Abstract
Using a macro-panel data set from 20 Italian regions, this study explores the relationship between unemployment and fertility in Italy between 2006 and 2018. It contributes to recent literature on this subject by considering gender-specific unemployment measures and examining the influence of two important compositional factors on fertility responses, namely the presence of foreign women and daily childcare coverage, and the influence of both of these on the link between unemployment and fertility. The study reveals a procyclical relationship between unemployment rates, used as a proxy of variations in business cycles, and fertility. Positive influences of foreign women’s contribution and daily childcare coverage on fertility are uncovered, suggesting a potential mitigation effect on declining fertility trends during the period under observation.
1. Introduction
The Great Recession started in the autumn of 2007 in the USA, rapidly spreading to numerous European countries and inducing a downturn in economic growth, escalating unemployment rates, and heightened financial instability. Its repercussions extended across diverse sectors of the economy, significantly affecting individuals and households, leading to job losses, reduced income levels, and financial hardship. Beyond its economic ramifications, the Great Recession also had social and demographic consequences: the adverse economic climate generated heightened stress and a pervasive sense of uncertainty about the future, prompting individuals to postpone or reduce their plans for parenthood. This impact was particularly pronounced in southern Europe, notably in countries like Italy and Spain (Matysiak et al. 2021), given the prevalent precariousness of labor market conditions. With regard to Italy, the impact of an extended period of economic uncertainty occurred at a time when fertility rates were on the path to recovery from a substantial decline (Goldstein et al. 2013; Comolli 2017). Simultaneously, the mean age of women giving birth to their first child increased, imposing additional constraints on reproductive choices. A modest recovery in the total fertility rate (TFR) was observed in northern Italy around 2010 and mainly attributed to the contribution of foreign women (ISTAT 2014).
Few articles have attempted to investigate the link between economic downturns and fertility decisions at a macro level in Italy (Comolli and Vignoli 2021; Zambon et al. 2020; Matysiak et al. 2021). These studies have shown a procyclical relationship between unemployment and fertility rates during economic downturn periods, highlighting the greater ability of the northern Italian regions to adapt to periods of economic expansion and recession compared to the stagnant conditions observed in southern Italy (Zambon et al. 2020).
While extensive research has examined the impact of the contribution of migrant childbearing on overall fertility and the potential effect of welfare policies on the fertility rate at the micro level in the US and Europe (Mussino et al. 2023a; Cannonier 2014; Ang 2015; Milewski and Brehm 2023), less is known about the role that the highly differentiated presence of foreign women and daily childcare coverage can play in fertility trends at the macro level in Italy, considering a window of observation large enough to also englobe pre-, during, and post-recession periods. This work aims to fill this gap.
In addition, we broaden the investigation of the impact of total unemployment rates (hereinafter TURs) on total fertility rates (hereinafter TFRs), including analyses of gender-specific components of unemployment using men’s unemployment rates (MURs) and women’s unemployment rates (WURs) (general effect and gender-specific effects). Subsequently, we also look at the fertility response to changes in the share of foreign women and the daily childcare coverage (composition effects) and the effect that changes in these composition variables can exert on the relationship between unemployment and fertility (interaction effects). To the best of our knowledge, an exploration of the contribution of these factors to the relationship between fertility choices and unemployment trends is lacking, particularly in a country that exhibits very low fertility, such as Italy. Finally, the implementation of quantile regressions allows us to better disentangle the relationship between unemployment and fertility among regions, considering a highly heterogeneous territorial context. This approach has not been applied before to the Italian context.
To test our hypotheses, a macro-panel data set was constructed for all 20 Italian regions, drawing on different ISTAT sources spanning from 2006 to 2018. We find a procyclical relationship between unemployment rates, used as a proxy of variations in the business cycle, and fertility rates. This effect appears to be more pronounced when considering the men’s unemployment rate. We also find a beneficial effect of the presence of foreign women and the coverage of daily childcare facilities on fertility in Italy. The influence of the composition variables on fertility has the potential to counteract or weaken the negative trends of declining fertility during periods of severe economic and social uncertainty. Finally, our analysis shows how the combined contribution of the composition variables may shift a procyclical relationship into a potentially countercyclical one. Under two scenarios, characterized by increased migrant women’s presence and extensive daily childcare coverage, a positive moderating impact on the unemployment–fertility nexus during the period under examination can be anticipated.
This article is organized as follows: in Section 2, we provide an overview of the existing literature on the relationship between unemployment and fertility during the Great Recession; the subsequent subsection delves into the literature on composition effects. A dedicated part is devoted to the Italian context. Section 3 details our data and methodology and includes some descriptive statistics. Section 4 explains our findings, along with robustness checks. Finally, Section 5 presents the discussion, followed by limitations and concluding remarks.
2. Theoretical Background and Literature Review
Fertility patterns over time represent an ever-fashionable topic in demography, capturing sustained interest (Butz and Ward 1979; Hotz et al. 1997). In recent years, the debate has shifted to exploring how economic cycles influence fertility trends (Bellido and Marcén 2019; Comolli and Vignoli 2021; Comolli and Bernardi 2015; Goldstein et al. 2013). Furthermore, numerous studies have investigated the impact of the business cycle on childbirths in the United States and Europe (Ayllón 2019; Comolli 2017).
From a general perspective, fertility is influenced by various individual and institutional factors, encompassing aspects such as gender, age, and social and economic conditions, as well as welfare and family policies (Matysiak et al. 2021). Additionally, fertility varies significantly across countries and contextual settings (Alderotti et al. 2022).
From a theoretical point of view, the relationship between economic downturns and fertility remains unclear (Bellido and Marcén 2019). On the one hand, during an economic crisis—potentially characterized by hypothetical job losses or job instability—the perception of future uncertainties, coupled with the increase in economic hardship, could make the costs related to child-rearing more challenging to bear (Schneider and Hastings 2015). This might prompt individuals to avoid long-term commitments and defer decisions regarding having children (Dixit and Pindyck 1994; Ranjan 1999; Morgan and Bachrach 2011; Comolli and Vignoli 2021). This income effect also entails indirect costs related to missed career opportunities resulting from the time dedicated to childcare instead of engaging in paid work. Income limitations and job insecurity serve as indicators of potential future uncertainties, making deciding to have children less attractive. This often leads young women to continue their education, thus postponing childbearing (Kohler et al. 2002; Matysiak et al. 2021).
Following this reasoning, most studies show that the relationship between fertility and economic crisis can be procyclical, the extent to which fertility declines in times of economic crisis and births are postponed or delayed (Sobotka et al. 2011).
On the other hand, some couples may be more likely to take advantage of a temporary job instability window to start a family, given the lower opportunity cost associated with childcare (Friedman et al. 1994; Alderotti et al. 2021). This could be particularly true for unemployed women or women who are generally caregivers, who may find abstaining from the job market during periods of economic crisis more convenient and take advantage of the prevailing economic slowdown to have a child, thus encouraging fertility (Butz and Ward 1979; Bellido and Marcén 2019). In such scenarios, a substitution effect emerges when childcare costs decrease as women step out of the labor market (Friedman et al. 1994; Alderotti et al. 2021). In this case, the relationship between fertility and economic recession could be countercyclical.
Extensive research has examined the relationship between the business cycle and fertility, and some studies underpinned the effect of the Great Recession on childbearing decisions. The authors showed that one of the key forces driving this relationship at the macro level is the unemployment rate (Hiilamo 2017; Comolli 2017; Goldstein et al. 2013).
Most of these studies support the procyclical hypothesis, suggesting that fertility typically declines in response to adverse economic fluctuations within the business cycle (Sobotka et al. 2011; Goldstein et al. 2013; Cherlin et al. 2013; Schneider and Hastings 2015; Seltzer 2019).
Contributions on the effects of economic downturns in the United States during the second half of the twentieth century showed that most people tend to delay forming a family as a result of adverse labor market conditions and employment instability (Busetta et al. 2019; Hofmann et al. 2017; Neels et al. 2013). Morgan and Bachrach (2011) found a strong correlation between an increase in the unemployment rate and a decrease in the fertility rate. Along the same lines, Schneider and Hastings (2015) suggest that fertility tends to decline during an economic crisis, especially in countries hit badly by high unemployment and foreclosure rates. This trend is largely attributed to heightened levels of uncertainty during these times. The presence of a procyclical fertility response in the US was also confirmed by Currie and Schwandt (2014). The authors, investigating state-level fertility trends spanning from 1975 to 2010, found that an increase in unemployment levels led to a decrease in fertility. Recently, Seltzer (2019), merging statistical data and surveys, explored the long-term impact of post-recession periods on fertility. The study attributes the decline in total fertility rates to structural changes in the composition of the industry, particularly emphasizing job displacement and deindustrialization.
