Next Article in Journal
Performance Optimization and Field Validation of Post-Grouting Geopolymer Materials for Pile Foundations: Microstructural Insights and Environmental Durability
Previous Article in Journal
Adaptability in the Building Process: A Multifaceted Perspective Across the Life Cycle of a Building
Previous Article in Special Issue
Effect of Different Static Load Test Methods on the Performance of Combined Post-Grouted Piles: A Case Study in the Dongting Lake Area
 
 
Font Type:
Arial Georgia Verdana
Font Size:
Aa Aa Aa
Line Spacing:
Column Width:
Background:
Article

Study on Mechanical Properties of Shotcrete Arch Frames in Tunnel Engineering Considering Blasting Excavation Effect at Early Age

1
Shandong Provincial Key Laboratory of Civil Engineering Disaster Prevention and Mitigation, Shandong University of Science and Technology, Qingdao 266590, China
2
University of Science and Technology Beijing, Beijing 100083, China
3
Qingdao Metro Group Co., Ltd., Qingdao 266744, China
4
Shandong Tianqin Mining Mechanism Equipment Co., Ltd., Heze 274799, China
*
Author to whom correspondence should be addressed.
Buildings 2025, 15(7), 1120; https://doi.org/10.3390/buildings15071120
Submission received: 21 January 2025 / Revised: 21 February 2025 / Accepted: 21 February 2025 / Published: 29 March 2025

Abstract

Steel arches and shotcrete systems are the most commonly used forms of initial support structures in underground tunnel engineering. Blasting and excavating in tunnels constructed using the drill-and-blast method affect the synergy between the early-age concrete and the steel arch. Research on the performance of commonly used grid steel frames and I-steel frames in tunnel support systems under blasting vibration conducted to date is not sufficient. In this paper, an experimental instrument was developed that can apply displacement and impact loads on concrete at an early age to simulate the stress situation of a steel frame during tunnel blasting excavation, and four groups of steel-grid frame and I-frame experiments were carried out. A numerical simulation of twelve schemes was launched based on ABAQUS, considering the effects of arch curvature and the time of impact load. Results: (1) The synergistic action between the steel frame and concrete has a time effect, and the damage between rebar and concrete caused by the blasting action decreases with the age of the concrete. (2) After the impact load, the ultimate bearing capacity of the two types of steel frame decreases by 25% and 15.5%, respectively, and the bearing capacity of the I-steel concrete arch is higher than that of the grid concrete arch, but the I-steel concrete arch is greatly affected by the vibration load. (3) The impact load and curvature of the steel arch have an impact on the synergy between the steel frame and concrete, while the supporting performance of the I-frame concrete arch is more significantly decreased by the effect of blasting excavation.

1. Introduction

At present, the drilling and blasting method is mostly used in the excavation of mountain tunnels in China, which has the advantages of economy and high efficiency. However, as a supporting structure close to the tunnel drilling and blasting heading face, the blasting vibration effect experienced during the excavation process affects its stability.
Scholars at home and abroad have conducted studies on the influence of blasting vibration on tunnel structure. Dang et al. [1], through uniaxial compression tests at different ages, compared and analyzed the compressive strength, residual strength and elastic modulus of shotcrete and ordinary concrete, and the evolution law of their mechanical indices with age was revealed. According to the complexity of the setting and hardening process of sprayed concrete, as well as the influencing factors of mechanical strength, Li Peilong, Yue et al. [2] obtained the growth characteristics of the compressive strength of sprayed concrete under the comprehensive influence of age, temperature and accelerator content. Zhou et al. [3] explored the evolution law of mechanical parameters of shotcrete at different ages and summarized the age characteristics of shotcrete in an initial support. Hu et al. [4] used ANSYS finite-element software to study the cumulative development trend of damage of a sprayed concrete lining at different ages under the action of explosion shockwaves using a model of the segmental damage curve of concrete. Many scholars have carried out studies on early-age concrete in tunnels [5,6,7,8,9,10,11], but the current research mainly focuses on the changes in the concrete material mix ratio or mechanical properties of early-age shotcrete, as studies on the changes in mechanical properties of the initial support in tunnels under actual stress are still lacking.
In the process of tunnel excavation and blasting construction, tunnel blasting excavation and initial support are alternately carried out. Because the newly completed initial support is close to the working face, the influence of the blasting vibration load on the initial support cannot be ignored. Wang [12] studied the vibration response of a shotcrete layer at the beginning of a tunnel under the action of blasting vibration, as well as the vibration velocity and stress distribution law of the shotcrete layer at the beginning of the tunnel. According to this law, the safe distance between the shotcrete layer at the beginning of the tunnel and the tunnel face was determined. Jian [13] analyzed the dynamic response characteristics of a supporting structure and the damage law of surrounding rock under different working conditions and obtained the dynamic response law of surrounding rock and the supporting structure under the blasting action of a multi-arch tunnel. Many scholars have carried out studies on this [14,15,16,17,18], but the above studies were mostly focused on the completion of the initial support and maintenance of the tunnel, with the newly sprayed initial support structure closest to the tunnel face and the concrete not completely hardened; therefore, the impact of blasting cannot be ignored, and there is still a gap in this part of the literature at present.
In this paper, a shotcrete grid steel frame and I-beam steel frame commonly used in tunnels are studied. Considering the influence of surrounding rock vibration caused by tunnel blasting construction on the structure at the initial stage of concrete hardening, the effect of the weakening degree of the tunnel blasting vibration load on the mechanical properties and ultimate bearing capacity of two kinds of steel frames at the initial stage of tunnel support are explored through field measurement data, indoor simulation experiments, and ABAQUS numerical simulation and verification.

2. Field Monitoring

2.1. Engineering Background

As shown in Figure 1, the depth of the Qingdao subway station is 59.19 m. It is an island-type underground excavation station with two floors underground. The primary body of the station is a single arch with a composite lining type, and the double-layer initial arch cover method was adopted for construction. The support form is shotcrete with an anchor support system, and the upper steps of the station arch were excavated by the CD method, while the lower steps were excavated by “longitudinal segmentation, vertical stratification and middle grooving”.

2.2. Monitoring Scheme

This test monitored the particle velocity of the support structure vault during the excavation process of eight consecutive cycles of blasting. The blasting vibration test instrument adopts TC-4850 blasting vibration meter, with maximum range of 39 cm/s, frequency range of 0–1000 Hz and recording accuracy of 0.001 cm/s, the sampling rate during the test is the default value of the instrument. The excavation advance per blast cycle is 0.75 m when the distance between the measuring point and the blasting center is less than 4.25 m. When the distance exceeds 4.25 m, the advance per blast cycle increases to 1.5 m. Blasting monitoring is divided into steel frame vibration and concrete vibration. The layout and installation of the monitoring equipment are illustrated in Figure 2.

2.3. Data Analysis

The vibration velocity directions of particles during tunnel blasting can be categorized into three components: horizontal, vertical and radial. To ensure guarantee the safety of the tunnel, this study analyzes the combined vibration velocity to enhance the safety margin of tunnel vibration velocity.
Figure 3 is a comparative analysis of vibration velocity measured during tunnel blasting excavation. As shown in Figure 3, the vibration velocity of the support structure generally initially decreases and then slightly increases as the distance from the blasting center increases, and the steel frame consistently exhibits a higher vibration velocity than the shotcrete. As the distance from the blasting source increases, the difference between the two vibration velocities decreases, the impact of blasting vibration on the supporting structure decreases gradually, and the vibration velocity of steel frame and concrete decreases at this time. As the concrete hardens over time, the vibration speed of steel frame and shotcrete gradually coordinated from the 6th day, suggesting that the concrete and steel frame began to function synergistically.

