A Review of the Thermal and Mechanical Characteristics of Alkali-Activated Composites at Elevated Temperatures
Abstract
1. Introduction
2. Thermal Performance
2.1. Thermal Expansion
2.2. Thermal Stability
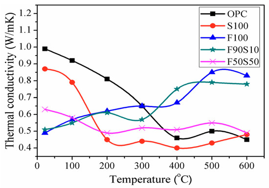
2.3. Thermal Conductivity
3. Mechanical Performance
| Matrix Type | Precursor | Heating Rate | Holding Time (h) | Cooling Method | T (°C) | fcu,T/fcu | ffs,T/ffs | Refs. |
|---|---|---|---|---|---|---|---|---|
| Paste | Slag | 5 °C/min | 1 | NC | 800 | 36.8% | 42.0% | Rovnaník et al. [69] |
| Mortar | Slag | 5 °C/min | 0 | NC | 800 | 44.7% | 42.8% | Kürklü et al. [70] |
| Mortar | Slag | 15 °C/min | 2 | NC | 800 | 26.6% | 20.7% | Türker et al. [71] |
| Paste | MK | 10 °C/min | 4 | FC + AC | 800 | 58.7% | - | Burciaga-Díaz et al. [55] |
| Mortar | 25%FA + 75%Slag | 6 °C/min | 3 | NC | 800 | - | 50.2% | Çelikten et al. [72] |
| Paste | FA | 5 °C/min | 1 | FC | 800 | 51.2% | - | Payakaniti et al. [73] |
| Mortar | Slag | 8 °C/min | 1 | AC | 800 | 19.3% | 30.6% | Akçaözoglu et al. [52] |
| Mortar | 80%Slag + 20%MK | 8 °C/min | 1 | AC | 800 | 65.2% | 98.5% | Akçaözoglu et al. [52] |
| Mortar | 80%Slag + 20%MK | 8 °C/min | 1 | WC | 800 | 18.1% | 27.5% | Akçaözoglu et al. [52] |
| Mortar | 70%FA + 30%Slag | 1 °C/min | 2 | 5 °C/min | 800 | 29.6% | 26.0% | Hager et al. [59] |
| Mortar | 75%Slag + 25%FA | 5 °C/min | 2 | NC | 800 | 39.4% | - | Kuri et al. [74] |
| Mortar | FA | 5 °C/min | 2 | NC | 800 | 43.3% | - | Kuri et al. [74] |
| Paste | MK | 5 °C/min | 1 | 5 °C/min | 750 | 19.9% | - | Li et al. [48] |
| Mortar | Slag | 5 °C/min | 2 | AC | 800 | 54.9% | 21.5% | Huang et al. [75] |
| Mortar | 60% Slag + 40% FA | 5 °C/min | 2 | NC | 800 | 8.0% | 2.7% | Kuang et al. [76] |
| Paste | 55%Slag + 45% FA | 20 °C/min | 1 | NC | 750 | 44.7% | - | Saludung et al. [77] |
| Mortar | Slag | 5 °C/min | 2 | FC | 800 | 35.8% | - | Sarıdemir et al. [63] |
| Paste | Slag | 5 °C/min | 2 | NC | 800 | 87.4% | 4.0% | Zhang et al. [56] |
| Paste | 80%Slag + 20%CP | 5 °C/min | 2 | FC | 800 | 20.0% | - | Zhang et al. [20] |
| Mortar | FA | 8 °C/min | 0 | NC | 800 | 26.7% | 17.2% | Kaya et al. [78] |
| Mortar | 70%MK + 30%FA | 5 °C/min | 2 | NC | 800 | 6.1% | 6.8% | Zhang P et al. [79] |
| Concrete | FA | 5 °C/min | 2 | NC | 800 | 49.4% | - | Zhang et al. [80] |
| Concrete | Slag | - | 1 | AC | 750 | 38.0% | - | Derinpinar et al. [81] |
| Concrete | FA | 7 °C/min | 1 | NC | 800 | 55.6% | 49.2% | Turkey et al. [82] |
| Concrete | 75%Slag + 25%FA | 5 °C/min | 1.5 | 5 °C/min | 800 | 28.5% | - | Tahwia et al. [83] |
| Concrete | 64%Slag + 20%SF + 16%FA | 5 °C/min | 1 | NC | 800 | 14.7% | 7.8% | Wu et al. [84] |

3.1. Aluminosilicate Precursors and Activators
3.2. Aggregates
3.3. Heating and Curing Environments
3.4. Admixtures
3.5. Fibers
4. Deterioration Mechanisms
4.1. Phase Transformation
4.2. Thermal Incompatibility
4.3. Microstructure Evolution
5. Conclusions and Perspectives
Funding
Conflicts of Interest
References
- Wang, A.; Zheng, Y.; Zhang, Z.; Liu, K.; Li, Y.; Shi, L.; Sun, D. The Durability of Alkali-Activated Materials in Comparison with Ordinary Portland Cements and Concretes: A Review. Engineering 2020, 6, 695–706. [Google Scholar] [CrossRef]
- Rivera, O.G.; Long, W.R.; Weiss, C.A., Jr.; Moser, R.D.; Williams, B.A.; Torres-Cancel, K.; Gore, E.R.; Allison, P.G. Effect of elevated temperature on alkali-activated geopolymeric binders compared to portland cement-based binders. Cem. Concr. Res. 2016, 90, 43–51. [Google Scholar] [CrossRef]
- Dener, M.; Karatas, M.; Mohabbi, M. High temperature resistance of self compacting alkali activated slag/portland cement composite using lightweight aggregate. Constr. Build. Mater. 2021, 290, 123250. [Google Scholar] [CrossRef]
- Shehata, N.; Sayed, E.T.; Abdelkareem, M.A. Recent progress in environmentally friendly geopolymers: A review. Sci. Total Environ. 2021, 762, 143166. [Google Scholar] [CrossRef]
- Zhang, B.; Zhu, H.; Cheng, Y.Z.; Huseien, G.F.; Shah, K.W. Shrinkage mechanisms and shrinkage-mitigating strategies of alkali-activated slag composites: A critical review. Constr. Build. Mater. 2022, 318, 125993. [Google Scholar] [CrossRef]
- Le, V.S.; Szczypinski, M.M.; Hájková, P.; Kovacic, V.; Bakalova, T.; Volesky, L.; Hiep, L.C.; Louda, P. Mechanical properties of geopolymer foam at high temperature. Sci. Eng. Compos. Mater. 2020, 27, 129–138. [Google Scholar] [CrossRef]
