Next Article in Journal
Urban Planning and Housing in Lisbon from the 1950s: Some Hidden Facts
Next Article in Special Issue
Shear Mechanism of Precast Segmental Concrete Beam Prestressed with Unbonded Tendons
Previous Article in Journal
Multi-Hazard Vibration Control of Transmission Infrastructure: A Pounding Tuned Mass Damper Approach with Lifelong Reliability Analysis
Previous Article in Special Issue
Compressive Behavior of Long Simple and Multi-Cell CFT Columns When Using Tie Bars Connector Elements
 
 
Font Type:
Arial Georgia Verdana
Font Size:
Aa Aa Aa
Line Spacing:
Column Width:
Background:
Article

Effects of Hybrid Corrosion Inhibitor on Mechanical Characteristics, Corrosion Behavior, and Predictive Estimation of Lifespan of Reinforced Concrete Structures

1
Department of Smart City Engineering, Hanyang University, 1271 Sa-3-dong, Sangnok-gu, Ansan 15588, Republic of Korea
2
Department of Architectural Engineering, Hanyang University, 1271 Sa-3-dong, Sangnok-gu, Ansan 15588, Republic of Korea
3
Center for Creative Convergence Education, Innovative Durable Building and Infrastructure Research Center, Hanyang University, 1271 Sa-3-dong, Sangnok-gu, Ansan 15588, Republic of Korea
4
Department of Chemistry, Graphic Era Deemed to be University, Bell Road, Clement Town, Dehradun 248002, India
5
Division of Smart Convergence Engineering, Hanyang University, 1271 Sa-3-dong, Sangnok-gu, Ansan 15588, Republic of Korea
6
Department of Civil Engineering, Qinghai University, Xining 810016, China
7
Forensic Engineering Centre (FEC), Institute of Smart Infrastructure and Innovative Construction (ISIIC), Faculty of Engineering, Universiti Teknologi Malaysia, Johor Bahru 81310, Malaysia
8
Faculty of Civil Engineering, Ho Chi Minh University of Technology (HCMUT), 268 Ly Thuong Kiet Street, District 10, Ho Chi Minh City 700000, Vietnam
9
Department of Mechanical Engineering, YBN University, Ranchi 834010, India
*
Authors to whom correspondence should be addressed.
Buildings 2025, 15(7), 1114; https://doi.org/10.3390/buildings15071114
Submission received: 25 December 2024 / Revised: 24 March 2025 / Accepted: 28 March 2025 / Published: 29 March 2025
(This article belongs to the Special Issue Advances in Steel-Concrete Composite Structure—2nd Edition)

Abstract

A fixed ratio amount, i.e., L-arginine (LA) and trisodium phosphate dodecahydrate (TSP) at 2:0.25, is considered as a hybrid inhibitor. This research aims to extensively investigate the impact of utilizing the hybrid corrosion inhibitor on the corrosion resistance properties in accelerated condition, mechanical characteristics, and predictive estimation of the lifespan of reinforced concrete (RC) structures. Various experiments, such as setting time, slump, air content, porosity, compressive strength, and chloride diffusion coefficient, were conducted to elucidate the influence of the hybrid corrosion inhibitor on the mechanical properties of the concrete matrix. Meanwhile, linear polarization resistance (LPR) and electrochemical impedance spectroscopy (EIS) in 10 wt. % NaCl under wet–dry cycles are utilized to assess the corrosion resistance property, corrosion initiation time, and kinetics of the passive film formation on the steel rebar. Alternatively, both deterministic and probabilistic-based predictions of service life by Life 365 software are utilized to demonstrate the efficacy of the hybrid corrosion inhibitor in protecting the steel rebar in RC structures. All the results confirm that the HI-4 mix (LA:TSP = 3.56:0.44) exhibits excellence in preventing the corrosion and extending the service life of RC structures, due to the adsorption of inhibitor molecules and formation of P-Zwitterions-(Cl)-Fe, Zwitterions-(Cl)-Fe, and FePO4 complexes onto the steel rebar surface. However, HI-3 shows the optimal mechanical and electrochemical properties for RC structures.

1. Introduction

Reinforced concrete (RC) structures have served as the foundational pillars of contemporary infrastructure, facilitating the development of robust and enduring societies. These structures are meticulously engineered to withstand the rigors of time, offering essential supports for an array of critical infrastructure components, from towering buildings to expansive bridges and beyond. However, the inherent service life and durability of RC structures are persistently challenged by a relentless and covert adversary [1]. The corrosion of embedded steel reinforcement, known as rebar, poses a significant threat to structural integrity, functionality, and, ultimately, public safety. As the global community becomes increasingly cognizant of the need for sustainability and resource conservation, addressing the issue of RC corrosion takes on heightened significance. The gradual deterioration of these structures due to corrosion not only compromises their structural integrity but also contributes to increasing maintenance costs, environmental impact, and potential safety hazards [2]. The enduring integrity of these structures is pivotal to the resilience and longevity of infrastructure systems, which, in turn, are instrumental in securing the future of urban and rural communities. Therefore, structural monitoring and strategy to mitigate the corrosion of RC structures are paramount [3]. The magnitude of this challenge is underscored by its direct relevance to modern engineering practices, societal needs, and environmental responsibility.
Corrosion of the steel reinforcement within concrete is a complex process, influenced by various factors, including the permeability of concrete, presence of aggressive ions (such as chlorides), moisture ingress, and temperature fluctuations [4]. The ensuing electrochemical reactions lead to the formation of corrosion products, causing expansive forces that can induce cracking, spalling, and ultimately structural failure [5]. This intricate interplay between material properties, environmental conditions, and chemical reactions underscores the need for innovative corrosion mitigation strategies to ensure the durability and longevity of the concrete structures [6]. Hence, various methods have been explored to mitigate the corrosion reaction in RC structures. These methods include concrete rehabilitation, galvanization, cathodic protection, and the incorporation of corrosion inhibitors [7]. Of these approaches, the utilization of corrosion inhibitors stands out as particularly viable and cost-effective for protecting steel rebars [8]. The corrosion inhibitor is a chemical substance that can be introduced into the concrete mixture in small quantities, yet effectively retarding the corrosion of steel rebar in aggressive surrounding environment [9]. Its primary function involves delaying the onset of the corrosion initiation by increasing the chloride threshold on the surface of the steel rebar. Traditional corrosion inhibition methods, often relying on the application of organic or inorganic inhibitors, have shown promise in mitigating corrosion-related damage. However, organic inhibitors, for instance, can exhibit limited stability in aggressive environments and can leach out over time, compromising their long-term effectiveness. Inorganic inhibitors, on the other hand, can exhibit inadequate penetration into the concrete matrix, limiting their overall protective capacity, and increase the compressive strength as well [10]. While chromates and nitrites stand out as highly effective inorganic inhibitors in the commercial realm for curtailing the corrosion of steel rebars, their application has been restricted in several countries due to their recognized toxicity [11,12]. As a result, it becomes imperative to engage in comprehensive research and development endeavors aimed at creating corrosion inhibitors that not only offer economic viability but also possess biodegradable and environmentally benign characteristics. These novel inhibitors are intended to serve as replacements for nitrites, addressing both corrosion prevention needs and ecological concerns. In fact, in the pursuit of alternatives to chromate and nitrite-based inhibitors, organic-based compounds or phosphate-containing substances, along with zinc salts, silicates, and molybdates, have attracted research attention [13,14]. In particular, most of the organic-based corrosion inhibitors are able to form a smooth and uniform passive film by the adsorption mechanism onto the steel rebar surface [15,16]. Singh et al. reported that the inhibition efficiency of L-Arginine at 2 wt. % in simulated concrete pore (SCP) solution obtained approximately at 96% due to the formation of a homogeneous and uniform Zwitterions-(Cl)-Fe complex on the steel rebar [17]. In general, it is noted that most of the organic-based inhibitors can form homogeneous and uniform passive film on the steel rebar; however, they induced a reduction in the compressive strength of the concrete [18]. Thus, it is essential to discover a corrosion inhibitor that meets the demand of both eco-friendliness and maintains the compressive strength. Phosphate-based corrosion inhibitors were found to have potential. Nahali et al. expounded on the chloride threshold effectiveness of Na3PO4, exhibiting a range of 0.6 to 15 [Cl]/[OH] [19]. Mandal et al. documented that ammonium phosphate demonstrates a corrosion inhibition efficiency exceeding 82% in the SCP solution containing chloride. However, most of the inorganic-based corrosion inhibitors tended to form a rough passive film on the steel rebar, leading to a lower inhibition efficiency in comparison to the organic ones.
In response to these above challenges, the concept of hybrid corrosion inhibitors has emerged as a novel and promising approach to address the shortcomings of single-component inhibitors [20,21]. Hybrid inhibitors combine multiple inhibition mechanisms into a synergistic system, capitalizing on the strengths of different inhibitors while mitigating their individual weaknesses. Recently, Dehghani et al. explored a greatly synergistic effect of cerium ions and Brassica Hirta phyto constituents on mild steel in saline condition with over 92% inhibition efficiency [22]. Wu et al. also well agreed that hybrid corrosion inhibitors can offer a high inhibition efficiency in alkaline medium [23]. Also, Tran et al. recently reported that the synergistic effect of LA and TSP exhibited approximately 95% inhibition efficiency [16] and increased the chloride threshold concentration [24] of steel rebar in SCP solution contaminated with a high chloride concentration due to the formation of a P-Zwitterions-(Cl)-Fe complex. However, the research field of the above literature has been limited to the SCP condition instead of experimenting in the real concrete condition due to time and expense consumption. Therefore, by leveraging the diverse protective mechanisms, it is essential to research the effects of hybrid inhibitors in offering enhanced and long-lasting corrosion protection, contributing to the extended service life of concrete structures.
Recently, our research group discovered that the cooperation of LA and TSP absolutely holds potential for research in both concrete and RC structures, due to their outstanding corrosion resistance property. This study aims to delve deeply into the effects of employing hybrid corrosion inhibitors, i.e., LA and TSP, on the corrosion resistance, the mechanical properties, and the service life prediction of reinforced concrete structures. The corrosion resistance property is pointed out by linear polarization resistance (LPR) and electrochemical impedance spectroscopy (EIS). Alternatively, setting time, slump, air content, porosity fraction, compressive strength, and chloride diffusion coefficient experiments are utilized to express the effect of the hybrid corrosion inhibitor on the mechanical property of the concrete matrix. Both deterministic and probabilistic-based prediction in Life 365 software are employed to indicate the effect of the hybrid corrosion inhibitor on the service life of RC structures.