2.4. Analysis of the Impact of Blasting Vibration on Initial Support Structures

The tensile strength of concrete is considerably lower than its compressive strength; therefore, the damage to sprayed concrete is primarily governed by its tensile strength when subjected to blasting stress [19]. The strength of concrete increases continuously from the initial to the final setting stage to final setting. The hardening process is time-dependent. Both compressive and tensile strength increase over time, the relationship between tensile strength and compressive strength [20] can be referred to the following formula.
ft = 0.88 (0.395 fτ0.55) (1 − 1.645 δ)0.45
The tunnel's surrounding rock is classified as Grade IV, and the shotcrete is of Grade C30. The coefficient of variation, denoted as δ, is used in the analysis. C30 concrete δ = 0.16, which can be used to calculate the tensile strength of concrete in different ages. The stress wave theory is used to check the stress of shotcrete by using the vibration speed of shotcrete during each blasting. The results are presented in Table 1:
Figure 4 shows the internal tensile stress and concrete tensile strength verified curve of sprayed concrete at the arch top. As shown in Figure 4, during the first 36 hours of concrete hardening, the first two blasting excavations, the tensile stress produced by blasting dynamic stress on concrete is far greater than the tensile strength of concrete, leading to internal tensile cracking. During the third blasting, the blasting tensile stress is close to the tensile strength of concrete. Considering the cumulative effect of blasting dynamic stress on the internal damage of shotcrete, concrete deterioration is still expected. Therefore, the steel frame concrete composite structure at the measuring point is damaged under the action of the first three blasting loads, as evidenced by internal tensile cracking in the shotcrete, and the ability to play a cooperative bearing with the steel frame is weakened.

3. Laboratory Experiment

3.1. Experimental Scheme

3.1.1. Principle of Similitude

The model test involves various materials, there are many kinds of materials involved, such as rock mass material, shotcrete, blasting interval time, vibration speed, steel frame size, etc. Therefore, based on the similarity theory of physical test model and mechanical similarity properties, the similarity ratio coefficients of the test specimens are derived. Force, length, and time are selected as the fundamental dimensions. force system to represent the dimensions of the above similar parameters, as summarized in Table 2.
Poisson’s ratio in the above parameters is dimensionless. According to the second theorem of similarity, the functional formula can be listed [21].
f (L, D, F, G, T, ρ) = 0
Let α1, α2, …, α7 represent the indices of the above parameters respectively, then the dimensional matrix of the force system can be listed. As shown in Table 3.
According to this matrix, three linear homogeneous algebraic equations can be obtained:
F :   α 3 + α 7 = 0 L :   α 1 + α 2 + α 4 + α 5 4 α 7 2 α 8 = 0 T :   α 4 2 α 5 + α 6 + 2 α 7 = 0
Through a comprehensive analysis of multiple model scaling schemes, the geometric similarity ratio CL = 2 is determined. This model test does not incorporate actual excavation blasting. The surrounding rock of the cavern simulated in this test is class IV rock mass, with rock density of 2670 kg/m3, elastic modulus of 70 GPa and Poisson’s ratio of 0.24. Assuming that the density similarity ratio Cρ = 1, Poisson’s ratio similarity ratio Cν = 1 and elastic modulus of 70 GPa of similar materials excavated by blasting.
Furthermore, since the prototype and the model share the same gravitational field constraints, the gravitational acceleration remains identical. Since the model is similar to the prototype, all accelerations should be equal, that is, Cg = 1. The relationship between acceleration and the similarity parameters of length and time is expressed as: Cg = CL/Ct2. By solving Equation (3), the similarity ratio of the main physical and mechanical parameters of the model can be obtained, as summarized in Table 4.
The determination of the actual vibration velocity in the blasting parameters is based on the first three vibration velocities that are greater than or close to the tensile strength of concrete in Table 1. The similar values used in the indoor test are 5.74 m/s, 4.57 m/s and 3.42 m/s. In addition, the actual value of the blasting interval time in the time parameter is taken as the average value of the eight data acquisition times in Table 1, which is about 24 h.To streamline time-related calculations and testing procedures, the blasting cycle footage duration in the specimen model test design is adjusted from 16.87 h to 18 h.

3.1.2. Test Plan

(1)
Specimen scale
In this experimental study, the design parameters of the concrete arch were derived from the primary support configuration implemented in the Qingdao metro tunnel project. The structural components, including both profile steel frames and grid steel frames, were meticulously selected for testing, with their specific parameters provided in Table 5.The corresponding geometric configurations are illustrated in Figure 5. Notably, the test specimens were designed with a geometric scaling factor of 1:2 compared to the original structural elements. As a result of this scaling, the prototype-to-experiment ratios were 1:4 for the cross-sectional area, 1:4 for the reinforcement area, and 1:8 for the volume.
Before the test, a batch of 150 mm × 150 mm × 150 mm concrete test blocks were prepared as similar materials of surrounding rock, and placed between the hammer and the arch specimen to transfer the impact load. At the initial construction stage, the supporting steel frames are erected at equal intervals along the direction in which the tunnel is being excavated. The area between two steel frames is sprayed concrete layer with a thickness of 700 mm and a protective layer of 50 mm. Finally, the cross-sectional dimensions of the concrete arch used in the test were determined as b × h = 200 mm × 150 mm =30,000 mm2.
(2)
Triaxial compression experiment
To investigate the mechanical behavior of steel frame structures encapsulated with early-age concrete under sustained loading conditions, and to establish appropriate curing protocols for concrete arch specimens, preliminary cube tests were conducted to evaluate the development of compressive strength and elastic modulus in early-age concrete. The experimental procedures and corresponding results are illustrated in Figure 6.
(3)
Experimental introduction
In this section of the loading test, shotcrete arch components serve as the primary research focus, and the arch frames are the section steel frames and grid steel frames commonly used in tunnels. In the test stage ① the impact load and continuous displacement load are applied to the arch after concrete pouring, and the vibration effect of the test piece caused by the impact load is calculated by the approximate value of vibration speed in Section 2.3; The displacement load magnitude was determined based on the measured vault settlement in field monitoring.
Once the shotcrete arch specimen attains the required strength, the test group and the control group of components are tested at the same time to determine the impact of the initial load of blasting excavation on the bearing performance of steel reinforced concrete steel frame and grid concrete steel frame. The experimental design is presented in Table 6
Due to the complex and multifaceted stress distribution in tunnel arches, the stress behavior of the sprayed concrete arch specimen has been simplified for the purposes of this study. Specifically, the dynamic stress loading typically exerted at the crown of the tunnel is modeled as an impact load applied at the haunch of the specimen, thereby reducing the complexity of simulating the interfacial interaction between the surrounding rock mass and the shotcrete lining. The analysis is confined to normal stress components, with the compressive loading represented as a point load applied at the mid-span of the specimen. Additionally, the boundary conditions allow rotational freedom at both ends while restricting translational displacement, approximating an idealized hinged support. A schematic representation of this simplified stress distribution is shown in Figure 7.
The comprehensive experimental setup, as defined by the aforementioned boundary conditions and loading configuration, is illustrated in Figure 8a. Due to the fluid nature of concrete during the initial casting phase, a mold with low stiffness is used to preserve the geometric integrity of the concrete arch. To mitigate excessive restraint imposed by the mold on the concrete arch and to facilitate the observation of test phenomena, the specimen is positioned horizontally on the ground. The mold is designed to envelop solely the inner and outer contour surfaces of the specimen, with supports provided only at both ends. The extremities of the specimen are fabricated from semi-circular steel tubes, which are welded to the steel frame and simultaneously interface with the reaction apparatus, effectively simulating hinged support conditions. The reaction apparatus, constructed from welded steel plates, is securely anchored within the laboratory trench via ground anchors. The screw jack, used to apply the load, is affixed to the reaction apparatus via a flange connection. The centroids of the concrete arch specimen and the screw jack are aligned at the same elevation, as depicted in Figure 8b.
The upper part of the screw jack is in contact with the reaction device, and the lower part is in contact with the base plate. The displacement load is applied through the jack, and the displacement load value is controlled by the displacement meter. The displacement sensor adopts the resistance displacement meter produced by Shen-zhen Milang Company in China, and its measuring range is 20 mm and 100 mm respectively. The load sensor adopts two DYLF-102 spoke tension pressure sensors with a measuring range of 200 T, which are installed at the end of the arch frame and the hinge support with a measuring range of 100 T and installed at the top of the hydraulic jack and arch frame. The hammer head is attached to the swing arm. At the lowest position of the swing arm, the hammer head contacts with rock similar materials. The impact load value is determined by the vibration speed of the test piece, measured by the acceleration sensor.
Continuous loading test of early age concrete arch specimens
The experimental procedure consists of two distinct phases. The first phase is the preloading stage, wherein a minimal total load is applied at an accelerated rate immediately following concrete pouring. This step ensures the proper functionality of the loading system and establishes initial contact between the specimen and the loading apparatus. The second phase, referred to as the initial load control stage, begins the formal loading process through the combined action of the impact load system and the screw jack. The impact load is derived from the fitted vibration velocity calculated in Section 2.1, while the displacement load is regulated using a displacement meter, with its magnitude based on field-measured settlement data. To facilitate the analysis of experimental data and ensure the efficacy of the test, the loading duration and frequency are meticulously determined, as outlined in Table 7. This structured approach ensures the systematic and controlled application of loads, enabling accurate observation and interpretation of the specimen's response.
Destructive loading test of concrete arch specimens
Once the compressive strength of the concrete reaches the standard value after a specified period (198 hours), the loading failure test is conducted. The test in this stage is the destructive loading test of the original test group specimens S—1 and L-1 and the control group specimens S—2 and L—2. The screw jack is used to control the displacement load of 1 mm each time, and the loading time interval is 1 min. Throughout this process, the displacement and load variations of the specimen are monitored. After the specimen is continuously loaded until the concrete arch specimen is greatly deformed and obviously damaged, and the unloading of the force sensor at the jack is stable at a certain value, the stage II test is over.

