Effects of Post-Fire Rehydration on the Mechanical Properties of Slag-Modified Concrete
Abstract
1. Introduction
- I.
- Slag has the potential to enhance the post-fire rehydration of concrete;
- II.
- Ordinary Portland cement (OPC) is not commonly available in Brazil, meaning that findings from previous studies on OPC-based concretes may not be directly applicable for defining design criteria for the post-fire performance of rehydrated concretes made with Brazilian slag-modified cements;
- III.
- Previous studies did not use experimental methods to evaluate the elastic modulus recovery of slag-modified concretes subjected to post-fire rehydration, focusing solely on tests to determine the residual compressive and tensile strength;
- IV.
- There is a lack of statistical analyses regarding the strength and stiffness of slag-modified concrete subjected to high temperatures and post-fire re-curing.
- I.
- This paper reports the first exploration of post-fire rehydration mechanisms in concrete specimens produced with the slag-modified Brazilian cement CP II-E-32;
- II.
- Unlike previous studies, which focused primarily on determining the residual strength of slag-modified concrete subjected to post-fire rehydration, the present work also includes experimental methods for determining the residual modulus of elasticity;
- III.
- This experimental program comprises a systematic statistical analysis of the effects of initial concrete strength (20 MPa and 30 MPa), maximum exposure temperature (200, 400, 600, and 800 °C) and post-fire treatments (with or without rehydration) on the strength and stiffness of slag-modified concretes.
2. Materials and Methods
2.1. Materials
2.2. Methods
3. Results
4. Discussion
5. Conclusions
- This article presents quantitative data and statistical analyses of the residual compressive strength and modulus of elasticity for different classes of slag-modified cement concrete subjected to various maximum temperature levels, both before and after a rehydration process.
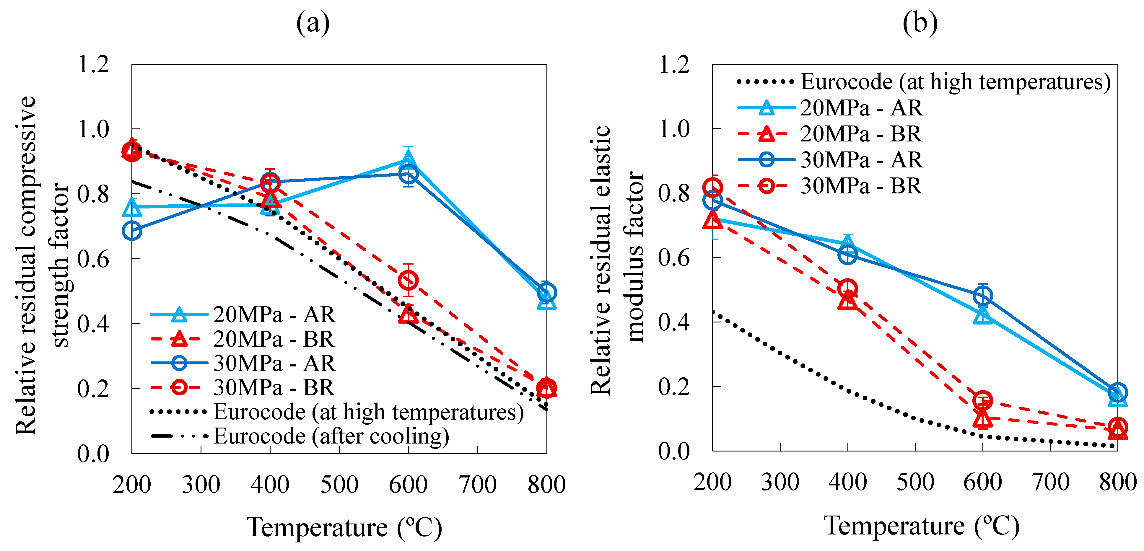
- The rehydration process provided evident compressive strength recoveries in concrete exposed to temperatures from 600 °C to 800 °C, in addition to a relevant stiffness recovery in concrete exposed to temperatures between 400 °C and 800 °C. The Φc did not decrease with an increase in temperature for the concretes with characteristic compressive strengths of 20 MPa or 30 MPa. Specimens subjected to 600 °C presented the highest Φc values.
- The ψc values decreased with an increase in the maximum exposure temperature for both concrete classes. The maximum post-fire recovery of the elastic modulus was observed in concrete exposed to 600 °C. Recovery of stiffness due to rehydration was higher for specimens that were subjected to higher temperatures.