- Turner, L.K.; Collins, F.G. Carbon dioxide equivalent (CO2-e) emissions: A comparison between geopolymer and OPC cement concrete. Constr. Build. Mater. 2013, 43, 125–130. [Google Scholar] [CrossRef]
- Chen, K.; Liu, Q.; Chen, B.; Zhang, S.; Ferrara, L.; Li, W. Effect of raw materials on the performance of 3D printing geopolymer: A review. J. Build. Eng. 2024, 84, 108501. [Google Scholar] [CrossRef]
- Huang, L.; Liu, J.-C.; Cai, R.; Ye, H. Mechanical degradation of ultra-high strength alkali-activated concrete subjected to repeated loading and elevated temperatures. Cem. Concr. Compos. 2021, 121, 104083. [Google Scholar] [CrossRef]
- Cheng, H.; Chen, P.; Cao, S.; Li, Y. Stress–strain model of steel fibre-reinforced alkali-activated slag cementitious material after high-temperature exposure. J. Build. Eng. 2023, 79, 107743. [Google Scholar] [CrossRef]
- Zhang, B.; Zhu, H. Compressive stress–strain behavior of slag-based alkali-activated seawater coral aggregate concrete after exposure to seawater environments. Constr. Build. Mater. 2023, 367, 130294. [Google Scholar] [CrossRef]
- Amran, Y.H.M.; Alyousef, R.; Alabduljabbar, H.; El-Zeadani, M. Clean production and properties of geopolymer concrete: A review. J. Clean. Prod. 2020, 251, 119679. [Google Scholar] [CrossRef]
- Yang, G.; Zhao, J.; Wang, Y. Durability properties of sustainable alkali-activated cementitious materials as marine engineering material: A review. Mater. Today Sustain. 2022, 17, 100099. [Google Scholar] [CrossRef]
- Yan, S.; He, P.; Zhang, Y.; Jia, D.; Wang, J.; Duan, X.; Yang, Z.; Zhou, Y. Preparation and in-situ high-temperature mechanical properties of Cf-SiCf reinforced geopolymer composites. Ceram. Int. 2017, 43, 549–555. [Google Scholar] [CrossRef]
- Zhang, B. Durability of low-carbon geopolymer concrete: A critical review. Sustain. Mater. Technol. 2024, 40, e00882. [Google Scholar] [CrossRef]
- Luukkonen, T.; Abdollahnejad, Z.; Yliniemi, J.; Kinnunen, P.; Illikainen, M. One-part alkali-activated materials: A review. Cem. Concr. Res. 2018, 103, 21–34. [Google Scholar] [CrossRef]
- Abd Ellatief, M.; Abadel, A.A.; Federowicz, K.; Abd Elrahman, M. Mechanical properties, high temperature resistance and microstructure of eco-friendly ultra-high performance geopolymer concrete: Role of ceramic waste addition. Constr. Build. Mater. 2023, 401, 132677. [Google Scholar] [CrossRef]
- He, R.; Dai, N.; Wang, Z. Thermal and mechanical properties of geopolymers exposed to high temperature: A literature review. Adv. Civ. Eng. 2020, 2020, 7532703. [Google Scholar] [CrossRef]
- Yan, S.; Zhang, F.; Feng, X.; Kong, J.; Wang, B.; Yang, J. Effect of high temperature on the mechanical properties of hierarchical porous cenosphere/geopolymer composite foams. Int. J. Appl. Ceram. Technol. 2021, 18, 817–829. [Google Scholar] [CrossRef]
- Zhang, G.-Y.; Lee, S.; Han, Y.; Wang, X.-Y. The Effect of Oyster Shell Powder on the High-Temperature-Properties of Slag-Ceramic Powder-Based Geopolymer. Materials 2023, 16, 3706. [Google Scholar] [CrossRef]
- Zhao, S.; Lu, W.; Li, D.; Xia, M. Study on acid resistance and high temperature resistance of composite geopolymer-stabilized lead–zinc tailing. Constr. Build. Mater. 2023, 407, 133554. [Google Scholar] [CrossRef]
- Samal, S. Effect of high temperature on the microstructural evolution of fiber reinforced geopolymer composite. Heliyon 2019, 5, e01779. [Google Scholar] [CrossRef]
- Tu, W.; Zhang, M. Behaviour of alkali-activated concrete at elevated temperatures: A critical review. Cem. Concr. Compos. 2023, 138, 104961. [Google Scholar] [CrossRef]
- Zhang, H.Y.; Kodur, V.; Qi, S.L.; Cao, L.; Wu, B. Development of metakaolin–fly ash based geopolymers for fire resistance applications. Constr. Build. Mater. 2014, 55, 38–45. [Google Scholar] [CrossRef]
- Li, H.; Zhang, Z.; Deng, Y.; Xu, F.; Hu, J.; Zhu, D.; Yu, Q.; Shi, C. Geopolymer composites for marine application: Structural properties and durability. Cem. Concr. Compos. 2024, 152, 105647. [Google Scholar] [CrossRef]
- Provis, J.L. Alkali-activated materials. Cem. Concr. Res. 2018, 114, 40–48. [Google Scholar] [CrossRef]
- Song, T.Y.; Qu, X.Y.; Pan, Z. Research Progress on High Temperature Performance of Geopolymers. Mater. Rep. 2023, 37, 1–9. (In Chinese) [Google Scholar]
