Preliminary Study on Gender Differences in EEG-Based Emotional Responses in Virtual Architectural Environments
Abstract
1. Introduction
2. Research Content
2.1. Research Object
2.2. Experimental Materials
2.3. Experimental Equipment
3. EEG-Based Emotion Measurement Process
3.1. Experiment Overview
3.2. Experimental Procedure
3.3. Experimental Methods
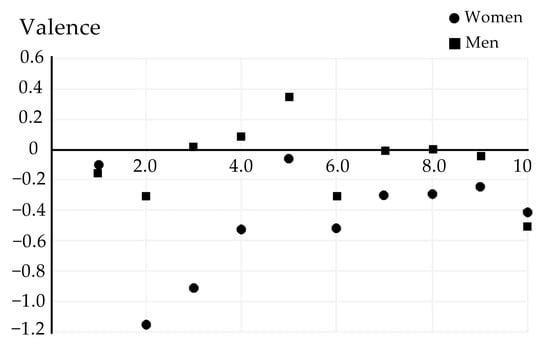
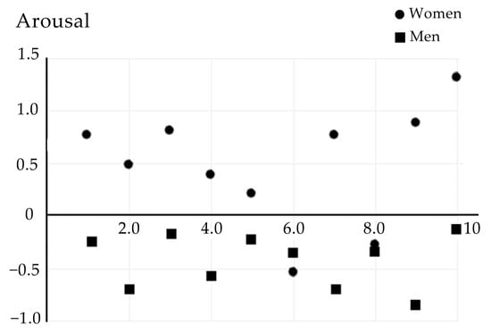
3.4. Experimental Results
4. Discussion
5. Conclusions
Author Contributions
Funding
Institutional Review Board Statement
Informed Consent Statement
Data Availability Statement
Conflicts of Interest
References
- Bianchin, M.; Angrilli, A. Gender differences in emotional responses: A psychophysiological study. Physiol. Behav. 2012, 105, 925–932. [Google Scholar] [CrossRef] [PubMed]
- Deng, Y.; Chang, L.; Yang, M.; Huo, M.; Zhou, R. Gender Differences in Emotional Response: Inconsistency between Experience and Expressivity. PLoS ONE 2016, 11, e0158666. [Google Scholar] [CrossRef] [PubMed]
- Garcia, F.L.; Romero, F.V.; Padilla, S.; David, L.R.P.; Monzo, G.M.; Rodriguez, J.R. Gender differences in emotional response to the COVID-19 outbreak in Spain. Brain Behav. 2021, 11, e01934. [Google Scholar] [CrossRef]
- Gard, M.G.; Kring, A.M. Sex differences in the time course of emotion. Emotion 2007, 7, 429–437. [Google Scholar] [CrossRef]
- Megan, M.F.; Rachel, M.O.; Duda, B.; Timothy, J.W.; Sabatinelli, D. Sex differences in emotional perception: Meta analysis of divergent activation. NeuroImage 2017, 147, 925–933. [Google Scholar]
- Hwang, S.; Jebelli, H.; Choi, B.; Cho, M.; Lee, S. Measuring Workers’ Emotional State during Construction Tasks Using Wearable EEG. J. Constr. Eng. Manag. 2018, 144, 04018050. [Google Scholar] [CrossRef]
- Jebelli, H.; Hwang, S.; Lee, S. An EEG signal processing framework to obtain high quality brain waves from an off-the-shelf wearable EEG device. J. Comput. Civ. Eng. 2018, 32, 04017070. [Google Scholar] [CrossRef]
- James, A.R.; Anna, W.; Mendelsohn, G.A. Affect grid: A single-item scale of pleasure and arousal. J. Personal. Soc. Psychol. 1989, 57, 493–502. [Google Scholar]
- Christie, I.C.; Friedman, B.H. Autonomic specificity of discrete emotion and dimensions of affective space: A multivariate approach. Int. J. Psychophysiol. 2004, 51, 143–153. [Google Scholar] [CrossRef]
- Zhang, Z. Behavioral medicine scale manual. Chin. J. Behav. Med. Sci. 2001, 10, 19–24. [Google Scholar]
- Yi, J.; Yao, S.; Zhu, X. The Chinese version of the TAS-20: Reliability and validity. Chin. Ment. Health J. 2003, 17, 763–767. [Google Scholar]
- Berntson, G.G.; Bigger, J.T.; Eckberg, D.L.; Grossman, P.; Kaufmann, P.G.; Malik, M.; Nagaraja, H.N.; Porges, S.W.; Saul, J.P.; Stone, P.H.; et al. Heart rate variability: Origins, methods, and interpretative caveats. Psychophysiology 1997, 34, 623–648. [Google Scholar] [CrossRef]
- Jiang, J.F.; Zeng, Y.; Lin, Z.M.; Tong, L.; Yan, B. Research Progress on Emotion Assessment Based on EEG Signals. J. Inf. Eng. Univ. 2016, 17, 686–693. [Google Scholar]
- Lewis, R.S.; Weekes, N.Y.; Wang, T.H. The effect of a naturalistic stressor on frontal EEG asymmetry, stress, and health. Biol. Psychol. 2007, 75, 239–247. [Google Scholar] [CrossRef] [PubMed]
- Winkler, I.; Jager, M.; Mihajlovic, V.; Tsoneva, T. Frontal EEG asymmetry based classification of emotional valence using common spatial patterns. World Acad. Sci. Eng. Technol. 2010, 45, 373–378. [Google Scholar]
- Goodman, R.N.; Rietschel, J.C.; Lo, L.C.; Costanzo, M.E.; Hatfield, B.D. Stress, emotion regulation and cognitive performance: The predictive contributions of trait and state relative frontal EEG alpha asymmetry. Int. J. Psychophysiol. 2013, 87, 115–123. [Google Scholar] [CrossRef]
- Allen, J.J.; Reznik, S.J. Frontal EEG asymmetry as a promising marker of depression vulnerability: Summary and methodological considerations. Curr. Opin. Psychol. 2015, 4, 93–97. [Google Scholar] [CrossRef]
- Coan, J.A.; Allen, J.J.; McKnight, P.E. A capability model of individual differences in frontal EEG asymmetry. Biol. Psychol. 2006, 72, 198–207. [Google Scholar] [CrossRef]
- Davidson, R.J.; Ekman, P.; Saron, C.D.; Senulis, J.A.; Friesen, W.V. Approach-withdrawal and cerebral asymmetry: Emotional expression and brain physiology: I. J. Personal. Soc. Psychol. 1990, 58, 330–341. [Google Scholar] [CrossRef]