2. Materials and Methods

2.1. Materials

The chemical composition of the carbon steel rebars can be found in Table 1. The steel rebars with a diameter of 13 mm were cut into 140 mm lengths. The black oxide layer on the steel rebars was removed by immersing them in a 10% HCl solution with 0.5% hexamine for a 15 min duration at room temperature. This was followed by rinsing with distilled water and acetone, and air drying at 25 °C [25]. Subsequently, a 20 mm length of epoxy coating was applied on both sides of the steel rebars to avoid crevice corrosion. The total exposed surface area was 24.45 cm2. Finally, these treated steel rebars were incorporated into the concrete mold during the casting process.
A high-purity sodium chloride (≥99.5%) was procured from OCI Company LTD., Seoul, Republic of Korea and L-Arginine (LA) (≥99.0%) from Sigma-Aldrich LTD., Seoul, Republic of Korea. LA was in the form of a finely milled white powder, readily soluble in water at room temperature. Furthermore, TSP was acquired with a purity exceeding 90.0% from Daejung Chemical & Metals Company LTD., Siheung-si, Gyeonggi-do, Republic of Korea.
The chemical composition of type I ordinary Portland cement (OPC) can be found in Table 2. Information regarding the density of cement, fine aggregate, and coarse aggregate is provided in Table 3.

2.2. Experimental Methods

2.2.1. Concrete and RC Casting Preparation and Curing Process

The concrete blend composition and precise quantities of cement, gravel, sand, and water are detailed in Table 4. The water-to-cement ratio was 0.5. The nomenclature HI-0, HI-1, HI-2, HI-3, and HI-4 was designated to distinguish these mixtures, signifying inhibitor concentrations (wt. %) of 0%, 0.125%, 0.25%, 0.5%, and 1%, respectively. A constant ratio of LA-to-TSP at 2:0.25 was uniformly applied to all the concrete specimens containing the hybrid inhibitor, due to its optimal synergistic effect on the corrosion resistance for steel rebar [16]. The casting of the concrete specimens took place in 100 × 100 × 200 mm3 molds adhering to ASTM C192/C192M [26] guidelines under ambient conditions at 25 ± 2 °C. After casting, the concrete was cured in a curing chamber at 20 ± 2 °C.
Following a 24-h period of air-curing, the concrete specimens were demolded. Subsequently, these specimens were immersed in water curing for 28 days.
The concrete mixture for the RC specimens also adhered to the proportions as detailed in Table 4. The hybrid inhibitor was pre-dissolved in tap water prior to mixing. The casting of the concrete for the RC specimens was carried out within cylindrical molds of dimensions 50 × 50 × 100 mm3. The curing process for RC was the same as described for the concrete specimens.
The primary objective of this study was to assess the corrosion resistance performance of the hybrid inhibitor. Therefore, the RC specimens were immersed in 10 wt. % NaCl solution with a wet and dry cycle to accelerate the corrosion reaction. The concrete is a dense composite material, where the migration of ions is very slow. Therefore, the specimens were kept in the accelerated condition of a wet cycle maintained at a controlled temperature of 20 ± 2 °C in 10 wt. % NaCl solution for three days, while the subsequent dry cycle lasted four days at 20 ± 2 °C and 60 ± 5% relative humidity. In summary, each cycle, combining both wet and dry phases, spanned one week [27].
In short, the concrete specimens were used to test mechanical properties and concrete phase morphology, such as setting time, air content, porosity, compressive strength, field emission scanning electron microscope, X-ray diffraction (XRD), and chloride diffusion coefficient. In addition, the embedded steel rebar concrete specimens were used to evaluate the corrosion resistance and phase morphology of the steel rebars through tests, i.e., field emission scanning electron microscope, linear polarization resistance (LPR), and electrochemical impedance spectroscopy (EIS). Both the concrete and reinforced concrete specimens were prepared with the same concentrations of the hybrid inhibitor, but they were used for different tests to evaluate both mechanical properties and corrosion resistance.

2.2.2. Mechanical Studies

The setting time tests were conducted during the concrete casting process in accordance with the ASTM C403/C403M-16 standard [28]. Following three hours of casting, initially, a needle was pressed perpendicularly to the surface of the specimens to measure the compressive force of each specimen. This test was repeated every hour until the final setting time was determined. The test equipment was cleaned with tap water before each test.
Additionally, the slump test as guided by the ASTM C143/143M-20 standard [29] was performed during the concrete casting process. All experimental equipment was thoroughly cleaned and pre-moistened with tap water. The air content test for the concrete mix was conducted in line with the ASTM C231/231M-17a standard [30] during the concrete casting period.
The porosities of HI-0, HI-2, and HI-4 specimens were analyzed using mercury intrusion porosity (MIP) software (Autopore IV 9500 V1.09, USA) from Micrometrics. This analysis aimed to determine cumulative porosity and critical pore distribution under low and high pressures. For the test, all the specimens were prepared at a weight of approximately 2 ± 0.1 g.
After 28 days of curing, all the specimens were allowed to air dry under room conditions for 30 min (at 20 ± 2 °C and 60% relative humidity), followed by compressive strength measurements. The experimental procedure followed ASTM C39/C39M-21, employing a load rate of 0.25 ± 0.05 MPa/s [31]. The results were computed using the mean value obtained from three specimens within each mixture.
To evaluate the chloride migration coefficient under non-steady-state conditions, chloride migration tests were conducted using the Northest NT Build 492 methodology [32]. Three identical concrete discs with a thickness of 50 mm were cut from the 100 × 100 × 200 mm³ cylindrical specimens after 28 days of curing. These specimens were coated with epoxy paint on their sides to prevent the permeation of the electrolyte.
To determine the total chloride content, a 5 ± 0.002 g powder specimen was dissolved in 10 mL of distilled water. Concentrated nitric acid, diluted in a 1:1 ratio with water, was gently introduced into the beaker containing the powder specimen. To prevent the interaction of sulfides in the cement during the test, 3 mL of H2O2 (30%) was carefully added. The solution was then filtered using Advantec 5C filter papers, a Buchner funnel, and a suctioned filtration flask. The final volume of the solution was adjusted to approximately 60 mL. The filtrate solution, after cooling to room temperature, was used for potentiometric titration. In accordance with the ASTM C114 test method [33], the chloride content was determined using a Metrohm 855 Robotic Titrospecimenr from Metrohm AG, Switzerland, employing a 0.1 N silver nitrate solution. Furthermore, this method was employed to investigate the chloride threshold concentration value once the linear polarization resistance (LPR) had indicated the active corrosion state of the RC specimens. The average chloride concentration value was derived from the analysis of three individual specimens.

2.2.3. X-Ray Diffraction (XRD) of the Concrete Specimens

The XRD of hydration products in the concrete specimens after curing was performed by the XRD (Rigaku, Tokyo, Japan) from 2θ = 10–80° at 4°/min of scanning rate, 40 kV, and 100 mA using Cu Kα radian (λ = 1.5409 Å). The volume fraction (Vf) of the hydration products was analyzed by JADE software inbuilt in the instrument as well, as it is standard practice for the quantitative analysis of the phases [34,35].

2.2.4. Field Emission Scanning Electron Microscope (FE-SEM)

After 28 days of water curing, the morphology of the concrete specimens was carried out, using the field emission scanning electron microscope (FE-SEM) equipped with energy-dispersive X-ray spectroscopy (EDS) operating at 15 kV. This analysis was performed using the MIRA3 instrument from TESCAN, Brno, Czech Republic. Moreover, once the steel rebar had reached the point of the corrosion initiation detected by LPR, the RC specimens were carefully disassembled for detailed autopsy studies. Additionally, the examination of corrosion product morphology on the rebar embedded in concrete was conducted. Before capturing SEM images, the concrete specimens were cut and mounted. For the corrosion products, the corroded steel rebar was cut into 10 mm × 10 mm sections. The horizontal surface and oxide film were then selected for SEM analysis.

2.2.5. Electrochemical Studies

A VersaSTAT potentiostat workstation was utilized for the execution of all electrochemical assessments. To investigate the electrochemical phenomena, a three-electrode system was employed consisting of a stainless steel plate serving as the counter electrode, steel rebar embedded in concrete as the working electrode, and a saturated calomel electrode (SCE) acting as the reference electrode (Hg/Hg2Cl2). The linear polarization resistance (LPR) was carried out from −30 mV to +30 mV at a scan rate of 0.167 mV.s−1, in accordance with the ASTM G59-97 (2020) standard [36]. This was carried out to discern the active corrosion state of the steel rebars. EIS and LPR assessments were conducted after each wet cycle. The Stern–Geary equation as represented in Equation (1) was employed to compute the corrosion current density denoted as icorr [37].
icorr = B/Rp
B = (βaβc)/2.303 (βa + βc)
In this equation, Rp represents the polarization resistance of the working electrode determined as the slope of the LPR curve, and B is the proportionality constant derived using Equation (2) based on the Tafel slopes of the cathode (βc) and anode (βa) [38,39]. Typically, B assumes values of 26 mV and 52 mV for the active and passive states, respectively [40,41,42]. According to ASTM G59 [36,43,44], the corrosion initiation state is considered in the range of 0.1 to 1 μA.cm−2. However, it is reported that even the pitting corrosion cannot appear at 0.1 μA.cm−2 [45,46]. It means that the corrosion measurement has indicated the corroded state of the reinforced concrete structure, but the corrosion state has not been initiated yet, due to there being no observation of the pitting corrosion. Also, an icorr greater than 0.2 μA.cm−2 was considered as the active corrosion state of the steel rebar [47,48]. Fahim et al. noted that the passive corrosion rate was in the current density range of 0.1–0.3 μA.cm−2 [49]. The presence of pitting corrosion also supports the investigation of SEM for understanding the observation of phase morphology. Thus, the initiation of corrosion was recorded when the icorr reached 0.25 μA.cm−2 [46].
Electrochemical impedance spectroscopy (EIS) measurements were conducted by applying a sinusoidal voltage with a 10 mV amplitude within the frequency range from 105 Hz to 10−2 Hz. Subsequently, the impedance data were analyzed using the Metrohm Autolab NOVA 1.10 software. This approach allowed for the elucidation of the kinetics of the passive film formed on the steel rebar.