- According to comparisons between residual factors obtained in this research and factors suggested in design codes, the addition of slag to concrete mitigates microcracking during the rehydration process due to the lower content of CH in the cementitious matrix, leading to improvements in the Φc and ψc values.
Author Contributions
Funding
Data Availability Statement
Acknowledgments
Conflicts of Interest
References
- Ma, Q.; Guo, R.; Zhao, Z.; Lin, Z.; He, K. Mechanical Properties of Concrete at High Temperature—A Review. Constr. Build. Mater. 2015, 93, 371–383. [Google Scholar] [CrossRef]
- Xiao, J.; Xie, Q.; Xie, W. Study on High-Performance Concrete at High Temperatures in China (2004–2016)—An Updated Overview. Fire Saf. J. 2018, 95, 11–24. [Google Scholar] [CrossRef]
- Malik, M.; Bhattacharyya, S.K.; Barai, S.V. Thermal and Mechanical Properties of Concrete and Its Constituents at Elevated Temperatures: A Review. Constr. Build. Mater. 2021, 270, 121398. [Google Scholar] [CrossRef]
- Memon, S.A.; Shah, S.F.A.; Khushnood, R.A.; Baloch, W.L. Durability of Sustainable Concrete Subjected to Elevated Temperature—A Review. Constr. Build. Mater. 2019, 199, 435–455. [Google Scholar] [CrossRef]
- Segalin, L.Z.; Balestra, C.E.T.; Savaris, G.; Bressiani, L. Efeito Do Modo de Resfriamento Na Resistência Do Concreto Após Exposição a Altas Temperaturas. Semin. Ciências Exatas Tecnológicas 2020, 41, 13. [Google Scholar] [CrossRef]
- Botte, W.; Caspeele, R. Post-Cooling Properties of Concrete Exposed to Fire. Fire Saf. J. 2017, 92, 142–150. [Google Scholar] [CrossRef]
- Awal, A.S.M.A.; Shehu, I.A.; Ismail, M. Effect of Cooling Regime on the Residual Performance of High-Volume Palm Oil Fuel Ash Concrete Exposed to High Temperatures. Constr. Build. Mater. 2015, 98, 875–883. [Google Scholar] [CrossRef]
- Castellote, M.; Alonso, C.; Andrade, C.; Turrillas, X.; Campo, J. Composition and Microstructural Changes of Cement Pastes upon Heating, as Studied by Neutron Diffraction. Cem. Concr. Res. 2004, 34, 1633–1644. [Google Scholar] [CrossRef]
- Li, L.; Shi, L.; Wang, Q.; Liu, Y.; Dong, J.; Zhang, H.; Zhang, G. A Review on the Recovery of Fire-Damaged Concrete with Post-Fire-Curing. Constr. Build. Mater. 2020, 237, 117564. [Google Scholar] [CrossRef]
- Sikora, P.; Abd Elrahman, M.; Stephan, D. The Influence of Nanomaterials on the Thermal Resistance of Cement-Based Composites—A Review. Nanomaterials 2018, 8, 465. [Google Scholar] [CrossRef] [PubMed]
- Fernandes, B.; Gil, A.M.; Bolina, F.L.; Tutikian, B.F. Microstructure of Concrete Subjected to Elevated Temperatures: Physico-Chemical Changes and Analysis Techniques. Rev. IBRACON Estrut. Mater. 2017, 10, 838–863. [Google Scholar] [CrossRef]
- Scrivener, K.; Snellings, R.; Lothenbach, B. A Practical Guide to Microstructural Analysis of Cementitious Materials; CRC: Boca Raton, FL, USA, 2016. [Google Scholar]
- Zahid, M.M.; Bakar, B.A.; Nazri, F.; Ahmad, M.; Muhamad, K. Review of Repair Materials for Fire-Damaged Reinforced Concrete Structures. IOP Conf. Ser. Mater. Sci. Eng. 2018, 318, 012023. [Google Scholar] [CrossRef]
- Cho, H.; Lee, D.; Ju, H.; Park, H.; Kim, H.; Kim, K. Fire Damage Assessment of Reinforced Concrete Structures Using Fuzzy Theory. Appl. Sci. 2017, 7, 518. [Google Scholar] [CrossRef]
- Li, L.; Chen, Y.; He, C.; Wang, C.; Zhang, H.; Wang, Q.; Liu, Y.; Zhang, G. Recovery Behavior of the Macro-Cracks in Elevated Temperature-Damaged Concrete after Post-Fire Curing. Materials 2022, 15, 5673. [Google Scholar] [CrossRef]
