Abstract
Infectious diseases have profoundly impacted global health and daily life. To control virus transmission, countries worldwide have implemented various preventive measures. A critical pathway for infection spread is cross-infection within households, especially among family members in the same or adjacent rooms. This study uses numerical simulations to examine aerosol transmission characteristics in adjacent spaces in home settings and assess associated infection risks. The study evaluated the effects of factors such as outdoor wind speed, door gap leakage, and door opening actions on aerosol concentration and infection risk across various areas. Key conclusions include the following: Under prolonged lack of ventilation, aerosol leakage through the door gap is minimal, with the average aerosol concentration outside the bedroom remaining low (<0.04). In the absence of ventilation, aerosol accumulation primarily occurs within the bedroom. Under ventilated conditions, door gap leakage may increase infection risk in adjacent areas, suggesting a stay duration of no more than 75 min to keep infection risk below 30%. The findings provide practical recommendations for airtight design and activity area selection within residential spaces, offering valuable guidance for effective infection control measures.
1. Introduction
In recent years, infectious respiratory diseases such as COVID-19 and influenza have posed significant challenges to public health, spreading rapidly through the air and posing serious risks, especially for vulnerable populations [1]. Given that people spend a large portion of their time at home, studying how these diseases spread in residential settings and implementing effective preventive measures to reduce cross-infection risks have become crucial [2]. The risk of transmission within households is especially high, as family members often share common spaces [3]. Cheng et al. analyzed the impact of various environmental and operational factors, such as airflow patterns and maintenance frequency, on the efficiency of drainage systems in mitigating aerosol transmission risks, and proposed strategies for optimizing building infrastructure to reduce infection spread [4]. Similarly, Zlotorzynska et al. introduced the residential social vulnerability of healthcare personnel, particularly those in lower-wage and frontline roles such as certified nursing assistants and medical assistants. Targeted interventions to improve living conditions and reduce exposure risks in socially vulnerable communities may help mitigate the impact of future public health crises on healthcare workers and contribute to greater health equity within the workforce [5]. Together, these studies highlight the multifaceted nature of disease transmission in residential settings and the need for interdisciplinary strategies to mitigate risks.
During the COVID-19 pandemic, home quarantine was widely adopted, leading to studies identifying key factors and strategies for controlling virus transmission within households [6]. For instance, Yang Liu et al. found that when isolated individuals stayed in separate rooms and minimized direct contact with others, infection risks were significantly reduced, underscoring the importance of spatial separation and limited contact [7]. Additionally, the COVID HOME study reported higher transmission rates among household members when strict isolation was difficult to maintain, emphasizing the need for effective household infection control measures [8]. Xi He et al. found that many secondary infections occurred during the presymptomatic stage, highlighting the importance of early quarantine and contact tracing to reduce transmission [9]. These findings collectively emphasize the importance of isolation, reduced contact, and timely response to household infection risks but lack in-depth analysis of how factors such as different household layouts, airflow dynamics, and door leaks affect virus transmission. Although some studies have explored the basic principles of airborne transmission, the understanding of the interaction between ventilation conditions, airflow, and pathogen transmission in specific household environments is still insufficient.
Numerous studies have also shown the essential role of proper ventilation in reducing the concentration of aerosols and the risk of disease transmission indoors [10,11,12,13,14,15]. In poorly ventilated spaces, aerosols and viruses can remain suspended and accumulate, raising infection risks. By improving ventilation, aerosols can be diluted and cleared from the air more effectively, reducing their duration in indoor spaces. For example, Xiang Fang et al. examined aerosol transmission from coughing in workplaces and found that well-planned ventilation layouts helped disperse aerosols, lowering exposure risks [16]. T. Hung et al. compared aerosol exposure during different CPR techniques and found that hands-only CPR with masks was as safe as methods using ventilatory devices, suggesting that lower-risk techniques can effectively reduce exposure [17]. Dey et al. demonstrated that using local exhaust ventilation and HEPA filters in dental clinics reduced aerosol transmission and microbial loads, showing particular effectiveness in high-aerosol environments [18]. In confined spaces like elevators, Ata Nazari et al. found that effective HVAC design helped reduce aerosol retention time, lowering infection risks and offering guidance for public facility ventilation design [19]. Additionally, B. Schimmoller et al. introduced the COVID-19 Exposure Assessment Tool (CEAT), which calculates infection risks based on factors such as ventilation rate, viral emission, and individual behavior, supporting precise risk control [20]. In a home isolation context, T. Cheung and K. Tham found that natural ventilation strategies significantly reduced aerosol concentrations indoors, helping to lower infection risks in adjacent spaces, and recommended proper window opening and airflow for effective cross-infection prevention [21]. However, most of these studies primarily focus on general ventilation strategies and neglect the influence of door gap leakage and transient door movements, as well as their interaction with natural ventilation conditions, leaving gaps in the understanding of the combined effects of these factors on aerosol dispersion. Furthermore, quantitative analysis of infection risk across interconnected residential spaces over time has been limited. Although some studies have explored the improvement effect of different ventilation strategies on indoor air quality, there are few studies specifically evaluating how factors such as natural wind speed, door gap leakage, and door opening and closing frequency interact with other airflow dynamics in the room, thereby affecting air transmission pathways and infection risks.
Outdoor wind speed plays a significant role in indoor aerosol transmission and the associated infection risks. For example, Yang et al. investigated the impact of various ventilation strategies on droplet dispersion in semi-open public spaces, demonstrating that enhanced airflow and the strategic placement of air purifiers could significantly reduce face-to-face exposure risks in both indoor and outdoor dining environments [22]. Al-Rikabi et al. further emphasized the importance of tailoring ventilation strategies to the specific needs of different indoor environments, suggesting that a combination of mechanical and natural ventilation systems could provide a more effective solution for reducing airborne pathogen transmission, particularly in mixed-use spaces [23]. Alqarni et al. explored the integration of digital twin technology with outdoor real-time environmental data to simulate and optimize indoor air quality (IAQ) management strategies, emphasizing the role of machine learning in predicting and mitigating respiratory virus transmission while balancing energy efficiency in building operations [24]. Additionally, Wang et al. studied the impact of different ventilation strategies on airborne pathogen dispersion in large indoor spaces, demonstrating that targeted airflow adjustments, combined with advanced filtration technologies, can significantly reduce the exposure risk in crowded environments, particularly during high-density events such as mass screenings and public gatherings [25]. Overall, these studies provide valuable insights into the complex relationship between outdoor wind speed, indoor aerosol transmission, and infection risks. However, most research focuses on transmission across different housing types or outdoor transmission scenarios, lacking a coupled indoor–outdoor perspective and insufficiently addressing the specifics of indoor environments.