- Luo, Y.; Li, S.H.; Klima, K.M.; Brouwers, H.J.H.; Yu, Q. Degradation mechanism of hybrid fly ash/slag based geopolymers exposed to elevated temperatures. Cem. Concr. Res. 2022, 151, 106649. [Google Scholar] [CrossRef]
- Yang, Z.; Zhan, X.; Zhu, H.; Zhang, B.; Lu, F.; Dong, Z. Mesoscopic investigation of the matrix pores and ITZ effects on the mechanical properties of seawater sea-sand coral aggregate concrete. J. Build. Eng. 2024, 90, 109375. [Google Scholar] [CrossRef]
- Zhang, B.; Zhu, H.; Feng, P.; Zhang, P. A review on shrinkage-reducing methods and mechanisms of alkali-activated/geopolymer systems: Effects of chemical additives. J. Build. Eng. 2022, 49, 104056. [Google Scholar] [CrossRef]
- Yoo, D.-Y.; Banthia, N.; You, I.; Lee, S.-J. Recent advances in cementless ultra-high-performance concrete using alkali-activated materials and industrial byproducts: A review. Cem. Concr. Compos. 2024, 148, 105470. [Google Scholar] [CrossRef]
- Chen, W.; Garofalo, A.C.; Geng, H.; Liu, Y.; Wang, D.; Li, Q. Effect of high temperature heating on the microstructure and performance of cesium-based geopolymer reinforced by cordierite. Cem. Concr. Compos. 2022, 129, 104474. [Google Scholar] [CrossRef]
- Scanferla, P.; Finocchiaro, C.; Gharzouni, A.; Barone, G.; Mazzoleni, P.; Rossignol, S. High temperature behavior of sodium and potassium volcanic ashes-based alkali-activated materials (Mt. Etna, Italy). Constr. Build. Mater. 2023, 408, 133702. [Google Scholar] [CrossRef]
- Zhang, Y.; Wen, J.; Yin, X. Evaluation and high temperature strengthening mechanism of alkali activated biological-ash hybrid glass fiber-carbon fiber cement slurry system. Front. Energy Res. 2022, 10, 994220. [Google Scholar] [CrossRef]
- Wang, J.; Li, X.; Hu, Y.; Li, Y.; Hu, P.; Zhao, Y. Physical and high temperature properties of basalt fiber-reinforced geopolymer foam with hollow microspheres. Constr. Build. Mater. 2024, 411, 134698. [Google Scholar] [CrossRef]
- Seyedian Choubi, S.; Meral Akgul, C. High temperature exposure of alkali-activated coal fly ashes. J. Build. Eng. 2022, 59, 105081. [Google Scholar] [CrossRef]
- Yuan, J.; He, P.; Liang, X.; Jia, D.; Jia, L.; Cai, D.; Yang, Z.; Duan, X.; Wang, S.; Zhou, Y. Thermal evolution of lithium ion substituted cesium-based geopolymer under high temperature treatment, Part I: Effects of holding temperature. Ceram. Int. 2018, 44, 10047–10054. [Google Scholar] [CrossRef]
- Naghizadeh, A.; Ekolu, S.O.; Musonda, I. High temperature heat-Treatment (HTHT) for partial mitigation of alkali attack in hardened fly ash geopolymer binders. Case Stud. Constr. Mater. 2020, 12, e00341. [Google Scholar] [CrossRef]
- Kanagaraj, B.; Anand, N.; R, S.R.; Lubloy, E. Behavioural studies on binary blended high strength self compacting geopolymer concrete exposed to standard fire temperature. Ain Shams Eng. J. 2024, 15, 102394. [Google Scholar] [CrossRef]
- Marvila, M.T.; Azevedo, A.R.G.; Delaqua, G.C.G.; Mendes, B.C.; Pedroti, L.G.; Vieira, C.M.F. Performance of geopolymer tiles in high temperature and saturation conditions. Constr. Build. Mater. 2021, 286, 122994. [Google Scholar] [CrossRef]
- Chen, P.; Li, Y.; Yin, L.; Wang, Z. Review on Mechanical Properties of Fiber-Reinforced Geopolymer Concrete After High-Temperature Exposure. Iran. J. Sci. Technol. Trans. Civ. Eng. 2024, 48, 3829–3851. [Google Scholar] [CrossRef]
- Usman Kankia, M.; Baloo, L.; Danlami, N.; Zawawi, N.A.; Bello, A.; Muhammad, S.I. Microstructural Analysis and Compressive Strength of Fly Ash and Petroleum Sludge Ash Geopolymer Mortar under High Temperatures. Sustainability 2023, 15, 9846. [Google Scholar] [CrossRef]
- Natali Murri, A.; Rickard, W.D.A.; Bignozzi, M.C.; van Riessen, A. High temperature behaviour of ambient cured alkali-activated materials based on ladle slag. Cem. Concr. Res. 2013, 43, 51–61. [Google Scholar] [CrossRef]
- Provis, J.L.; Yong, C.Z.; Duxson, P.; van Deventer, J.S.J. Correlating mechanical and thermal properties of sodium silicate-fly ash geopolymers. Colloids Surf. A Physicochem. Eng. Asp. 2009, 336, 57–63. [Google Scholar] [CrossRef]
- Pan, Z.; Tao, Z.; Cao, Y.-F.; George, L.; Wuhrer, R. High-temperature performance of alkali-activated binders of fly ash and calcium aluminate. Ceram. Int. 2023, 49, 14389–14398. [Google Scholar] [CrossRef]
