Abstract
Prefabricated construction is being developed as one of the pathways toward circularity in the construction industry. However, compared to traditional cast-in-place construction methods, the design of prefabricated construction site layouts presents unique challenges, such as managing the space for prefabricated components and lifting equipment, and coordinating the precise timing between off-site fabrication and on-site assembly. Existing research has primarily focused on traditional cast-in-place construction, leaving room for improvement in optimisation models for prefabricated site layouts. This study develops a BIM-based System Layout Planning-Genetic Algorithm (SLP-GA) model specifically tailored for prefabricated construction site optimisation. The proposed model improves the accuracy and visualisation of layout planning through BIM technology, enabling dynamic adjustments and real-time data integration. It also incorporates genetic algorithms to address complex multi-objective optimisation problems, avoiding local optima and overcoming the limitations of traditional SLP methods that rely on subjective judgements. Unlike previous studies that do not consider secondary handling, the optimisation objectives of this study focus on minimising material handling costs associated with secondary handling and maximising comprehensive relationships, including efficiency, safety and space utilisation. The application of this model in a case study shows a reduction in logistics costs of 8.58% and an improvement in comprehensive relationships of 11.61%, indicating significant improvements. This research advances optimisation methods for prefabricated construction site layouts, enriches optimisation objectives by considering secondary handling, and provides practical guidance for improving the efficiency and effectiveness of prefabricated construction projects.
1. Introduction
Prefabricated construction means that the various components needed on site are prefabricated in a factory and then transported to the site to be assembled. Prefabricated buildings present significant advantages over traditional on-site construction methods, such as reduced waste, shorter construction time, and lower energy consumption, all of which contribute to a reduced carbon footprint and support the construction industry’s transition to a circular economy [1,2,3]. However, the successful implementation of prefabricated buildings relies heavily on efficient site layout planning. Unlike conventional construction sites, prefabricated building sites are characterized by complex layouts, as space must be allocated for prefabricated components, lifting equipment, and the precise scheduling required to coordinate off-site fabrication with on-site assembly [4]. Inefficient site layouts can result in workspace conflicts, longer material handling distances, and increased equipment loads, necessitating the use of advanced planning tools and techniques [4,5]. Therefore, the central research question of this study is to propose methods for optimizing the construction site layout of prefabricated buildings, which will, in turn, enhance the efficiency of prefabricated building projects.
While existing studies have proposed methods for optimizing construction site layouts, most of these focus on traditional cast-in-place building construction, employing techniques such as integer programming [6,7], linear programming [8], nonlinear programming [9], dynamic programming [10], and heuristic algorithms [11,12]. In contrast, research on the optimisation of construction site layouts for prefabricated buildings is much more limited. Lu and Zhu (2021) incorporated the efficiency of prefabricated component lifting into the optimisation of construction site layouts for prefabricated buildings [13]. Zhang and Yu (2021) developed a dynamic site layout optimisation algorithm based on particle swarm optimisation, which provided shorter construction times through dynamic optimisation [5]. Yao et al. (2023) proposed an enhanced multi-population constrained NSGA-II (MPC-NSGA-II) based on the elite non-dominated sorting genetic algorithm (NSGA-II) to optimise the construction site layout of prefabricated buildings [4]. Yang and Lu et al. (2023) employed a simulation-based approach to model the facility layouts of five prefabricated buildings. Their findings indicated that the “Honeycomb layout” was the most effective for reinforced concrete hybrid modular buildings [14].
Although existing research has made considerable progress, there is still scope for further improvement. Firstly, research on the optimisation of prefabricated building site layouts using Building Information Modelling (BIM) technology is relatively limited. The utilisation of BIM technology for three-dimensional modelling and dynamic simulation of construction sites enhances the precision and visualisation of layout planning. This enables the identification of potential layout issues at an early stage and facilitates dynamic layout adjustments by integrating real-time data, thereby enhancing the efficiency of layout optimisation. Secondly, previous studies have concentrated on reducing the cost of material handling on a single occasion, without considering the issue of subsequent handling. The issue of wasteful secondary handling has not been adequately addressed. Research that considers the material handling costs resulting from secondary handling and maximises the comprehensive relationship as dual optimisation objectives remains relatively limited.
To achieve the primary research objective of developing a methodology for optimizing the layout of prefabricated building construction sites and providing a guidance for efficient prefabricated building projects, this study introduces the SLP-GA model (System Layout Planning-Genetic Algorithm) integrated with BIM technology. The model mathematically addresses the three-dimensional layout problem, for time and space inefficiencies caused by secondary material handling during the modular construction process. It aims to minimize material handling costs and optimize the integrated relationships between site elements. By solving the model, the optimal coordinates and layout of temporary facilities on the construction site are determined. Subsequently, this study validates the effectiveness of the proposed layout optimization model through a real case study. The optimized layout enhances the efficiency of prefabricated construction projects by providing the most effective site configuration.