Doors also play a critical role in disease transmission in homes, as their opening and closing, as well as the gaps around them, can increase cross-infection risks [26,27,28,29,30]. Studies have shown that airflow generated by opening doors can carry pathogens from isolation areas into other parts of the home. For instance, Zhang et al. found that, in quarantine hotels, opening doors to deliver food or dispose of waste caused air from contaminated rooms to mix with fresh air, leading to cross-floor and same-floor SARS-CoV-2 transmission [6]. In office buildings, Chien et al. observed that keeping doors closed reduced aerosol transmission through HVAC systems, whereas opening doors increased transmission, especially in areas with active airflow [31]. Similarly, Cadnum et al. found that airflow patterns directed toward vents near doors in patient rooms facilitated aerosol transfer between beds, while drawing privacy curtains reduced this risk [32]. In classrooms, Farouk et al. showed that opening doors could reduce aerosol exposure by 26%, emphasizing the importance of door management [33]. Additionally, Sinha et al. highlighted that recirculation zones near washroom doors could retain infectious aerosols for longer, underscoring the importance of effective ventilation in such areas [34]. These findings underscore the role of doors in aerosol transmission and provide insights into optimizing ventilation and air purification strategies across settings such as homes, offices, healthcare facilities, and schools. Despite highlighting the role of doors, these studies often fail to account for the dynamic changes caused by door opening actions and the combined effect of wind speed, door gap size, and ventilation on aerosol dispersion and infection risk. These findings emphasize the role of doors in aerosol transmission and provide valuable insights for optimizing ventilation and air purification strategies in places such as homes, offices, medical institutions, and schools. Although existing research emphasizes the role of doors, most of these studies focus on the analysis of the impact of a single factor and have not delved into the comprehensive effects of door opening and closing frequency, door gap leakage, and airflow interactions under different spatial layouts. In addition, existing research often overlooks the complexity of different environmental conditions, such as transient changes in indoor airflow, variations in temperature and humidity, and different types of door management strategies, when analyzing the correlation between airflow dynamics and pathogen transmission.
In contrast, this study systematically analyzed the comprehensive effects of factors such as door gap leakage, door opening action, and different outdoor wind speeds using a validated computational fluid dynamics (CFD) model, filling a gap in the existing literature. Traditional research has mostly focused on single ventilation strategies or aerosol propagation modes, ignoring the complex interactions between these factors. Our research is not limited to static assessment of aerosol concentration, but can quantify the dynamic evolution of adjacent room infection risk over time by dynamically simulating and tracking the diffusion process of aerosols in different household spaces in real time. By introducing different wind speed conditions and door opening and closing scenarios, our model reveals how door gap leakage and transient door opening and closing interact with indoor airflow patterns, affecting air transmission pathways and ultimately impacting infection risk. This time-based quantitative assessment method provides more accurate predictions for aerosol concentration and infection risk in household environments, and also provides a new scientific basis for developing practical risk mitigation strategies.
In this study, we followed a structured approach to investigate these transmission dynamics. The paper is organized as follows: In Section 2.1, Section 2.2 and Section 2.3, we review the CFD simulation model and other numerical model used in this study, and the CFD model is validated according to Appendix A. After validating the CFD simulation model [35], Section 2.4 and Section 2.5 presents the simplified model of adjacent residential spaces, where we use CFD simulations to model airflow under various ventilation conditions, including scenarios with closed doors causing door gap leakage and open doors causing airflow variations. In Section 3, we assess the infection risks based on the simulation results, focusing on different areas in the residential spaces and their vulnerability to airborne transmission. Following this, Section 4 offers practical recommendations for improving indoor activities and spatial organization to minimize infection risks. Section 4 also concludes with a discussion on the broader applicability of the methods and tools used, suggesting their relevance to other settings such as hospitals, schools, and workplaces, where infection control and air quality are critical. This study provides valuable insights into the indoor transmission of respiratory diseases in home environments, offering scientific guidance for reducing airborne transmission risks and improving indoor air quality. The methods and tools used in this study are also applicable to other settings, such as hospitals, schools, and workplaces, for assessing and enhancing air quality and infection control measures, with broad practical relevance.
2. Materials and Methods
2.1. Numerical Methods
We adopted a drift flux model based on the Euler method to numerically simulate the migration of aerosols in indoor environments [36]. The transport equation (Equation (1)), which accounts for mechanisms such as turbulent diffusion and aerosol sedimentation in the air, is expressed as follows:
Here, represents the concentration of aerosol is the aerosol settling velocity, is the eddy diffusivity, and is the Brownian diffusion coefficient. , the sink term for aerosol deposition, is defined as follows:
The summation in parentheses considers all wall faces of the grid cells near the walls. is the local deposition velocity, calculated following the method proposed by Lai and Nazaroff [37]. is the normal vector of the wall face, is the grid cell volume, and represents the concentration near the wall. The deposition of aerosols on the wall surface is included in the sink term (Equation (2)).
In this model, it is assumed that the heat sources, humidity sources, air temperature, and relative humidity inside the room remain constant, and thus heat and moisture transfer are not included.
This study innovatively combines CFD simulation with actual household layout, comprehensively considering the effects of door gap leakage, transient door opening and closing actions, and external wind speed on airflow patterns. Unlike traditional ventilation models, our model can dynamically track the spread of aerosols between different rooms and quantitatively assess the risk of infection in different scenarios.
2.2. Infection Risk Assessment: Gammaitoni–Nucci Model
The Gammaitoni–Nucci equation provides a framework for estimating the probability of infection [38], focusing on factors such as pathogen concentration, exposure time, and the room’s air volume. The equation is expressed as follows:
In this model, represents the concentration of infectious aerosols in the air (measured in quanta per cubic meter), which can be obtained through simulations or experimental measurements. p denotes the breathing rate of the susceptible individual, reflecting the amount of air inhaled over time. refers to the exposure duration, indicating how long the individual is exposed to the contaminated environment. is the volume of the space or room, determining how much air is present to dilute the pathogen concentration. By integrating these factors, the Gammaitoni–Nucci equation offers a more nuanced infection risk estimate where higher pathogen concentrations, increased exposure time, or higher breathing rates raise the likelihood of infection.
After evaluating the infection risk, a risk matrix was constructed to assess the likelihood and potential impact of events [39]. Experts provided judgment to classify risk, probability, and impact into five distinct levels, assigning scores between 0 and 10. The event’s impact was measured by calculating the average infection probability for individuals susceptible to the disease within an indoor environment, as summarized in Table 1.
Table 1.
Consequence level and score based on infection probability.
2.3. Wilcoxon Rank-Sum Test and Cliff’s Delta Analysis
In this study, Null Hypothesis Significance Testing (NHST) is applied to assess how different operational factors, including door positions (open/closed) and ventilation rates, influence pollutant dispersion [40]. The analysis considers both the sample size and effect magnitude. To compare concentration differences within specific regions of the flow field across different ventilation and door operation scenarios, two non-parametric statistical methods are applied: (i) the Wilcoxon rank-sum test (or U-test) [41] and (ii) Cliff’s Delta [42]. The Wilcoxon rank-sum test assesses whether there is a significant difference between the medians of two samples. A p-value ≤ 0.05 suggests rejecting the null hypothesis, which assumes no difference, in favor of the alternative hypothesis. Cliff’s Delta quantifies the magnitude of the difference between groups, complementing the p-value by providing an effect size. The absolute value of |d| categorizes the effect size as negligible (|d| < 0.147), small (0.147 ≤ |d| < 0.33), moderate (0.33 ≤ |d| < 0.474), or large (|d| ≥ 0.474).
