Vehicle–Bridge Coupling of Road–Rail Dual-Use Network Arch Bridge Based on a Noniterative Approach: Parametric Analysis and Case Study
Abstract
1. Introduction
- A detailed case study of the Qilu Yellow River Bridge, one of the world’s longest network arch bridges, providing valuable insights into the dynamic behavior of such structures.
- A comprehensive investigation of how different vehicle types (including heavy vehicles and light rail) and lane positions influence the dynamic response of critical bridge components, especially hangers.
- An evaluation of the impact of road surface roughness on the axial stresses and bending moments in the hangers under real traffic conditions.
- A deeper understanding of the combined dynamic effects of road traffic and light rail transit on the structural performance of the bridge.
2. Noniterative Method for Vehicle–Bridge Coupling
3. Application to a Road–Rail Dual-Use Network Arch Bridge
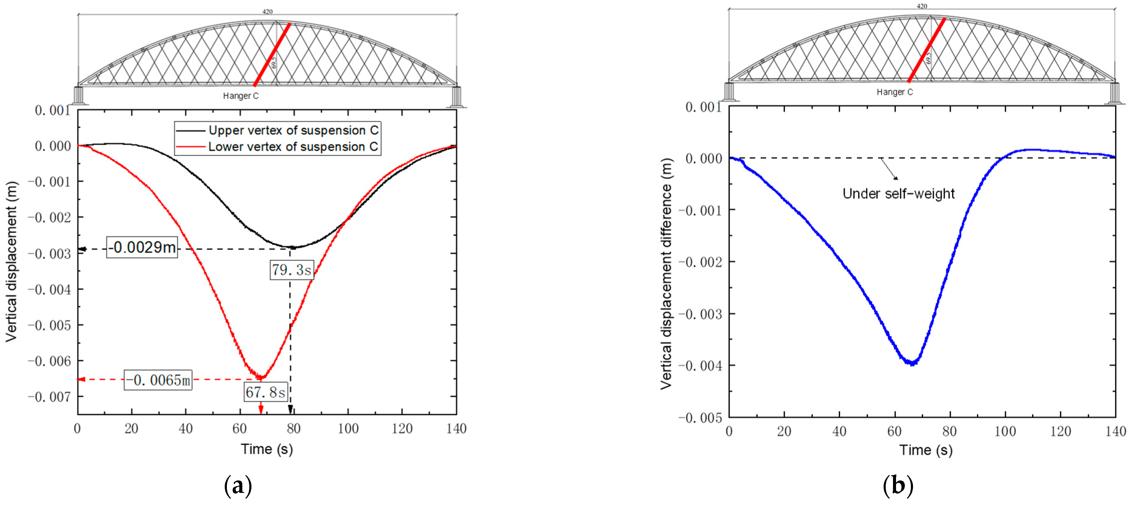
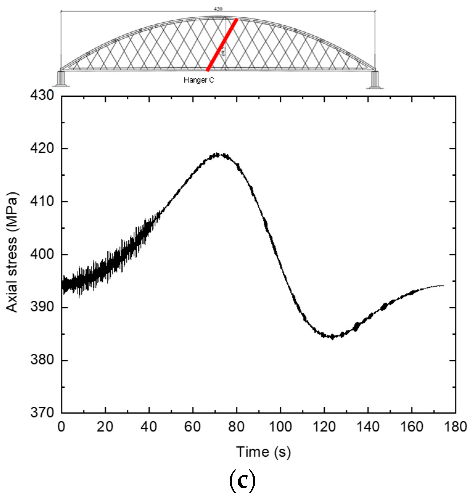