- Shaikh, F.; Haque, S. Effect of nano silica and fine silica sand on compressive strength of sodium and potassium activators synthesised fly ash geopolymer at elevated temperatures. Fire Mater. 2018, 42, 324–335. [Google Scholar] [CrossRef]
- Zheng, Y.; Sun, C.; Qiu, C.; Wu, S.; Rao, F.; Yang, L. Addition of ceramic waste for the preparation of VA-based alkali-activated material with high temperature resistance. J. Build. Eng. 2024, 82, 108385. [Google Scholar] [CrossRef]
- Li, M.; Luo, R.; Qin, L.; Liu, H.; Duan, P.; Jing, W.; Zhang, Z.; Liu, X. High temperature properties of graphene oxide modified metakaolin based geopolymer paste. Cem. Concr. Compos. 2022, 125, 104318. [Google Scholar] [CrossRef]
- Duxson, P.; Lukey, G.C.; van Deventer, J.S.J. Physical evolution of Na-geopolymer derived from metakaolin up to 1000 °C. J. Mater. Sci. 2007, 42, 3044–3054. [Google Scholar] [CrossRef]
- Rahmati, M.; Toufigh, V. Evaluation of geopolymer concrete at high temperatures: An experimental study using machine learning. J. Clean. Prod. 2022, 372, 133608. [Google Scholar] [CrossRef]
- Kong, D.L.Y.; Sanjayan, J.G. Effect of elevated temperatures on geopolymer paste, mortar and concrete. Cem. Concr. Res. 2010, 40, 334–339. [Google Scholar] [CrossRef]
- Akçaözoğlu, S.; Çiflikli, M.; Bozkaya, Ö.; Atiş, C.D.; Ulu, C. Examination of mechanical properties and microstructure of alkali activated slag and slag-metakaolin blends exposed to high temperatures. Struct. Concr. 2021, 23, 1273–1289. [Google Scholar] [CrossRef]
- Hassan, A.; Arif, M.; Shariq, M.; Alomayri, T.; Pereira, S. Fire resistance characteristics of geopolymer concrete for environmental sustainability: A review of thermal, mechanical and microstructure properties. Environ. Dev. Sustain. 2022, 25, 8975–9010. [Google Scholar] [CrossRef]
- Wang, K.-t.; He, Y.; Song, X.-l.; Cui, X.-m. Effects of the metakaolin-based geopolymer on high-temperature performances of geopolymer/PVC composite materials. Appl. Clay Sci. 2015, 114, 586–592. [Google Scholar] [CrossRef]
- Burciaga-Díaz, O.; Escalante-García, J.I. Comparative performance of alkali activated slag/metakaolin cement pastes exposed to high temperatures. Cem. Concr. Compos. 2017, 84, 157–166. [Google Scholar] [CrossRef]
- Zhang, B.; Ma, Y.; Yang, Y.; Zheng, D.; Wang, Y.; Ji, T. Improving the high temperature resistance of alkali-activated slag paste using municipal solid waste incineration bottom ash. J. Build. Eng. 2023, 72, 106664. [Google Scholar] [CrossRef]
- Luo, Y.; Yu, Q. Valorization of mineral wool waste in Class F fly ash geopolymer: Geopolymerization, macro properties, and high temperature behavior. Cem. Concr. Compos. 2024, 145, 105318. [Google Scholar] [CrossRef]
- Ponomar, V.; Adesanya, E.; Ohenoja, K.; Illikainen, M. High-temperature performance of slag-based Fe-rich alkali-activated materials. Cem. Concr. Res. 2022, 161, 106960. [Google Scholar] [CrossRef]
- Hager, I.; Sitarz, M.; Mróz, K. Fly-ash based geopolymer mortar for high-temperature application—Effect of slag addition. J. Clean. Prod. 2021, 316, 128168. [Google Scholar] [CrossRef]
- Yan, S.; Ren, X.; Wang, W.; He, C.; Xing, P. Preparation of eco-friendly porous ceramic with low thermal conductivity by high-temperature treatment of foamed solid waste based geopolymer with cenospheres. Constr. Build. Mater. 2023, 398, 131190. [Google Scholar] [CrossRef]
- Pan, Z.; Tao, Z.; Cao, Y.-F.; Wuhrer, R. Measurement and prediction of thermal properties of alkali-activated fly ash/slag binders at elevated temperatures. Mater. Struct. 2018, 51, 108. [Google Scholar] [CrossRef]
- Van Deventer, J.S.J.; Provis, J.L.; Duxson, P. Technical and commercial progress in the adoption of geopolymer cement. Miner. Eng. 2012, 29, 89–104. [Google Scholar] [CrossRef]
- Sarıdemir, M.; Çelikten, S. Effects of Ms modulus, Na concentration and fly ash content on properties of vapour-cured geopolymer mortars exposed to high temperatures. Constr. Build. Mater. 2023, 363, 129868. [Google Scholar] [CrossRef]
- Celik, A.; Yilmaz, K.; Canpolat, O.; Al-mashhadani, M.M.; Aygörmez, Y.; Uysal, M. High-temperature behavior and mechanical characteristics of boron waste additive metakaolin based geopolymer composites reinforced with synthetic fibers. Constr. Build. Mater. 2018, 187, 1190–1203. [Google Scholar] [CrossRef]