Comolli (2017) expands the approach by Goldstein et al. (2013) to include 31 European countries and the United States. Focusing on the United States, the author found that fertility exhibited a negative response to economic uncertainty during the Great Recession. Specifically, the author underscores the significant impact of deteriorating labor market structures in driving the decline observed in fertility rates.
While a procyclical relationship between fertility and economic conditions might hold for the US, the same cannot be assumed for European countries due to their considerable heterogeneity. Goldstein et al. (2013), using European data, explored the impact of changes in labor market conditions—specifically, rising unemployment rates—on fertility rates. The study revealed a robust negative correlation between declining fertility rates and the economic downturn, which was particularly strong in the European countries most severely affected by the crisis, such as southern European countries (Italy and Spain). The authors acknowledge that changes in fertility in response to economic crisis vary significantly across regions, age groups, and parity and cannot be considered universal.
Additionally, Bellido and Marcén (2019), delving into the impact of the business cycle on fertility across 30 European countries over three decades, show a moderate negative effect of the business cycle on fertility, with various scenarios linked closely to socio-economic and institutional factors within each country. In particular, institutional factors, such as the level of welfare generosity and the degree of gender equality, significantly influence the fertility response to a crisis. In their study, the authors point out the decisive role that institutional factors, such as family-oriented policies, played in transforming a procyclical relationship into a hypothetical countercyclical one, alleviating the economic and social burden of each child (Ayllón 2019). More recently, Alderotti et al. (2021), using meta-analytic techniques, synthesized European findings about the relationship between employment instability and fertility during the Great Recession. They suggest that employment instability hurts fertility, especially over time, even considering different sources of job instability. The authors also point out the mediator role of income and a partner’s characteristics.
Following the countercyclical logic, only a few studies offer evidence supporting a positive relationship between economic fluctuations and fertility, even if strictly connected to the presence of specific context attributes (Butz and Ward 1979; Hiilamo 2017; Goldstein et al. 2013; Bellido and Marcén 2019). Specifically, the high degree of heterogeneity of social and family welfare coverage at the country level, as well as regional labor market conditions, have the potential to mitigate the negative effect of economic downturns on fertility choice. Butz and Ward (1979) suggested that a shift in the US fertility trends during negative economic fluctuations is possible only in the presence of a substantial increase in childcare facilities. Similarly, Goldstein et al. (2013) argued that the influence of the Great Recession on fertility decisions in the Baltic countries was considerably mitigated by the implementation of generous parental leave policies before the economic downturn. Bellido and Marcén (2019), albeit within an overall countercyclical perspective, reach the same conclusions in the European context. The authors, analyzing data from 30 European countries spanning three decades, found that flexible labor markets (labor protection schemes after pregnancy) and high levels of gender equality may potentially yield a countercyclical effect on fertility.
Some studies suggested gender-specific responses concerning the impact of economic crises on fertility choices. Comolli (2017) demonstrates a stronger negative effect of female unemployment on fertility during the Great Recession period in Europe and the US. In a general negative context observed between increasing total unemployment and fertility rates across 22 OECD countries from 1976 to 2008, Karaman and Goldstein (2010) highlighted a more pronounced negative impact of female unemployment on fertility rates. Similar results were found in the United States (King 2005), Europe (Cazzola et al. 2016; Neels et al. 2013;Vitali and Billari 2017; Hiilamo 2017; Bellido and Marcén 2019), and East Asia (Ogura and Kadoda 2008).
2.1. Composition Effects
A large strand of literature has explored compositional and structural factors and their impact on the magnitude of the effects of a crisis on fertility (Schneider and Hastings 2015; Hiilamo 2017; Bellido and Marcén 2019). The strength and characteristics of economic crises on fertility rates vary considerably among countries, largely influenced by multifaceted factors. These include the generosity of the welfare system (Sobotka et al. 2011; Rindfuss et al. 2010), the fertility contribution of foreign women (Mussino and Strozza 2012; Héran and Pison 2007; Sobotka 2008; Bagavos 2019, 2023), the entity of family-oriented policies (Brini 2020; Luci-Greulich and Thévenon 2013; Mussino et al. 2023a), and structural aspects such as gender equality levels and labor protection provisions, especially concerning post-pregnancy (Bellido and Marcén 2019). The heterogeneity of these factors plays a crucial role in shaping the diverse effects and strength of economic crises on fertility across different countries.
The Contribution of Foreign Women
Most European countries, especially southern European nations like Italy, have experienced significant demographic changes with a strong decline in fertility since 1995 (ISTAT 2020). These countries have witnessed a slight recovery, mainly driven by two distinct yet contrasting factors: a rise in births occurring at later ages and the contribution of resident foreign women to the overall fertility rates of the host country (Mussino and Strozza 2012).
Most studies mostly rely on the direct impact of immigration on the structure and size of the population, neglecting to consider the significant indirect effects arising from the reproductive behaviors of immigrant women (Sobotka 2008). Only recently, an emerging body of literature emphasized the importance of considering both the direct and indirect effects when evaluating the influence of increased fertility among foreign women on the host country’s fertility trends. This suggests that the role of the foreign-born population in influencing an overall population change is substantial and goes beyond the conventional measurement of net migration, which is typically used to investigate the direct effect of the immigrant population on population dynamics.
However, estimating the impact of immigrant fertility is not straightforward. While the absolute number of births to foreign women is higher, their contribution to the host country’s overall fertility is strongly mitigated by the relative proportion of the foreign population compared to the native population. Therefore, the contribution of the fertility of foreign women to the overall fertility rate in the host country might be relatively minimal (Héran and Pison 2007; Sobotka 2008).
Thus, studies investigating the impact of immigrant fertility on the total fertility rate (TFR) in destination countries from a macro perspective yield contrasting findings. Héran and Pison (2007), using data from the 2004–2005 census waves in France, found that the influence of foreign women on the national fertility rate is modest, leading to an increase of only 0.1 children despite a considerable rise in fertility among recent immigrants. They emphasized that French fertility rates remain among the highest in Europe regardless of immigration, highlighting the primary role played by native fertility rates. Along the same lines, Van Landschoot et al. (2014) implemented counterfactual methods to estimate the role of births to foreign women in the recovery of fertility in Belgium. The authors found that the contribution of immigrants’ fertility to the TFR of the Flemish region is minimal, as a recovery in fertility has taken place even in situations in which there were no births to immigrant women. More recently, Bagavos (2019) examined the effect of immigration on fertility by comparing estimates of the age-specific fertility rates and total fertility rates of native and immigrant women in selected European countries, the US, and Australia. The author found that differences in the overall TFRs between the United States and European countries primarily stem from differences in the TFRs of native-born women rather than from the net effect of migration. Additionally, the findings indicate that the impact of immigrant fertility on the total fertility rate (TFR) and the total number of births in the US and Australia appears to be modest compared to the selected European countries. Similar results were found by Tønnessen (2020) for Norway.
Finally, the role played by the foreign-born population in driving overall population dynamics across Europe has been explored by very recent studies. Bagavos (2023), based on the standardization method, examined the contribution of native and immigrant fertility to the population change in 31 European countries in the period 2014–2019. More specifically, findings indicate that the immigrant population has either mitigated population decline or occasionally accelerated population growth. Moreover, differences in the indirect effect of the foreign-born population on population change among countries have been mostly influenced by variations in the age structure of migrant populations rather than by the timing and level of their fertility.
The existing evidence suggests that the contribution of foreign women to fertility rates in the destination countries is rather limited and primarily tied to their relative weight within the population. As the number of foreign women increases, their potential contribution to the overall fertility of the country may also rise.
2.2. Family Welfare and Childcare Service Availability
As we noted before, the considerable diversity in social and family welfare systems, as well as regional disparities in labor market conditions, significantly influence the overall effect of economic downturns on childbearing decisions (Schneider and Hastings 2015; Hiilamo 2017). More specifically, the design of family policies, in terms of generosity and distribution across regions and various demographic groups, can influence individual decisions concerning fertility, thus indirectly impacting labor market participation (Mussino et al. 2023b). This influence tends to be particularly strong among highly educated women, given their prior investment in education (Dobrotić and Blum 2020).
Only a handful of studies have investigated the role played by family-oriented policies in influencing reproductive behaviors (Dalla Zuanna et al. 2020). The bulk of research in this area tends to focus on a micro-level analysis, while a relatively limited body of literature delves into the effects of family-driven policies and the availability of childcare facilities at the aggregate level.
From a general perspective, the findings suggest that each instrument of family welfare, including paid leave, the availability of childcare facilities, and economic transfers, is able to influence childbearing choices in Western countries, affecting the cost families incur for each child (Baizán 2009; Luci-Greulich and Thévenon 2013; Kreyenfeld 2021; Mussino et al. 2023b; Laun and Wallenius 2021). Family-oriented measures, especially those of a generous nature, have the potential to alleviate the marginal cost associated with each child for families. By providing services and goods that families would otherwise have to procure privately, these policies reduce the financial burden on households, potentially increasing fertility (Bick 2016). Additionally, the availability of public services like daily childcare enhances mothers’ opportunities in the job market, facilitating a smoother transition or re-entry into employment (Rindfuss et al. 2010).