2.2.6. Corrosion Initiation Prediction

The corrosion initiation periods of all RC specimens were predicted by Life-365 software. The purpose of using this software is to predict and compare the service life of RC specimens to figure out the noble effect of the hybrid corrosion inhibitor. Also, it is free to use and easy to calculate the life-cycle costs of an alternative mix concrete design if required. This easy-approach software employed a numerical methodology following Fick’s second law, a fundamental equation governing the behavior of advection and dispersion phenomena. This approach encompassed the application of both one-dimensional (1-D) and two-dimensional (2-D) finite difference schemes. In 1-D scenarios, the stiffness matrix was directly solved to derive solutions, while in the context of 2-D situations, an iterative method known as successive over-relaxation was employed for approximation. Fick’s second law is the governing differential Equation (3) [50]:
d C   d t = D d 2   C d x 2
where C = the chloride content, D = the apparent diffusion coefficient, x = the depth from the exposed surface, and t = time.
To enhance computational efficiency, the time step for temporal derivatives was dynamically adjusted. Life-365 uses the following relationship to account for temperature-dependent changes in diffusion [50]:
D ( T ) = D r e f . e x p U R .   ( 1 T r e f 1 T )
where D (T) = the diffusion coefficient at time t and temperature T, Dref = the diffusion coefficient at time tref and temperature Tref, U = the activation energy of the diffusion process (35,000 J/mol), R = the gas constant, and T = the absolute temperature.
In the model, Tref = 293 K (20 °C), and tref = 28 days [50]. Based on the chloride surface concentrations, a specific exposure zone, extending 1.5 km and corresponding to an oceanic region, was delineated. This zone bears significance for the study of a structural element, specifically, a column. A fixed 0.6 wt. % chloride concentration with respect to concrete was considered to estimate the service life of RC structure by Life-365 software. The probabilistic equation followed the Bentz (2003) [51] model as shown in Equation (5):
ti = f (D, m, Cs, Ct, Cover)
where ti is the time to corrosion initiation, D is the slope of the diffusion plot with respect to time on the log–log plot m, Cs is the maximum surface chloride level (not constant, builds up over a few years)Ct is the chloride threshold to initiate the corrosion of steel rebar, and Cover is the cover depth of the RC structure.

3. Results and Discussion

3.1. Effect of the Hybrid Corrosion Inhibitor on Properties of Concrete Structures

3.1.1. Setting Time

The setting time of the concrete mix, including the initial and final setting time, are demonstrated in Figure 1. It can be seen from this figure that the concrete mix without the hybrid corrosion inhibitor (i.e., HI-0) obtains the initial and final setting time values at 5.80 h and 9.18 h, respectively. In addition, it shows a near-constant trend of both initial and final setting times when the hybrid corrosion inhibitor is added to 0.125 wt. % cement (i.e., HI-1). However, once the dosage of the hybrid inhibitor is increased from 0.25 wt. % cement, an increment can be observed in both the initial and final setting times due to the effect of the amount of LA (an organic compound) and TSP in the concrete mix. The TSP influences the formation of calcium phosphate (Ca3(PO4)2), resulting in an increase in the setting time [52,53]. In particular, the initial and final setting times of HI-2, HI-3, and HI-4 specimens are found to be (6.25 h; 10.42 h), (6.62 h; 11.08 h), and (7.60; 12.95 h), respectively, which reveal the high impact on the setting time of the concrete mix due to the high amount of LA molecules.

3.1.2. Slump and Air Content

The air content and slump results impacted by the variation in the hybrid corrosion inhibitor amount are shown in Figure 2. It can be observed that the slump values are gradually increased with the addition of the hybrid inhibitor; therefore, the workability of the concrete mix is improved. The improvement of workability is derived from the addition of LA in the concrete mix [10]. The increase in slump can be due to the hybrid corrosion inhibitor in cement particles diffusion ability, leading to the improvement in the contact of cement particles and water molecules. Additionally, the results of the air content have insignificant variation or just a slight increase with the increment of the hybrid inhibitor amount due to the gain of the slump/flow result [10].

3.1.3. Porosity

The cumulative intrusion fraction of the pore size diameter of the concrete specimen with the variation in the hybrid corrosion inhibitor is shown in Figure 3a. The maximum cumulative intrusion pore sizes of all the specimens are determined at approximately 2.2%. Also, the cumulative intrusion curves of all the specimens nearly overlapped each other, thus, the pore matrix of all the specimens varies inconsiderably with the addition of the hybrid corrosion inhibitor, which leads to the compact and dense concrete matrix, which might be attributed to the formation of complexes in the pores of the concrete. In other words, these mineral formations are showing the cooperating effect in order to maintain the stability of the concrete matrix.
The differential intrusion of the pore size diameter of the concrete specimens with different amounts of hybrid corrosion inhibitor is shown in Figure 3b. The highest peak of the differential intrusion curve is utilized to determine the critical pore diameter of the concrete specimen. It can be observed in Figure 3b that the highest peaks of all the specimens are located at around 0.09 μm, which is marked in the red dashed rectangular. Alternatively, the porosity fraction of the concrete specimen is demonstrated in Figure 4. The alteration range of the porosity fraction varies from 0.57–0.7%, which can be considered as insignificance. In summary, it can be said that the increase in the hybrid corrosion inhibitor amount in the concrete specimen insignificantly influences the porosity of concrete specimens, due to the lower dosage. This result is corroborated with the air content result of the concrete specimen. The inconsistency in the setting time (Figure 1) and slump value (Figure 2) with pore size (Figure 3) and content (Figure 4) might be attributed to the non-reaction of the hybrid inhibitor with the concrete during mixing, but once the curing has completed, the reaction between the inhibitor and concrete mix has started and forms some complexes, which fill out the concrete matrix.
The porosity has insignificant change, which shows that a high amount of LA and low amount of TSP corporation has no air entrance effect on the concrete matrix. There is a slight increase in air content in the increment of the hybrid inhibitor using dosage.

3.1.4. Compressive Strength

The effect of the hybrid corrosion inhibitor on the compressive strength after 28-days of curing is depicted in Figure 5. It can be seen from this Figure that the compressive strength is slightly decreased with the increase in hybrid inhibitor, where HI-0 obtains the highest value, i.e., 39.80 MPa. The decrease in compressive strength might be attributed to the LA molecules, where it reduces the formation of calcium silicate hydrate (C-S-H) gel in the concrete matrix, softening the concrete matrix during compression, and leads to the propagation of the pre-existing micro-crack [54,55,56]. On the other hand, the HI-1 specimen shows an insignificant reduction in compressive strength attributed to a limit dose of inhibitor molecules. On the other hand, once the hybrid inhibitor amount is equal or over 0.25 wt. % cement (from HI-2), the compressive strength tends to reduce, due to exceeding the limit of the used hybrid inhibitor. However, it is recommended in KS F2561 [57] that if the compressive strength of the inhibitor-containing concrete specimen is lower than 10% in comparison with the control specimen, then it is considered as an acceptable range. Therefore, it can be seen from Figure 5 that the HI-1 to HI-3 specimens are still in the acceptable range, which is lower than a 10% reduction. However, in the case of the HI-4 specimen, it can be controlled by lowering the W/C ratio.

3.1.5. XRD of the Hydration Products

Figure 6 displays the phases formed after 28 days of curing. In both specimens, portlandite [Ca(OH)2, JCPDF: 44-1481], quartz low (SiO2, JCPDF: 65-0466), silicon oxide (SiO2, JCPDF: 89-1666), and calcium silicate hydrate (C-S-H, JCPDF: 33-0306) are identified. The relative peak intensity of C-S-H and silicon oxide in the HI-0 specimen is higher compared to HI-4, indicating the initiation of cement hydration and formation of gel in the concrete matrix. However, in HI-4, portlandite and quartz exhibit a higher intensity. The presence of LA in the concrete mixture reduces the hydration reaction, resulting in a higher intensity of the quartz peak.
Table 5 presents the quantification of the phases present in the concrete matrix. It is evident from this table that the HI-0 specimen shows the highest amount of C-S-H gel, which is primarily responsible for its compressive strength. Consequently, this specimen exhibits the highest compressive strength, as depicted in Figure 5. Conversely, the HI-4 specimen contains higher amounts of portlandite and quartz due to the presence of LA as an organic substance, which diminishes the hydration reaction of the cement.

3.1.6. SEM of the Hydration Products

The morphology of the hydration products of HI-0 and HI-4 specimens is depicted in Figure 7a and Figure 7b, respectively. In Figure 7a, the HI-0 specimens exhibit a plate-like morphology of portlandite [Ca(OH)2] and agglomeration of calcium silicate hydrate (C-S-H) gel within the concrete matrix. The presence of C-S-H gel fills the concrete matrix, resulting in a higher compressive strength, as observed in Figure 5. However, in the case of HI-4, the formation of portlandite is significantly accompanied by microcracks (Figure 7b), suggesting that the hybrid inhibitor reduces the hydration reaction due to the significant amount of LA present. Unreacted silica is observed in both specimens; however, HI-4 shows an adequate amount of unreacted silica. This finding suggests that heterogeneous silica has no effect on the hydration reaction [58] and agglomerates in the concrete matrix [59], thereby reducing the compressive strength of hybrid inhibitor-mixed concrete specimens.
Table 6 displays the elemental analysis results of the concrete specimens following 28 days of curing. The primary chemical components identified in the concrete are oxygen (O), aluminum (Al), silicon (Si), and calcium (Ca). Notably, in the case of the hybrid inhibitor (HI-4), the presence of carbon (C), nitrogen (N), and phosphorus (P) is detected, suggesting the inclusion of LA and TSP in the concrete mixture.

3.1.7. Chloride Diffusion Coefficient

The effect of the hybrid corrosion inhibitor on the non-steady state migration of the chloride diffusion coefficient in concrete specimens is shown in Figure 8. The chloride diffusion coefficient is quantitatively representing the movement speed of chloride ions through concrete matrix. The chloride diffusion coefficient of HI-0 specimen is about 14.34 × 10−12 m2s−1. In addition, in the hybrid inhibitor-containing specimens, around a ±3% fluctuation in the chloride diffusion coefficient is found. Thus, it can be noted that the hybrid corrosion inhibitor has no impact on the chloride diffusion coefficient result or the movement speed of chloride ions in the concrete matrix. The chloride diffusion coefficient result is well corroborated with the porosity results.

