Prediction of the Unconfined Compressive Strength of a One-Part Geopolymer-Stabilized Soil Using Deep Learning Methods with Combined Real and Synthetic Data
Abstract
1. Introduction
2. Deep Learning Models
2.1. ANN
2.2. BPNN
2.3. CNN
2.4. LSTM
2.5. WGAN
2.6. K-Fold Cross-Validation
2.7. Interpretable Methods
2.7.1. Sensitivity Analysis
2.7.2. SHAP
2.7.3. PDP
2.8. Performance Index
3. Methodology
3.1. Workflow of the Current Research
3.2. Data Collection
4. Results and Discussion
4.1. Performance of the DL Models
4.2. Performance of WGAN-CNN
4.3. Interpretable Analysis
4.3.1. Results of Sensitivity Analysis
4.3.2. SHAP Results
4.3.3. PDP Results
5. Conclusions
- (1)
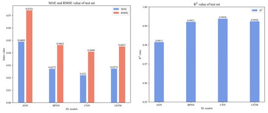
- Four DL models with different principles, constructed based on original data, performed well in predicting the UCS of OPG-stabilized soil. After K-Fold cross-validation, all models achieved an R2 above 0.98, with the MAE controlled below 0.0489. Among them, the CNN showed the best performance (MAE = 0.022, RMSE = 0.0409, R2 = 0.9938), followed by the LSTM (MAE = 0.0274, RMSE = 0.0451, R2 = 0.9924) and BPNN (MAE = 0.0272, RMSE = 0.0462, R2 = 0.9921).
- (2)
- By adding synthetic samples generated by the WGAN models with Dense and Convolutional layers to the training set, the performance of the CNN model improved. The best performance was achieved by the WGAN-CNN model trained with 200 added synthetic samples, in which the R2 values reached 0.9978. Therefore, it can be found that in present study, the addition of synthetic data in the training set can significantly improve the accuracy of the DL model. The synthetic data generated by the WGAN models with the combination of the Dense and Convolutional layers can have more comprehensive distributions with high quality.
- (3)
- Three interpretability analyses (sensitivity analysis, SHAP, and PDP) were conducted on the best-performing CNN and WGAN-CNN models. The results showed that the analyses of both models were essentially the same, identifying the curing time as the most significant factor influencing the UCS. In particular, it was revealed that the UCS of OPG-stabilized soil primarily occurred at later curing times. The moderate addition of FA/GGBFS is beneficial for increasing UCS and holds practical value. The similar observation from the CNN and WGAN-CNN models implied that the DL model with the combined of the real and synthetic data can predict the mechanical properties of OPG-stabilized soil well. The conclusion is that the developed WGAN-CNN model achieved the balance between the resource and accuracy. Moreover, the observation that the WGAN-CNN exhibited the same predictive trend as the CNN based on interpretable methods further validated the effectiveness and rationality of the synthetic data generated by the WGAN model developed in this study.
Author Contributions
Funding
Informed Consent Statement
Data Availability Statement
Acknowledgments
Conflicts of Interest
References
- Yang, H.; Liu, L.; Yang, W.; Liu, H.; Ahmad, W.; Ahmad, A.; Aslam, F.; Joyklad, P. A comprehensive overview of geopolymer composites: A bibliometric analysis and literature review. Case. Stud. Constr. Mat. 2022, 16, e00830. [Google Scholar] [CrossRef]
- Cook, R.; Han, T.; Childers, A.; Ryckman, C.; Khayat, K.; Ma, H.; Huang, J.; Kumar, A. Machine learning for high-fidelity prediction of cement hydration kinetics in blended systems. Mater. Des. 2021, 208, 109920. [Google Scholar] [CrossRef]
- Longarini, N.; Crespi, P.; Zucca, M.; Giordano, N.; Silvestro, G.D. The Advantages of Fly Ash Use in Concrete Structures. Inżynieria Miner. 2014, 15, 141–145. [Google Scholar]
- Borçato, A.G.; Thiesen, M.; Medeiros-Junior, R.A. Incorporation of clay brick wastes and calcium hydroxide into geopolymers: Compressive strength, microstructure, and efflorescence. J. Build. Eng. 2024, 88, 109259. [Google Scholar] [CrossRef]
- Rathnayaka, M.; Karunasinghe, D.; Gunasekara, C.; Wijesundara, K.; Lokuge, W.; David, W.L. Machine learning approaches to predict compressive strength of fly ash-based geopolymer concrete: A comprehensive review. Constr. Build. Mater. 2024, 419, 135519. [Google Scholar] [CrossRef]