- Miao, X.; Pang, X.; Li, S.; Wei, H.; Yin, J.; Kong, X. Mechanical strength and the degradation mechanism of metakaolin based geopolymer mixed with ordinary Portland cement and cured at high temperature and high relative humidity. Chin. J. Chem. Eng. 2023, 60, 118–130. [Google Scholar] [CrossRef]
- Zheng, W.Z.; Chen, W.H.; Wang, Y. High-temperature resistance performance of alkali-activated slag cementitious materials. J. Huazhong Univ. Sci. Tech. (Nat. Sci. Ed.) 2009, 37, 96–99. (In Chinese) [Google Scholar]
- Dalğıç, A.; Yılmazer Polat, B. The behavior of ceramic fiber geopolymer concrete under the effect of high temperature. Appl. Sci. 2024, 14, 1607. [Google Scholar] [CrossRef]
- Shobeiri, F.Z.; Moosavi, A. Evaluation of properties of chamotte particle-reinforced geopolymer composites in high-temperature applications. J. Aust. Ceram. Soc. 2023, 60, 701–711. [Google Scholar] [CrossRef]
- Rovnaník, P.; Bayer, P.; Rovnaníková, P. Characterization of alkali activated slag paste after exposure to high temperatures. Constr. Build. Mater. 2013, 47, 1479–1487. [Google Scholar] [CrossRef]
- Kürklü, G. The effect of high temperature on the design of blast furnace slag and coarse fly ash-based geopolymer mortar. Compos. Part B Eng. 2016, 92, 9–18. [Google Scholar] [CrossRef]
- Türker, H.T.; Balçikanli, M.; Durmuş, İ.H.; Özbay, E.; Erdemir, M. Microstructural alteration of alkali activated slag mortars depend on exposed high temperature level. Constr. Build. Mater. 2016, 104, 169–180. [Google Scholar] [CrossRef]
- Çelikten, S.; Sarıdemir, M.; Özgür Deneme, İ. Mechanical and microstructural properties of alkali-activated slag and slag + fly ash mortars exposed to high temperature. Constr. Build. Mater. 2019, 217, 50–61. [Google Scholar] [CrossRef]
- Payakaniti, P.; Chuewangkam, N.; Yensano, R.; Pinitsoontorn, S.; Chindaprasirt, P. Changes in compressive strength, microstructure and magnetic properties of a high-calcium fly ash geopolymer subjected to high temperatures. Constr. Build. Mater. 2020, 265, 120650. [Google Scholar] [CrossRef]
- Kuri, J.C.; Majhi, S.; Sarker, P.K.; Mukherjee, A. Microstructural and non-destructive investigation of the effect of high temperature exposure on ground ferronickel slag blended fly ash geopolymer mortars. J. Build. Eng. 2021, 43, 103099. [Google Scholar] [CrossRef]
- Huang, W.; Wang, Y.; Zhang, Y.; Zheng, W. Experimental study of high-temperature resistance of alkali-activated slag crushed aggregate mortar. J. Mater. Res. Technol. 2023, 23, 3961–3973. [Google Scholar] [CrossRef]
- Kuang, F.; Long, Z.; Kuang, D.; Guo, R.; Sun, J. Experimental study on high temperatures performance of rubberized geopolymer mortar. J. Build. Eng. 2023, 76, 107091. [Google Scholar] [CrossRef]
- Saludung, A.; Azeyanagi, T.; Ogawa, Y.; Kawai, K. Mechanical and microstructural evolutions of fly ash/slag-based geopolymer at high temperatures: Effect of curing conditions. Ceram. Int. 2023, 49, 2091–2101. [Google Scholar] [CrossRef]
- Kaya, M. Effect of Steel Fiber Additive on High Temperature Resistance in Geopolymer Mortars. Iran. J. Sci. Technol. Trans. Civ. Eng. 2022, 46, 1949–1967. [Google Scholar] [CrossRef]
- Zhang, P.; Han, X.; Hu, S.; Wang, J.; Wang, T. High-temperature behavior of polyvinyl alcohol fiber-reinforced metakaolin/fly ash-based geopolymer mortar. Compos. Part B Eng. 2022, 244, 110171. [Google Scholar] [CrossRef]
- Zhang, H.; Li, L.; Yuan, C.; Wang, Q.; Sarker, P.K.; Shi, X. Deterioration of ambient-cured and heat-cured fly ash geopolymer concrete by high temperature exposure and prediction of its residual compressive strength. Constr. Build. Mater. 2020, 262, 120924. [Google Scholar] [CrossRef]
- Derinpinar, A.N.; Karakoç, M.B.; Özcan, A. Performance of glass powder substituted slag based geopolymer concretes under high temperature. Constr. Build. Mater. 2022, 331, 127318. [Google Scholar] [CrossRef]
- Turkey, F.A.; Beddu, S.B.; Ahmed, A.N.; Al-Hubboubi, S.K. Effect of high temperatures on the properties of lightweight geopolymer concrete based fly ash and glass powder mixtures. Case Stud. Constr. Mater. 2022, 17, e01489. [Google Scholar] [CrossRef]