- Cánovas, F. Patologia e Terapia Do Concreto Armado; Pini: São Paulo, Brazil, 1988. (In Portuguese) [Google Scholar]
- Sousa, M. Experimental Study of the Mechanical Behavior and Microstructure of Conventional Concrete after Simulation of Fire Conditions; Universidade Federal de Minas Gerais: Belo Horizonte, Brazil, 2009. (In Portuguese) [Google Scholar]
- Wang, H.; Lyu, H.; Liu, T.; Li, Y.; Hai Tan, K. Effect of Post-Fire Curing on Compressive Strength of Ultra-High Performance Concrete and Mortar. Constr. Build. Mater. 2022, 346, 128447. [Google Scholar] [CrossRef]
- Matesová, D. Effect of Exposure Time after Heating and w/c Ratio on Residual Strength Concrete: Pilot Studies. In Proceedings of the XI International Conference on Ecology and New Building Materials and Products, Telč, Czech Republic, 2007; pp. 197–206. [Google Scholar]
- Shui, Z.; Xuan, D.; Chen, W.; Yu, R.; Zhang, R. Cementitious Characteristics of Hydrated Cement Paste Subjected to Various Dehydration Temperatures. Constr. Build. Mater. 2009, 23, 531–537. [Google Scholar] [CrossRef]
- He, F.; Biolzi, L.; Carvelli, V. Effects of Elevated Temperature and Water Re-Curing on the Compression Behavior of Hybrid Fiber Reinforced Concrete. J. Build. Eng. 2023, 67, 106034. [Google Scholar] [CrossRef]
- Chromá, M.; Rovnaník, P.; Vorechovská, D.; Baver, P.; Ravnaníková, P. Concrete Rehydration after Heating to Temperatures of up to 1200 °C. In Proceedings of the International Conference on Durability of Building Materials and Components, Porto, Portugal, 12–15 April 2011; pp. 1–7. [Google Scholar]
- Suh, H.; Im, S.; Kim, J.; Bae, S. Instant Mechanical Recovery of Heat-Damaged Nanosilica-Incorporated Cement Composites under Various Rehydrations Procedures. Mater. Struct. 2022, 55, 5. [Google Scholar] [CrossRef]
- Suresh, N.; Rao, V.; Akshay, B.S. Evaluation of Mechanical Properties and Post-Fire Cured Strength Recovery of Recycled Aggregate Concrete. J. Struct. Fire Eng. 2022, 13, 491–505. [Google Scholar] [CrossRef]
- Nalon, G.; Ribeiro, J.; Pedroti, L.; Araújo, E.; Carvalho, J.; Lima, G.; Ferreira, S. Effects Of Post-Fire Curing on Self-Sensing Behavior of Smart Mortars. ACI Mater. J. 2023, 120, 181–192. [Google Scholar] [CrossRef]
- Xu, L.; Wang, J.; Li, K.; Hao, T.; Li, Z.; Li, L.; Ran, B.; Du, H. New Insights on Dehydration at Elevated Temperature and Rehydration of GGBS Blended Cement. Cem. Concr. Compos. 2023, 139, 105068. [Google Scholar] [CrossRef]
- Baldusco, R.; Nobre, T.R.S.; Angulo, S.C.; Quarcioni, V.A.; Cincotto, M.A. Dehydration and Rehydration of Blast Furnace Slag Cement. J. Mater. Civ. Eng. 2019, 31, 04019132. [Google Scholar] [CrossRef]
- Yaragal, S.; Kittur, M.; Narayan, K. Recuring Studies on Concretes Subjected to Elevated Temperatures and Suddenly Cooled by Water Quenching. J. Struct. Fire Eng. 2015, 6, 67–76. [Google Scholar] [CrossRef]
- Vyšvařil, M.; Bayer, P.; Chromá, M.; Rovnaníková, P. Physico-Mechanical and Microstructural Properties of Rehydrated Blended Cement Pastes. Constr. Build. Mater. 2014, 54, 413–420. [Google Scholar] [CrossRef]
- Poon, C.-S.; Azhar, S.; Anson, M.; Wong, Y.-L. Strength and Durability Recovery of Fire-Damaged Concrete after Post-Fire-Curing. Cem. Concr. Res. 2001, 31, 1307–1318. [Google Scholar] [CrossRef]
- Sarshar, R.; Khoury, G.A. Material and Environmental Factors Influencing the Compressive Strength of Unsealed Cement Paste and Concrete at High Temperatures. Mag. Concr. Res. 1993, 45, 51–61. [Google Scholar] [CrossRef]
- ABNT NBR 16697:2018; Portland Cement—Requirements. Brazilian Association of Technical Norms: Rio de Janeiro, RJ, Brazil, 2018; 12p.