- Shamim Ansari, S.; Muhammad Ibrahim, S.; Danish Hasan, S. Conventional and Ensemble Machine Learning Models to Predict the Compressive Strength of Fly Ash Based Geopolymer Concrete. Mater. Today Proc. 2023, in press. [Google Scholar] [CrossRef]
- Cong, P.; Cheng, Y. Advances in geopolymer materials: A comprehensive review. J. Traffic Transp. Eng. (Engl. Ed.) 2021, 8, 283–314. [Google Scholar] [CrossRef]
- Zhang, M.; Guo, H.; El-Korchi, T.; Zhang, G.; Tao, M. Experimental feasibility study of geopolymer as the next-generation soil stabilizer. Constr. Build. Mater. 2013, 47, 1468–1478. [Google Scholar] [CrossRef]
- Cristelo, N.; Glendinning, S.; Teixeira Pinto, A. Deep soft soil improvement by alkaline activation. Proc. Inst. Civ. Eng.-Ground Improv. 2011, 164, 73–82. [Google Scholar] [CrossRef]
- Lei, Z.; Pavia, S.; Wang, X. Biomass ash waste from agricultural residues: Characterisation, reactivity and potential to develop one-part geopolymer cement. Constr. Build. Mater. 2024, 431, 136544. [Google Scholar] [CrossRef]
- Hang, Y.-J.; Heah, C.-Y.; Liew, Y.-M.; Mohd, M.A.B.A.; Lee, Y.-S.; Lee, W.-H.; Phakkhananan, P.; Ong, S.-W.; Tee, H.-W.; Hsu, C.-H. Microwave absorption function on a novel one-part binary geopolymer: Influence of frequency, ageing and mix design. Constr. Build. Mater. 2024, 427, 136264. [Google Scholar]
- Zheng, X.; Wu, J. Early Strength Development of Soft Clay Stabilized by One-Part Ground Granulated Blast Furnace Slag and Fly Ash-Based Geopolymer. Front. Mater. 2021, 8, 616430. [Google Scholar] [CrossRef]
- Min, Y.; Wu, J.; Li, B.; Zhang, J. Effects of Fly Ash Content on the Strength Development of Soft Clay Stabilized by One-Part Geopolymer under Curing Stress. J. Mater. Civ. Eng. 2021, 33, 04021274. [Google Scholar] [CrossRef]
- Jaditager, M.; Sivakugan, N. Consolidation Behavior of Fly Ash-Based Geopolymer-Stabilized Dredged Mud. J. Waterw. Port Coast. Ocean Eng. 2018, 144, 4. [Google Scholar] [CrossRef]
- Phetchuay, C.; Horpibulsuk, S.; Arulrajah, A.; Suksiripattanapong, C.; Udomchai, A. Strength development in soft marine clay stabilized by fly ash and calcium carbide residue based geopolymer. Appl. Clay. Sci. 2016, 127–128, 134–142. [Google Scholar] [CrossRef]
- Wang, B.; Cui, C.; Xu, C.; Meng, K.; Li, J.; Xu, L. A novel analytical solution for horizontal vibration of partially embedded offshore piles considering the distribution effect of wave loads. Ocean. Eng. 2024, 307, 118179. [Google Scholar] [CrossRef]
- Cui, C.; Liang, Z.; Xu, C.; Xin, Y.; Wang, B. Analytical solution for horizontal vibration of end-bearing single pile in radially heterogeneous saturated soil. Appl. Math. Model. 2023, 116, 65–83. [Google Scholar] [CrossRef]
- Cui, C.; Meng, K.; Xu, C.; Liang, Z.; Li, H.; Pei, H. Analytical solution for longitudinal vibration of a floating pile in saturated porous media based on a fictitious saturated soil pile model. Comput. Geotech. 2021, 131, 103942. [Google Scholar] [CrossRef]
- Min, Y.; Gao, M.; Yao, C.; Wu, J.; Wei, X. On the use of one-part geopolymer activated by solid sodium silicate in soft clay stabilization. Constr. Build. Mater. 2023, 402, 132957. [Google Scholar] [CrossRef]
- Cui, C.; Xu, M.; Xu, C.; Zhang, P.; Zhao, J. An ontology-based probabilistic framework for comprehensive seismic risk evaluation of subway stations by combining Monte Carlo simulation. Tunn. Undergr. Space Technol. 2023, 135, 105055. [Google Scholar] [CrossRef]
- Cui, C.; Meng, K.; Xu, C.; Wang, B.; Xin, Y. Vertical vibration of a floating pile considering the incomplete bonding effect of the pile-soil interface. Comput. Geotech. 2022, 150, 104894. [Google Scholar] [CrossRef]
- Dinesh, A.; Anitha Selvasofia, S.D.; Datcheen, K.S.; Rakhesh Varshan, D. Machine learning for strength evaluation of concrete structures—Critical review. Mater. Today Proc. 2023, in press. [CrossRef]