3.2. Phenomenon of Early Age Blasting Load Experimental

3.2.1. Section Steel Specimen

S—1 test process of section steel specimen
Figure 9a illustrates the typical acceleration waveform following the initial impact load on specimen S—1. The vibration speeds generated by the three impact loads are 5.58 cm/s, 5.02 cm/s and 4.47 cm/s, which are close to the design vibration speed and are greater than the tensile strength of concrete at that time, which will cause tensile crack damage to the interior of concrete.
Figure 9b shows that after the specimen S—1 is loaded for 168 h, the mid span base plate of the arch frame is closely attached to the outer contour surface and in full contact. There are obvious depressions at the waist of the arch frame, no obvious cracks and other phenomena. Only the monitoring data show continuous variation.
Analysis of evolution law of concrete arch frame under cooperative force
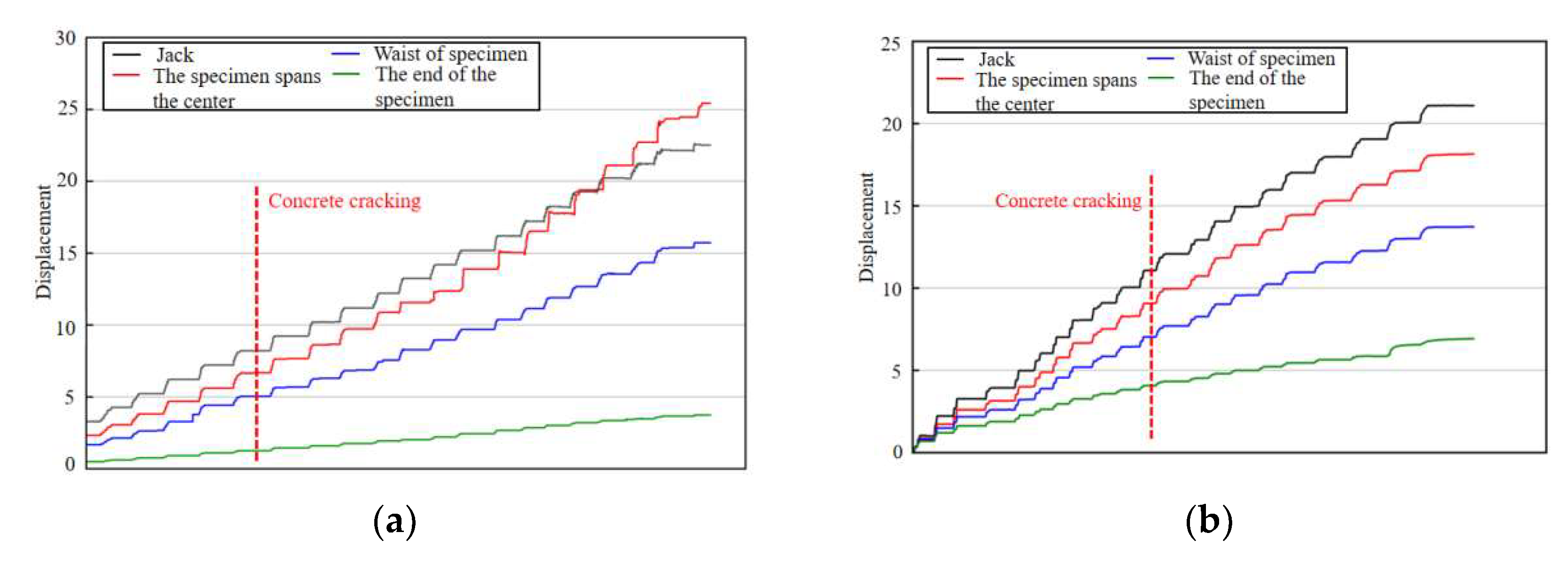
Figure 10a shows the corresponding curve between the displacement monitoring value of the displacement measuring point during the continuous loading of the specimen S—1 and the concrete hardening time of the specimen. During the initial loading stage, the displacement values at the free side, waist, and end of the mid-span remain near zero during the first three loading cycles. In the second stage of loading, that is, the displacement increment of the monitoring point at the free side of the mid span of the specimen has been basically the same as the load displacement value. In the third stage of loading, that is, after the 90th hour of loading, the displacement value of the four monitoring points in this stage basically maintained the same trend, and the displacement increment of each monitoring point was basically stable after each loading. At this stage, it can be concluded that the concrete and steel frame have integrated into a cohesive structure, enabling complete load and deformation transmission. Therefore, the specimen is capable of bearing the load as a unified entity, and the failure loading test can be conducted.
Figure 10b shows the scatter diagram of load displacement at the jack at the initial load loading stage.It is observed that when the displacement is less than 0.5 mm, the load is nearly zero, which corresponds to 18 hours after concrete pouring. 0.5–1.5 mm stage, corresponding to the loading process after the first stage. 0.5–1.5 mm stage, corresponding to the loading process after the first stage. This is the main growth stage of concrete elastic modulus, and the load displacement change of the test piece increases slowly, and at the stage of 1~1.5 mm, due to the demoulding of the test piece at this time, there is obvious stress relaxation after the jack is loaded. At the stage of 1.5~3.3 mm, corresponding to the loading process of the second and third stages, the load displacement variation of the specimen basically shows the elastic law of the outgoing line.The axial load measured at the bearing begins to respond once the concrete has hardened to a certain degree. As shown in Figure 10c, the increase of the bearing reaction at the previous stage of loading is almost zero, and the load increases step by step at 126 h, and finally reaches 1.6 kN.
In order to clarify the co-evolution of concrete arch specimens in different periods, the co-action between steel frame and concrete is evaluated with the percentage of axial force of sprayed concrete steel frame as the index [22]:
N s / ( N s + N c ) × 100 % = E s ε s A s / ( E s ε s A s + E c ε c A c ) × 100 %
NS represents the axial stress of steel frame in concrete arch specimen, and NC represents the axial stress of concrete, where E, A and ε respectively represent the elastic modulus, cross-sectional area and strain of the corresponding material.
Figure 11 shows the distribution of axial stress at the end of the section steel during the S—1 loading stage of the early-age concrete arch specimen. It can be seen that there is basically no internal force generated in the section steel at the beginning of loading, and then the axial stress rises to a higher level. With the continuous hardening of concrete, the proportion of axial stress in the mid span and waist of the section steel begins to decrease, the proportion of axial stress at the end begins to rise, and the stress is transferred to the end of the specimen;By 144 hours, when concrete hardening was essentially complete, the axial force in each part of the section steel stabilized, and the concrete and steel frame began to act as a unified load-bearing system.