2.4. Simplified Human Model and Breathing Conditions
This study, based on typological principles [43], analyzes the spatial organization of residential living areas in Wuhan, China, using data from 220 housing units collected from 13 districts and 77 neighborhoods between 2018 and 2024. The goal is to better understand common spatial patterns in Wuhan’s residential architecture.
The analysis involved gathering data on each unit, focusing on room areas, aspect ratios, orientation, and the connections between rooms. Using typological principles, housing units were categorized by adjacent room pairs (e.g., bedroom–living room, kitchen–living room), and the frequency of each spatial combination was calculated across all samples.
The results show that, in 82% of the units, the bedroom and living room are directly connected, indicating that this layout is a common feature in Wuhan homes. In contrast, other combinations, such as living room–kitchen (45%), bedroom–balcony (30%), and bedroom–bathroom (20%) are less frequent. The bedroom–bathroom pairing is often seen in master bedroom designs.
This high frequency of bedroom–living room adjacency highlights the importance of these spaces as primary living areas in typical layouts. Further analysis revealed distinct patterns in area ratios, orientation, and aspect ratios. Bedrooms have an average area of 12.5 square meters, with most having an aspect ratio of 1:1 to 1:1.5 (around 42%). Living rooms have an average size of 29 square meters, with aspect ratios mostly greater than 1:1.5 (over 50%). Additionally, 64% of bedrooms and living rooms face south, while only 12% of living rooms achieve cross-ventilation from south to north.
Based on statistical analysis, a typical spatial pattern emerged: a 13-square-meter south-facing bedroom connected by a hinged door to a 27.6-square-meter living room which has a room in the north.
To simulate a realistic cross-infection scenario, this study assumes a flu patient lying in the south-side bedroom, with the mouth as the infection source. For simplicity, the patient’s model is reduced to a rectangular shape due to the complexity of human geometry. The bedroom’s south wall includes a fully opened window as an inlet boundary, while the living room’s south sliding door remains closed and sealed, with the north door connecting to other rooms, serving as the outlet boundary.
The primary areas of focus in this study are the breathing height regions (1 to 1.5 m) in the living room, dining room, and bedroom. To explore the impact of door movements on aerosol spread, a sensor was placed near the door to monitor changes in concentration. Specific study areas are shown in Figure 1a,b.
Figure 1.
Schematic diagram of the computational domain. (a) 2D floor plan. (b) 3D schematic zone.
2.5. Case Setting and Boundary Conditions
According to Xiong’s previous research [44], under strong outdoor wind conditions (wind speed of 3 m/s), the wind speed at the window for single-sided ventilation rooms near Wuhan’s street valleys is 0.102 m/s. In weaker outdoor wind conditions (0.5 m/s), the wind speed at the window drops to 0.0095 m/s. In this study, these two wind speeds are set as constant airflow conditions for the south-facing window. This simplification assumes consistent wind speeds, ignoring the dynamic variations that could occur in real-world conditions due to changing outdoor wind patterns.
To simplify the model, the mouth and nose are represented by a circular opening with a 5 cm diameter. The breathing rate is modeled as a sine function, with a peak exhalation speed of 1.66 m/s [45], an aerosol concentration of 0.092 particles/cm3 [46,47], and a breathing rate of 15 breaths per minute. The human model was treated as static and simplified to focus on the key aspects of aerosol transmission, without accounting for more complex factors like movement, varied breathing patterns, or interactions with the environment. While this approach abstracts away complex behaviors, it also ensures that the focus remains on how fixed environmental and architectural factors—such as door movements and ventilation conditions—affect the spread of aerosols. The novelty of this simplification lies in its ability to study aerosol dynamics in controlled, reproducible settings while providing insights into how confined spaces influence exposure risk in more predictable ways. Detailed parameters are shown in Table 2.
Table 2.
Standard calculation conditions.
Some simulation scenarios incorporate door movements, including a steady opening motion (lasting 4 s to a 90° angle), a 7 s pause, and a subsequent closing motion of 4 s (also at 90°), as shown in Figure 2. The door movement is modeled with a constant speed and fixed duration, without accounting for variability in human behavior or differing door opening speeds in real-life situations. The initial flow field for Cases 2 through 5 builds on the equilibrium results from Case 1. For instance, in Case 2, all windows remain closed, and natural breathing leads to passive aerosol dispersion over 12 h, allowing the flow field to stabilize to the state of Case 1. Subsequently, the bedroom window is opened during strong outdoor wind, and the door undergoes the described opening, pause, and closing sequence (lasting approximately 15 s) while the simulation runs for an additional 2 h. Similar configurations are applied in the remaining cases.
Figure 2.
Case settings.
3. Result and Discussion
3.1. Aerosol Leakage Through Door Gaps Without Ventilation
In the absence of ventilation, aerosol leakage through the door gap is negligible compared to the aerosols emitted from breathing, as illustrated in Figure 3. In such conditions, aerosol concentration in the bedroom steadily increases over time, while levels in the living and dining rooms remain consistently low (<0.04), indicating minimal diffusion into adjacent spaces. These results suggest that, without active airflow, most aerosols are effectively contained within the bedroom, thereby limiting their spread to other areas.
Figure 3.
Pollutant relative average concentrations in regions.
Time-averaged analysis of aerosol concentration in the flow field (as shown in Figure 4) reveals significant aerosol accumulation near the door gap. The escaping airflow creates two distinct swirling vortices outside the bedroom, one rotating counterclockwise on the north side and the other clockwise on the south side, which limit the further spread of aerosols due to turbulence and gravitational settling. These vortices are symmetrically distributed and slowed by both turbulence and gravity.
Figure 4.
Flow patterns and concentration distribution across different sections. (a) Streamlines and concentration distribution at z = 0.7 m. (b) Streamlines and concentration distribution at x = 1 m.
Figure 4a shows the horizontal section at z = 0.7 m, where aerosol accumulation patterns are prominent. The rotational vortices on the north and south sides outside the door gap create localized high-concentration zones, while areas farther away from the door show negligible aerosol accumulation due to the limited airflow. Near the south wall, the slower airflow leads to more pronounced aerosol buildup, which highlights the effect of reduced airflow velocity on particle stagnation.
Figure 4b illustrates the vertical section at x = 1 m, showing how aerosols escape through the door gap. The escaping flow forms a high-concentration zone just outside the door, characterized by two circulating vortices that trap aerosols near the door region. The vertical section also highlights how aerosol movement slows as it moves away from the door, further supporting the observation of limited dispersion into adjacent areas.
3.2. Effects of Natural Ventilation Rates
3.2.1. Effect of Ventilation Rates on Door Gap Leakage
Figure 5 illustrates the average aerosol concentrations observed in various breathing zones under different ventilation rates. After briefly opening the window, the rapid increase in ventilation significantly enhances aerosol transport, causing a concentration peak outside the bedroom. Under low outdoor wind speeds (Case 5), a single peak appears and stabilizes at a relatively high concentration of about 0.07, while, under higher wind speeds (Case 3), multiple peaks occur as ventilation accelerates the removal and redistribution of aerosols.