- Li, Z.; Yoon, J.; Zhang, R.; Rajabipour, F.; Srubar, W.V., III; Dabo, I.; Radlińska, A. Machine learning in concrete science: Applications, challenges, and best practices. NPJ Comput. Mater. 2022, 8, 1. [Google Scholar]
- Zhang, J.; Huang, Y.; Wang, Y.; Ma, G. Multi-objective optimization of concrete mixture proportions using machine learning and metaheuristic algorithms. Constr. Build. Mater. 2020, 253, 119208. [Google Scholar] [CrossRef]
- Ben Chaabene, W.; Flah, M.; Nehdi, M.L. Machine learning prediction of mechanical properties of concrete: Critical review. Constr. Build. Mater. 2020, 260, 119889. [Google Scholar] [CrossRef]
- Oey, T.; Jones, S.; Bullard, J.W.; Sant, G. Machine learning can predict setting behavior and strength evolution of hydrating cement systems. J. Am. Ceram. Soc. 2019, 103, 480–490. [Google Scholar] [CrossRef]
- Derousseau, M.A.; Laftchiev, E.; Kasprzyk, J.R.; Rajagopalan, B.; Srubar, W.V. A comparison of machine learning methods for predicting the compressive strength of field-placed concrete. Constr. Build. Mater. 2019, 228, 116661. [Google Scholar] [CrossRef]
- Rafiei, M.H.; Khushefati, W.H.; Demirboga, R.; Adeli, H. Neural Network, Machine Learning, and Evolutionary Approaches for Concrete Material Characterization. ACI. Mater. J. 2016, 113, 781–789. [Google Scholar] [CrossRef]
- Felix, E.F.; Possan, E.; Carrazedo, R. Artificial Intelligence Applied in the Concrete Durability Study. In Hygrothermal Behaviour and Building Pathologies; Springer: Berlin/Heidelberg, Germany, 2021; pp. 99–121. [Google Scholar]
- Taffese, W.Z.; Sistonen, E. Machine learning for durability and service-life assessment of reinforced concrete structures: Recent advances and future directions. Automat. Constr. 2017, 77, 1–14. [Google Scholar] [CrossRef]
- Wang, L.; Wu, X.G.; Chen, H.Y.; Zeng, T.M. Iop, Prediction of impermeability of the concrete structure based on random forest and support vector machine. In Proceedings of the International Conference on Sustainable Development and Environmental Science (ICSDES), Zhengzhou, China, 19–21 June 2020. [Google Scholar]
- Huang, J.; Duan, T.; Zhang, Y.; Liu, J.; Zhang, J.; Lei, Y.; Zhang, J. Predicting the Permeability of Pervious Concrete Based on the Beetle Antennae Search Algorithm and Random Forest Model. Adv. Civ. Eng. 2020, 2020, 8863181. [Google Scholar] [CrossRef]
- Najigivi, A.; Khaloo, A.; Iraji Zad, A.; Abdul Rashid, S. An Artificial Neural Networks Model for Predicting Permeability Properties of Nano Silica–Rice Husk Ash Ternary Blended Concrete. Int. J. Concr. Struct. Mater. 2013, 7, 225–238. [Google Scholar] [CrossRef]
- Hu, T.; Zhang, H.; Cheng, C.; Li, H.; Zhou, J. Explainable machine learning: Compressive strength prediction of FRP-confined concrete column. Mater. Today Commun. 2024, 39, 108883. [Google Scholar] [CrossRef]
- Yang, S.; Sun, J.; Zhifeng, X. Prediction on compressive strength of recycled aggregate self-compacting concrete by machine learning method. J. Build. Eng. 2024, 88, 109055. [Google Scholar] [CrossRef]
- Miao, X.; Chen, B.; Zhao, Y. Prediction of compressive strength of glass powder concrete based on artificial intelligence. J. Build. Eng. 2024, 91, 109377. [Google Scholar] [CrossRef]
- Kurt, Z.; Yilmaz, Y.; Cakmak, T.; Ustabaş, I. A novel framework for strength prediction of geopolymer mortar: Renovative precursor effect. J. Build. Eng. 2023, 76, 107041. [Google Scholar] [CrossRef]
- Da Silveira Maranhão, F.; De Souza Junior, F.G.; Soares, P.; Alcan, H.G.; Çelebi, O.; Bayrak, B.; Kaplan, G.; Aydın, A.C. Physico-mechanical and microstructural properties of waste geopolymer powder and lime-added semi-lightweight geopolymer concrete: Efficient machine learning models. J. Build. Eng. 2023, 72, 106629. [Google Scholar] [CrossRef]
- Parhi, S.K.; Patro, S.K. Prediction of compressive strength of geopolymer concrete using a hybrid ensemble of grey wolf optimized machine learning estimators. J. Build. Eng. 2023, 71, 106521. [Google Scholar] [CrossRef]
- Wang, Q.; Ahmad, W.; Ahmad, A.; Aslam, F.; Mohamed, A.; Vatin, N.I. Application of Soft Computing Techniques to Predict the Strength of Geopolymer Composites. Polymers 2022, 14, 6. [Google Scholar] [CrossRef]