- Tahwia, A.M.; Ellatief, M.A.; Bassioni, G.; Heniegal, A.M.; Elrahman, M.A. Influence of high temperature exposure on compressive strength and microstructure of ultra-high performance geopolymer concrete with waste glass and ceramic. J. Mater. Res. Technol. 2023, 23, 5681–5697. [Google Scholar] [CrossRef]
- Wu, B.; Yao, Y. Development of geopolymer-based lightweight high-strength concrete and properties at different temperatures. J. Build. Eng. 2024, 88, 109264. [Google Scholar] [CrossRef]
- Pan, Z.; Tao, Z.; Cao, Y.F.; Wuhrer, R.; Murphy, T. Compressive strength and microstructure of alkali-activated fly ash/slag binders at high temperature. Cem. Concr. Compos. 2018, 86, 9–18. [Google Scholar] [CrossRef]
- Bayer Öztürk, Z.; Atabey, İ.İ. Mechanical and microstructural characteristics of geopolymer mortars at high temperatures produced with ceramic sanitaryware waste. Ceram. Int. 2022, 48, 12932–12944. [Google Scholar] [CrossRef]
- Yan, S.; Ren, X.; He, C.; Wang, W.; Zhang, M.; Xing, P. Microstructure evolution and properties of red mud/slag-based cenosphere/geopolymer foam exposed to high temperatures. Ceram. Int. 2023, 49, 34362–34374. [Google Scholar] [CrossRef]
- Yang, H.; Li, H.; Li, C.; Yang, Q.; Jiang, J. Biaxial compressive failure criteria and constitutive model of high-strength geopolymer concrete after high temperature. Constr. Build. Mater. 2024, 426, 136165. [Google Scholar] [CrossRef]
- Fu, F. Research on Properties of Alkali Slag Concrete Subjected to Elevated Temperatures. Ph.D. Thesis, Chongqing University, Chongqing, China, 2014. (In Chinese). [Google Scholar]
- Sarıdemir, M.; Çelikten, S.; Ayaydın, G. Mechanical and microstructural properties of alkali-activated lightweight mortars exposed to high temperatures. J. Build. Eng. 2021, 42, 103050. [Google Scholar] [CrossRef]
- Phoo-ngernkham, T.; Chindaprasirt, P.; Sata, V.; Hanjitsuwan, S.; Hatanaka, S. The effect of adding nano-SiO2 and nano-Al2O3 on properties of high calcium fly ash geopolymer cured at ambient temperature. Mater. Des. 2014, 55, 58–65. [Google Scholar] [CrossRef]
- Zhang, P.; Han, X.; Guo, J.; Hu, S. High-temperature behavior of geopolymer mortar containing nano-silica. Constr. Build. Mater. 2023, 364, 129983. [Google Scholar] [CrossRef]
- Zhang, H.; Kumar Sarker, P.; Wang, Q.; He, B.; Chandra Kuri, J.; Jiang, Z. Comparison of compressive, flexural, and temperature-induced ductility behaviours of steel-PVA hybrid fibre reinforced OPC and geopolymer concretes after high temperatures exposure. Constr. Build. Mater. 2023, 399, 132560. [Google Scholar] [CrossRef]
- Yan, S.; He, P.; Jia, D.; Wang, J.; Duan, X.; Yang, Z.; Wang, S.; Zhou, Y. Effects of high-temperature heat treatment on the microstructure and mechanical performance of hybrid Cf-SiCf-(Al2O3p) reinforced geopolymer composites. Compos. Part B Eng. 2017, 114, 289–298. [Google Scholar] [CrossRef]
- Jiang, X.; Xiao, R.; Ma, Y.; Zhang, M.; Bai, Y.; Huang, B. Influence of waste glass powder on the physico-mechanical properties and microstructures of fly ash-based geopolymer paste after exposure to high temperatures. Constr. Build. Mater. 2020, 262, 120579. [Google Scholar] [CrossRef]
- Guler, S.; Akbulut, Z.F. The single and hybrid use of steel and basalt fibers on high-temperature resistance of sustainable ultra-high performance geopolymer cement mortars. Struct. Concr. 2023, 24, 2402–2419. [Google Scholar] [CrossRef]
- Luo, Y.; Klima, K.M.; Brouwers, H.J.H.; Yu, Q. Effects of ladle slag on Class F fly ash geopolymer: Reaction mechanism and high temperature behavior. Cem. Concr. Compos. 2022, 129, 104468. [Google Scholar] [CrossRef]
- Pan, Z.; Sanjayan, J.G.; Rangan, B.V. An investigation of the mechanisms for strength gain or loss of geopolymer mortar after exposure to elevated temperature. J. Mater. Sci. 2009, 44, 1873–1880. [Google Scholar] [CrossRef]
- Bakharev, T. Thermal behaviour of geopolymers prepared using class F fly ash and elevated temperature curing. Cem. Concr. Res. 2006, 36, 1134–1147. [Google Scholar] [CrossRef]
- Choi, Y.C.; Park, B. Effects of high-temperature exposure on fractal dimension of fly-ash-based geopolymer composites. J. Mater. Res. Technol. 2020, 9, 7655–7668. [Google Scholar] [CrossRef]
- Thokchom, S.; Mandal, K.K.; Ghosh, S. Effect of Si/Al ratio on performance of fly ash geopolymers at elevated temperature. Arab. J. Sci. Eng. 2012, 37, 977–989. [Google Scholar] [CrossRef]