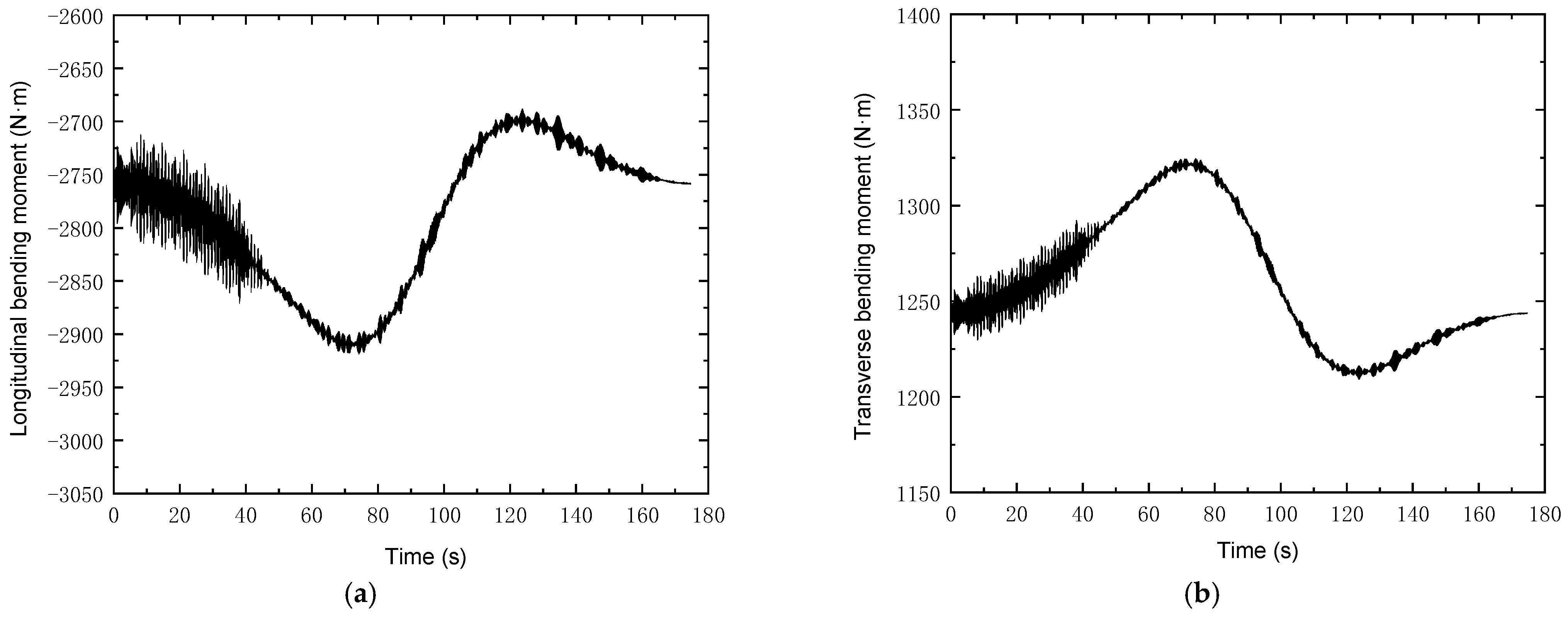
4. Parametric Analysis of Hanger Responses for the Applied Bridge
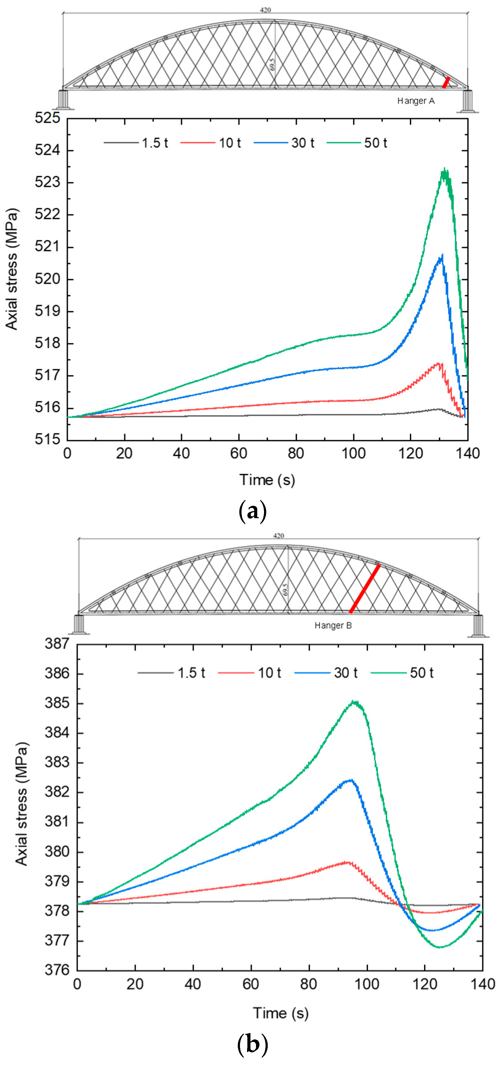
4.1. Effect of Vehicle Types
4.1.1. Motor Vehicles
4.1.2. Light Rail Vehicles
4.2. Effect of Motor Vehicles Lanes
4.3. Effect of Light Rail Lanes
- (a)
- Axial stress: The axial stress variations are more significant when the light rail is in Lane 1, showing higher peaks and more pronounced fluctuations compared to those in Lane 2. This indicates that the proximity of the light rail lane to the hanger significantly influences the axial stress experienced by the hanger.
- (b)
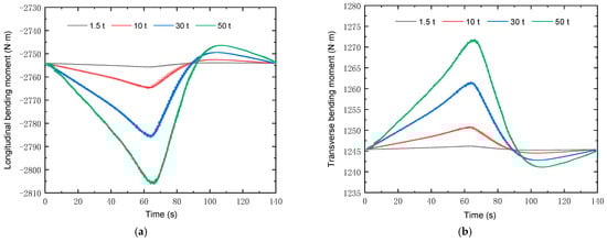
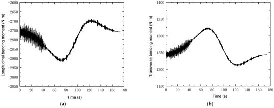
- Longitudinal bending moment: The longitudinal bending moments also exhibit higher peaks when the light rail is in Lane 1. The bending moment decreases gradually as the light rail moves across the bridge, with the largest variations occurring at the entry point of the light rail.
- (c)