3.2.2. Grille Test-Piece

L—1 Test Process of Grille Specimen
Figure 12a shows the typical waveform of acceleration of test piece L—1 under impact load. The vibration velocities generated by the three impact loads are 6.65 cm/s, 5.23 cm/s and 4.62 cm/s respectively, which are close to the design vibration velocity and cause tensile crack damage to the interior of concrete.
Figure 12b shows that after 168 h of loading of test piece L—1, the contact part between the base plate at the mid span of the arch and the outer contour surface of the test piece is flattened, and the waist of the arch appears obvious depression under the impact load, without obvious cracks and other phenomena. Only the monitoring data changes continuously.
Analysis on evolution law of concrete arch coordination
Figure 13a shows the corresponding curve between the displacement monitoring values at the measuring points during the continuous loading of specimen L—1 and the concrete hardening time. In the first stage of loading, according to the results of concrete block loading test, the first 54 h is the main growth stage of concrete strength, and the displacement of the base plate continues to increase, while the displacement values of the free side, waist and end of the middle span are basically 0 in the first five times of loading; In the second stage of loading, that is, the loading process after the removal of the 54 H concrete formwork, the specimen has been demoulded, the degree of concrete hardening has been continuously improved, and the displacement increment of the three monitoring points at the free side, waist and end of the specimen in the middle of the span has gradually increased; At the third stage of loading, i.e., after the 108th hour of loading, the test piece began to bear the load as a whole, and the displacement increment of each monitoring point was basically stable after each loading. It can be concluded that at this stage, the concrete has reached high strength, and the concrete and steel frame have begun to work synergistically in load-bearing, enabling complete transfer of load and deformation.
Figure 13b shows the scatter diagram of load displacement at the jack at the initial load loading stage. It can be seen that when the displacement is less than 0.5 mm, the load is almost close to 0, which corresponds to the first 24 h after concrete pouring. 0.5~2.1 mm stage corresponds to the loading process after the first stage. During this stage, the load-displacement change of the specimen increases slowly, with noticeable stress relaxation occurring after the jack applies load. 2.1~3.4 mm stage corresponds to the loading process of the second and third stages. At this time, the load growth slope is greater than that of the previous stage, and the load displacement change of the specimen basically shows the elastic law of the outgoing line. The axial load at the specimen’s support begins to respond after the concrete has hardened to a certain extent. As shown in Figure 13c, the increase of the support reaction at the previous stage of loading is almost zero, and the load increases stepwise at the later stage of loading, and finally reaches 3.1 kN.
Figure 14 shows the proportion of the axial force of the main reinforcement in the L—1 loading stage of the early age concrete arch specimen. It can be observed that the steel frame bears almost all the axial stress in the initial loading stage, with the external load not inducing stress in the concrete; With the continuous hardening of concrete, the internal force of concrete began to increase, at this time, the proportion of axial stress of mid span and waist reinforcement began to decrease, the concrete hardening was basically completed at 162 h, the proportion of axial force of reinforcement at each monitoring point began to stabilize, and the bearing effect of concrete and steel frame began to play an integral role.

3.3. Destructive Experiment

The destructive loading test is a comparative test between the test group and the control group of concrete arch test pieces. The test group is subjected to loading based on the existing load from the continuous loading test. The control group, which is cured for 7 days, and the test piece test group under the same test conditions, the displacement of the screw jack is increased by 1 mm each time until obvious damage occurs.

3.3.1. Section Steel Test-Piece

Test-piece S—1 test process
There is no obvious crack and other phenomena before loading the specimen S—1. At this time, the cumulative displacement at the loading plate is 3.34 mm, and the force sensor indication is 16.2 kN.
Figure 15a shows the first stage of loading. At this time, the load increases to 38 kN, and the mid span displacement value is 6.5 mm. Three primary cracks, labeled 1, 2, and 4, appear in the mid-span region of the specimen, while cracks 3 and 5 are observed in the right arch waist area. At this stage, the crack width is less than 0.5 mm, the extension length is less than 3 cm, and the failure phenomenon is not obvious.
Figure 15b illustrates the second stage of loading. At this time, the load increases to 63 kN, and the mid span displacement value is 13.2 mm. Cracks 6, 7 and 8 appear in the left and right spandrels of the specimen respectively, and the concrete around crack 4 appears broken and spalling. In the mid-span region of the specimen, cracks 1–4 propagate along the airside surface of the upper flange of the section steel and extend toward the left arch waist region.
When the specimen S—1 was finally destroyed, the original crack propagation was more than 1 mm, and the opening of No. 1, No. 2 and No. 4 cracks reached 5 mm. There was no new crack increase, and the crack extension direction was generally along the radial direction of the arch.
test-piece S—2 test process
Before S—2 loading, there is no obvious crack and other phenomena.
Figure 16a illustrates the initial stage of loading. At this time, the load increases to 64 kN, and the mid span displacement value is 8.3 mm. Two main cracks, No. 1 and No. 2, appear in the mid span area of the specimen, and No. 4 and No. 3 cracks appear on the left and right sides of the waist area respectively. At this stage, the crack width remains below 0.5 mm, and no significant failure phenomenon is observed.
Figure 16b illustrates the second stage of loading. At this time, the load increases to 79 kN, and the mid span displacement value is 11.3 mm. No. 5 crack is observed on the load side of the specimen waist area, and No. 6 crack appears on the left side of the specimen end area. In the mid-span region of the specimen, cracks No. 1 and No. 2 fully propagate, with an opening width reaching 3 mm. Cracks 1–2 and 2–2 develop radially on the specimen surface, and oblique microcracks 1–3 and 2–3 develop on the free side surface. 1–2 the crack extends to the load side.
When the specimen S—2 was finally destroyed, the original crack propagation was more than 1 mm, and the opening of No. 1, No. 2 and No. 4 cracks reached 5 mm. The crack propagation direction was generally along the radial direction of the arch, which was in line with the law of arch loading failure.
Analysis of test results
Figure 17a,b respectively show the displacement monitoring values of steel reinforced concrete arch specimen S—1 and specimen S—2 in the destructive loading stage. The specimen S—1 cracked when the mid span load side displacement reached 7.7 mm. When the mid span load side displacement reached 21.19 mm, the specimen was obviously unloaded when loaded, and S—1 was destroyed. When the displacement at the jack reached 19.5 mm, the force sensor reading at the jack ceased to increase, indicating the failure of specimen S—2.

3.3.2. Grating Steel Frame Test-Piece

Test process of test piece L—1
Before loading specimen L—1, no visible cracks or other notable phenomena were observed. At this time, the cumulative displacement of the screw jack is 3.34 mm, the cumulative displacement at the mid span of the arch frame is 2.32 mm, the force sensor indication at the jack is 13.6 kN, and the axial force sensor indication at the support is 3.4 kN.
Figure 18a shows the first stage of loading. At this time, the load is increased to 28 kN, and the displacement of the airport side in the middle of the span is 5.1 mm. Three primary cracks, No. 1, No. 2, and No. 3, emerge in the mid-span region of the specimen, while cracks No. 4 and No. 5 develop in the left and right waist regions, respectively.
Figure 18b shows the third stage of loading. At this time, the load is increased to 61 kN, the mid-span displacement is 22.4 mm, and two new micro-cracks No. 6 and No. 7 appear on the left waist surface, and the original cracks continue to expand; No. 8 crack appeared on the left side of the mid-span area, and the rupture of No. 1 crack intensified, and two new cracks, No. 9 and No. 10, were developed in the right waist area.
When the arch frame was finally destroyed, the original cracks spread more than 1 mm, and the opening of No. 1 and No. 2 cracks reached 5 mm, and no new cracks increased. The overall radian of the specimen was obviously reduced, and the hinged supports at both ends rotated obviously, which was in line with the law of arch frame loading failure.
Test process of test piece L—2
Before loading the specimen L—2, there is no obvious crack and other phenomena.
Figure 19a shows the first stage of loading, when the load increases to 22 kN, the mid span displacement value is 6.5 mm, and two main cracks No. 1 and No. 4 appear on the left side of the mid span area of the specimen; There are three main cracks No. 2, No. 3 and No. 5 in the right waist area, which extend on the surface of the arch and the free side; since the crack width at this stage remains below 0.5 mm and the propagation length is under 3 cm, no significant failure phenomenon is observed.
Figure 19b presents the third stage of loading. At this time, the load increases to 79.7 kN, the mid span displacement value is 24.1 mm, the mid span fracture is intensified, and multiple cracks such as 1–3, 1–4 and 1–5 appear. The cracks in the arch waist continue to propagate, and the new No. 9 crack is developed in the left end area.
When the arch frame ultimately fails, the crack propagation in the mid-span region exceeds 3 mm, the opening width of Crack No. 1 reaches 5 mm, and no additional cracks form. The crack propagation direction is generally along the radial direction of the specimen, which conforms to the law of the grid steel frame loading failure phenomenon.
Analysis of test results
Figure 20a,b respectively show the displacement monitoring values of grid concrete arch specimen L—1 and specimen L—2 in the destructive loading stage. The displacement values of the monitoring points of the specimen L—1 are the maximum at the load side in the middle of the span and the minimum at the free side at the end. The change trends of the four curves are similar, indicating that the specimen is subject to overall collaborative deformation at this time. When the displacement of specimen L—1 at mid span load reaches 13.3 mm, 1 mm crack appears. When the mid-span load-side displacement reaches 28 mm, the force sensor reading ceases to increase. 1 mm crack appeared after the load of specimen L—2 moved to 16.2 mm, and the specimen was damaged after 32 mm.