The contributions of this study can be broadly categorized into three key areas. First, this research focuses on optimizing the site layout of prefabricated buildings by considering the unique characteristics of such sites, which distinguishes it from previous studies that primarily addressed site layout optimization for conventional cast-in-place buildings. Consequently, this study contributes to the expanding body of knowledge on site layout optimization specifically for prefabricated construction. Second, the BIM-integrated SLP-GA site optimization model developed in this study enhances site planning methodologies for prefabricated buildings. The integration of BIM technology not only improves the accuracy and visualization of layout design but also allows for dynamic adjustments, overcoming the static limitations of traditional SLP approaches and better accommodating the dynamic needs of prefabricated construction. Additionally, the use of genetic algorithms, known for their ability to globally optimize and manage multiple complex constraints, effectively addresses the intricacies of site layout problems, surpassing the limitations of traditional SLP methods that rely on subjective judgment. Finally, the optimization objective of this study simultaneously minimizes material handling costs associated with secondary handling and maximizes the integrated relationship among various factors such as efficiency, safety, and space utilization. This dual focus reduces the frequency of secondary handling while achieving an optimal balance among key factors, thereby enriching the planning objectives of existing research on prefabricated building site layout optimization. The methodology proposed in this study ultimately enhances the efficiency of prefabricated building projects.
2. Review of Method Principles
Before introducing the BIM-integrated SLP-GA construction site optimization model developed in this study, it is necessary to review the principles of traditional SLP method, GA, and BIM technology.
2.1. Building Information Modelling (BIM) Technology
BIM is a digital representation of the physical and functional characteristics of a construction project throughout its lifecycle, encompassing the design, construction, and operation phases. The operational environment of BIM primarily consists of hardware, software, and network infrastructure [15]. The integration of prefabricated building methods with BIM technology effectively controls overall construction costs. The application of BIM technology enables the visualisation, coordination, and simulation of engineering projects [16]. BIM significantly enhances the efficiency of project design, construction, and overall project management, thereby achieving the fundamental goal of reducing costs and increasing efficiency [17].
2.2. System Layout Design Method (SLP)
SLP is an empirical method, as defined by American engineer Richard Muther in 1962, which involves the analysis and integration of numerous layout designs. The SLP method quantifies and categorises the relationships between operational units, representing their comprehensive relationships quantitatively. This approach results in the generation of relative location layout diagrams of different operational units, which are then employed as analytical tools to facilitate operations. Adjustments are made in accordance with the size of the operational facilities and the actual conditions. In contrast to qualitative analysis, the SLP method employs a quantitative approach to assess the comprehensive relationships between different operational units, taking into account the impacts of both logistics and non-logistics factors. This approach significantly enhances the scientific rationality of on-site facility layout.
2.2.1. Elements Related to the System Layout Methodology
- 1.
- Logistics elements
When applying the SLP method for floor plan layout, it is possible to analyse the flow of goods between each operation facility by dividing it into corresponding classes, so that it is not necessary to consider the specific flow values individually. A logistics table is obtained based on the classification of the flow of goods between facilities, and the overall logistics situation at the site is expressed in a streamlined manner.
The classification of the material flow level can refer to the SLP method of the proportion of the logistics level. The logistics intensity level is converted into five levels, respectively, with A, E, I, O, U, where A is greater than 20% of the overall flow of material, E accounts for 15–20% of the flow of material, I accounts for 10–15% of the flow of material, O accounts for 0–10% the flow of material, and U for 0% the flow of material [18]. The classification of the logistics intensity level can be adjusted according to the actual project situation [19]; the proportion of logistics intensity level division is shown in Table 1.
Table 1.
Proportional division of logistics intensity level.
- 2.
- Non-logistics factors
When temporary facilities are arranged on the construction site, in addition to logistics factors, non-logistics factors must also be considered. When analysing non-logistics factors, the SLP method relies more on subjective judgments, mainly measuring the supporting relationship between facilities and judging the possible impacts of facilities in different layout situations. By analysing the existing literature, this paper summarizes the main influencing factors considered in the analysis of the evaluation and analysis of temporary facilities options on construction sites in existing studies, as shown in Table 2.
Table 2.
Statistics on factors influencing non-logistic interrelationships.
Combined with the relevant elements in the statistical table of non-logistics interrelationship influencing factors, the specific conditions of the construction site are considered comprehensively in order to improve the efficiency of logistics management and ensure the operational coherence of on-site facilities, of which the non-logistics influencing factors are shown in Table 3.
Table 3.
Influence of non-logistics factors.