- Transverse bending moment: Similarly to the longitudinal bending moment, the transverse bending moments are higher when the light rail is closer to the hanger (Lane 1). This further emphasizes the critical impact of lane positioning on the stress distribution within the hangers.
4.4. Effect of Road Surface Roughness
5. Conclusions
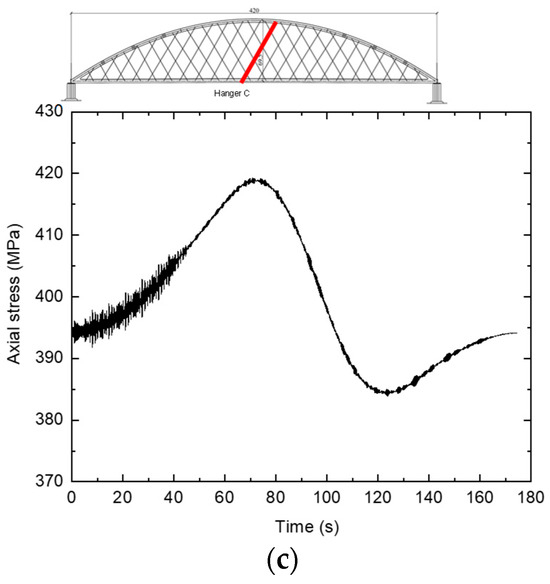
- Heavy vehicle loads, especially from 50 t trailers, significantly increase hanger axial stress. Hanger C, in particular, experiences the highest stress increment, with a peak increase of 9.8 MPa. This demonstrates the substantial impact of heavy vehicles on hanger stress. However, light rail vehicles induce even greater stress fluctuations. For instance, hanger A exhibits a maximum stress increase of 12.9 MPa, while hangers B and C show fluctuations of 25.2 MPa and 35.4 MPa, respectively. This underscores the dynamic loading effects of light rail traffic and its potential to affect the structural integrity of the hangers more severely than highway vehicles.