Furthermore, an interesting strand of literature has explored the role of family-driven policies on fertility during the Great Recession in Western countries (Goldstein et al. 2013; Hiilamo 2017; Bellido and Marcén 2019). These studies found that welfare policies designed to alleviate the economic and social challenges faced by families, especially for mothers, can mitigate the procyclical effect of business cycle fluctuations on fertility rates. This effect has been notably stronger in countries boasting robust and generous welfare systems, along with strong family-oriented policies, such as the Baltic countries (Goldstein et al. 2013).
Luci-Greulich and Thévenon (2013), exploring the fertility response to the implementation of family-driven policies in 18 OECD countries during the period 1982–2007, confirm the existence of a generally positive relationship between the presence of a family provisions package and the fertility trends in all countries under analysis. The authors pointed out that the provision of daily childcare services for children under three years old played a more significant role in encouraging fertility than other measures, such as leave entitlements or economic benefits.
Italy: Literature and Trends
Focusing on Italy, few studies have investigated the link between economic downturns and fertility decisions at a macro level. Comolli and Vignoli (2021), using Italy’s sovereign debt crisis as a natural experiment, aimed to investigate the causal impact of the economic crisis on birth rates, focusing on declining levels of confidence in the future and an increase in perceived uncertainty. Their findings shed light on the relationship between fertility and business cycle fluctuations, highlighting a procyclical pattern in response to these economic challenges. Along similar lines, Zambon et al. (2020) investigated the total fertility rates (TFRs) at the macro-region level in Italy between 1952 and 1998, revealing a strong association between fertility levels and economic changes while also identifying distinct paths across the Italian macro-regions. More specifically, fertility rates in the economically advanced northern regions showed less sensitivity to economic downturns but were more responsive to periods of economic growth than the relatively disadvantaged southern regions. Finally, Matysiak et al. (2021) relied on various indicators, including total unemployment rates, youth unemployment, and the proportion of long-term unemployment (lasting 12 months or more), to establish a link between rising unemployment rates and declining fertility in Italy. Their findings indicated that worsening economic conditions during the recession were linked to a more pronounced decrease in fertility than in the pre-recession period.
All in all, focusing on unemployment as the primary key factor, research focusing on Italy reveals a negative relationship between unemployment rates and fertility rates during economic downturn periods (Vitali and Billari 2017), especially in the southern region, where the relationship appears to be more unstable (Cazzola et al. 2016). It is noteworthy that fertility levels in both northern and southern regions exhibit a higher capacity to adapt to periods of economic expansion and recession (Zambon et al. 2020).
This study also draws on the literature regarding the contribution of foreign women to the variation in fertility rates (Giannantoni and Strozza 2015). More specifically, Giannantoni and Strozza (2015), delving into the unicity of the Italian context, aimed to investigate the contribution of foreign-born women to Italian fertility in the period 2001–2011, disentangling the net immigrant women’s contribution to the variations in the average age of childbirth. Their findings confirm similar trends at the European level, indicating that the rise in the total fertility rate (TFR) observed in Italy was primarily driven by the recovery in native-born fertility, with the fertility of foreign women making a secondary contribution. Vitali and Billari (2017) adopt a diffusionist approach to investigate the spatial fertility trends in Italian provinces. In regards to indicators such as migrant fertility, the authors confirm the modest role played by immigrant fertility in total fertility, especially in the southern provinces, where the contribution of foreign-born childbearing appears to be very low. Finally, a recent contribution comes from Kotzamanis (2022). Using a comparative approach, the study delves into the fertility trends of immigrant and native women in three different European countries, namely Greece, Spain, and Italy, during the recent period of economic crisis. Foreign-born women in the three countries exhibit distinct fertility patterns compared to natives, characterized by higher fertility rates and a younger mean age at childbirth. More specifically, the author finds that during the initial years of the recession, the fertility rates of both natives and foreigners decreased, but foreign women experienced a more rapid decline in fertility in countries such as Italy and Greece (countries most affected by the crisis). Post-2014, variations in foreign-born fertility were observed among these countries, with Spain and Italy showing stable patterns, while the TFR showed an increase in Greece. All in all, despite their substantial contribution to births, the influence of foreign-born fertility on overall fertility remains scarce.
Finally, this study also aligns with research exploring the potential impact of welfare policies on fertility rates. Within Italy, only a handful of studies have investigated the effects of family welfare policies on changes in fertility rates using a macro-level approach. One such study is by Caltabiano et al. (2009). Using Italian data spanning from 1950 to 1980, the results indicate a modest increase in fertility, particularly in northern regions, while the southern regions continued to exhibit a consistent decline in birth rates. The author attributes the upturn in births partially to the implementation of family-oriented policies, which facilitated a better balance between work and family life, especially for women with higher education levels. In the same direction, Boccuzzo et al. (2008) and Dalla Zuanna et al. (2020) underscore the significant role played by introducing substantial cash bonuses at birth in Friuli Venezia Giulia (Italian region) from 2000 to 2003 in boosting fertility, differing by birth order. Similarly, Dalla Zuanna et al. (2020) found that, in the specific context of Trento (Italy), the combination of economic development and family-centered policies aimed at facilitating the reconciliation between family and work could increase fertility by inducing couples to have another child. Only a limited number of studies exist; this calls for a better explanation of the role of family-oriented policies in driving fertility recovery.
Since 2006, the Italian labor market has experienced significant changes and major reforms, and yet, challenges in gender and youth employment persist. Women’s labor force participation has consistently lagged behind that of men. According to recent data (ISTAT 2023), around 70% of working-age men are active in the labor force, compared to just 55–58% of women—one of the lowest rates in Europe. This long-standing gap is driven by factors such as traditional cultural norms, insufficient childcare support, and pronounced regional disparities, especially in southern Italy, where opportunities for women are more limited.
Unemployment trends in Italy thus highlight the disparities and challenges within the labor market, particularly between men and women. Since the global financial crisis of 2008, unemployment rates have remained a significant issue, peaking at 12.7% in 2015 (see Figure 1) before gradually declining. Men and women, however, have experienced this trend differently. While men’s unemployment rates have consistently been lower, women have faced higher levels of joblessness, reflecting the structural inequalities in gaining access to employment opportunities. Recent data show that unemployment among women still remains higher than that of men (even though the overall rate has declined to approximately 6.8% in 2024). The situation is exacerbated in southern Italy, where economic underdevelopment leads to particularly high unemployment rates for women, often exceeding 20% in some regions (Barbieri et al. 2018). For many women, cultural and systemic barriers (part-time use, precarious jobs, a lack of family services for both children and other dependent family members) further hinder their ability to re-enter the workforce after periods of unemployment, contributing to long-term economic instability and social inequality (Aassve et al. 2014; Garcia-Pereiro and Patimo 2017; Mussida and Patimo 2023). Italy’s labor market thus reflects deep-seated structural inequalities.
Figure 1.
Italy. Total unemployment rates (TURs), men’s unemployment rates (MURs), women’s unemployment rates (WURs) (t−1), and total fertility rates (TFRs). Years 2004–2018. Source: Own elaboration, ISTAT data.
Going deeper into the Italian context, Figure 1 shows the trends of unemployment rates (TUR, MUR, and WUR) and fertility rates (TFR) in Italy from 2004 to 2018. First, the figure confirms the presence of an inverse relationship between unemployment and fertility during the observed period.
A distinctive aspect of the Italian Great Recession is that it occurred during a period when fertility rates were in the process of a small recovery from a period of significant decline around 2010 (Goldstein et al. 2013; Comolli 2017) (Figure 1). This phase coincided with an increase in the average age of women at their first childbirth, further constraining reproductive decisions. Furthermore, it is interesting to note that the simultaneous decline in fertility rates and the increase in unemployment rates since 2012 suggest a potential impact of economic downturn on decisions regarding childbearing.
Focusing on gender differences in unemployment rates, Figure 1 depicts a consistent trend in WURs, persistently surpassing MURs over the observed period. However, a closer examination reveals that starting from 2011, the incremental rise in the men’s unemployment rate considerably exceeded the marginal increase in the women’s unemployment rate over the years considered, despite both rates steadily increasing together. This led to a reduction in the differences over time.
In summary, the ongoing debate about the direction of the unemployment–fertility relationship, especially during economic fluctuations, and the analysis of the economic context through its gender-specific components (MUR and WUR), alongside the less defined role that foreign women’s contribution and the highly differentiated daily childcare coverage can play on the fertility trends, underline the need for further research.