- ASTM C595/C595M-20; Standard Specification for Blended Hydraulic Cements. American Society for Testing and Materials: West Conshohocken, PA, USA, 2020; 16p.
- CCA. Brasil—Sustainable Solutions Co-Products—Cement. Available online: http://www.ccabrasil.org.br/english/Coproduto_Cimento.asp (accessed on 5 July 2020).
- Teixeira, G.P.; Ribeiro, J.C.L.; Pedroti, L.G.; Nalon, G.H. Effects of Cooling Type on Mechanical Properties of Concrete Produced with Slag-Modified Cement Exposed to High Temperatures. Acta Scientiarum. Technol. 2024, 46, e66726. [Google Scholar] [CrossRef]
- de Azevedo, A.R.G.; Alexandre, J.; Xavier, G.d.C.; Pedroti, L.G. Recycling Paper Industry Effluent Sludge for Use in Mortars: A Sustainability Perspective. J. Clean. Prod. 2018, 192, 335–346. [Google Scholar] [CrossRef]
- Nalon, G.H.; Santos, C.F.R.; Pedroti, L.G.; Ribeiro, J.C.L.; Veríssimo, G.d.S.; Ferreira, F.A. Strength and Failure Mechanisms of Masonry Prisms Under Compression, Flexure and Shear: Components’ Mechanical Properties as Design Constraints. J. Build. Eng. 2020, 28, 101038. [Google Scholar] [CrossRef]
- Martins, R.O.G.; Nalon, G.H.; Alvarenga, R.D.C.S.S.; Pedroti, L.G.; Ribeiro, J.C.L. Influence of Blocks and Grout on Compressive Strength and Stiffness of Concrete Masonry Prisms. Constr. Build. Mater. 2018, 182, 233–241. [Google Scholar] [CrossRef]
- ABNT NBR 12655; Portland Cement Concrete—Preparation, Control, Receipt and Acceptance—Procedure. Brazilian Association of Technical Norms: Rio de Janeiro, RJ, Brazil, 2015; 23p.
- ABNT NBR 8522; Concrete—Determination of the Static Elasticity and Strain Modulus. Brazilian Association of Technical Norms: Rio de Janeiro, RJ, Brazil, 2017; 20p.
- MINITAB Software Minitab 17.3.0 2016. Available online: https://www.minitab.com/content/dam/www/en/uploadedfiles/documents/getting-started/MinitabGettingStarted-v032024_EN.pdf (accessed on 13 December 2024).
- Shui, Z.; Xuan, D.; Wan, H.; Cao, B. Rehydration Reactivity of Recycled Mortar from Concrete Waste Experienced to Thermal Treatment. Constr. Build. Mater. 2008, 22, 1723–1729. [Google Scholar] [CrossRef]
- Xuan, D.X.; Shui, Z.H. Rehydration Activity of Hydrated Cement Paste Exposed to High Temperature. Fire Mater. 2011, 35, 481–490. [Google Scholar] [CrossRef]
- Steiger, M. Crystal Growth in Porous Materials-II: Influence of Crystal Size on the Crystallization Pressure. J. Cryst. Growth 2005, 282, 470–481. [Google Scholar] [CrossRef]
- Steiger, M. Crystal Growth in Porous Materials-I: The Crystallization Pressure of Large Crystals. J. Cryst. Growth 2005, 282, 455–469. [Google Scholar] [CrossRef]
- Mehta, P.; Monteiro, P. Concrete: Microstructure, Properties and Materials; McGraw-Hill Professional: New York, NY, USA, 2005. [Google Scholar]
- EN 1994-1-2; Eurocode 4: Design of Composite Steel and Concrete Structures—Part 1–2: General Rules—Structural Fire Design. European Committee for Standardisation (CEN): Brussels, Belgium, 2005.