3.3.3. Comparative Analysis of Influence of Initial Load on Bearing Capacity Difference of Concrete Arch

The load-displacement curves of specimens S—1 and S—2 during the destructive loading phase, as depicted in Figure 21, exhibit distinct mechanical responses. Specimen S—1 exhibits an ultimate bearing capacity of 78.62 kN, whereas specimen S—2 demonstrates a significantly higher ultimate bearing capacity of 104.8 kN. Post-curing, the ultimate bearing capacity of specimen S—1 is merely 71.2% of that of specimen S—2. Furthermore, the slope of the load-displacement curve for specimen S—1 is markedly lower than that of specimen S—2, indicating a reduction in structural stiffness. These findings indicate that under the influence of initial loading, specimen S—1 undergoes earlier crack initiation during loading, accompanied by a pronounced reduction in both overall stiffness and strength relative to specimen S—2. This behavior highlights the detrimental impact of initial loading on the structural integrity and load-bearing performance of specimen S—1.
The load-displacement curves of specimens L—1 and L—2 during the destructive loading phase are shown in Figure 22. Upon loading both specimens to the point where the force sensor readings cease to increase, it is evident that the specimens have reached their failure state. The ultimate bearing capacity of specimen L—1 is determined to be 72.4 kN, while specimen L—2 exhibits a higher ultimate bearing capacity of 84.65 kN. In comparison to the control group specimen L—2, the ultimate bearing capacity of specimen L—1 is reduced by 14.5%. Moreover, the slope of the load-displacement curve for specimen L-1 is significantly lower than that of specimen L—2, signifying a reduction in structural stiffness. These results demonstrate that specimen L—1 experiences a significant degradation in both load-bearing capacity and stiffness relative to specimen L—2, highlighting the influence of the tested variables on the mechanical performance of the specimens.
The above description shows that under the initial load, the initial load leads to the deterioration of the bearing performance of the concrete arch test piece L—1, and the overall stiffness and strength of the test piece are significantly reduced. The deterioration is mainly reflected in that with the increase of the load, the concrete will yield faster until it is destroyed.
Liu Junfeng [23] studied the evolution of mechanical properties of tunnel initial support under static load, but did not take blasting vibration load into account. In Liu Junfeng’s failure model, the ultimate bearing capacity of the experimental group decreased by 25% compared to the control group. In this paper, under the influence of adding blasting load, the ultimate bearing capacity of S—1 experimental group decreased by 28.8% compared with that of S—2 control group, which was in line with the expected results.

4. Numerical Experimental Study on Synergistic Effect of Concrete Arch Specimens

4.1. Comparison Scheme Design and Numerical Model Establishment

4.1.1. Numerical Test Scheme

The dimensions of the components A—S—n and A—L—n loaded in the third chapter of this paper adopt the dimensions and parameters of the steel frame for the initial support of a subway station tunnel in Qingdao, and the angle is π/6. To obtain more comprehensive mechanical characteristics of the early-age concrete arch under blasting tunneling loads, a numerical simulation scheme was introduced to examine the arch specimen curvature and the number of impact load applications. The test scheme is presented in Table 8. The letters A, B and S, l correspond to the arch curvature and arch type (profile steel frame, grid steel frame) respectively, and the letter n corresponds to different times of impact load application. The displacement load and impact load adopt the loading scheme in Table 8, and A—S—3 and A—L—3 correspond to the test pieces S—1 and L—1 in Section 3.2 respectively.

4.1.2. Numerical Model Establishment

The overall numerical model is shown in Figure 23a, the profile steel frame model is shown in Figure 23b, and the grid steel frame model is shown in Figure 23c. The components are simulated by 8-node hexahedral reduced integral solid element (C3D8R), which is not prone to shear self-locking under bending load, and the solution is relatively accurate.
The loading and restraint conditions of the numerical test model are identical to those of the indoor test design scheme. The displacement load is applied on the top plate of the model, and the impact load is applied on the waist area of both sides of the model. The loading scheme is shown in Table 8. In order to simplify the calculation, in the numerical simulation, the impact load acts directly on the surface of the arch specimen in the form of uniform force according to the triangular load curve. As shown in Figure 24, the rising section 0 < t < t1 and the falling section t1 < t < t2 are determined by the impact load acceleration monitoring curve.
The numerical test model consists of components categorized into four distinct material types based on their properties: steel plates, HRB400 reinforcement, Q235 steel, and shotcrete. Throughout the entirety of the experimental process, the stress and deformation of the test apparatus remain entirely within the elastic range. Consequently, the computational model incorporates elastic material parameters for the reaction device, hinged supports, and base plate, with an elastic modulus of 200 GPa and a Poisson’s ratio of 0.25. However, during the loading failure stage, the steel frame undergoes significant deformation, leading to yield failure in both the Q235 steel and HRB400 reinforcement. This distinction accounts for the transition from elastic to plastic behavior in these materials under extreme loading conditions.
By using the ABAQUS custom field subroutine interface and USDFILD, the elastic modulus and strength of the concrete material are programmed to increase with time, enabling the analysis of the concrete hardening process and its time-dependent effects. The parameters of early age shotcrete are used in the simulation of concrete, which are mainly reflected in the increase of elastic modulus and strength of concrete with time. According to the test results of Chuande Qi et al. [23,24], the growth relationship between concrete strength and elastic modulus is Equations (5) and (6), and the curve shape is shown in Figure 25.
E t = 25 ( 1 e 0.031 t )
σ t = 25.5 ( 1 e 0.027 t )

4.2. Verification of Numerical Simulation Results

(1)
Section steel reinforced concrete arch
Figure 26a shows the maximum principal stress distribution of the grid steel frame after destructive loading of group A—S—3. It can be seen from the figure that the loading area at the mid span of the section steel is the the stress concentration zone of the specimen under compression, and the tensile value reaches 535 MPa, and the tensile value at the free side of the section steel reaches 360 MPa, which has exceeded the yield strength of the section steel. The specimen A—S—3 has been damaged at the free side of the mid span at this stage. The tension of main reinforcement at waist load side and free side reaches 329 MPa. The tension of the load side at the end of the section steel is about 260 MPa, the stress concentration appears at the free side, and the compression has reached the yield strength.
Figure 26b shows the cloud chart of the maximum principal stress of concrete. Under the action of concentrated load, the entire concrete is basically in tension. The tensile stress concentration occurred in the concrete at the free side, waist sides and end load sides in the middle of the span, and the compressive stress concentration occurred at the load side in the middle of the span. The compressive value reached 70 MPa, exceeding the yield strength of the concrete, which was consistent with the failure of S—1. The stress state of concrete and reinforcement is essentially the same, indicating that after the concrete hardening process, reinforcement and concrete work together.
(2)
Grid concrete arch
Figure 27a shows the maximum principal stress diagram of the grid steel frame after failure loading of the grid concrete specimen A-L-3 group. It can be seen from the figure that the main reinforcement at the load side at the middle of the steel frame is compressed, and the tensile stress reaches 180 MPa, and the tensile value at the free side reaches 640 MPa, which has exceeded the yield strength of the reinforcement. The main reinforcement at the free side at the middle of the span of the specimen A-L-3 has failed at this stage. The tension of the main reinforcement at the waist load side and the main reinforcement at the free side reaches 188 MPa. The tension of the main reinforcement at the end load side is about 350 MPa, and the compression of the main reinforcement at the free side has reached the yield strength. Figure 27b shows the cloud chart of the maximum principal stress of concrete. Under the action of displacement load, most of the concrete is in a compression state. Tensile stress concentration occurred in the concrete at the free side and the load side at both ends of the span, and the internal force of the specimen showed a three-stage distribution as a whole, that is, the stress concentration at both ends and in the middle of the span, and the stress mode was the same as L-1. The stress state of concrete and reinforcement is essentially the same, indicating that after the hardening process of concrete, reinforcement and concrete play a synergistic role in bearing.