3.2. Effect of the Hybrid Corrosion Inhibitor on Corrosion Properties of RC Structure

3.2.1. Linear Polarization Resistance (LPR)

The effect of the hybrid corrosion inhibitor on the corrosion initiation period of RC specimens is depicted in Figure 9. It is described above that if the icorr value is lower than 0.25 μAcm−2, then it is considered in the negligible corrosion state [46]. It can be observed that the HI-0 specimen reaches the active corrosion state after 15 cycles, whereas the hybrid inhibitor-containing specimens extend a longer time for corrosion initiation. In particular, HI-1, HI-2, HI-3, and HI-4 reach the active corrosion state after 19, 24, 39, and 43 cycles, respectively. Thus, it may be said that the active corrosion state duration is extended in the presence of hybrid corrosion inhibitor. It might be attributed to the Zwitterion-(Cl)-Fe and/or P-zwitterion-(Cl)-Fe complex formation in the presence of Cl ions onto the steel rebar surface [16,24]. As the amount of hybrid inhibitor is increased, the corrosion initiation duration is extended, attributed to the greater formation of P-zwitterion-(Cl)-Fe and Zwitterion-(Cl)-Fe complexes, which are protective, stable, uniform, and homogeneous [16,24,60].

3.2.2. Electrochemical Impedance Spectroscopy (EIS)

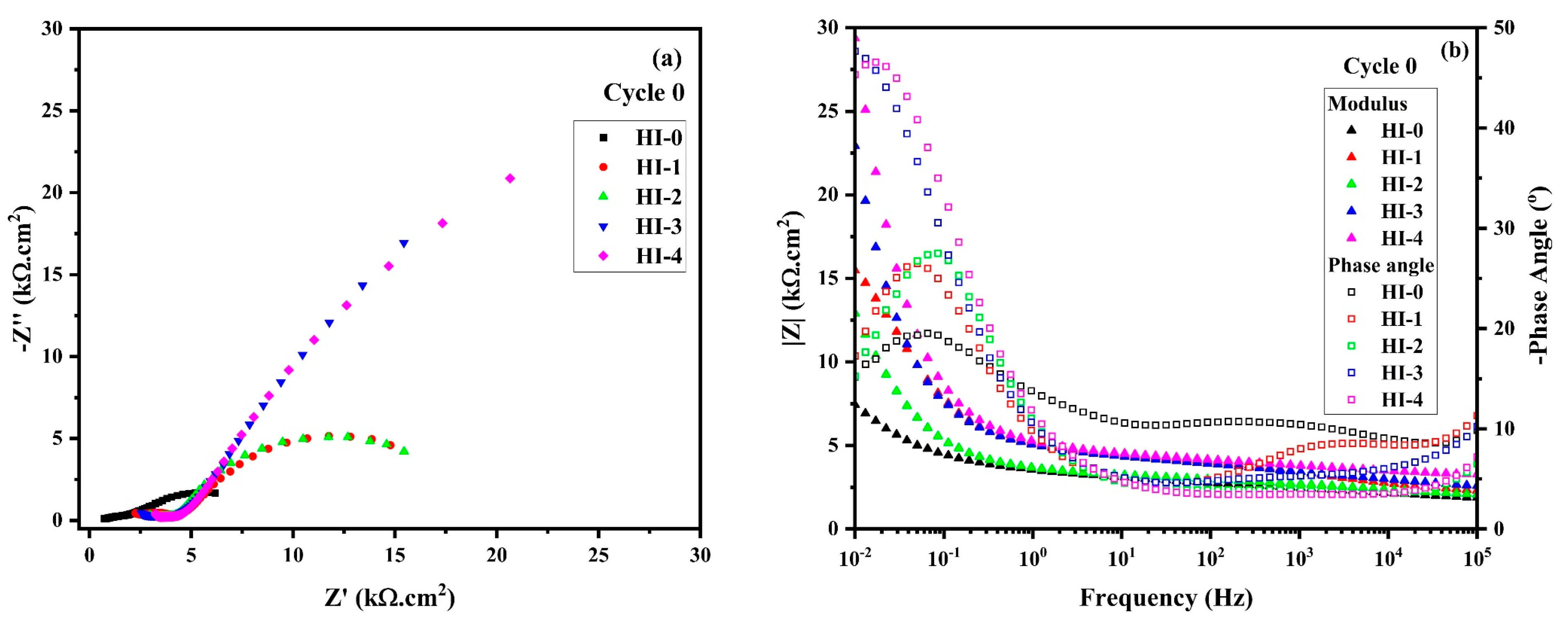
The Nyquist plot of RC specimens with different amounts of hybrid inhibitor after cycle 0 of the wet–dry condition is shown in Figure 10a. It can be seen that HI-0 shows the smallest magnitude of complex-plane impedance due to the absence of an inhibitor. In this case, the oxide/hydroxide film can be formed onto the steel rebar in the alkaline condition of concrete. However, this film is unstable in wet-dry cycle once immersed in NaCl solution [61]. On contrary, the RC specimens containing a hybrid inhibitor exhibit a larger magnitude of complex-plane impedance in comparison to HI-0, owing to the adsorption of inhibitor molecules and formation of the passive film. Alternatively, despite the same protection mechanism of the passive film, HI-1 and HI-2 specimens exhibit smaller magnitudes of complex-plane impedance compared to HI-3 and HI-4, attributed to the lower amount of hybrid inhibitor in the concrete mix. As the amount of inhibitor is increasing, the content of LA and TSP in concrete is increasing, which leads to the formation of a greater amount of P-zwitterion-(Cl)-Fe, Zwitterion-(Cl)-Fe, and FePO4 onto the steel rebar. The chloride ions in the solution (10 wt. % NaCl to perform the corrosion test) reach the steel rebar surface and form aforementioned complexes, as described elsewhere [16]. Alternatively, in the case of HI-0, there is no inhibitor; therefore, the chloride ions and wet–dry cycle accelerate the corrosion reaction. The magnitude of the low-frequency semi-arc is greater than the middle and high frequencies of the inhibitor-containing specimens, suggesting the charge transfer resistance (Rct) is caused by film formation onto the steel rebar surface.
The Bode impedance modulus plot of RC specimens mixed with different amounts of hybrid inhibitor after 0 cycles of wet–dry test is shown in Figure 10b. As it can be observed in Figure 10b, the HI-0 specimen exhibits the lowest impedance modulus at the lowest frequency, whereas the hybrid inhibitor-containing specimens exhibit higher values compared to HI-0, owing to adsorption mechanism [17,62]. The high- and middle-frequency impedance values of all the specimens are found to be identical, attributed to the oxide film formation, whereas at the low frequency, the total impedance of inhibitor-containing specimens is gradually increased, while HI-3 and HI-4 exhibit a significant increment in the value. It is attributed to the Rct caused at low frequency. In the case of a higher amount of inhibitor, the LA and TSP both are in high amounts, which leads to the formation of the P-zwitterion-(Cl)-Fe and Zwitterion-(Cl)-Fe complexes onto the steel rebar in the presence of chloride ions. The HI-4 specimen exhibits the highest impedance modulus, suggesting its corrosion resistance. In this case, the excessive amount of LA repels the water molecules [63] from the steel rebar surface, reduces the cathodic reaction [64], and the chloride ions in the studied solution reach the steel rebar. The chloride ions first interact with Fe due to being smaller in size compared to zwitterions, i.e., LA, which restrict the direct adsorption of zwitterion [65], followed by the interaction of zwitterion with chloride to form a Zwitterion-(Cl)-Fe complex [62]. The phosphate ions in the inhibitor react with zwitterion because the size of phosphate is greater than chloride, thus, it forms a P-Zwitterion-(Cl)-Fe complex. This complex has a greater stability than the former one. However, the compressive strength result of the HI-4 specimen does not meet the demands of mechanical property in accordance with KS F 2561 [57]. Thus, if considering the mechanical properties, it can be said that the HI-3 specimen could be used in the RC structure, otherwise, if we control the mechanical properties by altering the W/C ratio, then HI-4 is the best concrete mix design for the higher corrosion protection in the aggressive condition.
The Bode phase angle plot of RC specimens with different amounts of hybrid inhibitor at cycle 0 is depicted in Figure 10b. The HI-0 specimens exhibit two times, constant at high-to-middle and low frequency. The high- and middle-frequency capacitive loop suggests the formation of oxide film onto the steel rebar, owing to the hydration of the cement, where some hydration product deposits and causes the barrier. However, at the low frequency, the phase angle maxima are found to be lowest and the maximum can be reached at around −20°. This result suggests that the corrosion protection is mostly exerted by the steel rebar. Alternatively, in the case of inhibitor specimens, the phase angle maxima mostly shifted towards higher angle at the lowest frequency, attributed to the adsorption of the inhibitor molecules on the steel rebar. Therefore, resistance is caused at the steel rebar/concrete interface. As the inhibitor amount is increased, the phase angle maxima shifted towards a higher angle and are found around −50° at the lowest frequency for HI-3 and HI-4 specimens.
The Nyquist plot of RC specimens with different amounts of hybrid inhibitor after 7 cycles of wet–dry test is depicted in Figure 11a. All the RC specimens were immersed in 10 wt. % NaCl, where a significant amount of aggressive chloride ions exists, which perturb the film; therefore, a reduction in the magnitude of complex-plane impedance is observed. The HI-0 specimen exhibits a large reduction in the magnitude of complex-plane impedance compared to cycle 0, owing to the absence of the inhibitor. Alternatively, it also exhibits a smaller radius in complex-plane impedance than those of hybrid inhibitor-containing specimens. The film formed on the HI-0 specimen is unstable, and heterogeneous in the presence of aggressive chloride ions, which influence the hydration reaction of the oxide film and causes the cracking [66]. The low-frequency semi-circle magnitude of the HI-0 specimen is significantly reduced, suggesting the deterioration of the steel rebar in an accelerated condition. There is a certain chloride threshold of the inhibitor, and earlier we have found that this hybrid inhibitor exhibits 6 wt. % NaCl in the concrete pore solution [24], but, in the present study, we have considered 10 wt. % NaCl as well as wet–dry conditions to accelerate the reaction. Therefore, the inhibitor-containing specimens also exhibit a reduction in the magnitude of complex-plane impedance plots, as shown in Figure 11a. Moreover, the complex-plane semi-arc of the inhibitor-containing specimens mostly exhibited Z’real, suggesting the formation of uniform film, but it is defective owing to the Cl ions, which attenuate the properties of the adsorbed layer onto the steel rebar surface. As it can be seen, the HI-3 and HI-4 specimens exhibit the same magnitude of complex-plane impedance, suggesting that they are exhibiting identical corrosion resistance properties. The low-frequency complex-plane magnitude is greater than the high-frequency, suggesting that the inhibitor molecules are providing corrosion protection by forming P-Zwitterions-(Cl)-Fe and Zwitterion-(Cl)-Fe complexes film onto the steel rebar. Alternatively, in the case of HI-1 and HI-2 specimens, the inhibitor amount is not significant enough to form greater P-Zwitterions-(Cl)-Fe and Zwitterions-(Cl)-Fe complexes to resist the attack of chloride ions in accelerated conditions for corrosion protection.
The Bode impedance modulus plot of RC specimens with different amounts of hybrid inhibitor immersed in 10 wt. % NaCl solution after 7 cycles of wet–dry test is depicted in Figure 11b. There is a reduction in the total impedance of all the specimens after 7 cycles of wet–dry, attributed to the accelerated test where the specimens were immersed in 10 wt. % NaCl solution for the corrosion studies. The excessive amount of Cl ions ingress through the pore matrix of the concrete and reach the steel rebar surface and attenuate the passive film. However, the inhibitor-containing specimens exhibit a higher total impedance. As the inhibitor amount is increased, the total impedance is also increased, but, while comparing with 1 cycle of wet–dry test, it is lower. The protection by the hybrid inhibitor might be provided by the formation of complexes onto the steel rebar, where phosphate ions and LA (zwitterion) interact with chloride ions and Fe. If the amount of inhibitor is higher, then the possibility for the formation of complexes is greater. Moreover, these concentrations of inhibitor can sustain a certain amount of chloride ions in the concrete. The wet–dry condition accelerates the corrosion reaction; therefore, this is another reason for the reduction in the total impedance.
The Bode phase angle plots of RC specimens immersed in 10 wt. % NaCl after 7 cycles of wet–dry test are demonstrated in Figure 11b. The phase angle maxima of all the specimens are gradually decreased at low frequency, suggesting the breakdown of passive film, owing to the significant amount of chloride ions as well as wet–dry cycles. However, the HI-0 specimen exhibits the lowest phase angle maxima and the maximum is found at −7° on 0.01 Hz. This result suggests that neither the steel rebar nor passive film provide corrosion protection attributed to the accelerated condition, where it breaks down and initiates the corrosion reaction at the steel rebar/concrete interface. On the other hand, the inhibitor-containing specimen phase angle maxima are found at a higher angle compared to HI-0, suggesting the charge transfer resistance (Rct). It means corrosion protection is provided by Rct where film is being formed.
The Nyquist plot of RC specimens after 15 cycles of wet–dry test is shown in Figure 12a. Cycle 15 is selected as the last cycle for the electrochemical dynamic and kinetics observation of the passive film onto the steel rebar in RC structures due to the active corrosion of HI-0. The HI-0 specimen was broken down to investigate the morphology of the passive film by SEM and determined the chloride threshold. After 15 cycles of wet–dry test, the Nyquist plot magnitude of HI-0 specimen is slightly increased compared to 7 cycles attributed to the formation of oxide/corrosion products onto the steel rebar/concrete interface as confirmed by LPR. This oxide film caused resistance to corrosion. The identical inference can be drawn for HI-1 where the inhibitor amount is limited, and in the accelerated condition, it could not provide longer protection. However, the complex-plane magnitude of the HI-1 specimen is greater than HI-0, suggesting that even with a limited amount of inhibitor, it is better than HI-0 after 15 cycles of wet–dry as well as immersing them in 10 wt. % NaCl solution for the electrochemical studies. Alternatively, from HI-2 to HI-4, the magnitude of the complex impedance plot is slightly decreased, attributed to the effect of chloride ions, which attenuate the passive film and cause the defects. However, the low-frequency capacitive loop of inhibitor-containing specimens is higher compared to middle- and high-, suggesting that passive film at steel rebar/concrete interface provides protection owing to the adsorption of the inhibitor molecules. In this case, there is a possibility for the formation of Zwitterions-(Cl)-Fe and P-zwitterions-(Cl)-Fe complexes onto the steel rebar. However, it is very difficult to determine the formation of these complexes onto the ribbed steel bar by analytical techniques rather than assumption. Moreover, our earlier publications confirm the formation of these complexes in a simulated concrete pore solution [16,24].
The Bode impedance modulus plot of RC specimens with different amounts of hybrid inhibitor after 15 cycles of wet–dry is depicted in Figure 12b. The HI-0 specimen continuously shows the lowest total impedance value due to the destruction of the oxide/hydroxide film, induced by chloride ions. It can be seen that there is a large difference in total impedance between HI-0 and hybrid inhibitor-containing specimens, attributed to the formation of P-zwitterions-(Cl)-Fe and Zwitterions-(Cl)-Fe complexes, which are more durable and protective than iron oxide/hydroxide film. However, the amount of hybrid inhibitor mixed in the concrete matrix also influences the corrosion resistance property against chloride ions; evidentially, the total impedance values are considerably higher than without inhibitor, i.e., HI-0. In addition, it is also evident that the high amount of inhibitor leads to the formation of greater P-zwitterions-(Cl)-Fe and Zwitterion-(Cl)-Fe complexes as the adsorbed film of HI-3 and HI-4 than that of HI-1 and HI-2. Paradoxically, the HI-4 specimen contains a two-times higher inhibitor amount compared to HI-3, where along with P-zwitterions-(Cl)-Fe and Zwitterions-(Cl)-Fe complexes, tertiary iron phosphate (FePO4) could form once the corrosion initiation started and provide corrosion protection [16,24].
The Bode phase angle plot of RC specimens mixed with hybrid inhibitor after 15 cycles of wet–dry test is demonstrated in Figure 12b. The phase angle value of HI-0 is found to be around −5° at 0.01 Hz, divulging that the embedded steel rebar is severely corroded and the unstable oxides/hydroxides film could form onto the steel rebar. There is a possibility that the corrosion products are heterogeneous and unstable. Moreover, the phase angle maxima of hybrid inhibitor-containing specimens are higher than HI-0. This result suggests that the passive film formed onto the inhibitor-containing specimens is protective and stable even after 15 cycles of wet–dry test. The longer duration of accelerated test perturbs the passive film and leads to the corrosion reaction. Therefore, the 15 cycles of wet–dry and immersion in 10 wt. % NaCl solution led to the defect formation in the passive film. Therefore, all the specimens exhibited a reduction in phase angle maxima at low frequency. Moreover, the higher amount of inhibitor exhibited greater protection.