- Han, Q.; Gui, C.; Xu, J.; Lacidogna, G. A generalized method to predict the compressive strength of high-performance concrete by improved random forest algorithm. Constr. Build. Mater. 2019, 226, 734–742. [Google Scholar] [CrossRef]
- Ouyang, B.; Song, Y.; Li, Y.; Wu, F.; Yu, H.; Wang, Y.; Sant, G.; Bauchy, M. Predicting Concrete’s Strength by Machine Learning: Balance between Accuracy and Complexity of Algorithms. ACI. Mater. J. 2020, 117, 125–133. [Google Scholar]
- Zhang, L.V.; Marani, A.; Nehdi, M.L. Chemistry-informed machine learning prediction of compressive strength for alkali-activated materials. Constr. Build. Mater. 2022, 316, 106521. [Google Scholar] [CrossRef]
- Zhang, J.F.; Li, D.; Wang, Y.H. Toward intelligent construction: Prediction of mechanical properties of manufactured-sand concrete using tree-based models. J. Clean Prod. 2020, 258, 120665. [Google Scholar] [CrossRef]
- Abdullah, G.M.S.; Ahmad, M.; Babur, M.; Badshah, M.U.; Al-Mansob, R.A.; Gamil, Y.; Fawad, M. Boosting-based ensemble machine learning models for predicting unconfined compressive strength of geopolymer stabilized clayey soil. Sci. Rep. 2024, 14, 2323. [Google Scholar] [CrossRef] [PubMed]
- Ahmad, A.; Ahmad, W.; Chaiyasarn, K.; Ostrowski, K.A.; Aslam, F.; Zajdel, P.; Joyklad, P. Prediction of Geopolymer Concrete Compressive Strength Using Novel Machine Learning Algorithms. Polymers 2021, 13, 3389. [Google Scholar] [CrossRef] [PubMed]
- Das, P.; Kashem, A. Hybrid machine learning approach to prediction of the compressive and flexural strengths of UHPC and parametric analysis with shapley additive explanations. Case. Stud. Constr. Mat. 2024, 20, e02723. [Google Scholar] [CrossRef]
- Huo, W.; Zhu, Z.; Sun, H.; Ma, B.; Yang, L. Development of machine learning models for the prediction of the compressive strength of calcium-based geopolymers. J. Clean Prod. 2022, 380, 135159. [Google Scholar] [CrossRef]
- Ma, G.; Cui, A.; Huang, Y.; Dong, W. A Data-Driven Influential Factor Analysis Method for Fly Ash–Based Geopolymer Using Optimized Machine-Learning Algorithms. J. Mater. Civ. Eng. 2022, 34, 7. [Google Scholar] [CrossRef]
- Nguyen, H.; Vu, T.; Vo, T.P.; Thai, H.-T. Efficient machine learning models for prediction of concrete strengths. Constr. Build. Mater. 2021, 266, 120950. [Google Scholar] [CrossRef]
- Mcculloch, W.S.; Pitts, W. A logical calculus of the ideas immanent in nervous activity. Bull. Math. Biophys. 1943, 5, 115–133. [Google Scholar] [CrossRef]
- Wang, Y.; Iqtidar, A.; Amin, M.N.; Nazar, S.; Hassan, A.M.; Ali, M. Predictive modelling of compressive strength of fly ash and ground granulated blast furnace slag based geopolymer concrete using machine learning techniques. Case Stud. Constr. Mat. 2024, 20, e03130. [Google Scholar] [CrossRef]
- Kioumarsi, M.; Dabiri, H.; Kandiri, A.; Farhangi, V. Compressive strength of concrete containing furnace blast slag; optimized machine learning-based models. Clean. Eng. Technol. 2023, 13, 100604. [Google Scholar] [CrossRef]
- Maheepala, M.M.A.L.N.; Nasvi, M.C.M.; Robert, D.J.; Gunasekara, C.; Kurukulasuriya, L.C. Mix design development for geopolymer treated expansive subgrades using artificial neural network. Comput. Geotech. 2023, 161, 105534. [Google Scholar] [CrossRef]
- Nazar, S.; Yang, J.; Amin, M.N.; Khan, K.; Ashraf, M.; Aslam, F.; Javed, M.F.; Eldin, S.M. Machine learning interpretable-prediction models to evaluate the slump and strength of fly ash-based geopolymer. J. Mater. Res. Technol. 2023, 24, 100–124. [Google Scholar] [CrossRef]
- Emarah, D.A. Compressive strength analysis of fly ash-based geopolymer concrete using machine learning approaches. Results Mater. 2022, 16, 100347. [Google Scholar] [CrossRef]
- Paruthi, S.; Husain, A.; Alam, P.; Husain Khan, A.; Abul Hasan, M.; Magbool, H.M. A review on material mix proportion and strength influence parameters of geopolymer concrete: Application of ANN model for GPC strength prediction. Constr. Build. Mater. 2022, 356, 129253. [Google Scholar] [CrossRef]