- Traven, K.; Češnovar, M.; Škapin, S.D.; Ducman, V. High temperature resistant fly-ash and metakaolin-based alkali-activated foams. Ceram. Int. 2021, 47, 25105–25120. [Google Scholar] [CrossRef]
- Rashad, A.M.; Ouda, A.S. An investigation on alkali-activated fly ash pastes modified with quartz powder subjected to elevated temperatures. Constr. Build. Mater. 2016, 122, 417–425. [Google Scholar] [CrossRef]
- Cai, R.; Ye, H. Clinkerless ultra-high strength concrete based on alkali-activated slag at high temperatures. Cem. Concr. Res. 2021, 145, 106465. [Google Scholar] [CrossRef]
- Park, S.M.; Jang, J.G.; Lee, N.K.; Lee, H.K. Physicochemical properties of binder gel in alkali-activated fly ash/slag exposed to high temperatures. Cem. Concr. Res. 2016, 89, 72–79. [Google Scholar] [CrossRef]
- Lee, N.K.; Koh, K.T.; An, G.H.; Ryu, G.S. Influence of binder composition on the gel structure in alkali activated fly ash/slag pastes exposed to elevated temperatures. Ceram. Int. 2017, 43, 2471–2480. [Google Scholar] [CrossRef]
- Van Riessen, A.; Rickard, W.; Sanjayan, J. 15—Thermal properties of geopolymers. In Geopolymers; Provis, J.L., van Deventer, J.S.J., Eds.; Woodhead Publishing: Cambridge, UK, 2009; pp. 315–342. [Google Scholar]
- Rickard, W.D.A.; Vickers, L.; van Riessen, A. Performance of fibre reinforced, low density metakaolin geopolymers under simulated fire conditions. Appl. Clay Sci. 2013, 73, 71–77. [Google Scholar] [CrossRef]
- Bezerra, B.P.; Soares, G.A.; Morelli, M.R.; Luz, A.P. Recycling of roof tile waste in the manufacturing of high-temperature metakaolin-based geopolymer composites. Cerâmica 2023, 69, 242–247. [Google Scholar] [CrossRef]
- Lahoti, M.; Wong, K.K.; Yang, E.-H.; Tan, K.H. Effects of Si/Al molar ratio on strength endurance and volume stability of metakaolin geopolymers subject to elevated temperature. Ceram. Int. 2018, 44, 5726–5734. [Google Scholar] [CrossRef]
- Zhang, B.; Zhu, H.; Yang, Z.; Dong, R. FRP bars reinforced geopolymer-based coral aggregate concrete beams with sustainable and high seawater erosion resistance: Flexural durability, economic, and ecological analysis. Eng. Struct. 2025, 330, 119910. [Google Scholar] [CrossRef]
- Kong, D.L.Y.; Sanjayan, J.G. Damage behavior of geopolymer composites exposed to elevated temperatures. Cem. Concr. Compos. 2008, 30, 986–991. [Google Scholar] [CrossRef]
- Yan, R.Z. Influence of High Temperature on Physical and Mechanical Properties of C40 High Performance Concrete. Ph.D. Thesis, Taiyuan University of Technology, Taiyuan, China, 2015. (In Chinese). [Google Scholar]
- Kuenzel, C.; Grover, L.M.; Vandeperre, L.; Boccaccini, A.R.; Cheeseman, C.R. Production of nepheline/quartz ceramics from geopolymer mortars. J. Eur. Ceram. Soc. 2013, 33, 251–258. [Google Scholar] [CrossRef]
- Valencia-Saavedra, W.; Mejía de Gutiérrez, R.; Gordillo, M. Geopolymeric concretes based on fly ash with high unburned content. Constr. Build. Mater. 2018, 165, 697–706. [Google Scholar] [CrossRef]
- Zhang Hai, Y.; Kodur, V.; Wu, B.; Cao, L.; Qi Shu, L. Comparative thermal and mechanical performance of geopolymers derived from metakaolin and fly ash. J. Mater. Civ. Eng. 2016, 28, 04015092. [Google Scholar] [CrossRef]
- Kong, D.L.Y.; Sanjayan, J.G.; Sagoe-Crentsil, K. Comparative performance of geopolymers made with metakaolin and fly ash after exposure to elevated temperatures. Cem. Concr. Res. 2007, 37, 1583–1589. [Google Scholar] [CrossRef]
- Qu, F.; Li, W.; Tao, Z.; Castel, A.; Wang, K. High temperature resistance of fly ash/GGBFS-based geopolymer mortar with load-induced damage. Mater. Struct. 2020, 53, 111. [Google Scholar] [CrossRef]
- Jiang, X.; Zhang, Y.; Xiao, R.; Polaczyk, P.; Zhang, M.; Hu, W.; Bai, Y.; Huang, B. A comparative study on geopolymers synthesized by different classes of fly ash after exposure to elevated temperatures. J. Clean. Prod. 2020, 270, 122500. [Google Scholar] [CrossRef]
- Ameri, F.; Shoaei, P.; Zareei, S.A.; Behforouz, B. Geopolymers vs. alkali-activated materials (AAMs): A comparative study on durability, microstructure, and resistance to elevated temperatures of lightweight mortars. Constr. Build. Mater. 2019, 222, 49–63. [Google Scholar] [CrossRef]