- The influence of vehicle lanes on hanger responses is notable, particularly for outermost lanes. Vehicles on Lane 1 induce the largest stress variations, suggesting that lane positioning should be considered in bridge design to mitigate stress concentrations. Additionally, the placement of light rail tracks closer to the hangers, as seen in Lane 1, intensifies the stress variations in hanger C. This highlights the importance of optimizing the positioning of light rail lanes to improve load distribution and reduce localized stress concentrations.
- Road surface roughness amplifies dynamic loading effects. Poor road conditions, particularly grade E surfaces, exacerbate stress and bending moment fluctuations, underlining the need to account for road surface quality in the design and maintenance of the bridge.
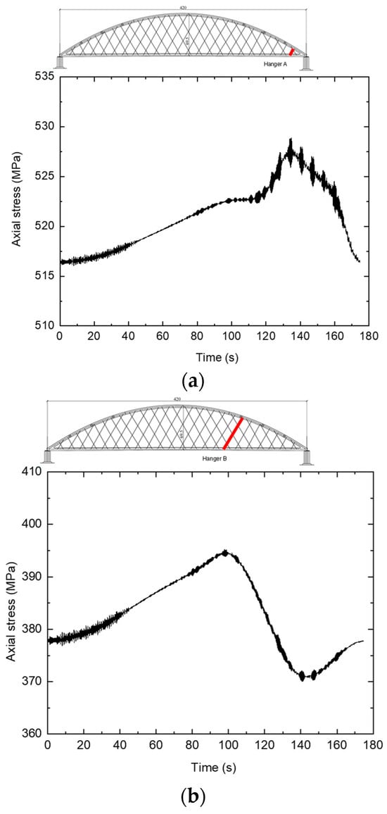
- Hanger C, located at midspan, exhibits the most significant stress fluctuations across all loading conditions. This indicates that midspan hangers are critical to the overall structural performance, with both axial stress and bending moments peaking as vehicles pass.
Author Contributions
Funding
Data Availability Statement
Conflicts of Interest
References
- Zou, Y.; Yue, P.; Shi, K.; Xue, F.; He, X.; Liu, Q. Effects of High-Speed Trains on Trucks Running on a Road–Rail Dual-Use Bridge under Crosswind. Int. J. Struct. Stab. Dyn. 2022, 22, 2250122. [Google Scholar] [CrossRef]
- Chen, D.H.; Li, Z.; Chen, H.; Guo, W.H. Vehicle-bridge coupling vibration reduction analysis for long span highway and railway bi-purpose cable-stayed bridge. Appl. Mech. Mater. 2013, 361, 1223–1227. [Google Scholar] [CrossRef]
- Li, H.; Wang, T.; Wu, G. Dynamic Response Prediction of Vehicle-Bridge Interaction System Using Feedforward Neural Network and Deep Long Short-Term Memory Network, Structures; Elsevier: Amsterdam, The Netherlands, 2021; pp. 2415–2431. [Google Scholar]
- Aloisio, A.; Contento, A.; Alaggio, R.; Quaranta, G. Physics-based models, surrogate models and experimental assessment of the vehicle–bridge interaction in braking conditions. Mech. Syst. Signal Process. 2023, 194, 110276. [Google Scholar] [CrossRef]
- Aloisio, A.; Alaggio, R. Probabilistic Comparative Analysis of Vehicle–Bridge Interaction Models for Predicting Bridge Response under Moving Vehicles. J. Eng. Mech. 2024, 150, 04023121. [Google Scholar] [CrossRef]
- Zhang, N.; Zhou, Z.; Wu, Z. Safety evaluation of a vehicle–bridge interaction system using the pseudo-excitation method. Railw. Eng. Sci. 2022, 30, 41–56. [Google Scholar] [CrossRef]
- Devendiran, D.K.; Banerjee, S. Influence of Combined Corrosion–Fatigue Deterioration on Life-Cycle Resilience of RC Bridges. J. Bridge Eng. 2023, 28, 04023014. [Google Scholar] [CrossRef]
- Xu, S.; Zhou, S.; Zeng, Z.; Ma, R. The vehicle-bridge interaction influence on suspender of arch bridge under various driving parameters. In Proceedings of the 2022 International Conference on Intelligent Transportation, Big Data & Smart City (ICITBS), Hengyang, China, 26–27 March 2022; IEEE: Piscataway, NJ, USA, 2022; pp. 1457–1461. [Google Scholar]