- Shahmansouri, A.A.; Yazdani, M.; Ghanbari, S.; Akbarzadeh Bengar, H.; Jafari, A.; Farrokh Ghatte, H. Artificial neural network model to predict the compressive strength of eco-friendly geopolymer concrete incorporating silica fume and natural zeolite. J. Clean. Prod. 2021, 279, 123697. [Google Scholar] [CrossRef]
- Aalimahmoody, N.; Bedon, C.; Hasanzadeh-Inanlou, N.; Hasanzade-Inallu, A.; Nikoo, M. BAT Algorithm-Based ANN to Predict the Compressive Strength of Concrete—A Comparative Study. Infrastructures 2021, 6, 6. [Google Scholar] [CrossRef]
- Ahmad, W.; Farooq, S.H.; Usman, M.; Khan, M.; Ahmad, A.; Aslam, F.; Yousef, R.A.; Abduljabbar, H.A.; Sufian, M. Effect of Coconut Fiber Length and Content on Properties of High Strength Concrete. Materials 2020, 13, 1075. [Google Scholar] [CrossRef]
- Nguyen, T.T.; Pham Duy, H.; Pham Thanh, T.; Vu, H.H. Compressive Strength Evaluation of Fiber-Reinforced High-Strength Self-Compacting Concrete with Artificial Intelligence. Adv. Civ. Eng. 2020, 2020, 3012139. [Google Scholar] [CrossRef]
- Dao, D.; Ly, H.-B.; Trinh, S.; Le, T.-T.; Pham, B. Artificial Intelligence Approaches for Prediction of Compressive Strength of Geopolymer Concrete. Materials 2019, 12, 6. [Google Scholar] [CrossRef]
- Ngo, A.Q.; Nguyen, L.Q.; Tran, V.Q. Developing interpretable machine learning-Shapley additive explanations model for unconfined compressive strength of cohesive soils stabilized with geopolymer. PLoS ONE 2023, 18, e0286950. [Google Scholar] [CrossRef] [PubMed]
- Oyebisi, S.; Alomayri, T. Artificial intelligence-based prediction of strengths of slag-ash-based geopolymer concrete using deep neural networks. Constr. Build. Mater. 2023, 400, 132606. [Google Scholar] [CrossRef]
- Huynh, A.T.; Nguyen, Q.D.; Xuan, Q.L.; Magee, B.; Chung, T.; Tran, K.T.; Nguyen, K.T. A Machine Learning-Assisted Numerical Predictor for Compressive Strength of Geopolymer Concrete Based on Experimental Data and Sensitivity Analysis. Appl. Sci. 2020, 10, 7726. [Google Scholar] [CrossRef]
- Peng, Y.; Unluer, C. Analyzing the mechanical performance of fly ash-based geopolymer concrete with different machine learning techniques. Constr. Build. Mater. 2022, 316, 125785. [Google Scholar] [CrossRef]
- Deng, F.; He, Y.; Zhou, S.; Yu, Y.; Cheng, H.; Wu, X. Compressive strength prediction of recycled concrete based on deep learning. Constr. Build. Mater. 2018, 175, 562–569. [Google Scholar] [CrossRef]
- Chen, H.; Li, X.; Wu, Y.; Zuo, L.; Lu, M.; Zhou, Y. Compressive Strength Prediction of High-Strength Concrete Using Long Short-Term Memory and Machine Learning Algorithms. Buildings 2022, 12, 3. [Google Scholar] [CrossRef]
- Latif, S.D. Concrete compressive strength prediction modeling utilizing deep learning long short-term memory algorithm for a sustainable environment. Environ. Sci. Pollut. Res. 2021, 28, 30294–30302. [Google Scholar] [CrossRef]
- Zhou, J.; Tian, Q.; Nazar, S.; Huang, J. Hyper-tuning gene expression programming to develop interpretable prediction models for the strength of corncob ash-modified geopolymer concrete. Mater. Today Commun. 2024, 38, 107885. [Google Scholar] [CrossRef]
- Kumar Dash, P.; Kumar Parhi, S.; Kumar Patro, S.; Panigrahi, R. Efficient machine learning algorithm with enhanced cat swarm optimization for prediction of compressive strength of GGBS-based geopolymer concrete at elevated temperature. Constr. Build. Mater. 2023, 400, 132814. [Google Scholar] [CrossRef]
- Rudin, C. Stop explaining black box machine learning models for high stakes decisions and use interpretable models instead. Nat. Mach. Intell. 2019, 1, 206–215. [Google Scholar] [CrossRef]
- Naser, M.Z. An engineer’s guide to eXplainable Artificial Intelligence and Interpretable Machine Learning: Navigating causality, forced goodness, and the false perception of inference. Automat. Constr. 2021, 129, 103821. [Google Scholar] [CrossRef]
- Nithurshan, M.; Elakneswaran, Y. A systematic review and assessment of concrete strength prediction models. Case Stud. Constr. Mat. 2023, 18, e01830. [Google Scholar] [CrossRef]