4.3. Analysis on the Evolution Law of Cooperative Force of Radian and Impact Load Number Parameter Variables

(1)
Section steel reinforced concrete arch
The following Figure 28 shows the axial stress ratio curve of steel frame of steel reinforced concrete arch frame specimens with two radians under different impact load times. It can be seen from the figure that under the same impact load times, the difference in the axial force ratio the initial value of steel frame axial force proportion of group B specimens and the value after stabilization is significantly greater than that of group a specimens; The more the specimens with the same radian bear the impact load, the more obvious the fluctuation of the axial stress proportion at each position of the steel frame. It shows that the coordination between concrete and steel frame becomes worse as the arc of the steel reinforced concrete specimen decreases and the number of times of bearing impact load increases.
(2)
Grid concrete arch
Figure 29 shows the axial stress ratio curve of the steel frame under different impact load times for two kinds of arc grid concrete arch specimens. It can be seen from the figure that under the same impact load times, the difference between the initial value of the proportion of steel frame axial force of group a specimen and the value after stabilization is significantly greater than that of group B specimen; As the specimens with the same radian bear more impact loads, the more obvious the fluctuation of the axial stress proportion at each position of the steel frame. It shows that the increase of the radian of the grid concrete specimen and the increase of the number of impact loads will lead to the deterioration of the coordination between the concrete and the steel frame.
The simulated deformation characteristics and stress modes of I-steel arch specimens and grid concrete arch specimens are basically consistent with the indoor tests. Under the initial load, the stress distribution of the specimens is three-stage, that is, the stress concentration appears in the mid-span and end areas of the specimens, while the stress on the waist of the specimens is relatively small.

5. Conclusions

(1)
There are differences between grid steel frame and I-steel frame and early-age shotcrete in response to blasting vibration. The hardening effect of shotcrete will affect the vibration response of steel frame concrete composite support structure, and the synergistic role of the two has time effect. Based on the stress wave theory, through the calculation of the measured data, it is found that within three days before the completion of the initial support, the tensile stress generated by the blasting stress wave is greater than the tensile strength of the early age shotcrete, resulting in the internal tensile crack of the concrete, which affects the synergy between the shotcrete and the steel frame.
(2)
The concrete arch test piece has a low degree of hardening in about 36 h after concrete pouring, and the external load cannot be effectively transferred to the steel frame through the concrete. The deformation caused by the initial load only occurs in the concrete near the load action area. When the concrete elastic modulus and strength continue to increase close to the final value, the external load is transferred to the whole concrete arch test piece through the concrete, and the main reinforcement and end concrete of the steel frame have obvious response from the monitoring data. After 150 h, the steel frame and concrete form an overall synergy. At 162 h, the steel frame and concrete formed an overall synergy.
(3)
The bearing capacity of I-steel frames concrete test group is 25% lower than that of the control group, and the bearing capacity of grid concrete arch test group is 15.5% lower than that of the control group. The ultimate bearing capacity of steel reinforced concrete arch in the control group is 21% higher than that of grid concrete arch, while the ultimate bearing capacity of steel reinforced concrete arch in the test group is only 8% higher than that of grid concrete arch.
(4)
The arch curvature and impact load have a significant impact on the synergy between concrete and steel frame. For steel reinforced concrete arch frame, too small radian and too much impact load will weaken the synergy between concrete and steel frame. For the grid concrete arch frame, excessive radian and excessive impact load will weaken the synergy between concrete and steel frame.
(5)
The numerical simulation in this paper is based on the theory of complete elasticity. In the indoor test: ① Due to the limitation of test site and equipment, the initial support size of the project site is held in proportion, and the size effect has certain influence on the experimental results; ② The application of vibration load is realized by pendulum, and only one direction (Y direction) of vibration wave can be applied, and the influence of vibration wave in X and Z directions on the initial support is not taken into account. However, the stress variation law of indoor test and the weakening of mechanical properties of arch specimens are basically consistent with the initial supporting structure in the process of large-scale tunnel construction.

Author Contributions

Conceptualization, H.-F.W. and W.-T.L.; methodology, S.-J.L.; software, Z.-S.J.; validation, C.-D.Q., Z.-N.Z. and H.-C.L.; formal analysis, H.-F.W.; investigation, H.-C.L.; resources, Z.-N.Z.; data curation, C.-D.Q.; writing—original draft preparation, H.-F.W.; writing—review and editing, S.-J.L.; visualization, Z.-S.J.; supervision, W.-T.L.; project administration, Z.-S.J.; funding acquisition, H.-F.W. All authors have read and agreed to the published version of the manuscript.

Funding

This research received no external funding.

Data Availability Statement

Data are contained within the article.

Conflicts of Interest

Author Hong-Fan Wang was employed by the company Qingdao Metro Group Co., Ltd. and author Zhao-Nan Zeng was employed by the company Shandong Tianqin Mining Mechanism Equipment Co., Ltd. The remaining authors declare that the research was conducted in the absence of any commercial or financial relationship that could be construed as a potential conflict of interest.