3.2.3. Scanning Electron Microscopy (SEM)

The oxide film morphology of the specimens after the onset of corrosion, as depicted by LPR, are shown in Figure 13a,b and Figure 13c,d for HI-0 and HI-4 specimens, respectively. In the 1000× magnification image of HI-0 (Figure 13a), the corrosion products/oxide film exhibits porous and heterogeneous characteristics and crack formation. At the higher magnification as shown in Figure 13b, the corrosion products morphology is reminiscent of flower petals and/or lotus-like shapes, characterized as goethite (α-FeOOH) and lepidocrocite (γ-FeOOH) [60]. The porous and petal-like morphology of the corrosion products allows the ingress of aggressive ions and moisture, and enhances the corrosion reaction. An energy-dispersive X-ray spectroscopy (EDS) analysis in Table 7 confirms the presence of iron hydro (oxide) products owing to the presence of a high amount of oxygen and iron. The presence of other elements in minor amounts might be attributed to the concrete composition.
Conversely, in the presence of the hybrid corrosion inhibitor (as indicated in Figure 13c,d), corrosion products are generally less apparent on the surface of the steel rebar. This is attributed to the protective passive film, specifically the formation of Zwitterions-(Cl)-Fe and/or P-zwitterions-(Cl)-Fe complexes on the steel rebar surface. As shown in Table 7, the detection of phosphorus, nitrogen, chlorine, and carbon elements in thHI-4 specimen confirms the presence of these Zwitterions-(Cl)-Fe and/or P-Zwitterions-(e Cl)-Fe complexes on the steel rebar surface. Consequently, despite the onset of corrosion in specimens, the HI-4 specimen exhibits denser and less porous morphologies compared to HI-0. This phenomenon is attributed to the formation of the protective passive film, specifically the Zwitterions-(Cl)-Fe and/or P-zwitterions-(Cl)-Fe complexes.

3.2.4. Chloride Threshold Concentration

The critical chloride concentration of the RC specimens determined after the corrosion initiation time as determined by LPR is graphically represented in Figure 14. It is evident that the critical chloride thresholds for HI-0, HI-1, HI-2, HI-3, and HI-4 correspond to 0.055, 0.13, 0.29, 0.50, and 0.54 wt. % concrete, respectively. As the added quantity of the hybrid corrosion inhibitor gradually increases, the critical chloride concentration in the RC specimens also exhibits a significant rise. It can be seen from this plot that HI-4 has increased to an almost 10 times higher critical chloride concentration compared to HI-0. This phenomenon can be attributed to the formation of highly stable and protective passive films, leading to an increase in the chloride threshold values of the RC specimens. Consequently, the hybrid corrosion inhibitor demonstrates a profound impact on enhancing corrosion resistance and extending the service life of the RC specimens. Subsequently, the results for critical chloride concentration in all the specimens serve as input data for the service life prediction model in the next part.

3.3. Effect of the Hybrid Corrosion Inhibitor on the Service Life Prediction of RC Structures

3.3.1. Input Parameters

The parameters used in the predictive model are documented in Table 8. These parameters include Dnssm, which characterizes the chloride diffusion coefficient, Ccrit, denoting the critical chloride concentration, xcover, specifying the depth of the concrete cover, Cs,max, representing the maximum surface chloride concentration, and m, which signifies the diffusion decay index. In the context of the Plain specimen, the term ‘default’ indicates the utilization of the Life-365 dataset for the prediction. For the probabilistic approach, the distribution type and standard deviation value followed the default setting of the software. In particular, the normal distribution and standard deviation values of Dnssm, Ccrit, xcover, Cs,max, and m at 0.2, 0.2, 0.23, 0.1, and 0.2, respectively, are employed in the prediction model.

3.3.2. Deterministic-Based Prediction

Figure 15 illustrates the service life projection for RC specimens using a deterministic approach. The service life of the HI-0 specimens and Life 365 is estimated to be approximately 10.2 years, affirming the reliability of the input data used in the predictive model. As the quantity of the added hybrid corrosion inhibitor in the concrete increases from 0.125 to 1 wt. % with respect to cement, the service life also gradually increases. Specifically, the service lives for HI-0, HI-1, HI-2, HI-3, and HI-4 are projected to be 9.9, 17.5, 29.7, 55.5, and 64.5 years, respectively. In summary, the deterministic approach indicates that the inclusion of the hybrid corrosion inhibitor has the potential to enhance the service life of the RC structures.