- Ke, X.; Duan, Y. Coupling machine learning with thermodynamic modelling to develop a composition-property model for alkali-activated materials. Compos. Part B Eng. 2021, 216, 108801. [Google Scholar] [CrossRef]
- Feng, J.; Zhang, H.; Gao, K.; Liao, Y.; Yang, J.; Wu, G. A machine learning and game theory-based approach for predicting creep behavior of recycled aggregate concrete. Case Stud. Constr. Mat. 2022, 17, e01653. [Google Scholar] [CrossRef]
- Han, B.; Wu, Y.; Liu, L. Prediction and uncertainty quantification of compressive strength of high-strength concrete using optimized machine learning algorithms. Struct. Concr. 2022, 23, 3772–3785. [Google Scholar] [CrossRef]
- Haque, M.A.; Chen, B.; Kashem, A.; Qureshi, T.; Ahmed, A.A.M. Hybrid intelligence models for compressive strength prediction of MPC composites and parametric analysis with SHAP algorithm. Mater. Today Commun. 2023, 35, 105547. [Google Scholar] [CrossRef]
- Peng, Y.; Unluer, C. Modeling the mechanical properties of recycled aggregate concrete using hybrid machine learning algorithms. Resour. Conserv. Recycl. 2023, 190, 106812. [Google Scholar] [CrossRef]
- Chen, Q.; Hu, G.; Wu, J. Comparative study on the prediction of the unconfined compressive strength of the one-part geopolymer stabilized soil by using different hybrid machine learning models. Case Stud. Constr. Mat. 2024, 21, e03439. [Google Scholar] [CrossRef]
- Yao, C.; Hu, G.; Chen, Q.; Wu, J. Prediction on the freeze-thaw resistance of a one-part geopolymer stabilized soil by using deep learning method. Case Stud. Constr. Mat. 2024, 21, e03530. [Google Scholar] [CrossRef]
- Shen, J.; Li, Y.; Lin, H.; Li, H.; Lv, J.; Feng, S.; Ci, J. Prediction of compressive strength of alkali-activated construction demolition waste geopolymers using ensemble machine learning. Constr. Build. Mater. 2022, 360, 129600. [Google Scholar] [CrossRef]
- Li, Y.; Shen, J.; Lin, H.; Li, Y. Optimization design for alkali-activated slag-fly ash geopolymer concrete based on artificial intelligence considering compressive strength, cost, and carbon emission. J. Build. Eng. 2023, 75, 106929. [Google Scholar] [CrossRef]
- Goodfellow, I.J.; Pouget-Abadie, J.; Mirza, M.; Xu, B.; Warde-Farley, D.; Ozair, S.; Courville, A.; Bengio, Y. Generative adversarial nets. In Proceedings of the 27th International Conference on Neural Information Processing Systems—Volume 2, Cambridge, MA, USA, 8–13 December 2014; MIT Press: Montreal, QC, Canada, 2014; pp. 2672–2680. [Google Scholar]
- Shao, S.; Wang, P.; Yan, R. Generative adversarial networks for data augmentation in machine fault diagnosis. Comput. Ind. 2019, 106, 85–93. [Google Scholar] [CrossRef]
- He, J.; Xu, Y.; Pan, Y.; Wang, Y. Adaptive weighted generative adversarial network with attention mechanism: A transfer data augmentation method for tool wear prediction. Mech. Syst. Signal Proc. 2024, 212, 111288. [Google Scholar] [CrossRef]
- Du, W.Z.; Tian, S.H. Transformer and GAN-Based Super-Resolution Reconstruction Network for Medical Images. Tsinghua Sci. Technol. 2024, 29, 197–206. [Google Scholar] [CrossRef]
- Gui, J.; Sun, Z.A.; Wen, Y.G.; Tao, D.C.; Ye, J.P. A Review on Generative Adversarial Networks: Algorithms, Theory, and Applications. IEEE Trans. Knowl. Data Eng. 2023, 35, 3313–3332. [Google Scholar] [CrossRef]
- Hahnloser, R.H.R.; Sarpeshkar, R.; Mahowald, M.A.; Douglas, R.J.; Seung, H.S. Digital selection and analogue amplification coexist in a cortex-inspired silicon circuit. Nature 2000, 405, 947–951. [Google Scholar] [CrossRef]
- Kingma, D.; Ba, J. Adam: A Method for Stochastic Optimization. arXiv 2014, arXiv:1412.6980. [Google Scholar]
- Hinton, G.E.; Srivastava, N.; Krizhevsky, A.; Sutskever, I.; Salakhutdinov, R. Improving neural networks by preventing co-adaptation of feature detectors. arXiv 2012, arXiv:1207.0580. [Google Scholar]
- Rumelhart, D.E.; Hinton, G.E.; Williams, R.J. Learning representations by back-propagating errors. Nature 1986, 323, 533–536. [Google Scholar] [CrossRef]