References

  1. Dang, Y.; Jia, W.; Zhang, R.; Wang, B.; Zhao, X.; Qiao, H. Comparative study on mechanical properties of shotcrete and ordinary concrete. J. Inn. Mong. Univ. (Nat. Sci. Ed.) 2021, 52, 634–643. [Google Scholar]
  2. Li, P.; Yue, L.; Ma, H.; Yang, X. Study on influence factors and growth characteristics of shotcrete strength. J. Guangxi Univ. (Nat. Sci. Ed.) 2022, 47, 1174–1183. [Google Scholar]
  3. Hu, Z.; Wu, Z.; Li, Z. Numerical analysis of blasting damage of shotcrete lining. Min. Res. Dev. 2005, 25, 71–75. [Google Scholar]
  4. Zhou, Y.; Wang, Y.; Yang, L.; Li, W. Study on mechanical behavior of tunnel construction considering age characteristics of sprayed concrete. J. Shijiazhuang Tiedao Univ. (Nat. Sci. Ed.) 2024, 37–44. [Google Scholar]
  5. Xu, Q.; Wu, J.; Chu, W.; Cao, A.; Liu, J. Application of Spatio-temporal Characteristics of Shotcrete Mechanics in Middle East Pumping and Storage. Chin. J. Undergr. Space Eng. 2020, 16, 852–862. [Google Scholar]
  6. Liu, C.; Zhang, D.; Sun, Z.; Zhang, S.; Fang, H.; Li, R. Coupling mechanism between hardening characteristics of initial concrete and rheology of surrounding rock. Eng. Mech. 2023, 40, 63–75+86. [Google Scholar]
  7. Wang, J.; Niu, Y. Experimental study on mechanical properties of sprayed concrete and establishment of prediction model. Silic. Bull. 2019, 38, 125–131. [Google Scholar]
  8. Zhang, D.; Liu, S.; Ren, S. Experimental study on the influence of strength growth law and hardening speed of shotcrete in tunnel on initial supporting performance. Geotech. Mech. 2015, 36, 1707–1713. [Google Scholar]
  9. Han, X.; Han, P.; Ma, F. Optimization design and performance study of sprayed concrete for high-performance tunnel. Concrete 2024, 153–156+169. [Google Scholar]
  10. Fang, S. Experimental study on mechanical properties of shotcrete in bolting and shotcreting roadway. Coal Eng. 2023, 55, 149–155. [Google Scholar]
  11. Tong, Y.; Tian, C.; Ye, F.; Jiang, Y.; Zhang, J.; Wu, B.; Wang, H.; Li, W. Study on seepage crystallization law of sprayed concrete in tunnels at different ages. Mod. Tunn. Technol. 2024, 61, 272–282. [Google Scholar]
  12. Wang, Y. Study on the Influence of Blasting Vibration on the Shotcrete Layer in the Initial Support of Tunnel. Master’s Thesis, Lanzhou University of Technology, Lanzhou, China, 2021. [Google Scholar]
  13. Jian, B. Study on Dynamic Response Law of Surrounding Rock and Supporting Structure Under Blasting of Multi-Arch Tunnel; Guizhou University: Guiyang, China, 2024. [Google Scholar]
  14. Wu, S.; Wang, G.; Yuan, D.; Liu, D. Experimental Study on the Influence of Blasting Vibration on Fresh Concrete. Vib. Impact 2017, 36, 39–44+88. [Google Scholar]
  15. He, Y.; Chen, Q.; Yi, L.; Huang, X.; Zeng, A.; Zhou, X.; Zhou, G. Influence of tunnel blasting vibration on the second lining of newly poured ultra-short-age concrete. J. Cent. South Univ. (Nat. Sci. Ed.) 2020, 51, 235–241. [Google Scholar]
  16. Liu, M.; Liu, Y.; Zhang, W.; Xu, K.; Li, M. Influence of blasting vibration on the stability of initial supporting structure of small clear distance tunnels. Sci. Technol. Eng. 2019, 019, 322–327. [Google Scholar]
  17. Wang, Y.; Yang, Y.; Gao, Q.; Jiang, W.; Zhou, H.; Yang, R. Response characteristics of blasting vibration and safety control measures of multi-arch tunnel without middle wall. China J. Highw. Transp. 2023, 36, 266–277. [Google Scholar]
  18. Ling, T.; Li, S.; Liu, D.; Liang, S. Blasting damage of tunnel rock mass based on cumulative effect. Rock Mech. Rock Eng. 2023, 56, 1679–1695. [Google Scholar] [CrossRef]
  19. Dai, J. Rock Dynamic Characteristics and Blasting Theory; Metallurgical Industry Press: Beijing, China, 2002. [Google Scholar]
  20. GB50010-2002; Code for Design of Reinforced Concrete Structures. Ministry of Construction of the People’s Republic of China: Beijing, China, 2002.
  21. Zhang, K.; Chen, Z. Similarity theory research and case analysis of structural tests. Low Temp. Build. Technol. 2015, 37, 42–45. [Google Scholar]
  22. Liu, J. Study on the Evolution Law of Grid Steel Frame and Concrete in Hardening Process and the Optimization of Applicability of Hard Rock Tunnel; Shandong University of Science and Technology: Qingdao, China, 2023. [Google Scholar]
  23. Qi, C.; Liu, J.; Zong, C.; Jiang, W.; Li, W.; Li, Y.; Yan, J. Study on the influence law of spray layer cavity on the main reinforcement of grid steel frame. Sci. Rep. 2024, 1, 2045–2322. [Google Scholar]
  24. Qi, C.; Liu, J.; Xing, S.; Yin, X.; Li, W.; Zhang, C. Study on mechanical properties of shotcrete lattice girder in a tunnel considering the excavation effect at early-age. Structures 2024, 4, 2352-0124. [Google Scholar]
Figure 1. Geological Profile.
Figure 1. Geological Profile.
Buildings 15 01120 g001
Figure 2. Layout of monitoring equipment.
Figure 2. Layout of monitoring equipment.
Buildings 15 01120 g002
Figure 3. Comparison of vibration velocity of steel frame-shotcrete structure.
Figure 3. Comparison of vibration velocity of steel frame-shotcrete structure.
Buildings 15 01120 g003
Figure 4. Shotcrete tensile stress strength.
Figure 4. Shotcrete tensile stress strength.
Buildings 15 01120 g004
Figure 5. Dimensions of arch specimen.
Figure 5. Dimensions of arch specimen.
Buildings 15 01120 g005
Figure 6. Compressive strength test of concrete test block.
Figure 6. Compressive strength test of concrete test block.
Buildings 15 01120 g006
Figure 7. Stress mode and simplified model of specimen.
Figure 7. Stress mode and simplified model of specimen.
Buildings 15 01120 g007
Figure 8. Test device design scheme. (a) Schematic diagram of experimental device. (b) Laboratory layout.
Figure 8. Test device design scheme. (a) Schematic diagram of experimental device. (b) Laboratory layout.
Buildings 15 01120 g008
Figure 9. S—1 initial load test. (a) Impact load acceleration waveform. (b) After 168 h of loading.
Figure 9. S—1 initial load test. (a) Impact load acceleration waveform. (b) After 168 h of loading.
Buildings 15 01120 g009
Figure 10. S—1 displacement and load of monitoring point. (a) S—1 displacement monitoring, (b) Load displacement scatter diagram at Jack, (c) Axial load.
Figure 10. S—1 displacement and load of monitoring point. (a) S—1 displacement monitoring, (b) Load displacement scatter diagram at Jack, (c) Axial load.
Buildings 15 01120 g010
Figure 11. Proportion of axial stress at the end of S—1.
Figure 11. Proportion of axial stress at the end of S—1.
Buildings 15 01120 g011
Figure 12. L—1 initial load test. (a) Impact load acceleration waveform, (b) After 168 h of loading.
Figure 12. L—1 initial load test. (a) Impact load acceleration waveform, (b) After 168 h of loading.
Buildings 15 01120 g012
Figure 13. Displacement and load of L—1 monitoring point. (a) L—1 displacement monitoring, (b) Load displacement scatter diagram at Jack, (c) Axial load.
Figure 13. Displacement and load of L—1 monitoring point. (a) L—1 displacement monitoring, (b) Load displacement scatter diagram at Jack, (c) Axial load.
Buildings 15 01120 g013
Figure 14. L—1 initial load test.
Figure 14. L—1 initial load test.
Buildings 15 01120 g014
Figure 15. S—1 phased loading completion diagram of test piece. (a) The phase I of loading is over, (b) The phase II of loading is over.
Figure 15. S—1 phased loading completion diagram of test piece. (a) The phase I of loading is over, (b) The phase II of loading is over.
Buildings 15 01120 g015
Figure 16. S—2 phased loading completion diagram of test piece. (a) The phase I of loading is over, (b) The phase II of loading is over.
Figure 16. S—2 phased loading completion diagram of test piece. (a) The phase I of loading is over, (b) The phase II of loading is over.
Buildings 15 01120 g016
Figure 17. Displacement monitoring value of section steel specimen. (a) Displacement monitoring curve of specimen S—1, (b) Displacement monitoring curve of specimen S—2.
Figure 17. Displacement monitoring value of section steel specimen. (a) Displacement monitoring curve of specimen S—1, (b) Displacement monitoring curve of specimen S—2.
Buildings 15 01120 g017
Figure 18. L—1 phased loading completion diagram of test piece. (a) The phase I of loading is over, (b) The phase II of loading is over.
Figure 18. L—1 phased loading completion diagram of test piece. (a) The phase I of loading is over, (b) The phase II of loading is over.
Buildings 15 01120 g018
Figure 19. L—2 phased loading completion diagram of test piece. (a) The phase I of loading is over, (b) The phase II of loading is over.
Figure 19. L—2 phased loading completion diagram of test piece. (a) The phase I of loading is over, (b) The phase II of loading is over.
Buildings 15 01120 g019
Figure 20. Displacement monitoring curve of grid specimen. (a) Displacement monitoring curve of test piece L—1, (b) Displacement monitoring curve of test piece L—2.
Figure 20. Displacement monitoring curve of grid specimen. (a) Displacement monitoring curve of test piece L—1, (b) Displacement monitoring curve of test piece L—2.
Buildings 15 01120 g020
Figure 21. Load and displacement curves of test pieces S—1 and S—2.
Figure 21. Load and displacement curves of test pieces S—1 and S—2.
Buildings 15 01120 g021
Figure 22. Load and displacement curves of test pieces L—1 and L—2.
Figure 22. Load and displacement curves of test pieces L—1 and L—2.
Buildings 15 01120 g022
Figure 23. Establishment of numerical model. (a) Numerical test model, (b) Section steel frame member, (c) Grating steel frame components. (The red box in the figure is a partially enlarged schematic diagram).
Figure 23. Establishment of numerical model. (a) Numerical test model, (b) Section steel frame member, (c) Grating steel frame components. (The red box in the figure is a partially enlarged schematic diagram).
Buildings 15 01120 g023
Figure 24. Impact load application curve.
Figure 24. Impact load application curve.
Buildings 15 01120 g024
Figure 25. Mechanical characteristic curve of concrete hardening process.
Figure 25. Mechanical characteristic curve of concrete hardening process.
Buildings 15 01120 g025
Figure 26. A—S—3 Cloud image after loading. (a) Maximum principal stress of profile steel frame, (b) Maximum principal stress of concrete.
Figure 26. A—S—3 Cloud image after loading. (a) Maximum principal stress of profile steel frame, (b) Maximum principal stress of concrete.
Buildings 15 01120 g026
Figure 27. A-L-3 Cloud image after loading. (a) Maximum principal stress of grid steel frame, (b) Maximum principal stress of concrete.
Figure 27. A-L-3 Cloud image after loading. (a) Maximum principal stress of grid steel frame, (b) Maximum principal stress of concrete.
Buildings 15 01120 g027
Figure 28. Axial Stress Ratio of I-steel Frame. (a) Mid span area of test piece, (b) Waist area of test piece, (c) End area of test piece.
Figure 28. Axial Stress Ratio of I-steel Frame. (a) Mid span area of test piece, (b) Waist area of test piece, (c) End area of test piece.
Buildings 15 01120 g028
Figure 29. Axial stress ratio of grid steel frames. (a) Mid span area of test piece, (b) Waist area of test piece, (c) End area of test piece.
Figure 29. Axial stress ratio of grid steel frames. (a) Mid span area of test piece, (b) Waist area of test piece, (c) End area of test piece.
Buildings 15 01120 g029
Table 1. Summary table for strength verification of shotcrete in the tunnel blasting.
Table 1. Summary table for strength verification of shotcrete in the tunnel blasting.
Monitoring DateExplosive Charge (kg)Distance from Measuring Point to Tunnel Face (m)Maximum Vibration Velocity (cm/s)Internal Tensile Stress of Shotcrete (MPa)Tensile Strength of Concrete at This Time (MPa)
3.23–15:5220.728.1251.4890.1334
3.24–15:0120.72.756.4671.1850.3551
3.25–15:4020.73.54.8540.8890.935
3.26–15:5320.74.253.2110.5881.371
3.27–14:1720.75.752.7870.5101.55
3.28–16:1320.77.252.3350.4281.689
3.29–15:3920.78.754.6190.8461.786
3.30–16:1820.710.253.0920.5661.849
Table 2. Dimension of similarity parameters.
Table 2. Dimension of similarity parameters.
ParameterSymbolic RepresentationDimensional Analysis of Force System
Geometric parameterLine sizeLL
Steel frame sizedL
Blasting parametersImpact forceFF
Vibration velocityVLT−1
TimeparameterGravitational accelerationgLT−2
TimetT
Material parameterMaterial densityρFL−4T2
Poisson’s ratioμ/
Table 3. Matrix dimension of force system.
Table 3. Matrix dimension of force system.
α1α2α3α4α5α6α7
LdFVgtρ
F0010001
L110110−4
T000−1−212
Table 4. Similarity value of each similarity parameter.
Table 4. Similarity value of each similarity parameter.
ParameterSimilarity CriterionSimilarity RatioActual ValueSimilar Value
Geometric parameterImpact forceCF = CF1//
Vibration velocityCD = Cg Ct1.41//
Blasting parametersLine sizeCL2//
Steel frame sizeCL22.8 m1.4 m
Time parameterAcceleration of gravityCg = g110 N/kg10 N/kg
Blasting interval timeCt = CL0.51.4124 h16.97 h
Material parameterMaterial densityCρ12670 kg/m32670 kg/m3
Poisson’s ratio 0.240.24
Table 5. Parameters of steel frame.
Table 5. Parameters of steel frame.
Section steel frameWaist height/mmLeg width/mmWaist thickness/mmAverage leg width/mmInner arc radius/mm
100505103.8
Grille steel frameCenter angle of steel frame/°Inner contour radius of steel frame/mDiameter of main reinforcement/mmCentroid spacing of main reinforcement/mmZ-Bar diameter/mmStirrup diameter/mmstirrup spacing/mm
302.7412.57585210
Table 6. Concrete arch support specimens loading test scheme.
Table 6. Concrete arch support specimens loading test scheme.
Component GroupComponent NumberMaintenance MethodCorresponding Test Stage
Test groupS—1, L—1,Full loading without curing①, ②
Control groupS—2, L—2Standing curing
Table 7. Loading scheme for initial load control stage.
Table 7. Loading scheme for initial load control stage.
Time/hSingle Loading DisplacementCumulative DisplacementImpact Loading
90.25 mm0.25 mmFirst time
180.25 mm0.5 mm
270.25 mm0.75 mmSecond time
360.25 mm1 mm
450.25 mm1.25 mmThird time
540.25 mm1.5 mm
720.25 mm1.75 mm
900.25 mm2 mm
1080.25 mm2.25 mm
1260.25 mm2.5 mm
1440.25 mm2.75 mm
1620.25 mm3 mm
1800.25 mm3.25 mm
Destruction
Table 8. Numerical Test Plan.
Table 8. Numerical Test Plan.
Test Piece NumberLength of Test Piece/mmArch Radius/mRadianTimes of Impact Loads
A—S—n16602.74π/61
2
3
B—S—n16605.65π/121
2
3
A—L—n16602.74π/61
2
3
B—L—n16605.65π/121
2
3
Disclaimer/Publisher’s Note: The statements, opinions and data contained in all publications are solely those of the individual author(s) and contributor(s) and not of MDPI and/or the editor(s). MDPI and/or the editor(s) disclaim responsibility for any injury to people or property resulting from any ideas, methods, instructions or products referred to in the content.