- Blaiech, H.; Neji, M.; Wali, A.; Alimi, A.M. Emotion recognition by analysis of EEG signals. In Proceedings of the 13th International Conference on Hybrid Intelligent Systems, Gammarth, Tunisia, 4–6 December 2013; pp. 312–318. [Google Scholar]
- Mignonac, K.; Herrbach, O. Linking work events, affective states, and attitudes: An empirical study of managers ’ emotions. J. Bus. Psychol. 2004, 19, 221–240. [Google Scholar] [CrossRef]
- Poh, M.Z.; Swenson, N.C.; Picard, R.W. A wearable sensor for unobtrusive, long-term assessment of electrodermal activity. IEEE Trans. Biomed. Eng. 2010, 57, 1243–1252. [Google Scholar] [PubMed]
- Picard, R.W.; Fedor, S.; Ayzenberg, Y. Multiple arousal theory and daily-life electrodermal activity asymmetry. Emot. Rev. 2016, 8, 62–75. [Google Scholar] [CrossRef]
- Gross, J.J.; Levenson, R.W. Emotion elicitation using films. Cogn. Emot. 1995, 9, 87–108. [Google Scholar] [CrossRef]
- Xiao, J.; Malcolm, T.; Kang, J. Understanding smellscapes: Sense-making of smell-triggered emotions in place 2020. Emot. Space Soc. 2020, 37, 100710. [Google Scholar] [CrossRef]
- Mastinu, M.; Melis, M.; Yousaf, N.Y.; Barbarossa, I.T.; Tepper, B.J. Emotional responses to taste and smell stimuli: Self-reports, physiological measures, and a potential role for individual and genetic factors. J. Food Sci. 2023, 88, A65–A90. [Google Scholar] [CrossRef]
- Löffler, C.S.; Greitemeyer, T. Are women the more empathetic gender? The effects of gender role expectations. Curr. Psychol. 2023, 42, 220–231. [Google Scholar] [CrossRef]
- Huang, L.; Lei, W.; Xu, F.; Liu, H.; Yu, L. Emotional responses and coping strategies in nurses and nursing students during Covid-19 outbreak: A comparative study. PLoS ONE 2020, 15, e0237303. [Google Scholar] [CrossRef]
- Borghini, G.; Astolfi, L.; Vecchiato, G.; Mattia, D.; Babiloni, F. Measuring neurophysiological signals in aircraft pilots and car drivers for the assessment of mental workload, fatigue and drowsiness. Neurosci. Biobehav. Rev. 2014, 44, 58–75. [Google Scholar] [CrossRef]
- Evans, G.W.; English, K. The environment of poverty: Multiple stressor exposure, psychophysiological stress, and socioemotional adjustment. Child. Dev. 2002, 73, 1238–1248. [Google Scholar] [CrossRef]
- Sexton, K.; Hattis, D. Assessing cumulative health risks from exposure to environmental mixtures—Three fundamental questions. Environ. Health Perspect. 2007, 115, 825–832. [Google Scholar] [CrossRef]
- Lim, N. Cultural differences in emotion: Differences in emotional arousal level between the East and the West. Integr. Med. Res. 2016, 5, 105–109. [Google Scholar] [CrossRef] [PubMed]













Disclaimer/Publisher’s Note: The statements, opinions and data contained in all publications are solely those of the individual author(s) and contributor(s) and not of MDPI and/or the editor(s). MDPI and/or the editor(s) disclaim responsibility for any injury to people or property resulting from any ideas, methods, instructions or products referred to in the content. |
© 2024 by the authors. Licensee MDPI, Basel, Switzerland. This article is an open access article distributed under the terms and conditions of the Creative Commons Attribution (CC BY) license (https://creativecommons.org/licenses/by/4.0/).
Share and Cite
Li, Z.; Wang, K.; Hai, M.; Cai, P.; Zhang, Y. Preliminary Study on Gender Differences in EEG-Based Emotional Responses in Virtual Architectural Environments. Buildings 2024, 14, 2884. https://doi.org/10.3390/buildings14092884
Li Z, Wang K, Hai M, Cai P, Zhang Y. Preliminary Study on Gender Differences in EEG-Based Emotional Responses in Virtual Architectural Environments. Buildings. 2024; 14(9):2884. https://doi.org/10.3390/buildings14092884
Chicago/Turabian StyleLi, Zhubin, Kun Wang, Mingyue Hai, Pengyu Cai, and Ya Zhang. 2024. "Preliminary Study on Gender Differences in EEG-Based Emotional Responses in Virtual Architectural Environments" Buildings 14, no. 9: 2884. https://doi.org/10.3390/buildings14092884
APA StyleLi, Z., Wang, K., Hai, M., Cai, P., & Zhang, Y. (2024). Preliminary Study on Gender Differences in EEG-Based Emotional Responses in Virtual Architectural Environments. Buildings, 14(9), 2884. https://doi.org/10.3390/buildings14092884