3.3.3. Probabilistic-Based Prediction

The graphic representation in Figure 16 illustrates the forecast of the service life for RC specimens using a probabilistic approach for the corrosion initiation periods. The probability of the corrosion initiation period for HI-0 and Life 365 appears to be quite similar, suggesting a high degree of reliability in the input data. However, with the introduction of a hybrid corrosion inhibitor into the concrete mix, the probability for the corrosion initiation gradually decreases. It indicates that the RC structures become less susceptible to aggressive chloride ions due to the presence of the hybrid inhibitor, which is adsorbed onto the steel rebar surface. As seen in Figure 16, the maximum probabilities of the corrosion initiation for Life 365, HI-0, HI-1, HI-2, HI-3, and HI-4, correspond to 12.4%, 13%, 8.8%, 5.8%, 1.6%, and 1.2%, respectively. Significantly, the corrosion resistance of the RC specimens improves as the dosage of the hybrid corrosion inhibitor increases.
Figure 17 demonstrates the prediction of the service life of RC specimens using a cumulative initiation period probability based on a probabilistic approach. In general, the cumulative probability of specimen failure decreases significantly as the hybrid corrosion inhibitor increases. In other words, the hybrid corrosion inhibitor has the clear potential to reduce the failure in RC structures. Furthermore, it is evident that the deterministic approach of service life prediction produces results that closely align with an approximate 50% cumulative initiation period probability. However, according to standards such as those in Korea, Japan, or CEB-FIP, the maximum acceptable failure probability is typically set at 10%. Consequently, when compared to the deterministic service life prediction, the probabilistic approach significantly reduces the predicted service life, which ultimately enhances safety in real-world applications. Nonetheless, it is important to note that maintenance activities should be planned sooner when employing the probabilistic method, potentially incurring higher costs than the deterministic approach.
In short, both the deterministic service life model and the probabilistic approach corroborate the positive effectiveness of the hybrid corrosion inhibitor in protecting steel rebar within RC structures. These prediction models predict an increase in service life as the hybrid inhibitor is added in the larger quantities.

4. Conclusions

Thorough experiments investigating the impact of employing a hybrid corrosion inhibitor on steel reinforcement bars in RC structures have produced significant findings. Incorporating the hybrid corrosion inhibitor has shown significant improvements in the workability of the concrete mixture, while maintaining consistent air content, porosity, and chloride diffusion coefficient. The increase in inhibitor content falls within acceptable limits for permissible changes in compressive strength. Particularly, the HI-3 specimen meets the required standard for concrete specimens. The combination of the hybrid corrosion inhibitor with RC specimens has resulted in enhanced corrosion resistance properties, such as an increase in the critical chloride concentration and a prolonging of the corrosion initiation time. These findings indicate the effectiveness of the hybrid corrosion inhibitor in protecting steel reinforcement within RC structures. Specifically, the HI-4 specimen demonstrates superior complex plane impedance and phase angle results compared to other specimens, indicating the presence of a more robust and stable passive film could be attributed to the formation of P-zwitterions-(Cl)-Fe, Zwitterions-(Cl)-Fe, and FePO4 complexes. However, HI-3 showed the optimum performance in both mechanical and electrochemical properties. In addition, both deterministic and probabilistic models for service life prediction have confirmed the effectiveness of the hybrid corrosion inhibitor. These models predict an extension in service life corresponding to the increment in the hybrid inhibitor content within the concrete mix. This further solidifies the practical application of hybrid corrosion including LA and TSP in engineering fields. In summary, an in-depth investigation of experimental outcomes corroborates that the hybrid corrosion inhibitor, i.e., HI-4 mix, effectively prevents the corrosion initiation for the steel rebar in RC structures. Their utilization presents a significant advantage. Therefore, this study furnishes valuable insights, paving the way for the pragmatic integration of the hybrid corrosion inhibitor across various engineering domains.

Author Contributions

D.T.T.: methodology, software, formal analysis, investigation, data curation, writing—original draft, and writing—review and editing. H.-S.L.: conceptualization, resources, supervision, funding acquisition, and writing—review and editing. J.K.S.: conceptualization, visualization, formal analysis, investigation, supervision, writing—original draft, and writing—review and editing. H.-M.Y.: writing—review and editing. M.-G.J.: investigation and data curation. S.Y.: writing—review and editing. I.S.I.: writing—review and editing. M.A.B.M.A.: writing—review and editing. A.-T.L.: writing—review and editing. A.K.S.: writing—review and editing. All authors have read and agreed to the published version of the manuscript.

Funding

This research received no external funding.

Data Availability Statement

It is available upon request to the corresponding author.

Acknowledgments

This research was supported by National Research Foundation of Korea (NRF) grant funded by the Korea government (MSIT) (No. RS-2023-00217322). This study was also supported by a Matching Grant (MG) Hanyang University, Korea (No. Q. J130000.3051.03M36).

Conflicts of Interest

The authors declare no conflicts of interest.