Figure 5.
The average concentration of breathing area changes over time under different ventilation rates. (a) The average concentration of the breathing zone in the dining room changes over time. (b) The average concentration of the breathing zone in the living room changes over time.
Figure 5a illustrates the concentration changes over time in the dining room. In Case 3 (high ventilation), the aerosol concentration peaks early, around 2000 s, and then steadily declines due to efficient ventilation clearing aerosols from the area. In contrast, Case 5 (low ventilation) shows a slower rise in concentration, which eventually stabilizes at higher values, indicating slower removal of aerosols and prolonged exposure risks.
Figure 5b depicts the concentration trends in the living room. Similar patterns are observed, with Case 3 showing a rapid decline after peaking, while Case 5 exhibits slower aerosol buildup and sustained high concentrations. This slower reduction under low wind speeds demonstrates the inefficiency of weak ventilation in clearing aerosols.
These observations highlight that ventilation rate plays a critical role in mitigating aerosol concentration levels in adjacent spaces. Higher ventilation rates significantly accelerate the dilution and removal of aerosols, whereas lower ventilation rates result in slower dispersion and prolonged aerosol accumulation. From a practical perspective, this suggests that, during periods of increased aerosol release, such as window openings, it is essential to prioritize effective ventilation strategies to minimize the aerosol concentration in adjacent areas.
3.2.2. Effect of Outdoor Wind Speed on Aerosol Leakage During Door Opening
By comparing scenarios with and without door opening actions at the same ventilation rate, it was observed that door opening significantly influenced the airflow pattern. Sensor 1, positioned near the door and highly responsive to airflow changes, was analyzed during the timeframe of 3600 to 10,800 s to capture the specific impact of door opening.
In Cases 2 and 3, the door opening event at 3600 s led to a noticeable but temporary reduction in aerosol concentration, as depicted in Figure 6a, indicating a clear dilution effect. This phenomenon occurs because, under high outdoor wind speed, the aerosol concentrations inside and outside the bedroom are relatively similar. When the door is opened, the aerosols accumulated near the door quickly disperse, temporarily reducing the concentration (p ≤ 0.05, |d| < 0.147).
Figure 6.
Influence of outdoor wind speed and door status on relative average concentration at Sensor 1. (a) Strong ambient outdoor wind speed condition. (b) Weak ambient outdoor wind speed condition.
Conversely, in Cases 4 and 5, where outdoor wind speeds were lower, the door opening event at 3600 s resulted in significant aerosol leakage. Sensor 1 detected several sharp concentration peaks, revealing that the aerosol levels were roughly three times higher than those from door gap leakage alone, as illustrated in Figure 6b. In this scenario, aerosol dispersion was slower, requiring around 3000 s for complete clearance, making the impact of the door opening action on aerosol spread more pronounced (p ≤ 0.05, |d| ≥ 0.474). Due to the reduced dispersion under low wind speed, it is advisable to avoid staying near the door shortly after it is opened to reduce exposure risk.
Overall, these findings suggest that outdoor wind speed plays a critical role in the dilution and spread of aerosols caused by door opening actions. Under high wind speed conditions, door opening aids in the rapid dilution of aerosols near the door, whereas, at low wind speeds, door opening may lead to significant aerosol leakage, increasing exposure risk.
Unlike most of the existing literature that only focuses on static analysis of airflow and aerosol concentration, this study systematically analyzes the interaction of multiple factors such as door gap leakage, door opening and closing actions, and outdoor wind speed for the first time, and proposes a new time-based dynamic infection risk assessment method. Through this method, we can more accurately predict the infection risk in various areas of the home environment, providing a practical solution for indoor air transmission control.
3.3. Infection Risk
Figure 7 depicts the infection risk trends in different areas outside the bedroom, including the living room, dining room, and the monitoring point near the door (Sensor 1), under extended conditions without ventilation. Over the 12 h simulation period, the infection risk at Sensor 1 increases linearly and is relatively higher compared to other locations. This is because Sensor 1 is positioned near the bedroom door, where aerosol leakage through the door gap is most concentrated. However, even at Sensor 1, the infection risk remains extremely low, peaking at values on the order of 10-6, which can be considered negligible. The infection risk in the living room and dining room remains nearly constant at very low levels, indicating minimal aerosol diffusion into these spaces. Figure 7 highlights that, in the absence of ventilation, aerosol leakage remains confined to the immediate vicinity of the door, resulting in minimal infection risk for adjacent spaces, even with prolonged exposure.
Figure 7.
Infection risk with no ventilation.
This indicates that, in the absence of ventilation, while a small amount of aerosol may diffuse through the door gap or minor airflow into adjacent spaces, the spread is limited, and the infection risk remains minimal. Consequently, even with prolonged presence in adjacent spaces, the infection risk is still very low. These results suggest that, in scenarios where the source room lacks ventilation, the infection risk in adjacent rooms remains relatively low.
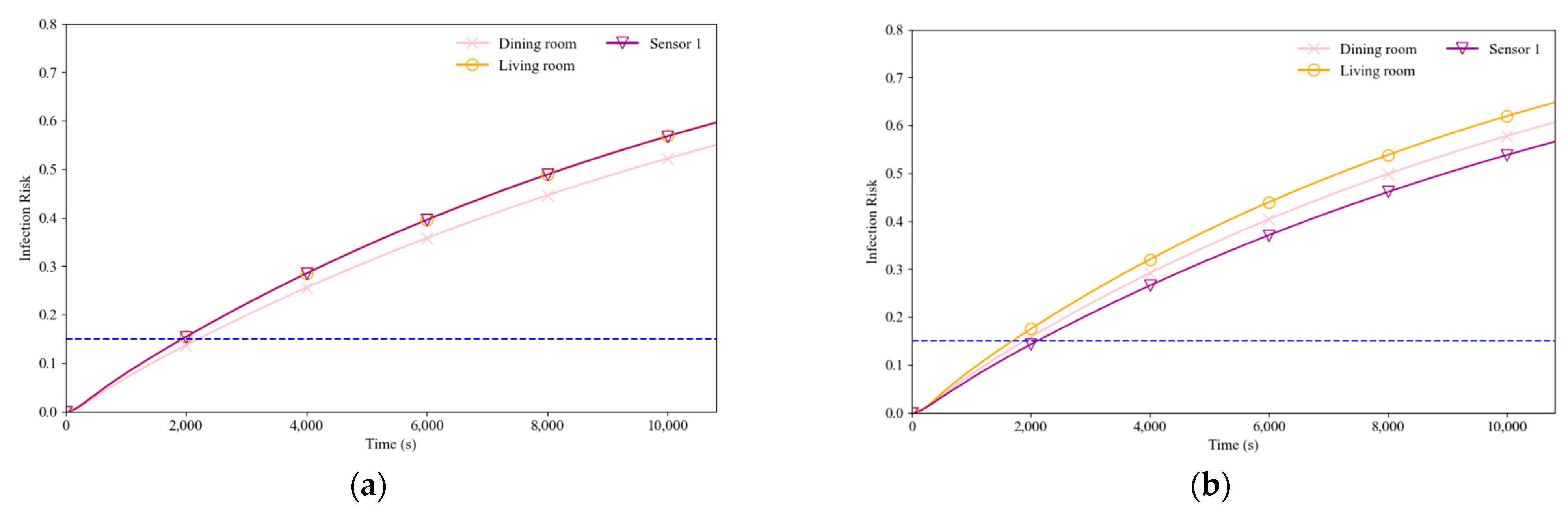
Figure 8 illustrates infection risk trends under weak and strong outdoor wind speed conditions for different areas outside the bedroom. Figure 8a represents the scenario under weak outdoor wind speed (Case 4). The infection risk at Sensor 1 increases steadily over time, reaching approximately 0.55 after 10,800 s, which is significantly higher than the risk observed in the living room and dining room. The higher infection risk near the door highlights the impact of localized aerosol buildup due to weaker airflow and slower dispersion. The dining room and living room maintain relatively low infection risk levels (below 0.2), suggesting that weak wind conditions limit aerosol transport into distant areas. Figure 8b shows the infection risk trends under strong outdoor wind speed conditions (Case 2). In this case, the infection risk increases more gradually and stabilizes at lower levels compared to weak wind conditions. The infection risk at Sensor 1 peaks at around 0.35, which is significantly reduced compared to Case 4, demonstrating the beneficial effect of strong outdoor wind in enhancing aerosol dilution and transport away from the door region.