- Li, J.; Feng, D. Fatigue life evaluation of bridge stay cables subject to monitoring traffic and considering road roughness. Eng. Struct. 2023, 293, 116572. [Google Scholar] [CrossRef]
- Yang, Y.; Yau, J. Vehicle-bridge interaction element for dynamic analysis. J. Struct. Eng. 1997, 123, 1512–1518. [Google Scholar] [CrossRef]
- Inglis, C.E. A Mathematical Treatise on Vibrations in Railway Bridges; Cambridge University Press: Cambridge, UK, 2015. [Google Scholar]
- Yau, J.D.; Frýba, L. A Quasi-Vehicle/Bridge Interaction Model for High Speed Railways. J. Mech. 2015, 31, 217–225. [Google Scholar] [CrossRef]
- Dimitrakopoulos, E.G.; Zeng, Q. A three-dimensional dynamic analysis scheme for the interaction between trains and curved railway bridges. Comput. Struct. 2015, 149, 43–60. [Google Scholar] [CrossRef]
- Frýba, L. Vibration of Solids and Structures Under Moving Loads; Springer Science & Business Media: Berlin/Heidelberg, Germany, 2013. [Google Scholar]
- Frýba, L. Dynamics of Railway Bridges; Thomas Telford Publishing: London, UK, 1996. [Google Scholar]
- Wang, T.; Garg, V.K.; Chu, K. Railway bridge/vehicle interaction studies with new vehicle model. J. Struct. Eng. 1991, 117, 2099–2116. [Google Scholar] [CrossRef]
- Wang, T.L. Impact in a railway truss bridge. Comput. Struct. 1993, 49, 1045–1054. [Google Scholar] [CrossRef]
- Diana, G.; Cheli, F. Dynamic interaction of railway systems with large bridges. Veh. Syst. Dyn. 1989, 18, 71–106. [Google Scholar] [CrossRef]
- Azimi, H.; Galal, K.; Pekau, O.A. A modified numerical VBI element for vehicles with constant velocity including road irregularities. Eng. Struct. 2011, 33, 2212–2220. [Google Scholar] [CrossRef]
- Ju, S.H.; Lin, H.T.; Hsueh, C.C.; Wang, S.L. A simple finite element model for vibration analyses induced by moving vehicles. Int. J. Numer. Methods Eng. 2006, 68, 1232–1256. [Google Scholar] [CrossRef]
- Brady, S.P.; O’Brien, E.J.; Žnidarič, A. Effect of vehicle velocity on the dynamic amplification of a vehicle crossing a simply supported bridge. J. Bridge Eng. 2006, 11, 241–249. [Google Scholar] [CrossRef]
- Kim, C.W.; Kawatani, M.; Kim, K.B. Three-dimensional dynamic analysis for bridge–vehicle interaction with roadway roughness. Comput. Struct. 2005, 83, 1627–1645. [Google Scholar] [CrossRef]
- Carbonari, S.; Nicoletti, V.; Martini, R.; Gara, F. Dynamics of bridges during proof load tests and determination of mass-normalized mode shapes from OMA. Eng. Struct. 2024, 310, 118111. [Google Scholar] [CrossRef]
- Sheibani, M.; Ghorbani-Tanha, A.K. Obtaining Mass Normalized Mode Shapes of Motorway Bridges Based on the Effect of Traffic Movement, Structures; Elsevier: Amsterdam, The Netherlands, 2021; pp. 2253–2263. [Google Scholar]
- Guo, S.; Jiang, Y.; Zhang, W.; Zeng, Y. Study on Dynamic Characteristics of Long-Span Highway-Rail Double-Tower Cable-Stayed Bridge. Buildings 2024, 14, 1733. [Google Scholar] [CrossRef]