- Rashad, A.M.; Bai, Y.; Basheer, P.A.M.; Collier, N.C.; Milestone, N.B. Chemical and mechanical stability of sodium sulfate activated slag after exposure to elevated temperature. Cem. Concr. Res. 2012, 42, 333–343. [Google Scholar] [CrossRef]
- Lahoti, M.; Wong, K.K.; Tan, K.H.; Yang, E.-H. Effect of alkali cation type on strength endurance of fly ash geopolymers subject to high temperature exposure. Mater. Des. 2018, 154, 8–19. [Google Scholar] [CrossRef]
- Rickard, W.D.A.; van Riessen, A. Performance of solid and cellular structured fly ash geopolymers exposed to a simulated fire. Cem. Concr. Compos. 2014, 48, 75–82. [Google Scholar] [CrossRef]
- Duan, P.; Yan, C.; Zhou, W.; Luo, W. Thermal behavior of portland cement and fly ash–metakaolin-based geopolymer cement pastes. Arab. J. Sci. Eng. 2015, 40, 2261–2269. [Google Scholar] [CrossRef]














| Refs. | Type | Temperature (°C) | Phase Changes |
|---|---|---|---|
| [97] | AAF | 800 | Formation of nepheline |
| [23] | 600 | Disappearance of hydroxysodalite and formation of nepheline | |
| [100] | 900 | Formation of sodalite, albite, and nepheline | |
| [101] | 900 | Formations of albite and nepheline phases due to sintering | |
| [42,102,103] | 1000 | Appearance of nepheline and albite | |
| [55] | AAS | 1000 | The amorphous hump disappeared caused by the destruction of C-S-H gels and the reorganization of the microstructure |
| [55] | 1200 | Formation of akermanite crystals | |
| [69] | 1000 | Formation of akermanite, diopside, and wollastonite | |
| [71] | 800 | Formation of albite | |
| [104] | 800 | Formation of akermanite and gehlenite | |
| [58] | 1000 | Transformation of magnetite into hematite and formation of nepheline- and sodalite-like phases | |
| [105] | AAFS | 600 | Formation of anorthite, nepheline, and wollastonite |
| [97] | 800 | Formation of crystalline phases like wollastonite, nepheline, akermanite, and gehlenite | |
| [77] | 950 | Formation of akermanite, gehlenite, albite, and wollastonite | |
| [106] | 800 | Formation of anorthite, gehlenite, akermanite, and nepheline | |
| [107] | 800 | Gehlenite and akermanite are formed by C-A-S-H gel crystallization | |
| [48] | AAMK | 900 | The matrix of geopolymer transformed from a large number of amorphous gel structures to a uniform structure and the formation of sodium zeolite and albite |
| [108] | 1000 | Formation of nepheline | |
| [109] | 1000 | Formation of hematite, mullite, and albite | |
| [110] | 900 | Formation of nepheline |
| T/(°C) | 25 | 100 | 200 | 300 | 400 | 500 | 600 | 700 | 800 | 900 |
| Mortars (%) | 0 | 0.037 | 0.124 | 0.214 | 0.340 | 0.477 | 0.796 | 0.898 | 1.033 | 1.151 |
| Coarse aggregates (%) | 0 | 0.018 | 0.067 | 0.137 | 0.227 | 0.353 | 0.609 | 2.047 | 2.280 | 3.241 |
| Concrete (%) | 0 | 0.038 | 0.116 | 0.190 | 0.313 | 0.464 | 0.691 | 0.952 | 1.259 | 1.636 |
Disclaimer/Publisher’s Note: The statements, opinions and data contained in all publications are solely those of the individual author(s) and contributor(s) and not of MDPI and/or the editor(s). MDPI and/or the editor(s) disclaim responsibility for any injury to people or property resulting from any ideas, methods, instructions or products referred to in the content. |
© 2025 by the authors. Licensee MDPI, Basel, Switzerland. This article is an open access article distributed under the terms and conditions of the Creative Commons Attribution (CC BY) license (https://creativecommons.org/licenses/by/4.0/).
Share and Cite
Wu, T.; Tang, S.; Dong, Y.-R.; Luo, J.-H. A Review of the Thermal and Mechanical Characteristics of Alkali-Activated Composites at Elevated Temperatures. Buildings 2025, 15, 738. https://doi.org/10.3390/buildings15050738
Wu T, Tang S, Dong Y-R, Luo J-H. A Review of the Thermal and Mechanical Characteristics of Alkali-Activated Composites at Elevated Temperatures. Buildings. 2025; 15(5):738. https://doi.org/10.3390/buildings15050738
Chicago/Turabian StyleWu, Ting, Si Tang, Yao-Rong Dong, and Jiang-Hua Luo. 2025. "A Review of the Thermal and Mechanical Characteristics of Alkali-Activated Composites at Elevated Temperatures" Buildings 15, no. 5: 738. https://doi.org/10.3390/buildings15050738
APA StyleWu, T., Tang, S., Dong, Y.-R., & Luo, J.-H. (2025). A Review of the Thermal and Mechanical Characteristics of Alkali-Activated Composites at Elevated Temperatures. Buildings, 15(5), 738. https://doi.org/10.3390/buildings15050738