Figure 8.
Infection risk in strong and weak ambient outdoor wind speed condition. (a) Weak ambient outdoor wind speed condition (Case 4). (b) Strong ambient outdoor wind speed condition (Case 2).
The comparison in Figure 8a,b emphasizes the importance of considering wind speed when assessing infection risk. Under weak wind conditions, prolonged exposure near the door region (Sensor 1) poses a higher risk due to slower aerosol clearance and local accumulation. In contrast, strong wind conditions provide enhanced dilution effects, reducing infection risk in all adjacent areas. These results demonstrate that outdoor wind speed plays a crucial role in mitigating infection risk. Under weak wind conditions, aerosol leakage through the door gap accumulates near the source, increasing infection risk in the immediate vicinity. In contrast, strong wind speeds promote better airflow exchange, reducing aerosol concentrations and subsequently lowering infection risk.
These findings suggest that, to minimize infection risk in adjacent spaces, proper ventilation should be implemented to complement natural wind effects, especially in scenarios where airflow exchange is limited. Moreover, individuals should avoid staying near the door region, particularly under weak wind conditions, as it is the primary area for aerosol buildup and higher infection risk. The results further highlight that maintaining stronger outdoor wind conditions or introducing mechanical ventilation can significantly reduce aerosol concentration and associated infection risks.
4. Conclusions, Suggestions, and Limitations
This study provides a new analytical framework through the application of CFD models which can dynamically evaluate aerosol concentration and infection risk in household environments under different wind speeds and door management conditions. Our work provides new insights into optimizing ventilation strategies in residential environments and reducing the risk of airborne transmission. At the same time, this method also has important application prospects for environments such as medical institutions, office buildings, and schools. First, we analyzed the time-averaged spatial distribution of aerosol concentration outside the bedroom and the airflow characteristics. Next, we examined how aerosols disperse under different outdoor wind speeds, exploring the effects of factors like wind speed, door gap, and door operation actions on aerosol concentration and infection risk at various areas. Then, we assessed the relationship between aerosol concentration and infection risk in each area, evaluating how different ventilation conditions impact infection risk trends. Finally, we provided practical recommendations and future research directions based on the findings. The findings can also be applied to non-residential settings, such as offices and healthcare facilities, where controlling airborne transmission is crucial to protecting workers, patients, and visitors. Understanding aerosol movement in these environments is essential for optimizing ventilation systems and minimizing the risk of cross-infection. The key findings of this study are summarized as follows:
Depending on ventilation conditions, both door gaps and door opening actions contribute to aerosol leakage, creating potential exposure risks for individuals in adjacent areas.
- In the absence of ventilation, aerosol leakage through door gaps minimally affects aerosol concentrations in neighboring spaces, resulting in a very low infection risk. This indicates that maintaining isolation in a sealed room can effectively minimize infection risk in surrounding spaces. These recommendations are important for both residential and non-residential settings such as offices or clinics where proximity to an infected individual could pose a risk.
- With ventilation, door gaps can lead to aerosol leakage into adjacent spaces, where prolonged exposure might increase infection risk. Therefore, staying in adjacent areas should be limited to less than 75 min.
- As outdoor wind speed increases, door gap leakage intensifies, raising infection risk in neighboring areas; however, overall infection risk is only slightly affected by outdoor wind speed.
- In residential bedroom design, the size of door gaps is a key factor influencing infection prevention effectiveness. Selecting doors with good sealing properties can help minimize aerosol leakage.
In summary, this study offers important insights for developing effective prevention strategies by comprehensively examining aerosol transmission patterns between indoor and adjacent spaces in isolation settings and their influence on infection risk. The findings are applicable across different building types and climates, making them relevant to a wide range of indoor environments, from residential homes to offices, healthcare facilities, and schools. Understanding aerosol movement in these settings, considering factors such as building layout, ventilation systems, and local climate conditions, is essential for optimizing air quality and minimizing the risk of cross-infection. Based on the findings, we propose the following practical recommendations for both residential and non-residential settings, such as workplaces and healthcare facilities:
- Placing an infected person in a relatively sealed room is a safe approach to protect other household members as the infection risk in adjacent spaces remains negligible in this setup. This recommendation is equally relevant across various climates, where the internal environmental conditions (temperature and humidity) may differ but can still be controlled through appropriate sealing.
- If ventilation is needed in the infected person’s room, it is recommended that individuals in adjacent spaces limit their stay to less than 75 min to keep infection risk below 30%. For a reduced risk of 15%, the stay time should be limited to 35 min or less. These recommendations are applicable in both residential and non-residential settings, and adjustments can be made depending on the specific building characteristics and local climate conditions.
- When frequent door opening is necessary for the infected person’s room, it is best to do so when higher outdoor wind speeds increase the air exchange rate in the room, helping to lower the risk in nearby areas.
- When there is an infectious person present, individuals in adjacent spaces should aim to stay in well-ventilated areas and avoid standing near downwind walls where aerosol concentration may be higher.
- In residential bedroom design, the size of door gaps is a key factor influencing infection prevention effectiveness. Selecting doors with good sealing properties can help minimize aerosol leakage. These principles can be adapted to healthcare facilities and offices by choosing doors that balance air circulation and containment needs.