- Zhao, R.; Zheng, K.; Wei, X.; Jia, H.; Liao, H.; Li, X.; Wei, K.; Zhan, Y.; Zhang, Q.; Xiao, L. State-of-the-art and annual progress of bridge engineering in 2020. Adv. Bridge Eng. 2021, 2, 29. [Google Scholar] [CrossRef]
- Ge, B.; Ma, R.; Zhu, Q.; Chen, A.; Chang, H. Fatigue life prediction of corroded hangers with parallel steel wire in a network arch bridge under vehicle-bridge interaction based on a novel noniterative simplified method. Int. J. Fatigue 2024, 187, 108457. [Google Scholar] [CrossRef]
- Abuodeh, O.; Locke, W.; Redmond, L.; Sreenivasulu, R.V.; Schmid, M. Examining Methods for Modeling Road Surface Roughness Effects in Vehicle–Bridge Interaction Models via Physical Testing, Society for Experimental Mechanics Annual Conference and Exposition; Springer: Berlin/Heidelberg, Germany, 2023; pp. 33–47. [Google Scholar]
- Camara, A.; Kavrakov, I.; Nguyen, K.; Morgenthal, G. Complete framework of wind-vehicle-bridge interaction with random road surfaces. J. Sound Vib. 2019, 458, 197–217. [Google Scholar] [CrossRef]
- Xu, Y.; He, J. Smart Civil Structures; CRC Press: Boca Raton, FL, USA, 2017. [Google Scholar]
- Esen, A.F.; Laghrouche, O.; Woodward, P.K.; Medina-Pineda, D.; Corbisez, Q.; Shih, J.Y.; Connolly, D.P. Numerical analysis of high-speed railway slab tracks using calibrated and validated 3D time-domain modelling. Railw. Eng. Sci. 2024, 32, 36–58. [Google Scholar] [CrossRef]
- Kwasniewski, L.; Li, H.; Wekezer, J.; Malachowski, J. Finite element analysis of vehicle–bridge interaction. Finite Elem. Anal. Des. 2006, 42, 950–959. [Google Scholar] [CrossRef]
- Lu, X.; Kim, C.; Chang, K. Finite element analysis framework for dynamic vehicle-bridge interaction system based on ABAQUS. Int. J. Struct. Stab. Dyn. 2020, 20, 2050034. [Google Scholar] [CrossRef]
- Yang, Y.B.; Lin, C.W. Vehicle–bridge interaction dynamics and potential applications. J. Sound Vib. 2005, 284, 205–226. [Google Scholar] [CrossRef]
- Li, Y.; Xu, X.; Zhou, Y.; Cai, C.S.; Qin, J. An interactive method for the analysis of the simulation of vehicle–bridge coupling vibration using ANSYS and SIMPACK. Proc. Inst. Mech. Eng. Part F J. Rail Rapid Transit 2018, 232, 663–679. [Google Scholar] [CrossRef]
- Zhou, J.; Huang, C.; Deng, J.; Zhang, J.; Zhang, L. A co-simulation approach for straddle monorail vehicle–bridge interaction subjected to nonlinear excitation. Adv. Eng. Softw. 2023, 180, 103458. [Google Scholar] [CrossRef]
- Cui, C.; Chen, A.; Ma, R. An improved continuum damage mechanics model for evaluating corrosion–fatigue life of high-strength steel wires in the real service environment. Int. J. Fatigue 2020, 135, 105540. [Google Scholar] [CrossRef]
- Stoura, C.D.; Paraskevopoulos, E.; Dimitrakopoulos, E.G.; Natsiavas, S. A Dynamic Partitioning Method to solve the vehicle-bridge interaction problem. Comput. Struct. 2021, 251, 106547. [Google Scholar] [CrossRef]
- González, A.; Feng, K.; Casero, M. Detection, localisation and quantification of stiffness loss in a bridge using indirect drive-by measurements. Struct. Infrastruct. Eng. 2023, 1–19. [Google Scholar] [CrossRef]