References

  1. Sliem, M.H.; Radwan, A.B.; Mohamed, F.S.; Alnuaimi, N.A.; Abdullah, A.M. An efficient green ionic liquid for the corrosion inhibition of reinforcement steel in neutral and alkaline highly saline simulated concrete pore solutions. Sci. Rep. 2020, 10, 14565. [Google Scholar] [CrossRef] [PubMed]
  2. Aslam, R.; Serdaroglu, G.; Zehra, S.; Verma, D.K.; Aslam, J.; Guo, L.; Verma, C.; Ebenso, E.E.; Quraishi, M. Corrosion Inhibition of Steel Using Different Families of Organic Compounds: Past and Present Progress. J. Mol. Liq. 2021, 348, 118373. [Google Scholar]
  3. Rabi, R.R.; Vailati, M.; Monti, G. Effectiveness of vibration-based techniques for damage localization and lifetime prediction in structural health monitoring of bridges: A comprehensive review. Buildings 2024, 14, 1183. [Google Scholar] [CrossRef]
  4. Rodrigues, R.; Gaboreau, S.; Gance, J.; Ignatiadis, I.; Betelu, S. Reinforced concrete structures: A review of corrosion mechanisms and advances in electrical methods for corrosion monitoring. Constr. Build. Mater. 2021, 269, 121240. [Google Scholar]
  5. Zhao, Y.; Jin, W. Steel Corrosion-Induced Concrete Cracking; Butterworth-Heinemann: Oxford, UK, 2016. [Google Scholar]
  6. Maraveas, C. Durability issues and corrosion of structural materials and systems in farm environment. Appl. Sci. 2020, 10, 990. [Google Scholar] [CrossRef]
  7. Daniyal, M.; Akhtar, S. Corrosion assessment and control techniques for reinforced concrete structures: A review. J. Build. Pathol. Rehabil. 2020, 5, 1. [Google Scholar] [CrossRef]
  8. Bahlakeh, G.; Dehghani, A.; Ramezanzadeh, B.; Ramezanzadeh, M. Combined molecular simulation, DFT computation and electrochemical studies of the mild steel corrosion protection against NaCl solution using aqueous Eucalyptus leaves extract molecules linked with zinc ions. J. Mol. Liq. 2019, 294, 111550. [Google Scholar]
  9. Alibakhshi, E.; Ramezanzadeh, M.; Haddadi, S.; Bahlakeh, G.; Ramezanzadeh, B.; Mahdavian, M. Persian Liquorice extract as a highly efficient sustainable corrosion inhibitor for mild steel in sodium chloride solution. J. Clean. Prod. 2019, 210, 660–672. [Google Scholar]
  10. Nahali, H.; Dhouibi, L.; Idrissi, H. Effect of Na3PO4 addition in mortar on steel reinforcement corrosion behavior in 3% NaCl solution. Constr. Build. Mater. 2015, 78, 92–101. [Google Scholar]
  11. Bryan, N.S.; Alexander, D.D.; Coughlin, J.R.; Milkowski, A.L.; Boffetta, P. Ingested nitrate and nitrite and stomach cancer risk: An updated review. Food Chem. Toxicol. 2012, 50, 3646–3665. [Google Scholar]
  12. Ngala, V.; Page, C.; Page, M. Corrosion inhibitor systems for remedial treatment of reinforced concrete. Part 1: Calcium nitrite. Corros. Sci. 2002, 44, 2073–2087. [Google Scholar]
  13. Gao, Z.; Zhang, D.; Li, X.; Jiang, S.; Zhang, Q. Current status, opportunities and challenges in chemical conversion coatings for zinc. Colloids Surf. A Physicochem. Eng. Asp. 2018, 546, 221–236. [Google Scholar]
  14. Gao, Z.; Zhang, D.; Liu, Z.; Li, X.; Jiang, S.; Zhang, Q. Formation mechanisms of environmentally acceptable chemical conversion coatings for zinc: A review. J. Coat. Technol. Res. 2019, 16, 1–13. [Google Scholar]
  15. Fei, F.; Hu, J.; Wei, J.; Yu, Q.; Chen, Z. Corrosion performance of steel reinforcement in simulated concrete pore solutions in the presence of imidazoline quaternary ammonium salt corrosion inhibitor. Constr. Build. Mater. 2014, 70, 43–53. [Google Scholar]
  16. Tran, D.T.; Lee, H.-S.; Singh, J.K. Influence of phosphate ions on passive film formation in amino acid-containing concrete pore solutions with chloride ions. J. Build. Eng. 2023, 66, 105834. [Google Scholar]
  17. Singh, J.K.; Yang, H.-M.; Lee, H.-S.; Mandal, S.; Aslam, F.; Alyousef, R. Role of L-arginine on the formation and breakdown of passive film onto the steel rebars surface in chloride contaminated concrete pore solution. J. Mol. Liq. 2021, 337, 116454. [Google Scholar]
  18. Xu, W.; Wei, J.; Yang, Z.; Xu, P.; Yu, Q. Feasibility and corrosion inhibition efficacy of zeolite-supported lauric acid imidazoline as corrosion inhibitor in cementitious mortar. Constr. Build. Mater. 2020, 250, 118861. [Google Scholar]
  19. Nahali, H.; Dhouibi, L.; Idrissi, H. Effect of phosphate based inhibitor on the threshold chloride to initiate steel corrosion in saturated hydroxide solution. Constr. Build. Mater. 2014, 50, 87–94. [Google Scholar]
  20. Akrom, M.; Rustad, S.; Saputro, A.G.; Dipojono, H.K. Data-driven investigation to model the corrosion inhibition efficiency of pyrimidine-pyrazole hybrid corrosion inhibitors. Comput. Theor. Chem. 2023, 1229, 114307. [Google Scholar]
  21. Lai, X.; Hu, J.; Ruan, T.; Zhou, J.; Qu, J. Chitosan derivative corrosion inhibitor for aluminum alloy in sodium chloride solution: A green organic/inorganic hybrid. Carbohydr. Polym. 2021, 265, 118074. [Google Scholar]
  22. Dehghani, A.; Mostafatabar, A.H.; Ramezanzadeh, B. Synergistic anticorrosion effect of Brassica Hirta phytoconstituents and cerium ions on mild steel in saline media: Surface and electrochemical evaluations. Colloids Surf. A Physicochem. Eng. Asp. 2023, 656, 130503. [Google Scholar] [CrossRef]
  23. Wu, S.; Zhang, Q.; Sun, D.; Luan, J.; Shi, H.; Hu, S.; Tang, Y.; Wang, H. Understanding the synergistic effect of alkyl polyglucoside and potassium stannate as advanced hybrid corrosion inhibitor for alkaline aluminum-air battery. Chem. Eng. J. 2020, 383, 123162. [Google Scholar] [CrossRef]
  24. Tran, D.T.; Lee, H.-S.; Singh, J.K. Chloride threshold determination of hybrid inhibitor immersed in simulated concrete pore solution. Constr. Build. Mater. 2023, 384, 131446. [Google Scholar] [CrossRef]
  25. Alhozaimy, A.; Hussain, R.; Al-Negheimish, A.; Singh, J.; Singh, D. Protection against reinforcement corrosion using phosphoric acid-based rust converter. ACI Mater. J. 2018, 115, 935–944. [Google Scholar] [CrossRef]
  26. ASTM C192/C192M-19; Standard Practice for Making and Curing Concrete Test Specimens in the Laboratory. ASTM: West Conshohocken, PA, USA, 2019.
  27. Prak, L.; Sumranwanich, T.; Tangtermsirikul, S. Experimental investigation on the degradation of coating on concrete surfaces exposed to accelerated and natural UV in chloride environment. J. Adhes. Sci. Technol. 2022, 37, 240–256. [Google Scholar] [CrossRef]
  28. ASTM C403/C403M-16; Standard Test Method for Time of Setting of Concrete Mixtures by Penetration Resistance. ASTM: West Conshohocken, PA, USA, 2017.
  29. ASTM C143/C143M-09; Standard Test Method for Slump of Hydraulic-Cement Concrete. ASTM: West Conshohocken, PA, USA, 2020.
  30. ASTM C231/C231M-22; Standard Test Method for Air Content of Freshly Mixed Concrete by the Pressure Method. ASTM: West Conshohocken, PA, USA, 2017.
  31. ASTM C39/C39M-21; Standard Test Method for Compressive Strength of Cylindrical Concrete Specimens. ASTM: West Conshohocken, PA, USA, 2021.
  32. NT BUILD 492; Concrete, Mortar and Cement-Based Repair Materials: Chloride Migration Coefficient from Non-Steady-State Migration Experiments. Nord. Method Nord; COUNCIL OF MINISTERS: Copenhagen K, Denmark, 1999.
  33. ASTM C114-18; Standard Test Method for Chemical Analysis of Hydraulic Cement. ASTM: West Conshohocken, PA, USA, 2022.
  34. Ohba, T.; Kanou, N.; Koyano, T.; Ikeda, H.; Ohtsuka, H.; Wada, H.; Kato, K. X-ray diffraction studies of Fe-N bulk-processed in a magnetic field using synchrotron radiation. Mater. Trans. 2003, 44, 2537–2540. [Google Scholar] [CrossRef]
  35. Zhang, L.; Shen, Z.; Xu, J. Glass formation in a (Ti, Zr, Hf)–(Cu, Ni, Ag)–Al high-order alloy system by mechanical alloying. J. Mater. Res. 2003, 18, 2141–2149. [Google Scholar] [CrossRef]
  36. ASTM G59-97; Standard Test Method for Conducting Potentiodynamic Polarization Resistance. ASTM: West Conshohocken, PA, USA, 2020.
  37. Stern, M.; Geary, A.L. Electrochemical polarization: I. A theoretical analysis of the shape of polarization curves. J. Electrochem. Soc. 1957, 104, 56. [Google Scholar] [CrossRef]
  38. Babaee, M.; Castel, A. Chloride-induced corrosion of reinforcement in low-calcium fly ash-based geopolymer concrete. Cem. Concr. Res. 2016, 88, 96–107. [Google Scholar] [CrossRef]
  39. Jiang, S.; Jiang, L.; Wang, Z.; Jin, M.; Bai, S.; Song, S.; Yan, X. Deoxyribonucleic acid as an inhibitor for chloride-induced corrosion of reinforcing steel in simulated concrete pore solutions. Constr. Build. Mater. 2017, 150, 238–247. [Google Scholar] [CrossRef]
  40. Andrade, C.; González, J. Quantitative measurements of corrosion rate of reinforcing steels embedded in concrete using polarization resistance measurements. Mater. Corros. 1978, 29, 515–519. [Google Scholar]
  41. Xu, J.; Jiang, L.; Wang, J. Influence of detection methods on chloride threshold value for the corrosion of steel reinforcement. Constr. Build. Mater. 2009, 23, 1902–1908. [Google Scholar] [CrossRef]
  42. Andrade, C.; Alonso, C. Test methods for on-site corrosion rate measurement of steel reinforcement in concrete by means of the polarization resistance method. Mater. Struct. 2004, 37, 623–643. [Google Scholar]
  43. Jiang, S.; Gao, S.; Jiang, L.; Guo, M.-Z.; Jiang, Y.; Chen, C.; Jin, M.; Bai, S. Effects of Deoxyribonucleic acid on cement paste properties and chloride-induced corrosion of reinforcing steel in cement mortars. Cem. Concr. Compos. 2018, 91, 87–96. [Google Scholar]
  44. Millard, S.; Gowers, K.; Gill, J. Reinforcement corrosion assessment using linear polarisation techniques. Spec. Publ. 1991, 128, 373–395. [Google Scholar]
  45. González, J.A.; Algaba, J.; Andrade, C. Corrosion of reinforcing bars in carbonated concrete. Br. Corros. J. 1980, 15, 135–139. [Google Scholar]
  46. Królikowski, A.; Kuziak, J. Impedance study on calcium nitrite as a penetrating corrosion inhibitor for steel in concrete. Electrochim. Acta 2011, 56, 7845–7853. [Google Scholar]
  47. Song, H.-W.; Saraswathy, V. Corrosion monitoring of reinforced concrete structures—A review. Int. J. Electrochem. Sci 2007, 2, 1–28. [Google Scholar]
  48. Garcia, E.; Torres, J.; Rebolledo, N.; Arrabal, R.; Sanchez, J. Corrosion of steel rebars in anoxic environments. part i: Electrochemical measurements. Materials 2021, 14, 2491. [Google Scholar] [CrossRef]
  49. Fahim, A.; Ghods, P.; Isgor, O.B.; Thomas, M.D. A critical examination of corrosion rate measurement techniques applied to reinforcing steel in concrete. Mater. Corros. 2018, 69, 1784–1799. [Google Scholar] [CrossRef]
  50. Violetta, B. Life-365 service life prediction model. Concr. Int. 2002, 24, 53–57. [Google Scholar]
  51. Bentz, E.C. Probabilistic modeling of service life for structures subjected to chlorides. Mater. J. 2003, 100, 391–397. [Google Scholar]
  52. Thomas, N. Corrosion problems in reinforced concrete: Why accelerators of cement hydration usually promote corrosion of steel. J. Mater. Sci. 1987, 22, 3328–3334. [Google Scholar]
  53. Tran, D.T.; Lee, H.-S.; Singh, J.K.; Lee, D.-E. Corrosion prevention of steel rebar embedded in the cement mortar under accelerated conditions: Combined effects of phosphate and chloride ions. Constr. Build. Mater. 2023, 365, 130042. [Google Scholar]
  54. Yang, H.-M.; Myung, N.V.; Lee, H.-S.; Singh, J.K. L-Arginine-Incorporated Cement Mortar as Sustainable Artificial Reefs. Sustainability 2020, 12, 6346. [Google Scholar] [CrossRef]
  55. Shah, S.P.; Choi, S.; Jansen, D.C. Strain softening of concrete in compression. Proc. Fract. Mech. Concr. Struct 1996, 3, 1827–1841. [Google Scholar]
  56. Zheng, X.; Ji, T.; Easa, S.M.; Ye, Y. Evaluating feasibility of using sea water curing for green artificial reef concrete. Constr. Build. Mater. 2018, 187, 545–552. [Google Scholar] [CrossRef]
  57. KS F 2561; Corrosion Inhibitor for Reinforcing Steel in Concrete. Korean Standards Certification: Seoul, Republic of Korea, 2013.
  58. Lin, R.-S.; Wang, X.-Y.; Zhang, G.-Y. Effects of quartz powder on the microstructure and key properties of cement paste. Sustainability 2018, 10, 3369. [Google Scholar] [CrossRef]
  59. Chen, X.; Wan, D.-W.; Jin, L.-Z.; Qian, K.; Fu, F. Experimental studies and microstructure analysis for ultra high-performance reactive powder concrete. Constr. Build. Mater. 2019, 229, 116924. [Google Scholar]
  60. Tran, D.T.; Lee, H.-S. Role of chloride ions with Zwitterions and phosphate groups on the improvement of the passive film in alkaline environment. In Proceedings of the Korean Institute of Building Construction Conference, Seoul, Republic of Korea, 16–19 November 2022; pp. 43–44. [Google Scholar]
  61. Singh, J.; Singh, D. The nature of rusts and corrosion characteristics of low alloy and plain carbon steels in three kinds of concrete pore solution with salinity and different pH. Corros. Sci. 2012, 56, 129–142. [Google Scholar]
  62. Badawy, W.A.; Ismail, K.M.; Fathi, A.M. Corrosion control of Cu–Ni alloys in neutral chloride solutions by amino acids. Electrochim. Acta 2006, 51, 4182–4189. [Google Scholar] [CrossRef]
  63. Bockris, J.M.; Swinkels, D. Adsorption of n-decylamine on solid metal electrodes. J. Electrochem. Soc. 1964, 111, 736. [Google Scholar] [CrossRef]
  64. Gaidis, J.M. Chemistry of corrosion inhibitors. Cem. Concr. Compos. 2004, 26, 181–189. [Google Scholar] [CrossRef]
  65. Mandal, S.; Singh, J.K.; Mallapur, S.; Lee, D.-E.; Park, T. Effect of triethanolamine and sodium hexametaphosphate on formation, growth and breakdown of passive layer in concrete pore solution. J. Build. Eng. 2022, 59, 105113. [Google Scholar] [CrossRef]
  66. Montemor, M.; Simoes, A.; Ferreira, M. Analytical characterization of the passive film formed on steel in solutions simulating the concrete interstitial electrolyte. Corrosion 1998, 54, 347–353. [Google Scholar] [CrossRef]
Figure 1. Influence of hybrid inhibitor on the initial and final setting time of concrete specimens.
Figure 1. Influence of hybrid inhibitor on the initial and final setting time of concrete specimens.
Buildings 15 01114 g001
Figure 2. Influence of hybrid inhibitor on the air content and slump properties of the concrete specimens.
Figure 2. Influence of hybrid inhibitor on the air content and slump properties of the concrete specimens.
Buildings 15 01114 g002
Figure 3. Influence of hybrid inhibitor on the (a) cumulative and (b) differential intrusion of pore size diameter of the concrete specimens.
Figure 3. Influence of hybrid inhibitor on the (a) cumulative and (b) differential intrusion of pore size diameter of the concrete specimens.
Buildings 15 01114 g003
Figure 4. Influence of hybrid inhibitor on the porosity fraction of the concrete specimens.
Figure 4. Influence of hybrid inhibitor on the porosity fraction of the concrete specimens.
Buildings 15 01114 g004
Figure 5. Influence of hybrid inhibitor on the compressive strength of concrete specimens after 28 days of curing.
Figure 5. Influence of hybrid inhibitor on the compressive strength of concrete specimens after 28 days of curing.
Buildings 15 01114 g005
Figure 6. XRD of the hydration products of the concrete specimens.
Figure 6. XRD of the hydration products of the concrete specimens.
Buildings 15 01114 g006
Figure 7. Morphology of (a) HI-0 and (b) HI-4 concrete specimens after 28 days of water curing.
Figure 7. Morphology of (a) HI-0 and (b) HI-4 concrete specimens after 28 days of water curing.
Buildings 15 01114 g007
Figure 8. Influence of hybrid inhibitor on the non-steady state migration chloride diffusion coefficient (Dnssm) of concrete specimens.
Figure 8. Influence of hybrid inhibitor on the non-steady state migration chloride diffusion coefficient (Dnssm) of concrete specimens.
Buildings 15 01114 g008
Figure 9. Influence of hybrid inhibitor on the corrosion initiation of RC specimens.
Figure 9. Influence of hybrid inhibitor on the corrosion initiation of RC specimens.
Buildings 15 01114 g009
Figure 10. EIS (a) Nyquist and (b) Bode plots of RC specimens at cycle 0 of wet–dry in 10 wt. % NaCl solution.
Figure 10. EIS (a) Nyquist and (b) Bode plots of RC specimens at cycle 0 of wet–dry in 10 wt. % NaCl solution.
Buildings 15 01114 g010
Figure 11. EIS (a) Nyquist and (b) Bode plots of RC specimens after 7 cycles of wet–dry in 10 wt. % NaCl solution.
Figure 11. EIS (a) Nyquist and (b) Bode plots of RC specimens after 7 cycles of wet–dry in 10 wt. % NaCl solution.
Buildings 15 01114 g011
Figure 12. EIS (a) Nyquist and (b) Bode plots of RC specimens after 15 cycles of wet–dry in 10 wt. % NaCl solution.
Figure 12. EIS (a) Nyquist and (b) Bode plots of RC specimens after 15 cycles of wet–dry in 10 wt. % NaCl solution.
Buildings 15 01114 g012
Figure 13. SEM images of oxide film formed onto the steel rebar surface of (a,b) HI-0 and (c,d) HI-4 specimens.
Figure 13. SEM images of oxide film formed onto the steel rebar surface of (a,b) HI-0 and (c,d) HI-4 specimens.
Buildings 15 01114 g013aBuildings 15 01114 g013b
Figure 14. Chloride threshold concentration of RC specimens after corrosion initiation time by LPR study.
Figure 14. Chloride threshold concentration of RC specimens after corrosion initiation time by LPR study.
Buildings 15 01114 g014
Figure 15. Service life prediction of RC specimens based on deterministic approach.
Figure 15. Service life prediction of RC specimens based on deterministic approach.
Buildings 15 01114 g015
Figure 16. Service life prediction of RC specimens based on probabilistic approach for corrosion initiation.
Figure 16. Service life prediction of RC specimens based on probabilistic approach for corrosion initiation.
Buildings 15 01114 g016
Figure 17. Service life prediction of RC specimens based on probabilistic approach about cumulative initiation period probability.
Figure 17. Service life prediction of RC specimens based on probabilistic approach about cumulative initiation period probability.
Buildings 15 01114 g017
Table 1. Studied steel rebar composition.
Table 1. Studied steel rebar composition.
Elements (wt. %)
MnCSiCrNiCuPMoSSnFe
0.90.2350.250.0370.0280.0180.0190.0090.0060.00298.496
Table 2. Chemical components of OPC type I (wt. %).
Table 2. Chemical components of OPC type I (wt. %).
CaOAl2O3SiO2Fe2O3MgOSO3LOI
68.923.0025.811.300.840.020.11
Table 3. Density of materials.
Table 3. Density of materials.
Material TypeDensity (g/cm3)
Cement3.15
Sand2.66
Coarse aggregate2.78
Table 4. Different amounts of hybrid corrosion inhibitor in the concrete mix.
Table 4. Different amounts of hybrid corrosion inhibitor in the concrete mix.
SpecimenW/COPC (kg/m3)Sand (kg/m3)Gravel (kg/m3)Water (kg/m3)Hybrid Inhibitor (LA:TSP = 2:0.25)LA (g)TSP (g)
HI-00.5400778956200---
HI-10.125 wt. % OPC0.4450.055
HI-20.25 wt. % OPC0.890.11
HI-30.5 wt. % OPC1.780.22
HI-41 wt. % OPC3.560.44
Table 5. Volume fraction (Vf) of the phases formed after 28 days of hydration.
Table 5. Volume fraction (Vf) of the phases formed after 28 days of hydration.
SpecimenVf (%)
PortlanditeQuartz LowSilicon OxideCalcium Silicate Hydrate (C-S-H)
HI-07.1024.1927.5341.18
HI-415.3050.7218.7815.20
Table 6. EDS of the concrete specimens.
Table 6. EDS of the concrete specimens.
SpecimenElements (wt. %)
OAlSiCaCNP
HI-051.888.8421.7217.56---
HI-448.962.997.3125.8411.641.991.27
Table 7. EDS analysis of steel rebar surface after corrosion initiation state.
Table 7. EDS analysis of steel rebar surface after corrosion initiation state.
Specimen IDElements (wt. %)
OCaCPNSiAlClNaFe
HI-026.073.97---0.120.100.240.2769.23
HI-433.437.894.711.271.452.391.070.321.6845.79
Table 8. Input parameters for service life prediction at W/C = 0.5 by Life 365 software.
Table 8. Input parameters for service life prediction at W/C = 0.5 by Life 365 software.
Prediction ApproachSpecimen IDDnssm (×10−12 m2/s)Ccrit (wt. % Concrete)xcover (cm)Cs, max (wt. % Concrete)m Index
DeterministicLife 365defaultdefault50.60.2
HI-014.340.055
HI-114.830.13
HI-214.420.29
HI-314.090.50
HI-414.820.54
Probabilistic (based on normal distribution)Life 365defaultdefaultN (5; 0.23)N (0.6; 0.1)N (0.2; 0.2)
HI-0N (14.34; 0.2)N (0.055; 0.2)
HI-1N (14.83; 0.2)N (0.13; 0.2)
HI-2N (14.42; 0.2)N (0.29; 0.2)
HI-3N (14.09; 0.2)N (0.50; 0.2)
HI-4N (14.82; 0.2)N (0.54; 0.2)
Disclaimer/Publisher’s Note: The statements, opinions and data contained in all publications are solely those of the individual author(s) and contributor(s) and not of MDPI and/or the editor(s). MDPI and/or the editor(s) disclaim responsibility for any injury to people or property resulting from any ideas, methods, instructions or products referred to in the content.