Share and Cite

MDPI and ACS Style

Wang, H.-F.; Jing, Z.-S.; Liu, S.-J.; Li, W.-T.; Qi, C.-D.; Zeng, Z.-N.; Liu, H.-C. Study on Mechanical Properties of Shotcrete Arch Frames in Tunnel Engineering Considering Blasting Excavation Effect at Early Age. Buildings 2025, 15, 1120. https://doi.org/10.3390/buildings15071120

AMA Style

Wang H-F, Jing Z-S, Liu S-J, Li W-T, Qi C-D, Zeng Z-N, Liu H-C. Study on Mechanical Properties of Shotcrete Arch Frames in Tunnel Engineering Considering Blasting Excavation Effect at Early Age. Buildings. 2025; 15(7):1120. https://doi.org/10.3390/buildings15071120

Chicago/Turabian Style

Wang, Hong-Fan, Zhao-Shun Jing, Shu-Jie Liu, Wei-Teng Li, Chuan-De Qi, Zhao-Nan Zeng, and Hao-Chen Liu. 2025. "Study on Mechanical Properties of Shotcrete Arch Frames in Tunnel Engineering Considering Blasting Excavation Effect at Early Age" Buildings 15, no. 7: 1120. https://doi.org/10.3390/buildings15071120

APA Style

Wang, H.-F., Jing, Z.-S., Liu, S.-J., Li, W.-T., Qi, C.-D., Zeng, Z.-N., & Liu, H.-C. (2025). Study on Mechanical Properties of Shotcrete Arch Frames in Tunnel Engineering Considering Blasting Excavation Effect at Early Age. Buildings, 15(7), 1120. https://doi.org/10.3390/buildings15071120

Note that from the first issue of 2016, this journal uses article numbers instead of page numbers. See further details here.

Article Metrics

Back to TopTop