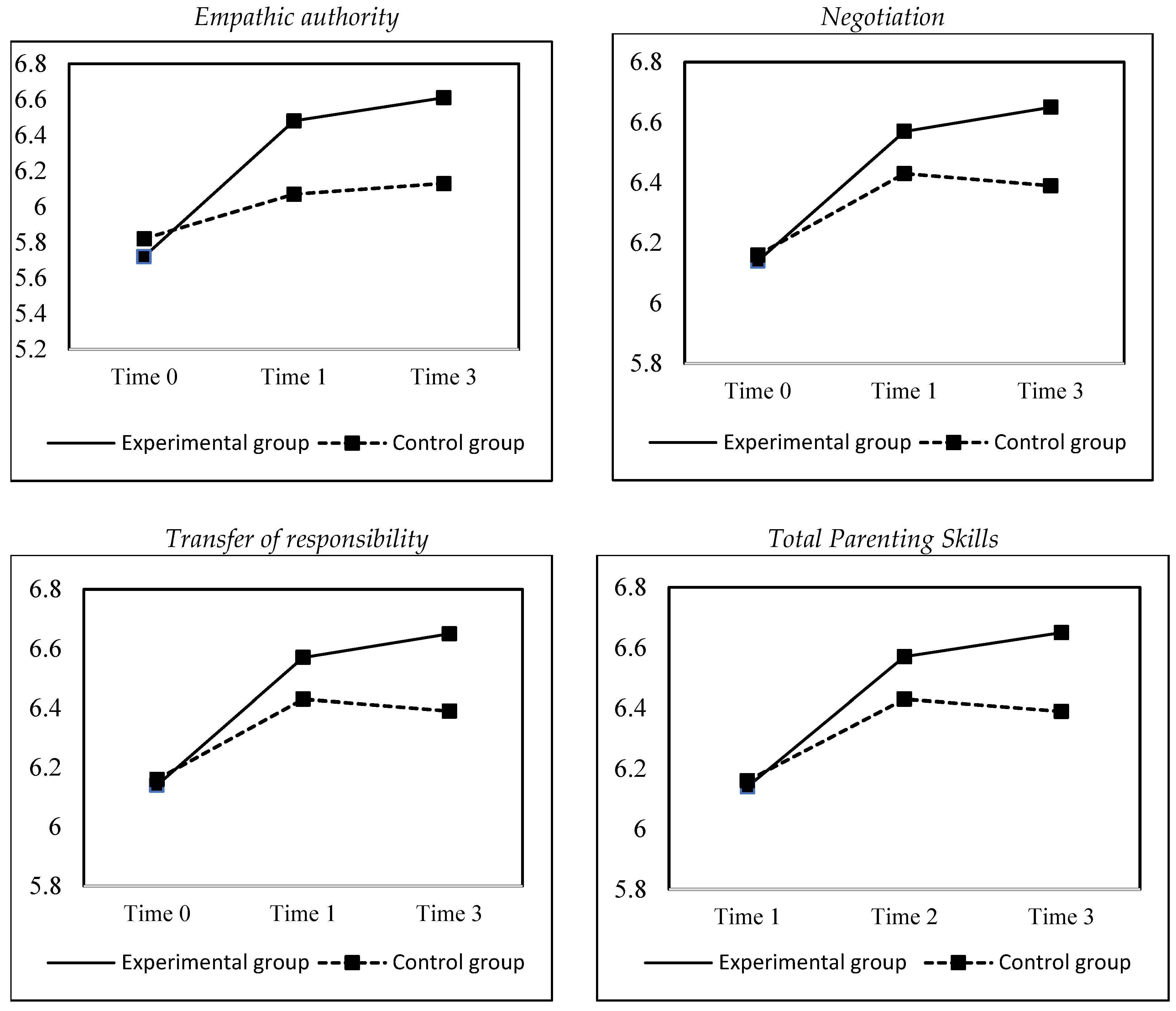
| Empathic authority | Experimental | 5.72 | 1.40 | 6.48 | 1.13 | 6.61 | 1.26 |
| Control | 5.82 | 1.38 | 6.07 | 1.31 | 6.13 | 1.37 | |
| Negotiation | Experimental | 6.14 | 1.13 | 6.57 | 1.11 | 6.65 | 1.15 |
| Control | 6.16 | 1.17 | 6.43 | 1.21 | 6.39 | 1.22 | |
| Transfer of responsibility | Experimental | 6.31 | 1.42 | 6.46 | 1.40 | 6.64 | 1.39 |
| Control | 6.43 | 1.39 | 6.41 | 1.32 | 6.49 | 1.40 | |
| Total Parenting skills | Experimental | 6.03 | 1.15 | 6.50 | 1.06 | 6.63 | 1.13 |
| Control | 6.10 | 1.15 | 6.29 | 1.12 | 6.32 | 1.20 | |
| Variable | Main Intrasubject Effect | Main Intersubject Effect | Group x Time Interaction | |||||||||
|---|---|---|---|---|---|---|---|---|---|---|---|---|
| F(df) | p | ηp2 | 1-β | F(df) | p | ηp2 | 1-β | F(df) | p | ηp2 | 1-β | |
| Empathic authority | 60.95 (1.91) | <0.001 | 0.154 | 1.00 | 4.30 (1) | <0.039 | 0.013 | 0.54 | 14.33 (1.91) | <0.001 | 0.041 | 0.99 |
| Negotiation | 30.84 (1.96) | <0.001 | 0.084 | 1.00 | 1.30 (1) | 0.256 | 0.004 | 0.21 | 3.43 (1.96) | <0.034 | 0.010 | 0.64 |
| Transfer of responsibility | 5.08 (1.94) | <0.007 | 0.015 | 0.81 | 0.04 (1) | 0.836 | 0.000 | 0.06 | 2.12 (1.94) | 0.123 | 0.006 | 0.43 |
| Total Parenting skills | 43.23 (1.92) | <0.001 | 0.115 | 1.00 | 1.79 (1) | 0.182 | 0.005 | 0.27 | 9.13 (1.92) | <0.001 | 0.027 | 0.97 |
| Experimental Group | Control Group | ||||||
|---|---|---|---|---|---|---|---|
| Positive Change | No Change | Negative Change | Positive Change | No Change | Negative Change | ||
| χ2 | n (%) | n (%) | n (%) | n (%) | n (%) | n (%) | |
| Changes between T0 and T1 | |||||||
| Empathic authority | 14.26 ** | 47 (26.7%) | 127 (72.2%) | 2 (1.1%) | 19 (11.8%) | 135 (83.9%) | 7 (4.3%) |
| Negotiation | 1.87 | 24 (13.6%) | 151 (85.8%) | 1 (0.5%) | 17 (10.6%) | 141 (87.6%) | 3 (1.9%) |
| Transfer of responsibility | 2.48 | 23 (13.1%) | 142 (80.7%) | 11 (6.3%) | 15 (9.3%) | 130 (80.7%) | 27 (8%) |
| Parenting skills | 5.32 | 27 (15.3%) | 146 (83%) | 3 (1.7%) | 12 (7.5%) | 147 (91.3%) | 2 (1.2%) |
| Changes between T1 and T2 | |||||||
| Empathic authority | 2.21 | 23 (13.1%) | 140 (79.5%) | 13 (7.4%) | 13 (8.1%) | 276 (81.9%) | 25 (7.4%) |
| Negotiation | 0.63 | 11 (6.3%) | 154 (87.5%) | 11 (6.3%) | 7 (4.3%) | 297 (88.1%) | 22 (6.5%) |