In the process of on-site arrangement, it is first necessary to ensure that the nature of neighbouring operating facilities is the same, whether the material handling between facilities is convenient and whether regional management is convenient. Secondly, whether there are safety and pollution problems in the mutual arrangement of neighbouring operating units, and whether there are problems of noise, vibration and smoke pollution.
- 3.
- Synthesizing relationships
In practical situations, operational units are connected not only by the movement of goods and services, but also by non-logistical relationships. Consequently, both factors must be taken into account when planning the layout of operational units. Select any two temporary operation units in the site to be represented by i and j, respectively, and define the comprehensive interrelationship evaluation value as the value of the integrated interrelationship that is defined as follows: the logistics relationship is represented by the quantitative value of the non-logistics relationship that is expressed at this time. The integrated quantitative value between the two operating units i and j is shown in Equation (1):
Typically, m:n is between 1:3 and 3:1. If the ratio is not more than 1:3, it means that the influence of logistics factors on the construction site is small. In this case, it is only necessary to analyse the relationship between non-logistics operation units in the layout process. If the ratio is greater than 3:1, then the logistics relationship should be the main element of analysis at this time, and it is only necessary to analyse the mutual influence between logistics operation units in the layout process. Combined with the actual situation of the construction site, to determine the logistics facilities and non-logistics facilities which have the same importance (so its weight ratio m:n = 1:1 [23] which represents the comprehensive relationship between the operating units), the comprehensive relationship between different operating units must be divided into different levels to establish the interconnection between the operating units. This is done by usually taking A = 4, E = 3, I = 2, O = 1, U = 0, and X = −1, by weighting and summing up, to obtain the degree of comprehensive relationship between the operating units of the sorting table.
2.2.2. Disadvantages of System Layout Methods
Inevitably, this method has its drawbacks, highlighting the necessity for improvement. Firstly, it exhibits a strong subjective bias. Analysis of relevant factors is influenced by the experiences of involved personnel and other subjective factors, making it difficult to obtain the optimal layout scheme. Secondly, it lacks flexibility, resulting in low layout efficiency. Once an SLP-designed scheme for construction site layout is adjusted, recalculations are required from scratch, making adjustments complex. Moreover, while traditional SLP methods may exhibit acceptable efficiency when dealing with a small number of construction units, they struggle to adapt to the complex and ever-changing nature of modular construction sites as the number of construction units increases.
2.2.3. Integrated Application of BIM, SLP and GA
The roles of BIM, SLP and GA in our integrated approach are as follows: The role of BIM is to extract the volume of material flow between logistics facilities, model the project and simulate it on site in BIM software, so as to obtain all kinds of basic data required for the project and the accurate volume of construction materials, and then determine the volume of material flow between logistics facilities based on the volume of work derived from the BIM model. The role of SLP is to analyse the on-site logistics facilities and non-logistics facilities, to determine the logistics intensity level between the operational facilities, to draw the initial site layout and to establish the mathematical model. The role of GA is to solve the mathematical model by GA algorithms, and then to generate the optimised site layout plan.
2.3. Genetic Algorithms
The principle of GA is to organically combine the knowledge of computer engineering and biogenetics to obtain the desired optimal individual through genetic manipulation of chromosomes. In the optimisation process, the genetic algorithm first generates an initial population consisting of several pairs of chromosomes, each chromosome in turn consisting of several genes, and in the iterative process the crossover and mutation of the genes are continuously performed, mimicking the process of species evolution in nature. The population is eliminated by the size of the fitness value of the individuals, ensuring that the offspring population is better than the parent population, and the optimal solution is finally obtained through repeated evolution and iteration of the population [24]. The operation of the genetic algorithm is shown in Figure 1.
Figure 1.
Genetic algorithm operation flow.