Share and Cite

MDPI and ACS Style

Tran, D.T.; Lee, H.-S.; Singh, J.K.; Yang, H.-M.; Jeong, M.-G.; Yan, S.; Ibrahim, I.S.; Ariffin, M.A.B.M.; Le, A.-T.; Singh, A.K. Effects of Hybrid Corrosion Inhibitor on Mechanical Characteristics, Corrosion Behavior, and Predictive Estimation of Lifespan of Reinforced Concrete Structures. Buildings 2025, 15, 1114. https://doi.org/10.3390/buildings15071114

AMA Style

Tran DT, Lee H-S, Singh JK, Yang H-M, Jeong M-G, Yan S, Ibrahim IS, Ariffin MABM, Le A-T, Singh AK. Effects of Hybrid Corrosion Inhibitor on Mechanical Characteristics, Corrosion Behavior, and Predictive Estimation of Lifespan of Reinforced Concrete Structures. Buildings. 2025; 15(7):1114. https://doi.org/10.3390/buildings15071114

Chicago/Turabian Style

Tran, Duc Thanh, Han-Seung Lee, Jitendra Kumar Singh, Hyun-Min Yang, Min-Gu Jeong, Sirui Yan, Izni Syahrizal Ibrahim, Mohd Azreen Bin Mohd Ariffin, Anh-Tuan Le, and Anjani Kumar Singh. 2025. "Effects of Hybrid Corrosion Inhibitor on Mechanical Characteristics, Corrosion Behavior, and Predictive Estimation of Lifespan of Reinforced Concrete Structures" Buildings 15, no. 7: 1114. https://doi.org/10.3390/buildings15071114

APA Style

Tran, D. T., Lee, H.-S., Singh, J. K., Yang, H.-M., Jeong, M.-G., Yan, S., Ibrahim, I. S., Ariffin, M. A. B. M., Le, A.-T., & Singh, A. K. (2025). Effects of Hybrid Corrosion Inhibitor on Mechanical Characteristics, Corrosion Behavior, and Predictive Estimation of Lifespan of Reinforced Concrete Structures. Buildings, 15(7), 1114. https://doi.org/10.3390/buildings15071114

Note that from the first issue of 2016, this journal uses article numbers instead of page numbers. See further details here.

Article Metrics

Back to TopTop