- Chowdhury, I.; Dasgupta, S.P. Computation of Rayleigh damping coefficients for large systems. Electron. J. Geotech. Eng. 2003, 8, 1–11. [Google Scholar]
- Cui, C.; Chen, A.; Ma, R.; Wang, B.; Xu, S. Fatigue life estimation for suspenders of a three-pylon suspension bridge based on vehicle–bridge-interaction analysis. Materials 2019, 12, 2617. [Google Scholar] [CrossRef] [PubMed]
















| Part | Main Beam | Arch | Hangers |
|---|---|---|---|
| Steel type | Q345qE | Q420qE | Steel strand |
| Elastic modulus (Mpa) | 206,000 | 20,6000 | 200,000 |
| Shear modulus (Mpa) | 79,000 | 79,000 | -- |
| Poisson’s ratio | 0.31 | 0.31 | -- |
| Design value of tensile/compressive/bending strength (Mpa) | 275 | 335 | 1005 |
| Standard value of tensile strength (Mpa) | -- | -- | 1860 |
| Design value of shear strength (Mpa) | 160 | 160 | -- |
| Coefficient of thermal expansion (°C) | 0.000012 | 0.000012 | 0.000012 |
| Parameter | Value |
|---|---|
| Car body mass (ton) | 39.5 |
| Bogie mass (ton) | 2.2 |
| Wheelset mass (ton) | 1.9 |
| Primary Suspension Vertical Stiffness (kN/m) | 1746 |
| Secondary Suspension Vertical Stiffness (kN/m) | 820 |
| Primary Suspension Vertical Damping (kN·s/m) | 60 |
| Secondary Suspension Vertical Damping (kN·s/m) | 217.4 |
| Wheel Radius (m) | 0.42 |
Disclaimer/Publisher’s Note: The statements, opinions and data contained in all publications are solely those of the individual author(s) and contributor(s) and not of MDPI and/or the editor(s). MDPI and/or the editor(s) disclaim responsibility for any injury to people or property resulting from any ideas, methods, instructions or products referred to in the content. |
© 2025 by the authors. Licensee MDPI, Basel, Switzerland. This article is an open access article distributed under the terms and conditions of the Creative Commons Attribution (CC BY) license (https://creativecommons.org/licenses/by/4.0/).
Share and Cite
Chang, H.; Ma, R.; Ge, B.; Zhu, Q. Vehicle–Bridge Coupling of Road–Rail Dual-Use Network Arch Bridge Based on a Noniterative Approach: Parametric Analysis and Case Study. Buildings 2025, 15, 801. https://doi.org/10.3390/buildings15050801
Chang H, Ma R, Ge B, Zhu Q. Vehicle–Bridge Coupling of Road–Rail Dual-Use Network Arch Bridge Based on a Noniterative Approach: Parametric Analysis and Case Study. Buildings. 2025; 15(5):801. https://doi.org/10.3390/buildings15050801
Chicago/Turabian StyleChang, Haocheng, Rujin Ma, Baixue Ge, and Qiuying Zhu. 2025. "Vehicle–Bridge Coupling of Road–Rail Dual-Use Network Arch Bridge Based on a Noniterative Approach: Parametric Analysis and Case Study" Buildings 15, no. 5: 801. https://doi.org/10.3390/buildings15050801
APA StyleChang, H., Ma, R., Ge, B., & Zhu, Q. (2025). Vehicle–Bridge Coupling of Road–Rail Dual-Use Network Arch Bridge Based on a Noniterative Approach: Parametric Analysis and Case Study. Buildings, 15(5), 801. https://doi.org/10.3390/buildings15050801