Drawing from prior literature, we formulated three research hypotheses as follows:
RH1 (General and gender-specific effects): We hypothesize a procyclical relationship between unemployment and fertility at the macro level in Italy in the period 2006–2018. Furthermore, we anticipate that this relationship will manifest differently in terms of gender-specific measures of unemployment, reflecting the intricate interplay between economic conditions and fertility choices in the Italian context.
RH2 (Composition effects): We hypothesize that foreign women made a positive contribution to fertility during the period under observation. Additionally, we hypothesize that the high coverage of daily childcare facilities will positively influence fertility trends, aligning with the idea that supportive childcare infrastructure may facilitate fertility recovery during negative economic fluctuations. Furthermore, we anticipate variations in the impact of composition variables on fertility concerning gender-differentiated unemployment rates.
RH3 (Interaction effects of composition variables): We hypothesize that between 2006 and 2018, the presence of foreign women and the high coverage of daily childcare services may influence the unemployment–total-fertility relationship, potentially acting as a moderating factor. We also posit gender-specific variations in how foreign women’s contribution and daily childcare facility coverage affect our main hypothesis.
3. Data and Methodology
We build a panel data set with data publicly available collected by the Italian National Institute of Statistics (hereinafter ISTAT) for each year included in the period of observation (2006–2018) and for each of the 20 Italian regions. The 2006–2018 period was chosen as it covers a period of relevant economic fluctuation, including the Great Recession and its aftermath, that had pronounced effects on both unemployment and fertility trends. This period also allows us to capture the dynamics of these variables in subsequent recovery phases, which is crucial for understanding the cyclical nature of the unemployment–fertility relationship. Additionally, in regards to data availability, this is the range for which we have consistent and comprehensive observations across all key variables, enabling a robust and comparable analysis across all 20 Italian regions.
The main variable for measuring period-effect fertility was the total fertility rate, which is an accurate indicator accounting for regional differences in fertility levels (Sobotka 2008). The TFR is expressed as the average number of children a woman will have during her lifetime, assuming she experiences the current age-specific fertility rates throughout her reproductive years. It is calculated by adding up the age-specific fertility rates in the age groups 15–49.
By using unemployment rates as our main independent variable of interest, we measure changes in working and, therefore, economic conditions that occurred during the observed period. Unemployment annual estimates come from the Labour Force Survey, which shows the number of persons without a job but who are available for and seeking employment divided by the number of persons in the labor force. In our empirical analyses, we separately consider total unemployment rates (TURs), men’s unemployment rates (MURs), and women’s unemployment rates (WURs) to explore whether and how fertility trends react differently to the influence of gender-specific unemployment measures (Comolli 2017; Hiilamo 2017; Bellido and Marcén 2019). We are also interested in examining the effects of two compositional trends of factors that, as stated previously in the literature review, are extremely relevant when studying the Italian case: the share of foreign women among all resident women and the childcare coverage (number of spots in childcare services per 100 children under three).
Following most research on the relationship between aggregated economic and fertility measures (Goldstein et al. 2013; Schneider and Hastings 2015; Comolli 2017; Hiilamo 2017; Seltzer 2019; Matysiak et al. 2021), our regional-level data set merges unemployment measures (TURs, MURs, and WURs) for the years 2005–2017 (one-year lag) with fertility indicators for the period 2006–2018 and control variables (the percentage of the population with university education (men and women), mean age at marriage (men and women), marriage and divorce rates) that the literature on the subject identifies as important determinants (Comolli 2017; Bellido and Marcén 2019). Other authors apply lags of two years (Cherlin et al. 2013; Bellido and Marcén 2019) but obtain similar results.
Table 1 summarizes the average values for the main measures used in the analysis.
Table 1.
Italian regions. Average values for the main measures used in the analysis. Period means (2006–2018).
As can be seen, there are significant differences between Italian regions. The tails of unemployment rate distributions across different regions indicate an inverse relationship between unemployment and fertility rates. Regions with higher TUR values, such as Puglia, Calabria, and Sardinia, tend to exhibit lower TFR values, suggesting a negative association between unemployment and fertility. These regions, often characterized by precarious labor market conditions, might experience decreased fertility rates. This could suggest that economic fragility in local labor markets may contribute to decreased birth rates (Busetta et al. 2019; Hofmann et al. 2017; Neels et al. 2013).
Conversely, regions with lower TUR values, such as Trentino-Alto Adige, Veneto, and Emilia-Romagna, tend to show higher TFR values, indicating a positive correlation between lower unemployment rates and higher fertility rates. This trend seems to be particularly true in the men’s unemployment rate. Precarious employment conditions among men may lead to lower levels of childbearing decisions (Zhou and Kan 2019). On the other hand, increased female labor force participation tends to be correlated with higher fertility rates. This could be due to delayed childbirth recovery among women who participate more extensively in the labor market (Sobotka et al. 2011). Furthermore, in regard to childcare coverage (CCOV), high coverage is observed in regions like Emilia-Romagna (23.47%) and Valle d’Aosta (20.60%), likely reflecting robust social services. On the other hand, low coverage is observed in southern regions such as Calabria (1.88%) and Campania (2.33%), potentially affecting female labor force participation and fertility decisions. With respect to the percentage of foreign women (PFW), high proportions are registered in northern regions like Emilia-Romagna (15.49%), while low proportions are observed in southern regions like Puglia (3.22%). These trends seem likely influenced by migration trends and economic opportunities. Strictly connected are the marriage and divorce rates (CMRs and CDRs). Higher marriage rates are observed in regions like Sicilia and Calabria (4.35) and Puglia (4.14), while higher divorce rates are observed in northern regions, such as Liguria (1.35) and Friuli-Venezia Giulia (1.13), possibly reflecting differences in cultural or legal practices.
In terms of educational attainment (TEREM and TEREW), northern and central regions, such as Lazio (19.18 for men, 22.88 for women) and Umbria (14.99 for men, 21.23 for women), display higher rates of university education, while southern regions like Puglia (11.41 for men, 13.61 for women) and Sicilia (11.52 for men, 13.79 for women) have lower levels of university attainment.
From a general point of view, some general trends can be identified: a clear north–south divide is evident in socio-economic indicators such as unemployment, childcare coverage, and educational attainment, with the north outperforming the south in most measures. Furthermore, some regional cultural differences are evident: southern regions tend to have higher marriage rates, lower divorce rates, and younger mean ages at marriage, suggesting cultural influences on demographic patterns. Northern regions with better childcare coverage and higher proportions of foreign women likely benefit from stronger social services and economic opportunities.
Following previous analyses on the influence of economic measures on fertility at the macro level (Goldstein et al. 2013; Schneider and Hastings 2015; Comolli 2017; Hiilamo 2017; Bellido and Marcén 2019; Seltzer 2019), we estimate ordinary least squares (OLS) regression models with entity and time-fixed effects to account for the influence of factors not included in the analyses that might influence fertility (unobserved heterogeneity). This means adding calendar-year-fixed effects (in terms of t−1 years as time dummies), which control for unobserved effects that vary over time and influence Italian regions differently, and region-fixed effects (in terms of n−1 regions as dummies), which control for unobserved factors that are constant over time but vary across regions (Kohler and Kreuter 2005; Bartolucci et al. 2015). We work with time-varying variables at the regional level, and then we cluster robust standard errors by region to control for possible bias coming from correlation both within and across regions (Bartels 2008).
Our main model estimation follows the equation:
TFR is the total fertility rate of region i in year t, TUR is the total unemployment rate, MUR is the men’s unemployment rate, WUR is the women’s unemployment rate of region i in year t, and CONT is the single effects ( of control variables of region i in year t. is a vector of region-fixed effects () and i a vector of year-fixed effects (). ε is the error term.
To test our research hypotheses, several multivariate analyses are performed as part of our empirical strategy. The first set of OLS regression models with regional- and year-fixed effects is aimed at assessing both the first (RH1: General and gender-specific effects) and second (RH2: Composition effects) research hypotheses. Composition variables are included one at a time to better capture changes in the influence of unemployment measures on fertility, obtaining three model specifications. The first is the null model (Table S1, M0 of the Supplementary Materials), the second includes control variables and the percentage of foreign women (PFW—first composition variable: Table S1, M1, Supplementary Materials), the third adds to control variables the childcare coverage (CCOV—second composition variable: Table S1, M2, Supplementary Materials), and finally, the last estimation is the full model that accounts for all variables under examination (control and composition variables, Table S1, M3, Supplementary Materials). This strategy was repeated three times, one for each of the main independent variables (unemployment measures: TUR, MUR, and WUR). To enable a more accurate comparison across coefficients coming from different model specifications and across unemployment measures examined, we plot these results in Figure 2. Further tests, including the per capita gross domestic product at current prices to control for economic growth at the regional level, were performed, producing similar results to those obtained in considering unemployment measures (results are available upon request).