To simplify the simulation process, this study assumes a uniform distribution of aerosol particles, omitting the influence of furniture, occupants, and other obstructions on airflow dynamics. While these assumptions facilitate modeling, they may limit the precision of the results. The analysis focuses on common adjacent space layouts in typical Wuhan residences, utilizing two fixed wind speeds to represent strong and weak airflow conditions. However, real-world wind speed variations can substantially affect aerosol behavior and ventilation effectiveness; stronger winds typically improve ventilation and decrease aerosol accumulation, whereas weaker winds may lead to inadequate airflow and higher particle concentrations. Future research should incorporate variable wind conditions, diverse building configurations, and regional climatic factors to enhance the applicability and realism of simulation outcomes across different environments.
This study utilizes an influenza dose–response model to estimate infection risks for COVID-19 and other respiratory diseases. However, differences in pathogen characteristics and transmission mechanisms present limitations. While the influenza model provides a foundational basis, it may not fully represent the transmission dynamics of COVID-19. Simplifying the model by assuming similarities between the two diseases could lead to inaccuracies. Future studies should focus on developing a COVID-19-specific dose–response model that incorporates its aerosol properties and transmission data. To improve the accuracy and reliability of these models, validation using experimental data and epidemiological findings related to COVID-19 is crucial. Moreover, developing models that can be tailored to different respiratory illnesses would enhance their utility in assessing infection risks across a broader range of scenarios.
Lastly, this study assumes constant temperature and humidity levels, which may not reflect real-world conditions. In practice, temperature and humidity can vary across different indoor environments, and such variations may influence aerosol behavior and transmission risk. This simplification may limit the generalizability of the findings, and future studies should consider incorporating dynamic temperature and humidity models to better reflect real-world conditions. The simplified assumptions in this study, such as uniform aerosol distribution and the exclusion of interactions with furniture and occupants, may lead to discrepancies when predicting aerosol behavior. In real-world conditions, particle distribution is often uneven, and interactions with the environment are complex. Future studies should aim to include factors such as furniture placement, human activity, and a variety of room configurations to improve the precision and practicality of simulation results. Moreover, incorporating experimental data for validation is essential to bridge the gap between theoretical models and actual scenarios, ensuring more accurate predictions and broader applicability.
Author Contributions
Conceptualization, X.W., M.H. and H.C.; methodology, X.W., M.H. and H.C.; software, X.W.; validation, X.W.; formal analysis, X.W.; investigation, X.W., M.H. and H.C.; re-sources, X.W.; data curation, X.W., M.H. and H.C.; writing—original draft preparation, X.W.; writing—review and editing, X.W.; visualization, X.W.; supervision, H.C. and M.H.; project administration, M.H.; funding acquisition, H.C. All authors have read and agreed to the published version of the manuscript.
Funding
This study was supported by the National Natural Science Foundation of China no. 51778251 and the National Natural Science Foundation of China project no. 52208059.
Data Availability Statement
Dataset available on request from the authors.
Conflicts of Interest
The authors declare no conflict of interest.
Appendix A. Turbulence Model Selection
The double-room model utilized in this study is based on Alvin’s experiment [38], which has been widely used to examine indoor air quality. The model measures 0.8 m in length, 0.4 m in width, and 0.4 m in height (as depicted in Figure A1) and features two symmetrical sections separated by a centrally aligned opening. This opening, situated along the room’s central plane, measures 0.08 m in width (y) and 0.24 m in height (z).
The inlet and outlet share the same dimensions and are positioned 2 cm from the ceiling and floor, respectively. The inlet airflow velocity is maintained at 0.225 m/s, with an air change rate (ACH) of 10−1, scaled using a Reynolds number of 600. This Reynolds number serves as the basis for scaling airflow properties.
Simulations assume clean air as the initial condition, with 10-micrometer particles introduced continuously at a steady rate. The particles have a density of approximately 1550 kg/m3. To validate the model, three turbulence approaches were tested, and the results were compared against experimental data to ensure accuracy and reliability.
Figure A1.
Schematic diagram of the computational domain.
Figure A1.
Schematic diagram of the computational domain.

To evaluate particle velocity and concentration within the double-room model, this study introduces a relative concentration metric, normalizing the inlet concentration to 1. Figure A2 illustrates a comparison of experimentally measured and simulated velocity and particle concentration along the x-axis. The simulation outcomes show strong agreement with the experimental trends, indicating good overall consistency.
The Mean Squared Errors (MSE) for velocity predictions were calculated for three turbulence models: the RNG k-ε model (0.072), the standard k-ε model (0.122), and the k-ω SST model (0.165). Similarly, the MSE values for particle concentration were 0.11, 0.2, and 0.17, respectively. These results highlight the superior performance of the RNG k-ε model, which demonstrated the highest accuracy in predicting both velocity and particle concentration. Consequently, this model was chosen for subsequent analyses due to its reliability and precision.
Figure A2.
Comparison of observed and simulated values for velocity and particle concentration.
Figure A2.
Comparison of observed and simulated values for velocity and particle concentration.

Appendix B. Grid Independence Verification
To verify grid independence, the velocity variation over time at Sensor 1 was selected as the evaluation criterion, as this location effectively reflects the critical flow characteristics. Simulations were conducted using grids with 159,072, 1,208,580, and 9,668,640 cells under a 45° door opening condition for a duration of 300 s.
Figure A3 presents the simulation results for different grid resolutions. Figure A4 shows the velocity variations at Sensor 1 over the 300 s period. As the grid resolution increases, the simulation results gradually stabilize, and the differences between the results of finer and coarser grids diminish.
This observation indicates that, with 1,208,580 grid cells, the results are sufficiently accurate, and further increasing the grid resolution has a negligible effect on the velocity variation. Therefore, it can be concluded that 1,208,580 grid cells satisfy the grid independence requirement. Subsequent simulations will adopt this grid resolution for further analysis.
Figure A3.
Different numbers of grids. (a) 159072 grids. (b) 1208580 grids. (c) 9668640 grids.
Figure A3.
Different numbers of grids. (a) 159072 grids. (b) 1208580 grids. (c) 9668640 grids.

Figure A4.
Velocity at Sensor 1 over 300 s.
Figure A4.
Velocity at Sensor 1 over 300 s.

References
- Baker, R.E.; Mahmud, A.S.; Miller, I.F.; Rajeev, M.; Rasambainarivo, F.; Rice, B.L.; Takahashi, S.; Tatem, A.J.; Wagner, C.E.; Wang, L.-F.; et al. Infectious disease in an era of global change. Nat. Rev. Microbiol. 2022, 20, 193–205. [Google Scholar] [CrossRef] [PubMed]
- Islam, M.S.; Rahman, K.M.; Sun, Y.; Qureshi, M.O.; Abdi, I.; Chughtai, A.A.; Seale, H. Current knowledge of COVID-19 and infection prevention and control strategies in healthcare settings: A global analysis. Infect. Control. Hosp. Epidemiol. 2020, 41, 1196–1206. [Google Scholar] [CrossRef] [PubMed]
- Madewell, Z.J.; Yang, Y.; Longini, I.M.; Halloran, M.E.; Dean, N.E. Household transmission of SARS-CoV-2: A systematic review and meta-analysis. JAMA Netw. Open 2020, 3, e2031756. [Google Scholar] [CrossRef] [PubMed]
- Cheng, C.L.; Lin, Y.Y. Investigation into the Potential Transmission of Infectious Diseases Through Residential Building Drainage Systems. Available at SSRN 4769753 (n.d.). Available online: https://papers.ssrn.com/sol3/papers.cfm?abstract_id=4769753 (accessed on 30 December 2024).