- Li, D.; Huang, F.; Yan, L.; Cao, Z.; Chen, J.; Ye, Z. Landslide Susceptibility Prediction Using Particle-Swarm-Optimized Multilayer Perceptron: Comparisons with Multilayer-Perceptron-Only, BP Neural Network, and Information Value Models. Appl. Sci. 2019, 9, 18. [Google Scholar] [CrossRef]
- Wan, T.; Bai, Y.; Wang, T.; Wei, Z. BPNN-based optimal strategy for dynamic energy optimization with providing proper thermal comfort under the different outdoor air temperatures. Appl. Energy 2022, 313, 118899. [Google Scholar] [CrossRef]
- Song, H. Using Multifactor Inputs BP Neural Network to Make Power Consumption Prediction. Master’s Thesis, State University of New York at Binghamton, Binghamton, NY, USA, 2018; p. 77. [Google Scholar]
- Lecun, Y.; Bottou, L.; Bengio, Y.; Haffner, P. Gradient-based learning applied to document recognition. Proc. IEEE 1998, 86, 2278–2324. [Google Scholar] [CrossRef]
- Waibel, A.; Hanazawa, T.; Hinton, G.; Shikano, K.; Lang, K.J. Phoneme recognition using time-delay neural networks. IEEE Trans. Acoust. Speech Signal Process. 1989, 37, 328–339. [Google Scholar] [CrossRef]
- Lecun, Y.; Bengio, Y.; Hinton, G. Deep learning. Nature 2015, 521, 436–444. [Google Scholar] [CrossRef] [PubMed]
- Goodfellow, I.; Bengio, Y.; Courville, A. Deep Learning; MIT Press: Cambridge, MA, USA, 2016. [Google Scholar]
- Greff, K.; Srivastava, R.K.; Koutnik, J.; Steunebrink, B.R.; Schmidhuber, J. LSTM: A Search Space Odyssey. IEEE Trans. Neural Netw. Learn. Syst. 2017, 28, 2222–2232. [Google Scholar] [CrossRef]
- Hochreiter, S.; Schmidhuber, J. Long short-term memory. Neural. Comput. 1997, 9, 1735–1780. [Google Scholar] [CrossRef]
- Allahyani, M.; Alsulami, R.; Alwafi, T.; Alafif, T.; Ammar, H.; Sabban, S.; Chen, X. DivGAN: A diversity enforcing generative adversarial network for mode collapse reduction. Artif. Intell. 2023, 317, 103863. [Google Scholar] [CrossRef]
- Arjovsky, M.; Chintala, S.; Bottou, L. Wasserstein Generative Adversarial Networks. In Proceedings of the 34th International Conference on Machine Learning, PMLR, Sydney, NSW, Australia, 6–11 August 2017. [Google Scholar]
- Radford, A.; Metz, L.; Chintala, S. Unsupervised Representation Learning with Deep Convolutional Generative Adversarial Networks. arXiv 2015, arXiv:1511.06434. [Google Scholar]
- Zhu, J.Y.; Park, T.; Isola, P.; Efros, A.A. Unpaired Image-to-Image Translation Using Cycle-Consistent Adversarial Networks. In Proceedings of the 2017 IEEE International Conference on Computer Vision (ICCV), Venice, Italy, 22–29 October 2017; pp. 2242–2251. [Google Scholar]
- Chai, P.; Hou, L.; Zhang, G.; Tushar, Q.; Zou, Y. Generative adversarial networks in construction applications. Automat. Constr 2024, 159, 105265. [Google Scholar] [CrossRef]
- Wong, T.T.; Yeh, P.Y. Reliable Accuracy Estimates from k-Fold Cross Validation. IEEE Trans. Knowl. Data Eng. 2020, 32, 1586–1594. [Google Scholar] [CrossRef]
- Fushiki, T. Estimation of prediction error by using K-fold cross-validation. Stat. Comput. 2011, 21, 137–146. [Google Scholar] [CrossRef]
- Rodríguez, J.D.; Pérez, A.; Lozano, J.A. A general framework for the statistical analysis of the sources of variance for classification error estimators. Pattern Recognit. 2013, 46, 855–864. [Google Scholar] [CrossRef]
- Molnar, C.; Casalicchio, G.; Bischl, B. Interpretable Machine Learning—A Brief History, State-of-the-Art and Challenges. In ECML PKDD 2020 Workshops, Communications in Computer and Information Science; Springner: Cham, Switzerland, 2020; pp. 417–431. [Google Scholar]
- Saltelli, A.; Andres, T.H.; Homma, T. Sensitivity analysis of model output: An investigation of new techniques. Comput. Stat. Data Anal. 1993, 15, 211–238. [Google Scholar] [CrossRef]
- Owais, M.; Alshehri, A.; Gyani, J.; Aljarbou, M.H.; Alsulamy, S. Prioritizing rear-end crash explanatory factors for injury severity level using deep learning and global sensitivity analysis. Expert Syst. Appl. 2024, 245, 123114. [Google Scholar] [CrossRef]
- Morio, J. Global and local sensitivity analysis methods for a physical system. Eur. J. Phys. 2011, 32, 1577. [Google Scholar] [CrossRef]