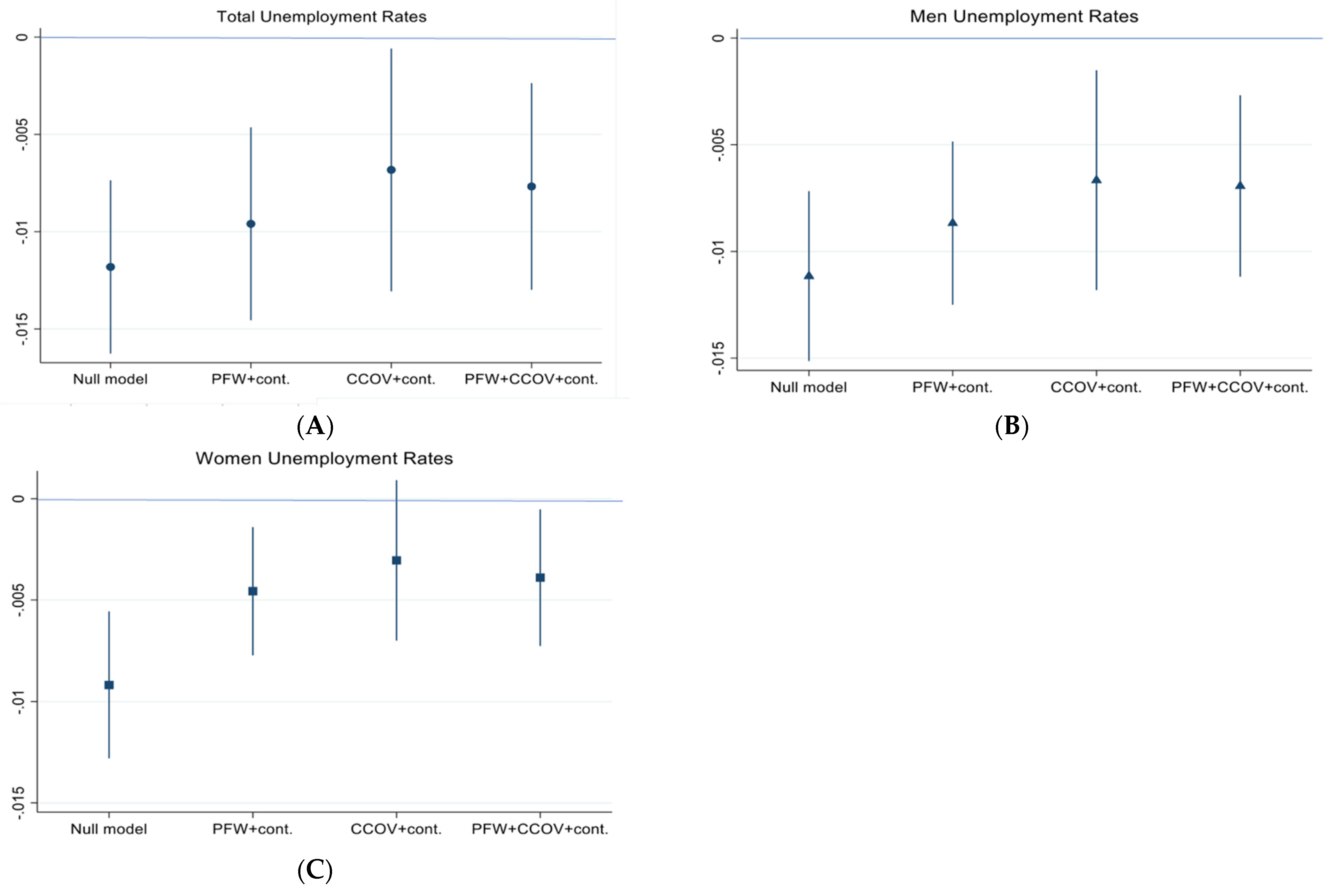
Figure 2.
Italy. Coefficients of total, men’s, and women’s unemployment rates (TURs, MURs, WURs) from fixed-effect regression models on total fertility rates (TFR) between 2006 and 2018 for Italian regions, with 95% confidence intervals. Notes: All plotted coefficients are statistically significant. For full models refer to Table S1 (Supplementary Materials) that shows the estimates from fixed-effects regression models of the Total, Male and Women Unemployment Rate (TUR, MUR, and WUR) on the Total Fertility Rate (TFR), 2006–2018 for Italian regions.
The model estimation follows the equation:
where is the share of foreign women in region i in year t, and is the childcare coverage rate of region i in year t.
The second set of models is designed to address our third and last research hypothesis (RH3: Interaction effects of composition variables). Here, two model specifications (Table 2: M1 and M2) are estimated for each unemployed measure under analysis (TUR, MUR, and WUR). Thus, to the full model (with control and composition variables), we add interaction terms between composition variables and unemployment measures—one at a time—to obtain a deeper understanding of whether and how fertility responses to unemployment change as the share of composition variables varies over time and across regions. Following this strategy, M1 adds the interaction term between the share of foreign women and unemployment (TUR/MUR/WUR*PFW), while M2 considers the interaction between childcare coverage (TUR/MUR/WUR*CCOV) and unemployment for TUR, MUR, and WUR, accordingly.
Table 2.
Results from fixed−effect regression models of total fertility rates (TFRs) by total, men’s, and women’s unemployment rates (TURs, MURs, WURs) between 2006 and 2018 for Italian regions with interaction terms for composition variables (PFW and CCOV).
The model estimation follows the equations:
where is the interaction term between the share of foreign women and unemployment in region i in year t, and
where is the interaction term between the childcare coverage rate and unemployment in region i in year t.
Composition and control variables are included in model estimations as time-varying measures, allowing us to control for changes in the regional compositions that might have affected fertility trends during the period under observation.
4. Results
4.1. On the General and Composition Effects: The Contribution of Foreign Women and the Coverage of Daily Childcare Services
Figure 2 shows the coefficients of the total, men’s, and women’s unemployment rates (TURs, MURs, and WURs) from fixed-effect regression models on total fertility rates (TFRs) between 2006 and 2018 for Italian regions. Our findings generally support a procyclical relationship between total unemployment rates and TFRs. Specifically, in the baseline model without controls or fixed effects, a one-percentage-point increase in the TUR corresponds to a decrease of 0.0118 in the respective TFR. This negative association persists even after considering the influence of foreign women’s fertility, introducing region and calendar-year-fixed effects, and employing robust standard errors clustered by regions (Figure 2A). Nevertheless, the strength of this relationship weakens (from −0.0118 to −0.00959). Even after excluding the percentage of foreign women (PFW) and childcare coverage (CCOV) as control variables in the M4 model, as well as the marriage rate (CMR) and divorce rate (CDR) in the M5 model, the results remain unchanged. A net effect is also observed in the gender-specific analysis within the M4 and M5 models, further confirming our findings (for full models, refer to Table S1 in the Supplementary Materials).
Furthermore, it is interesting to note that when daily childcare coverage is included, the adverse impact of TUR on TFR further decreases (Figure 2A): a one-percentage-point rise in the TUR now corresponds to a decrease of 0.0068 in the TFR. A more detailed analysis reveals that although the joint impact of foreign women’s contribution and daily childcare coverage can alleviate the initial procyclical association between TUR and TFR, their joint effect marginally contributes to enhancing overall birth rates in Italy in the period under study. On the other hand, the most substantial moderating effect on our main relationship that is observed concerns the coverage of daily childcare.
Taking a closer look at the gender-specific analysis (B and C), the most significant contribution comes from the men’s unemployment rate, even though the relationship is negative but much less pronounced with the women’s unemployment rate. With regard to the contribution of foreign women to fertility reduction in Italy and the positive influence arising from the availability of daily childcare services, a positive moderating effect is also observed for both the men’s unemployment rate (MUR) and the women’s unemployment rate (WUR). This effect tends to be greater for the women’s unemployment rate, confirming the constructive role that childcare facilities play in shaping women’s future family planning strategies in Italy (Panel C).
4.2. On the Interaction Effects of Composition Variables
Table 2 shows the results from fixed-effect regression models of total fertility rates (TFRs) by total, men’s, and women’s unemployment rates (TURs, MURs, and WURs) between 2006 and 2018 for Italian regions. We incorporate interaction terms between the lagged unemployment rates (TURs, MURs, and WURs) and the composition variables (PFW and CCOV). In regards to the interpretation of the interaction terms, our results reflect the marginal effect on fertility rates derived from the interaction between the unit value of the lagged unemployment rates and the unit value of the composition variable included in each case. Therefore, a positive beta coefficient of the interaction term indicates an additional effect resulting from a unit increase in both the unemployment rate and the composition variable. This effect adds to the single impact of a unit increase in unemployment alone and each composition variable alone.