- Zlotorzynska, M.; Chea, N.; Eure, T.; Ramirez, R.A.; Blazek, G.T.; Czaja, C.A.; Johnston, H.; Barter, D.; Kellogg, M.; Emanuel, C. Residential social vulnerability among healthcare personnel with and without severe acute respiratory coronavirus virus 2 (SARS-CoV-2) infection in Five US states, May–December 2020. Infect. Control Hosp. Epidemiol. 2024, 45, 82–88. [Google Scholar] [CrossRef]
- Zhang, R.; Wang, Y.; Lv, Z.; Pei, S. Evaluating the impact of stay-at-home and quarantine measures on COVID-19 spread. BMC Infect. Dis. 2022, 22, 648. [Google Scholar] [CrossRef] [PubMed]
- Liu, Y.; Chai, Y.-H.; Wu, Y.-F.; Zhang, Y.-W.; Yang, L.; Shi, Y.-H.; Wang, L.-L.; Zhang, L.-S.; Chen, Y.; Fan, R.; et al. Risk factors associated with indoor transmission during home quarantine of COVID-19 patients. Front. Public Health 2023, 11, 1170085. [Google Scholar] [CrossRef]
- Tami, A.; van der Gun, B.T.F.; Wold, K.I.; Vincenti-González, M.F.; Veloo, A.C.M.; Knoester, M.; Harmsma, V.P.R.; de Boer, G.C.; Huckriede, A.L.W.; Pantano, D.; et al. The COVID HOME study research protocol: Prospective cohort study of non-hospitalised COVID-19 patients. PLoS ONE 2022, 17, e0273599. [Google Scholar] [CrossRef] [PubMed]
- He, X.; Lau, E.H.Y.; Wu, P.; Deng, X.; Wang, J.; Hao, X.; Lau, Y.C.; Wong, J.Y.; Guan, Y.; Tan, X.; et al. Temporal dynamics in viral shedding and transmissibility of COVID. Nat. Med. 2020, 26, 672–675. [Google Scholar] [CrossRef] [PubMed]
- Elsaid, A.M.; Ahmed, M.S. Indoor Air Quality Strategies for Air-Conditioning and Ventilation Systems with the Spread of the Global Coronavirus (COVID-19) Epidemic: Improvements and Recommendations. Environ. Res. 2021, 199, 111314. [Google Scholar] [CrossRef] [PubMed]
- Hobeika, N.; García-Sánchez, C.; Bluyssen, P.M. Assessing indoor air quality and ventilation to limit aerosol disper-sion—Literature review. Buildings 2023, 13, 742. [Google Scholar] [CrossRef]
- Ferrari, S.; Blázquez, T.; Cardelli, R.; Puglisi, G.; Suárez, R.; Mazzarella, L. Ventilation strategies to reduce airborne transmission of viruses in classrooms: A systematic review of scientific literature. Build. Environ. 2022, 222, 109366. [Google Scholar] [CrossRef] [PubMed]
- Izadyar, N.; Miller, W. Ventilation strategies and design impacts on indoor airborne transmission: A review. Build. Environ. 2022, 218, 109158. [Google Scholar] [CrossRef]
- Lipinski, T.; Ahmad, D.; Serey, N.; Jouhara, H. Review of ventilation strategies to reduce the risk of disease transmission in high occupancy buildings. Int. J. Thermofluids 2020, 7, 100045. [Google Scholar] [CrossRef]
- Tang, S.; Mao, Y.; Jones, R.M.; Tan, Q.; Ji, J.S.; Li, N.; Shen, J.; Lv, Y.; Pan, L.; Ding, P. Aerosol transmission of SARS-CoV-2? Evidence, prevention and control. Environ. Int. 2020, 144, 106039. [Google Scholar] [CrossRef]
- Fang, X.; Li, X.; Yan, Y.; Tao, Y.; Chen, Z.; Yan, P. Analysis of occupants’ exposure risk of cough-expelled droplets in the workspace with various mixing ventilation layouts. Exp. Comput. Multiph. Flow 2022, 4, 389. [Google Scholar] [CrossRef]
- Hung, T.-Y.; Wen, C.-S.; Yu, S.-H.; Chen, Y.-C.; Chen, H.-L.; Chen, W.-L.; Wu, C.-C.; Su, Y.-C.; Lin, C.-L.; Hu, S.-C.; et al. A comparative analysis of aerosol exposure and prevention strategies in bystander, pre-hospital, and inpatient cardiopulmonary resuscitation using simulation manikins. Sci. Rep. 2023, 13, 12552. [Google Scholar] [CrossRef] [PubMed]
- Dey, S.; Tunio, M.; Boryc, L.C.; Hodgson, B.D.; Garcia, G.J.M. Quantifying strategies to minimize aerosol dispersion in dental clinics. Exp. Comput. Multiph. Flow 2023, 5, 290–303. [Google Scholar] [CrossRef]
- Nazari, A.; Wang, C.; He, R.; Taghizadeh-Hesary, F.; Hong, J. Numerical investigation of airborne infection risk in an elevator cabin under different ventilation designs. Phys. Fluids 2023, 35, 063318. [Google Scholar] [CrossRef]
- Schimmoller, B.J.; Trovão, N.S.; Isbell, M.; Goel, C.; Heck, B.F.; Archer, T.C.; Cardinal, K.D.; Naik, N.B.; Dutta, S.; Daniel, A.R.; et al. COVID-19 Exposure Assessment Tool (CEAT): Exposure quantification based on ventilation, infection prevalence, group characteristics, and behavior. Sci. Adv. 2022, 8, eabq0593. [Google Scholar] [CrossRef]
- Cheung, T.; Tham, K.W. Effects of ceiling fan and window exhaust on aerosol transmission risk during home quarantine situation. In Proceedings of the 11th International Conference on Indoor Air Quality, Ventilation & Energy Conservation in Buildings (IAQVEC2023), Tokyo, Japan, 20–23 May 2023; p. 02006. [Google Scholar]
- Yang, X.; Chen, X.; Nie, C.; Luo, Q.; Hang, J.; Luo, Z. Characteristics of droplet dispersion and interpersonal exposure in indoor and outdoor dining areas of urban street: Elementary numerical investigations. Build. Environ. 2024, 258, 111605. [Google Scholar] [CrossRef]
- Al-Rikabi, I.J.; Karam, J.; Alsaad, H.; Ghali, K.; Ghaddar, N.; Voelker, C. The impact of mechanical and natural ventilation modes on the spread of indoor airborne contaminants: A review. J. Build. Eng. 2024, 85, 108715. [Google Scholar] [CrossRef]
- Alqarni, Z.; Rezgui, Y.; Petri, I.; Ghoroghi, A. Viral infection transmission and indoor air quality: A systematic review. Sci. Total. Environ. 2024, 923, 171308. [Google Scholar] [CrossRef] [PubMed]
- Wang, J.; Pan, Z.; Tang, H.; Guo, W. Assessment of airborne viral transmission risks in a large-scale building using onsite measurements and CFD method. J. Build. Eng. 2024, 95, 110222. [Google Scholar] [CrossRef]
- Vardoulakis, S.; Oyarce, D.A.E.; Donner, E. Transmission of COVID-19 and other infectious diseases in public washrooms: A systematic review. Sci. Total. Environ. 2021, 803, 149932. [Google Scholar] [CrossRef] [PubMed]