- Hager, I. Behaviour of Cement Concrete at High Temperature. Bull. Pol. Acad. Sci. Tech. Sci. 2013, 61, 145–154. [Google Scholar] [CrossRef]
- Fernandes Neto, J.A.D.; Sombra, T.N.; Haach, V.G.; Corrêa, M.R.S. Effects of Post-Fire Curing on the Residual Mechanical Behavior of Cement-Lime Masonry Mortars. Constr. Build. Mater. 2022, 327, 126613. [Google Scholar] [CrossRef]








| Authors | Type of Specimen | Type of Cement | Admixtures * | Maximum Temperatures | Rehydration Procedures After Cooling | Mechanical Properties Evaluated in the Paper | Findings Reported in the Paper |
|---|---|---|---|---|---|---|---|
| Xu et al. [26] | Paste | OPC | 65% slag | 450, 550, 650, 750, and 850 °C | Specimens were ground to prepare rehydrated cement pastes | fc | Slag-modified cement pastes can be recycled as binders via thermal activation at an optimal temperature of 650 °C, followed by rehydration |
| Baldusco et al. [27] | Paste | CP III | 62% slag | 500 °C | Specimens were ground to prepare rehydrated cement pastes | fc | Strength of rehydrated cement paste achieved 66% of the strength of the hydrated paste with one third of the thermal energy of cement production |
| Yaragal, Kittur, and Narayan [28] | Concrete | OPC | 30% slag | 400, 500, 600, and 700 °C | Specimens were immersed in a water container for 1–56 days | fc | Slag-modified concrete showed superior rehydration due to finer particles reacting with CH |
| Vyšvařil et al. [29] | Paste | CEM I 42.5 R Portland cement | 20% slag, fly ash, or ground limestone | 200, 400, 600, 800, 1000, and 1200 °C | Specimens were ground to prepare rehydrated cement pastes | fc, ft | The addition of slag did not positively affect the compressive strength after rehydration |
| Poon et al. [30] | Concrete | OPC | 5–40% fly ash, silica fume, slag, or metakaolin | 600 and 800 °C | Specimens were subjected to water and air re-curing for 7, 28, or 56 days | fc | Blended concrete outperformed OPC concrete, with faster strength recovery provided by water re-curing |
| Sarshar and Khouy [31] | Paste and concrete | OPC | 30% fly ash, 10% silica fume, or 65% slag | 300 and 500 °C | Specimens were exposed to 100% RH for 1, 7, 28, 90, or 180 days, or soaked in water for 7 days | fc | The lower CH content of slag ensured that the rehydration process did not lead to the disintegration of specimens |
| Characteristic Compressive Strength (fck) | Temperature | Φc * | SD | CV (%) | ANOVA Conclusion |
|---|---|---|---|---|---|
| 20 MPa | 200 °C | 0.760 | 0.0260 | 3.42 | Statistically different means |
| 400 °C | 0.767 | 0.0185 | 2.41 | ||
| 600 °C | 0.905 | 0.0412 | 4.55 | ||
| 800 °C | 0.474 | 0.0269 | 5.68 | ||
| 30 MPa | 200 °C | 0.687 | 0.0231 | 3.37 | Statistically different means |
| 400 °C | 0.837 | 0.0252 | 3.01 | ||
| 600 °C | 0.862 | 0.0396 | 4.59 | ||
| 800 °C | 0.497 | 0.0346 | 6.95 |
| Temperature | Φ * | SD | CV (%) | ANOVA Conclusion | |||
|---|---|---|---|---|---|---|---|
| 20 MPa | 30 MPa | 20 MPa | 30 MPa | 20 MPa | 30 MPa | ||
| 200 °C | 0.760 | 0.687 | 0.0260 | 0.0231 | 3.42 | 3.37 | Statistically different means |
| 400 °C | 0.767 | 0.837 | 0.0185 | 0.0252 | 2.41 | 3.01 | Statistically different means |
| 600 °C | 0.905 | 0.862 | 0.0412 | 0.0396 | 4.55 | 4.59 | Statistically equivalent means |
| 800 °C | 0.474 | 0.497 | 0.0269 | 0.0346 | 5.68 | 6.95 | Statistically equivalent means |