| Transfer of responsibility | 0.61 | 16 (9.1%) | 146 (83%) | 14 (8%) | 11 (6.8%) | 136 (84.5%) | 14 (8.7%) |
| Parenting skills | 0.02 | 25 (14.2%) | 134 (76.1%) | 17 (9.7%) | 22 (13.7%) | 255 (75.5%) | 35 (10.4%) |
| Changes between T0 and T2 | |||||||
| Empathic authority | 25.10 ** | 61 (34.7%) | 110 (62.5%) | 5 (2.8%) | 19 (11.8%) | 132 (82.0%) | 10 (6.2%) |
| Negotiation | 14.85 ** | 41 (23.3%) | 129 (73.3%) | 6 (3.4%) | 13 (8.1%) | 139 (86.3%) | 9 (5.6%) |
| Transfer of responsibility | 3.60 | 32 (18.3%) | 128 (73.1%) | 15 (8.6%) | 18 (11.3%) | 130 (81.3%) | 12 (7.5%) |
| Parenting skills | 14.39 ** | 36 (20.6%) | 136 (77.7%) | 3 (1.7%) | 12 (7.5%) | 139 (86.9%) | 9 (5.6%) |
Disclaimer/Publisher’s Note: The statements, opinions and data contained in all publications are solely those of the individual author(s) and contributor(s) and not of MDPI and/or the editor(s). MDPI and/or the editor(s) disclaim responsibility for any injury to people or property resulting from any ideas, methods, instructions or products referred to in the content. |
© 2025 by the authors. Licensee MDPI, Basel, Switzerland. This article is an open access article distributed under the terms and conditions of the Creative Commons Attribution (CC BY) license (https://creativecommons.org/licenses/by/4.0/).
Share and Cite
Martinez-Pampliega, A.; Ortuño, A.; Mónaco, E. Assessment of the Effectiveness of the Parenting Intervention Programme “Intelligent Families”: A Randomised Controlled Study. Soc. Sci. 2025, 14, 175. https://doi.org/10.3390/socsci14030175
Martinez-Pampliega A, Ortuño A, Mónaco E. Assessment of the Effectiveness of the Parenting Intervention Programme “Intelligent Families”: A Randomised Controlled Study. Social Sciences. 2025; 14(3):175. https://doi.org/10.3390/socsci14030175
Chicago/Turabian StyleMartinez-Pampliega, Ana, Antonio Ortuño, and Estefania Mónaco. 2025. "Assessment of the Effectiveness of the Parenting Intervention Programme “Intelligent Families”: A Randomised Controlled Study" Social Sciences 14, no. 3: 175. https://doi.org/10.3390/socsci14030175
APA StyleMartinez-Pampliega, A., Ortuño, A., & Mónaco, E. (2025). Assessment of the Effectiveness of the Parenting Intervention Programme “Intelligent Families”: A Randomised Controlled Study. Social Sciences, 14(3), 175. https://doi.org/10.3390/socsci14030175