Models M1 and M2 (respectively for TUR, MUR, and WUR) include the composition variables, foreign women’s fertility, and the coverage of daily childcare services.
Coefficients from a previous analysis suggested that the fertility rate behaves procyclically, even considering all the variables under analysis. Interestingly, the direct impact of the composition variables on fertility rates consistently shows a countercyclical trajectory here. These positive coefficients indicate that the presence of foreign women and greater coverage of childcare services might positively influence the TFR. However, when these composition effects interact with lagged unemployment rates, this effect suggests a mitigated procyclical influence on fertility rates, weakened by the value of the composition effects. Interestingly, disentangling the relationship, the moderating influence of the composition variables on the unemployment–fertility link reveals distinct patterns across genders (more detailed analysis in Table S2 in the Supplementary Materials).
A more detailed analysis reveals that an increase in the coverage of daily childcare facilities reduces the influence of the total unemployment rate (TUR) on the total fertility rate (TFR). This tendency remains consistent when considering gender-specific unemployment rates (MUR and WUR), with the most pronounced effect being observed in the WUR. Similarly, an increase in the share of foreign women corresponds to a reduction in the impact of TUR on TFR. This tendency persists when considering gender-specific unemployment rates (MUR and WUR).
4.3. Robustness Checks
In this section, we consider the notion that part of the variation in TFRs due to unemployment measures may reflect an inhomogeneous distribution of fertility across regions—that is, the influence of unemployment may differ when considering regions according to their fertility levels (higher or lower). Thus, we estimate quantile regressions with an equation that allows for the effects of independent variables to change over nine quantiles (from 0.10 to 0.90) of the regional distribution of TFR. As far as OLS regression models are concerned, quantile regressions control for unobserved heterogeneity and heteroskedasticity and are robust to outliers (Koenker 2017).
Our results show that the effects of unemployment vary over the lowest and highest quantiles of the conditional distribution of fertility across regions despite the measures considered (TUR, MUR, and WUR) (Figure 3). On the one hand, unemployment measures have larger, positive, and statistically significant effects on the lower quantiles of the conditional distribution of fertility rates (in Q1 to Q3 for TUR and WUR and in Q1 for MUR), meaning that the response of fertility to these unemployment measures is positive in regions with the lowest fertility rates; on the other hand, we find likely large but negative and statistically significant effects of unemployment on fertility in the highest quantiles (in Q7 and Q8 for TUR, and in Q8 and Q9 for MUR, and not statistically significant for WUR), with fertility thus being negatively impacted by total unemployment and men’s unemployment in regions with low fertility rates.
Figure 3.
Italian regions. Results from quantile regressions of the effect of TUR, MUR, and WUR (respectively) on TFR (with 95% confidence intervals). Notes: All the models control for the percentage of the population with a university education (men and women) (TEREM and TEREW), mean age at marriage (men and women) (MAMM and MAMW), marriage (CMR) and divorce rates (DR), the percentage of foreign women (PFW), and childcare coverage (CCOV). They include region and year-fixed effects. For full models refer to Table S3 in the Supplementary Materials which shows the results from quantile regression models of the Total, Male and Women Unemployment Rate (TUR, MUR, and WUR) on the Total Fertility Rate (TFR), 2006–2018 for Italian regions.
5. Discussion and Conclusions
This research explored the intricate dynamics between fertility choices and unemployment patterns during the Great Recession in Italy, focusing on gender-specific components. It also delved into the influence of foreign women and how the coverage of daily childcare facilities can shape fertility decisions in times of heightened economic uncertainty, as a single effect and from a combined perspective.
Our findings generally support our first research hypothesis (RH1: General and gender-specific effects). We found a procyclical relationship between overall unemployment and fertility rates, although notable nuances exist to elucidate. First, in the context of a prevailing negative association between unemployment and fertility, it is noteworthy that the men’s unemployment rate exhibits a particularly strong adverse impact on fertility rates (compared to WURs). This emphasizes the influential role that the man and his specific working situation often play in shaping the fertility decisions of the couple, aligning with the traditional societal roles where men often serve as primary breadwinners (Sobotka et al. 2011).
These results are in line with previous studies conducted in the US, Europe, and Italy (Goldstein et al. 2013; Cherlin et al. 2013; Cazzola et al. 2016; Seltzer 2019; Zambon et al. 2020) that unveiled a procyclical relationship between unemployment rates and fertility rates, especially during economic fluctuations (Vitali and Billari 2017). Furthermore, in numerous societies, including Italy, the historical role of the male partner’s employment has been crucial in the context of family planning. Experiencing male unemployment could generate a perception of economic uncertainty capable of impacting the couple’s choice to postpone or reduce their intention to have children. This is consistent with broader sociological theories emphasizing the importance of financial and economic stability in shaping reproductive decisions. Additionally, variations in impact across genders suggest that gender-specific economic factors play a distinct role in shaping fertility decisions.
With regard to our subsequent research hypotheses, our results confirm a general beneficial effect of foreign women’s contribution and the coverage of daily childcare facilities on fertility in Italy (RH2: Composition effects). The influence of the composition variables on fertility has the potential to counteract or weaken the negative trends of declining fertility during periods of severe economic and social uncertainty. These findings are in line with previous research on the role of foreign women and the contribution of family welfare to fertility variations. Earlier studies indicated that the contribution of immigrant fertility to overall fertility in the destination countries is primarily linked to their proportion in the population. As the population of foreign women increases, their potential contribution to the overall fertility of the country may also rise (Giannantoni and Strozza 2015). In a similar vein, Italy experienced significant immigration, making it one of the countries with the highest inflow of foreigners, particularly in terms of the growing female population.
Our results also support our third hypothesis (RH3: Interaction effects). Our findings reveal a positive moderating effect of foreign women’s contribution and the coverage of daily childcare facilities on the relationship between unemployment and fertility in Italy. These effects imply that when unemployment rates interact with composition variables (foreign women and childcare coverage), the relationship between unemployment rates and TFR becomes less pronounced. Our results also show that the most significant effect is observed for the availability of daily childcare facilities, and this effect tends to be greater for the women’s unemployment rate, confirming the constructive role that childcare facilities play in shaping women’s future family planning strategies in Italy. This finding aligns with existing literature highlighting the influence of family welfare instruments on childbearing choices in Western nations, which are capable of impacting positively the economic burden per child incurred by families (Baizán 2009; Luci-Greulich and Thévenon 2013; Kreyenfeld 2021; Mussino et al. 2023b; Laun and Wallenius 2021). Indeed, family-oriented policies have the potential to alleviate the financial burden on families by providing services and goods that families would otherwise have to procure privately. This reduction could potentially stimulate fertility rates (Bick 2016). Some studies also confirm that the provision of public services, such as daily childcare facilities, enhances mothers’ opportunities in the labor market by facilitating smoother transitions or re-entries into employment (Rindfuss et al. 2010). This could be particularly true during economic downturns (Schneider and Hastings 2015; Hiilamo 2017).
Finally, the implementation of quantile regressions allows us to better disentangle the relationship between unemployment and fertility. Our findings indicate varying effects of unemployment across different quantiles of the conditional distribution of fertility rates in regions.
The conclusions from our findings must be tempered with the awareness of several study limitations. First, we were unable to completely exclude endogeneity problems because of reverse causality and omitted variable issues, such as changes in attitudes, parity, or partnership. Our identification strategy included time-varying covariates and a full set of fixed effects, but the estimation of the unemployment–fertility relationship could still suffer from endogeneity issues. The limited availability of data prevents the use of several instrumental variables that were used in previous studies. Further research could consider implementing an IV estimation to achieve a more complete understanding of drivers of fertility during economic fluctuations in the Italian context.
Second, variations in fertility trends do not occur solely as a consequence of unemployment spells; other economic and financial factors, such as fixed assets or investments, can modify the fertility response to economic downturns. Therefore, unemployment explains only a fraction of the fertility reduction in our study. It is worth noting that the unemployment rate serves as a robust indicator of economic and social deprivation and is frequently linked to systematic decreases in fertility rates.
Finally, the use of a single country might reduce the external validity of our results. However, it also allows us to eliminate any bias from cross-country variation, thereby reducing endogeneity arising from unobservable confounding factors linked to differences in specific country contexts.
All in all, our key findings underscored a procyclical relationship between unemployment and fertility rates, with the men’s unemployment rate exhibiting a more adverse effect, signifying the gender-specific nature of this relationship. Notably, our analysis showed the potential of foreign women’s contribution and increased daily childcare provision to mitigate the conventional procyclical relationship and introduce elements of countercyclical dynamics. This suggests that a positive moderating impact on the unemployment–fertility nexus during economic downturns is anticipated under heightened immigrant fertility and extensive coverage.