| Temperature | 20 MPa Concrete | 30 MPa Concrete | ||||
|---|---|---|---|---|---|---|
| Φc (BR) | Φc (AR) | Variation * | Φc (BR) | Φc (AR) | Variation * | |
| 200 °C | 0.943 | 0.760 | −19.4% | 0.930 | 0.687 | −26.1% |
| 400 °C | 0.788 | 0.767 | −2.7% | 0.832 | 0.837 | 0.6% |
| 600 °C | 0.433 | 0.905 | 109.0% | 0.534 | 0.862 | 61.4% |
| 800 °C | 0.206 | 0.474 | 130.1% | 0.201 | 0.497 | 147.3% |
| Characteristic Compressive Strength (fck) | Temperature | ψc * | SD | CV (%) | ANOVA Conclusion |
|---|---|---|---|---|---|
| 20 MPa | 200 °C | 0.720 | 0.0628 | 8.72 | Statistically different means |
| 400 °C | 0.643 | 0.0283 | 4.40 | ||
| 600 °C | 0.424 | 0.0268 | 6.32 | ||
| 800 °C | 0.167 | 0.0044 | 2.63 | ||
| 30 MPa | 200 °C | 0.778 | 0.0275 | 3.53 | Statistically different means |
| 400 °C | 0.609 | 0.0269 | 4.42 | ||
| 600 °C | 0.482 | 0.0361 | 7.49 | ||
| 800 °C | 0.182 | 0.0139 | 7.64 |
| Temperature | ψc * | SD | CV (%) | ANOVA Conclusion | |||
|---|---|---|---|---|---|---|---|
| 20 MPa | 30 MPa | 20 MPa | 30 MPa | 20 MPa | 30 MPa | ||
| 200 °C | 0.720 | 0.778 | 0.0628 | 0.0275 | 8.72 | 3.53 | Statistically equivalent means |
| 400 °C | 0.643 | 0.609 | 0.0283 | 0.0269 | 4.40 | 4.42 | Statistically equivalent means |
| 600 °C | 0.424 | 0.482 | 0.0268 | 0.0361 | 6.32 | 7.49 | Statistically different means |
| 800 °C | 0.167 | 0.182 | 0.0044 | 0.0139 | 2.63 | 7.64 | Statistically equivalent means |
| Temperature | 20 MPa Concrete | 30 MPa Concrete | ||||
|---|---|---|---|---|---|---|
| ψc (BR) | ψc (AR) | Variation * | ψc (BR) | ψc (AR) | Variation * | |
| 200 °C | 0.720 | 0.720 | 0.0% | 0.817 | 0.778 | −4.7% |
| 400 °C | 0.469 | 0.643 | 37.1% | 0.503 | 0.609 | 21.2% |
| 600 °C | 0.105 | 0.424 | 303.8% | 0.156 | 0.482 | 209.0% |
| 800 °C | 0.065 | 0.167 | 156.9% | 0.073 | 0.182 | 150.7% |
Disclaimer/Publisher’s Note: The statements, opinions and data contained in all publications are solely those of the individual author(s) and contributor(s) and not of MDPI and/or the editor(s). MDPI and/or the editor(s) disclaim responsibility for any injury to people or property resulting from any ideas, methods, instructions or products referred to in the content. |
© 2025 by the authors. Licensee MDPI, Basel, Switzerland. This article is an open access article distributed under the terms and conditions of the Creative Commons Attribution (CC BY) license (https://creativecommons.org/licenses/by/4.0/).
Share and Cite
Teixeira, G.P.; Ribeiro, J.C.L.; Pedroti, L.G.; Nalon, G.H. Effects of Post-Fire Rehydration on the Mechanical Properties of Slag-Modified Concrete. Buildings 2025, 15, 136. https://doi.org/10.3390/buildings15010136
Teixeira GP, Ribeiro JCL, Pedroti LG, Nalon GH. Effects of Post-Fire Rehydration on the Mechanical Properties of Slag-Modified Concrete. Buildings. 2025; 15(1):136. https://doi.org/10.3390/buildings15010136
Chicago/Turabian StyleTeixeira, Guilherme Palla, José Carlos Lopes Ribeiro, Leonardo Gonçalves Pedroti, and Gustavo Henrique Nalon. 2025. "Effects of Post-Fire Rehydration on the Mechanical Properties of Slag-Modified Concrete" Buildings 15, no. 1: 136. https://doi.org/10.3390/buildings15010136
APA StyleTeixeira, G. P., Ribeiro, J. C. L., Pedroti, L. G., & Nalon, G. H. (2025). Effects of Post-Fire Rehydration on the Mechanical Properties of Slag-Modified Concrete. Buildings, 15(1), 136. https://doi.org/10.3390/buildings15010136