- Eykelbosh, A. Contextualizing the Risks of Indirect COVID-19 Transmission in Multi-Unit Residential Buildings; National Collaborating Centre for Environmental Health: Vancouver, BC, Canada, 2021. [Google Scholar]
- Zhen, Q.; Zhang, A.; Huang, Q.; Li, J.; Du, Y.; Zhang, Q. Overview of the role of spatial factors in indoor SARS-CoV-2 transmission: A space-based framework for assessing the multi-route infection risk. Int. J. Environ. Res. Public Health 2022, 19, 11007. [Google Scholar] [CrossRef] [PubMed]
- Xu, J. The Impact of Epidemics on Future Residential Buildings in China; Rochester Institute of Technology: Rochester, NY, USA, 2020. [Google Scholar]
- Ghaddar, N.; Ghali, K. Ten questions concerning the paradox of minimizing airborne transmission of infectious aerosols in densely occupied spaces via sustainable ventilation and other strategies in hot and humid climates. Build. Environ. 2022, 214, 108901. [Google Scholar] [CrossRef]
- Chien, C.-H.; Cheng, M.; Piljae, I.; Nawaz, K.; Fricke, B.; Armstrong, A. Characterization of the indoor near-field and far-field aerosol transmission in a model commercial office building. MedRxiv 2021. [Google Scholar] [CrossRef]
- Cadnum, J.L.; Jencson, A.L.; Alhmidi, H.; Zabarsky, T.F.; Donskey, C.J. Airflow Patterns in Double-Occupancy Patient Rooms May Contribute to Roommate-to-Roommate Transmission of Severe Acute Respiratory Syndrome Coronavirus. Clin. Infect. Dis. 2022, 75, 2128–2134. [Google Scholar] [CrossRef] [PubMed]
- Farouk, M.I.; Nassar, A.F.; Elgamal, M.H. Numerical Study of the Transmission of Exhaled Droplets between the Instructor and Students in a Typical Classroom. Appl. Sci. 2021, 11, 9767. [Google Scholar] [CrossRef]
- Sinha, K.; Yadav, M.S.; Jayakrishnan, R.; Kumaraswamy, G.; Murallidharan, J.S.; Kumar, V. Field Experiments to Identify and Eliminate Recirculation Zones to Improve Indoor Ventilation: Comparison with CFD. Trans. Indian Natl. Acad. Eng. 2022, 7, 911–926. [Google Scholar] [CrossRef] [PubMed]
- Wu, X.; Han, M.; Chen, H. Mitigating aerosol-induced respiratory infections in home quarantine: The role of door dynamics and ventilation in residential design. Heliyon 2024, 10, e37967. [Google Scholar] [CrossRef]
- Ishii, M. One-Dimensional Drift-Flux Model and Constitutive Equations for Relative Motion Between Phases in Various Two-Phase Flow Regimes; Argonne National Lab.: Lemont, IL, USA, 1977. [Google Scholar]
- Lai, A.C.K.; Nazaroff, W.W. Modeling Indoor Particle Deposition from Turbulent Flow onto Smooth Surfaces. J. Aerosol Sci. 2000, 31, 463–476. [Google Scholar] [CrossRef]
- Gammaitoni, L.; Nucci, M.C. Using a Mathematical Model to Evaluate the Efficacy of TB Control Measures. Emerg. Infect. Dis. 1997, 3, 335–342. [Google Scholar] [CrossRef] [PubMed]
- Duijm, N.J. Recommendations on the use and design of risk matrices. Saf. Sci. 2015, 76, 21–31. [Google Scholar] [CrossRef]
- Gliner, J.A.; Leech, N.L.; Morgan, G.A. Problems with null hypothesis significance testing (NHST): What do the textbooks say? J. Exp. Educ. 2002, 71, 83–92. [Google Scholar] [CrossRef]
- Rosner, B.; Glynn, R.J. Power and Sample Size Estimation for the Wilcoxon Rank Sum Test with Application to Comparisons of C Statistics from Alternative Prediction Models. Biometrics 2009, 65, 188–197. [Google Scholar] [CrossRef] [PubMed]
- Macbeth, G.; Razumiejczyk, E.; Ledesma, R.D. Cliff’s Delta Calculator: A non-parametric effect size program for two groups of observations. Univ. Psychol. 2011, 10, 545–555. [Google Scholar] [CrossRef]
- Shuey, H. The fundamental principles of typology. Psychol. Rev. 1937, 44, 170–182. [Google Scholar] [CrossRef]
- Xiong, Y.; Chen, H. Effects of sunshields on vehicular pollutant dispersion and indoor air quality: Comparison between iso-thermal and nonisothermal conditions. Build. Environ. 2021, 197, 107854. [Google Scholar] [CrossRef]
- Van Strien, J.; Shrestha, K.; Gabriel, S.; Lappas, P.; Fletcher, D.F.; Singh, N.; Inthavong, K. Pressure distribution and flow dynamics in a nasal airway using a scale resolving simulation. Phys. Fluids 2021, 33, 011907. [Google Scholar] [CrossRef]
- Morawska, L. Environmental Aerosol Physics; Queensland University of Technology: Brisbane, Australia, 2003. [Google Scholar]
- Morawska, L.J.G.R.; Johnson, G.R.; Ristovski, Z.D.; Hargreaves, M.; Mengersen, K.; Corbett, S.; Chao, C.Y.H.; Li, Y.; Katoshevski, D. Size distribution and sites of origin of droplets expelled from the human respiratory tract during expiratory activities. J. Aerosol Sci. 2009, 40, 256–269. [Google Scholar] [CrossRef]
- Alford, R.H.; Kasel, J.A.; Gerone, P.J.; Knight, V. Human influenza resulting from aerosol inhalation. Proc. Soc. Exp. Biol. Med. 1966, 122, 800–804. [Google Scholar] [CrossRef] [PubMed]
- Orr, C.; Hurd, F.; Corbett, W.J. Aerosol size and relative humidity. J. Colloid Sci. 1958, 13, 472–482. [Google Scholar] [CrossRef]
Disclaimer/Publisher’s Note: The statements, opinions and data contained in all publications are solely those of the individual author(s) and contributor(s) and not of MDPI and/or the editor(s). MDPI and/or the editor(s) disclaim responsibility for any injury to people or property resulting from any ideas, methods, instructions or products referred to in the content. |
© 2024 by the authors. Licensee MDPI, Basel, Switzerland. This article is an open access article distributed under the terms and conditions of the Creative Commons Attribution (CC BY) license (https://creativecommons.org/licenses/by/4.0/).