Supplementary Materials
The following supporting information can be downloaded at https://www.mdpi.com/article/10.3390/socsci13120683/s1, Table S1 shows the estimates from fixed-effects regression models of the TUR, MUR, and WUR on the TFR, for the period 2006–2018 for Italian regions; Table S2 shows the results from fixed-effects regression models of TFR by TUR, MUR, WUR between 2006-2018 for Italian regions with interaction terms for composition variables (PFW and CCOV). Finally, Table S3 shows the results from quantile regression models of the TUR, MUR, and WUR on the TFR, for the period 2006-2018 for Italian regions.
Author Contributions
Conceptualization, R.P. (Roberta Pace) and R.P. (Raffaella Patimo); Methodology, T.G.-P., R.P. (Roberta Pace); Data curation, R.M., R.P. (Raffaella Patimo); Writing—original draft, T.G.-P., R.P. (Roberta Pace) and R.P. (Raffaella Patimo); Writing—review & editing, R.M., R.P. (Roberta Pace). All authors have read and agreed to the published version of the manuscript.
Funding
The authors acknowledge co-funding from Next Generation EU in the context of the National Recovery and Resilience Plan, Investment PE8—Project Age-It: ‘Ageing Well in an Ageing Society’. This resource was co-financed by the Next Generation EU [DM 1557 11.10.2022]. The views and opinions expressed are only those of the authors and do not necessarily reflect those of the European Union or the European Commission. Neither the European Union nor the European Commission can be held responsible for them. Additional co-funding was secured from PON Ricerca e Innovazione 2014–2020 DM 1062 for the project ‘La promozione della gender parity tra dinamiche sociodemografiche e politiche occupazionali innovative’ CUP H95F21001450006.
Institutional Review Board Statement
Not applicable.
Informed Consent Statement
Not applicable.
Data Availability Statement
The data are not publicly available due to ethical restrictions.
Conflicts of Interest
The authors declare no conflict of interest.
References
- Aassve, Arnstein, Guochi Fuochi, and Letizia Mencarini. 2014. Desperate housework: Relative resources, time availability, economic dependency, and gender ideology across Europe. Journal of Family Issues 35: 1000–22. [Google Scholar] [CrossRef]
- Alderotti, Gianmarco, Daniele Vignoli, Michela Baccini, and Anna Matysiak. 2021. Employment instability and fertility in Europe: A meta-analysis. Demography 58: 871–900. [Google Scholar] [CrossRef]
- Alderotti, Giammarco, Eleonora Mussino, and Chiara Ludovica Comolli. 2022. “Natives’ and Migrants’ Employment Uncertainty and Childbearing during the Great Recession: A Comparison between Italy and Sweden”. European Societies 25: 539–73. [Google Scholar] [CrossRef]
- Ang, Xiaoling Lim. 2015. The effects of cash transfer fertility incentives and parental leave benefits on fertility and labor supply: Evidence from two natural experiments. Journal of Family and Economic Issues 36: 263–88. [Google Scholar] [CrossRef]
- Ayllón, Sara. 2019. Job insecurity and fertility in Europe. Review of Economics of the Household 17: 1321–47. [Google Scholar] [CrossRef]
- Bagavos, Christos. 2019. On the multifaceted impact of migration on the fertility of receiving countries. Demographic Research 41: 1–36. [Google Scholar] [CrossRef]
- Bagavos, Christos. 2023. How much does migration affect labor supply in Europe? Methodological insights and contemporary evidence from the European Union and selected European countries. International Migration Review 57: 1132–52. [Google Scholar] [CrossRef]
- Baizán, Pau. 2009. Regional child care availability and fertility decisions in Spain. Demographic Research 21: 803–842. [Google Scholar] [CrossRef]
- Barbieri, Paolo, Giorgio Cutuli, and Stefani Scherer. 2018. In-work poverty in Southern Europe: The case of Italy. In Handbook on In-Work Poverty. Cheltenham: Edward Elgar Publishing, pp. 312–27. [Google Scholar]
- Bartels, Brandons. 2008. Beyond “fixed versus random effects”: A framework for improving substantive and statistical analysis of panel, time-series cross-sectional, and multilevel data. The Society for Political Methodology 9: 1–43. [Google Scholar]
- Bartolucci, Francesco, Federico Belotti, and Franco Peracchi. 2015. Testing for time-invariant unobserved heterogeneity in generalized linear models for panel data. Journal of Econometrics 184: 111–23. [Google Scholar] [CrossRef]
- Bellido, Hector, and Miriam Marcén. 2019. Fertility and the business cycle: The European case. Review of Economics of the Household 17: 1289–319. [Google Scholar] [CrossRef]
- Bick, Alexander. 2016. The quantitative role of child care for female labor force participation and fertility. Journal of the European Economic Association 14: 639–68. [Google Scholar] [CrossRef]
- Boccuzzo, Giovanna, Marcantonio Caltabiano, Giampiero Dalla Zuanna, and Marzia Loghi. 2008. The impact of the bonus at birth on reproductive behaviour in a lowest-low fertility context: Friuli-Venezia Giulia (Italy), 1989–2005. In Vienna Yearbook of Population Research. Vienna: Austrian Academy of Sciences Press, pp. 125–47. [Google Scholar]
- Brini, Elisa. 2020. Childlessness and low fertility in context: Evidence from a multilevel analysis on 20 European countries. Genus 76: 1–38. [Google Scholar] [CrossRef]
- Busetta, Annalisa, Daria Mendola, and Daniele Vignoli. 2019. Persistent joblessness and fertility intentions. Demographic Research 40: 185–218. [Google Scholar] [CrossRef]
- Butz, William P., and Michael P. Ward. 1979. The emergence of countercyclical US fertility. The American Economic Review 69: 318–28. [Google Scholar]
- Caltabiano, Marcantonio, Maria Castiglioni, and Alessandro Rosina. 2009. Lowest-low fertility: Signs of a recovery in Italy? Demographic Research 21: 681–718. [Google Scholar] [CrossRef]
- Cannonier, Colin. 2014. Does the Family and Medical Leave Act (FMLA) increase fertility behavior? Journal of Labor Research 35: 105–32. [Google Scholar] [CrossRef]
- Cazzola, Alberto, Lucia Pasquini, and Aurora Angeli. 2016. The relationship between unemployment and fertility in Italy: A time-series analysis. Demographic Research 34: 1–38. [Google Scholar] [CrossRef]
- Cherlin, Andrew, Erin Cumberworth, S. Philip Morgan, and Cristopher Wimer. 2013. The effects of the great recession on family structure and fertility. The Annals of the American Academy of Political and Social Science 650: 214–31. [Google Scholar] [CrossRef]
- Comolli, Chiara Ludovica. 2017. The fertility response to the Great Recession in Europe and the United States: Structural economic conditions and perceived economic uncertainty. Demographic Research 36: 1549–600. [Google Scholar] [CrossRef]
- Comolli, Chiara Ludovica, and Daniele Vignoli. 2021. Spreading uncertainty, shrinking birth rates: A natural experiment for Italy. European Sociological Review 37: 555–70. [Google Scholar] [CrossRef]
- Comolli, Chiara Ludovica, and Fabrizio Bernardi. 2015. The causal effect of the great recession on childlessness of white American women. IZA Journal of Labor Economics 4: 1–24. [Google Scholar] [CrossRef]
- Currie, Janet, and Hannes Schwandt. 2014. Short and long-term effects of unemployment on fertility. Proceedings of the National Academy of Sciences 111: 14734–739. [Google Scholar] [CrossRef] [PubMed]
- Dalla Zuanna, Giampiero, Fiorenzo Rossi, and Peter McDonald. 2020. Administrative boundaries and demographic knowledge: General issues and a case-study for Italy. Popolazione e Storia 21: 67–86. [Google Scholar]
- Dixit, Avinash K., and Robert S. Pindyck. 1994. Investment Under Uncertainty. Princeton: Princeton University Press. [Google Scholar]
- Dobrotić, Ivana, and Sonia Blum. 2020. Inclusiveness of parental-leave benefits in twenty-one European countries: Measuring social and gender inequalities in leave eligibility. Social Politics: International Studies in Gender, State & Society 27: 588–614. [Google Scholar]
- Friedman, Debra, Michael Hechter, and Satoshi Kanazawa. 1994. A theory of the value of children. Demography 31: 375–401. [Google Scholar] [CrossRef]
- Garcia-Pereiro, Thais, and Raffaella Patimo. 2017. From the double role to the multiple burden of women: Career or carer? In Research in Progress. Population, Environment, Health. Bari: Cacucci Editore, pp. 303–21. [Google Scholar]