- Ekanayake, I.U.; Meddage, D.P.P.; Rathnayake, U. A novel approach to explain the black-box nature of machine learning in compressive strength predictions of concrete using Shapley additive explanations (SHAP). Case Stud. Constr. Mat. 2022, 16, e01059. [Google Scholar] [CrossRef]
- Molnar, C. Interpretable Machine Learning: A Guide for Making Black Box Models Explainable, 2nd ed.; Independently Published: Munich, Germany, 2022. [Google Scholar]
- Kriegler, B. Cost-Sensitive Stochastic Gradient Boosting within a Quantitative Regression Framework; University of California: Los Angeles, CA, USA, 2007; p. 144. [Google Scholar]
- Braun, W.J.; Murdoch, D.J.; Hlynka, M.; Iacus, S.; Atkinson, A.C.; Donev, A.; Tobias, R.D.; Arnold, B.C.; Balakrishnan, N.; Schilling, E.G.; et al. The Elements of Statistical Learning: Data Mining, Inference, and Prediction. J. R. Stat. Soc. Ser. A Stat. Soc. 2010, 173, 693–694. [Google Scholar]
- Yang, J.; Liu, J.; Xie, J.; Wang, C.; Ding, T. Conditional GAN and 2-D CNN for Bearing Fault Diagnosis with Small Samples. IEEE Trans. Instrum. Meas. 2021, 70, 1–12. [Google Scholar] [CrossRef]



























| Reference | Type of GPC | Algorithms | Best Model (R2) |
|---|---|---|---|
| Zhou et al. [70] | Slag- and CCA-modified GPC | GEP | GEP (0.96) |
| Parhi and Patro [39] | FA-based GPC | RF, NN, MARS, HEML | HEML (0.97) |
| Nazar et al. [55] | FA-based GPC | ANFIS, ANN, GEP | GEP (0.94) |
| Ngo et al. [63] | Coal ash-based GPC | RF, ANN, XGB, GB, PSO | ANN (0.9808) |
| Oyebisi et al. [64] | GGBFS-CCA-based GPC | DNN | DNN (0.986) |
| Huo et al. [48] | Calcium-based GPC | KNN, SVM, RF, GBDT, BA, ET, XGB, DNN | XGB (0.91) |
| Kumar Dash et al. [71] | GGBS-based GPC | ELM, ELM-CSO, ELM-ECSO | ELM-ECSO (0.94) |
| Shahmansouri et al. [58] | GGBS-based GPC | ANN | ANN (0.924) |
| Huynh et al. [65] | FA-based GPC | ANN, DNN, ResNet | ResNet (0.937) |
| Dong et al. [62] | FA-based GPC | ANFIS, ANN | ANFIS (0.879) |
| Type | Variable | Standard Deviation | Mean | Min | Max |
|---|---|---|---|---|---|
| Independent | FA/GGBFS | 0.120 | 0.134 | 0 | 0.43 |
| NaOH/Precursor | 0.034 | 0.151 | 0.1 | 0.2 | |
| Water/Binder | 0.084 | 0.620 | 0.5 | 0.7 | |
| Curing time (days) | 8.103 | 11.318 | 3 | 28 | |
| Molarity (mol/L) | 0.663 | 4.754 | 3.27 | 8.33 | |
| Dependent | UCS (MPa) | 0.638 | 1.229 | 0.1 | 3.282 |
Disclaimer/Publisher’s Note: The statements, opinions and data contained in all publications are solely those of the individual author(s) and contributor(s) and not of MDPI and/or the editor(s). MDPI and/or the editor(s) disclaim responsibility for any injury to people or property resulting from any ideas, methods, instructions or products referred to in the content. |
© 2024 by the authors. Licensee MDPI, Basel, Switzerland. This article is an open access article distributed under the terms and conditions of the Creative Commons Attribution (CC BY) license (https://creativecommons.org/licenses/by/4.0/).
Share and Cite
Chen, Q.; Hu, G.; Wu, J. Prediction of the Unconfined Compressive Strength of a One-Part Geopolymer-Stabilized Soil Using Deep Learning Methods with Combined Real and Synthetic Data. Buildings 2024, 14, 2894. https://doi.org/10.3390/buildings14092894
Chen Q, Hu G, Wu J. Prediction of the Unconfined Compressive Strength of a One-Part Geopolymer-Stabilized Soil Using Deep Learning Methods with Combined Real and Synthetic Data. Buildings. 2024; 14(9):2894. https://doi.org/10.3390/buildings14092894
Chicago/Turabian StyleChen, Qinyi, Guo Hu, and Jun Wu. 2024. "Prediction of the Unconfined Compressive Strength of a One-Part Geopolymer-Stabilized Soil Using Deep Learning Methods with Combined Real and Synthetic Data" Buildings 14, no. 9: 2894. https://doi.org/10.3390/buildings14092894
APA StyleChen, Q., Hu, G., & Wu, J. (2024). Prediction of the Unconfined Compressive Strength of a One-Part Geopolymer-Stabilized Soil Using Deep Learning Methods with Combined Real and Synthetic Data. Buildings, 14(9), 2894. https://doi.org/10.3390/buildings14092894