- Giannantoni, Patrizia, and Salvatore Strozza. 2015. Foreigners’ contribution to the evolution of fertility in Italy: A re-examination on the decade 2001–2011. Rivista Italiana di Economia Demografia e Statistica 69: 129–40. [Google Scholar]
- Goldstein, Joshua R., Michaela Kreyenfeld, Aiva Jasilioniene, and Deniz Karaman Örsal. 2013. Fertility reactions to the “Great Recession” in Europe: Recent evidence from order-specific data. Demographic Research 29: 85–104. [Google Scholar] [CrossRef]
- Hiilamo, Heikki. 2017. Fertility response to economic recessions in Finland 1991–2015. Finnish Yearbook of Population Research 52: 15–28. [Google Scholar] [CrossRef]
- Hofmann, Barbara, Michaela Kreyenfeld, and Arne Uhlendorff. 2017. Job displacement and first birth over the business cycle. Demography 54: 933–59. [Google Scholar] [CrossRef] [PubMed]
- Hotz, V. Joseph, Jacob Alex Klerman, and Robert J. Willis. 1997. The economics of fertility in developed countries. In Handbook of Population and Family Economics. Amsterdam: Elsevier: vol. 1, pp. 275–347. [Google Scholar]
- Héran, Francois, and Gilles Pison. 2007. Two children per woman in France in 2006: Are immigrants to blame? Population Societies 432: 1–4. [Google Scholar]
- ISTAT. 2014. Rapporto su natalità e fecondità della popolazione residente. Statistiche Report. Rome: ISTAT. [Google Scholar]
- ISTAT. 2020. Rapporto su natalità e fecondità della popolazione residente. Statistiche Report. Rome: ISTAT. [Google Scholar]
- ISTAT. 2023. Rapporto su occupati e disoccupati. Statistiche Report. Rome: ISTAT. [Google Scholar]
- Karaman, Ö. Deniz, and Joshua R. Goldstein. 2010. The Increasing Importance of Economic Conditions on Fertility. No. WP-2010-014. Rostock: Max Planck Institute for Demographic Research. [Google Scholar]
- King, Rosalind Berkowitz. 2005. The case of American women. In Globalization, Uncertainty and Youth in Society: The Losers in a Globalizing World. Abingdon-on-Thames: Routledge, p. 314. [Google Scholar]
- Koenker, Roger. 2017. Computational methods for quantile regression. In Handbook of Quantile Regression. Edited by Roger Koenker, Victor Chernozhukov, Xuming He and Limin Peng. Boca Raton: CRC Press. [Google Scholar]
- Kohler, Hans Peter, Francesco C. Billari, and Josè Antonio Ortega. 2002. The emergence of lowest-low fertility in Europe during the 1990s. Population and Development Review 28: 641–80. [Google Scholar] [CrossRef]
- Kohler, Ulrich, and Frauke Kreuter. 2005. Data Analysis Using Stata. College Station: Stata Press. [Google Scholar]
- Kotzamanis, Byron. 2022. Fertility of nationals and foreigners in Spain, Italy, and Greece During and after the economic recession and refugee crisis. Investigaciones Geográficas 77: 57–77. [Google Scholar] [CrossRef]
- Kreyenfeld, Michaela. 2021. Causal modelling in fertility research: A review of the literature and an application to a parental leave policy reform. Comparative Population Studies 46: 269–302. [Google Scholar] [CrossRef]
- Laun, Tobias, and Joanna Wallenius. 2021. Having it all? Employment, earnings and children. The Scandinavian Journal of Economics 123: 353–81. [Google Scholar] [CrossRef]
- Luci-Greulich, Angela, and Olivier Thévenon. 2013. The impact of family policies on fertility trends in developed countries. European Journal of Population 29: 387–416. [Google Scholar] [CrossRef]
- Matysiak, Anna, Tomas Sobotka, and Daniele Vignoli. 2021. The Great Recession and fertility in Europe: A sub-national analysis. European Journal of Population 37: 29–64. [Google Scholar] [CrossRef] [PubMed]
- Milewski, Nadia, and Uta Brehm. 2023. Parental leave policies, work (re) entry, and second birth: Do differences between migrants and non-migrants in Germany increase? Genus 79: 20. [Google Scholar] [CrossRef]
- Morgan, S. Philip, and Christine A. Bachrach. 2011. Is the theory of planned behaviour an appropriate model for human fertility? Vienna Yearbook of Population Research 9: 11–18. [Google Scholar] [CrossRef]
- Mussida, Chiara, and Raffaella Patimo. 2023. Care, labour force participation and health: The case of Italy. International Journal of Manpower 44: 91–107. [Google Scholar] [CrossRef]
- Mussino, Eleonora, and Salvatore Strozza. 2012. The fertility of immigrants after arrival: The Italian case. Demographic Research 26: 99–130. [Google Scholar] [CrossRef]
- Mussino, Eleonora, Elisabeth Kraus, and Nadia Milewski. 2023a. Introduction to the thematic series: Use and consequences of family policies among migrants and their descendants in Europe. Genus 79: 25. [Google Scholar] [CrossRef]
- Mussino, Eleonora, Giuseppe Gabrielli, Livia E. Ortensi, and Salvatore Strozza. 2023b. Fertility intentions within a 3-year time frame: A comparison between migrant and native Italian women. Journal of International Migration and Integration 24 S1: 233–60. [Google Scholar] [CrossRef]
- Neels, Karel, Zita Theunynck, and Jonas Wood. 2013. Economic recession and first births in Europe: Recession-induced postponement and recuperation of fertility in 14 European countries between 1970 and 2005. International Journal of Public Health 58: 43–55. [Google Scholar] [CrossRef]
- Ogura, Seirutsu, and Tamotsu Kadoda. 2008. Labor market policies and fertility of Japanese women: Analysis of municipal data. In Workshop at Economic Research Institute of Hitotsubashi University 4. Available online: https://cis.ier.hit-u.ac.jp/Japanese/society/Ifo-workshop0802/Japanesefertility_ogura_kadoda.pdf (accessed on 24 September 2024).
- Ranjan, Priya. 1999. An economic analysis of child labor. Economics Letters 64: 99–105. [Google Scholar] [CrossRef]
- Rindfuss, Ronald R., David K. Guilkey, S. Philip Morgan, and Øysten Kravdal. 2010. Child-care availability and fertility in Norway. Population and Development Review 36: 725–48. [Google Scholar] [CrossRef] [PubMed]
- Schneider, Daniel, and Orestes P. Hastings. 2015. Socioeconomic variation in the effect of economic conditions on marriage and nonmarital fertility in the United States: Evidence from the Great Recession. Demography 52: 1893–915. [Google Scholar] [CrossRef]
- Seltzer, Nathan. 2019. Beyond the Great Recession: Labor market polarization and ongoing fertility decline in the United States. Demography 56: 1463–493. [Google Scholar] [CrossRef] [PubMed]
- Sobotka, Tomas. 2008. Overview Chapter 7: The rising importance of migrants for childbearing in Europe. Demographic Research 19: 225–48. [Google Scholar] [CrossRef]
- Sobotka, Tomas, Vergard Skirbekk, and Dimiter Philipov. 2011. Economic recession and fertility in the developed world. Population and Development Review 37: 267–306. [Google Scholar] [CrossRef] [PubMed]
- Tønnessen, Marianne. 2020. Declined total fertility rate among immigrants and the role of newly arrived women in Norway. European Journal of Population 36: 547–73. [Google Scholar] [CrossRef] [PubMed]
- Van Landschoot, Lisa, Helga De Valk, Didier Willaert, and Jan Van Bavel. 2014. Migrants’ fertility: The influence of partner choice on the fertility of the second generation in Belgium. Paper presented at European Population Conference 2014, Budapest, Hungary, June 25–28. [Google Scholar]
- Vitali, Agnese, and Francesco C. Billari. 2017. Changing determinants of low fertility and diffusion: A spatial analysis for Italy. Population, Space and Place 23: e1998. [Google Scholar] [CrossRef]
- Zambon, Ilaria, Kostas Rontos, Cecilia Reynaud, and Luca Salvati. 2020. Toward an unwanted dividend? Fertility decline and the north–south divide in Italy, 1952–2018. Quality & Quantity 54: 169–87. [Google Scholar]
- Zhou, Muzhi, and Man-Yee Kan. 2019. A new family equilibrium? Changing dynamics between the gender division of labor and fertility in Great Britain, 1991–2017. Demographic Research 40: 1455–500. [Google Scholar] [CrossRef]
Disclaimer/Publisher’s Note: The statements, opinions and data contained in all publications are solely those of the individual author(s) and contributor(s) and not of MDPI and/or the editor(s). MDPI and/or the editor(s) disclaim responsibility for any injury to people or property resulting from any ideas, methods, instructions or products referred to in the content. |
© 2024 by the authors. Licensee MDPI, Basel, Switzerland. This article is an open access article distributed under the terms and conditions of the Creative Commons Attribution (CC BY) license (https://creativecommons.org/licenses/by/4.0/).