3. BIM-Integrated SLP-GA Construction Site Optimization Model Construction
3.1. A Conceptual Framework of the BIM-Integrated SLP-GA Construction Site Optimization Model
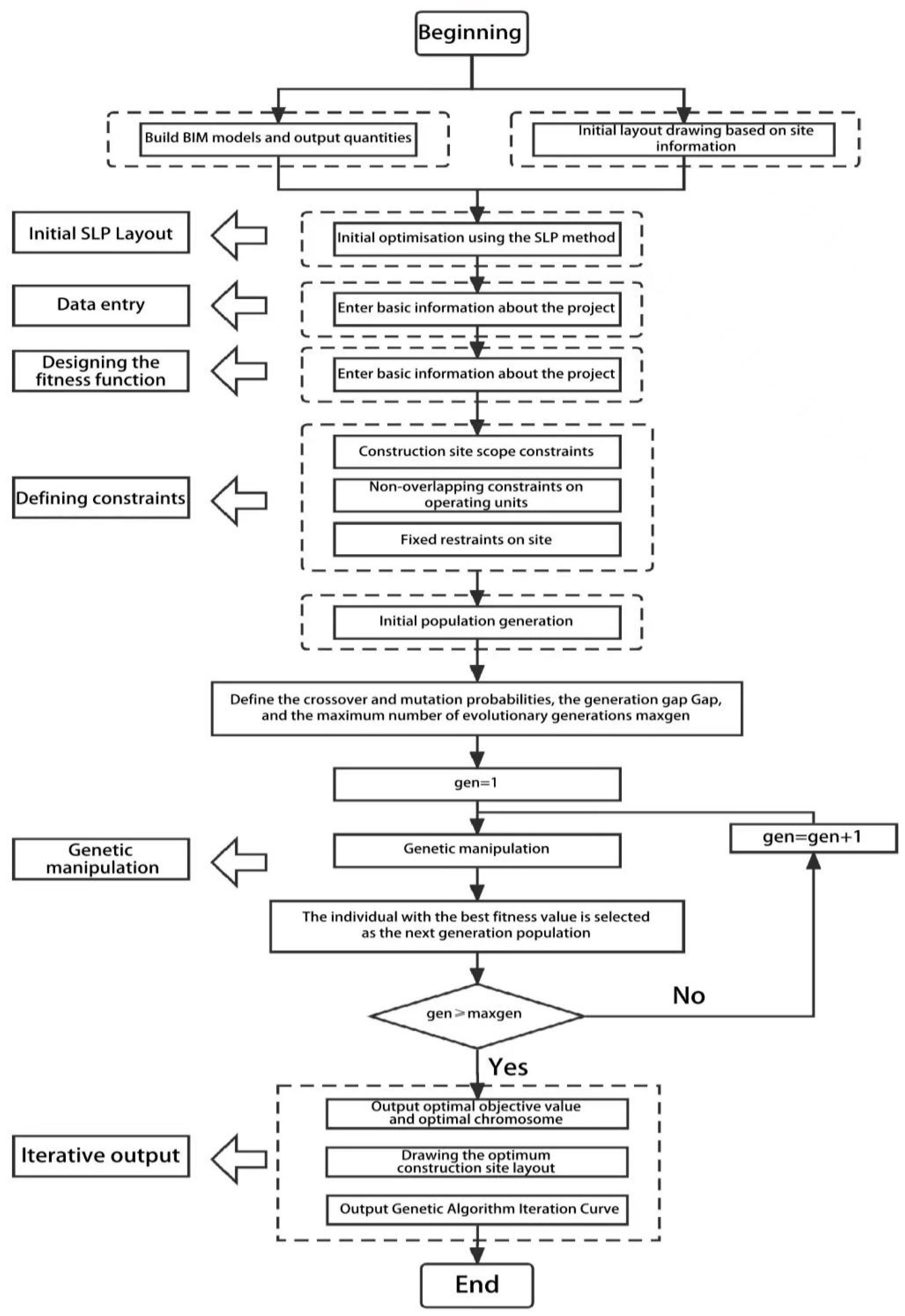
In order to make up for the shortcomings of the traditional SLP method, this study constructs a BIM-integrated SLP-GA construction site optimization model, and the construction ideas are as follows:
- 1.
- Survey the basic situation of the site and the site area. The exact locations of the buildings are positioned according to the drawings and the building red line, and the location of the buildings for a specific project are fixed and unchanging, and they are already determined in the architectural design and defined by the third constraint in the model. Model the project and simulate the site in BIM software according to the surveyed data, so as to obtain all kinds of basic data and accurate building material quantities required for the project. The research problem is to arrange and optimize the location of logistics temporary facilities within the site of the construction site under the premise of the existing fixed building location;
- 2.
- Determine the amount of material flow between each logistics facility based on the project volume derived from the BIM model;
- 3.
- Analyse the site facilities using SLP methodology, determine the degree of logistics intensity between the facilities, and draw a preliminary site layout plan;
- 4.
- Establish a mathematical model and determine the objectives and assumptions of the model in combination with the actual situation of the construction site;
- 5.
- Introduce a genetic algorithm to solve the mathematical model, and set the specific parameters of the genetic algorithm;
- 6.
- Generate the optimized site layout plan and verify the effectiveness of the model;
- 7.
- Apply the SLP method to analyse on-site logistics facilities and non-logistics facilities, determine the level of logistics intensity between each operational facility, and draw an initial site layout plan;
- 8.
- Establish a mathematical model to determine the objectives and assumptions of the model in conjunction with the actual conditions and relevant constraints at the construction site;
- 9.
- Introduce the genetic algorithm to solve the mathematical model and set the specific parameters of the genetic algorithm;
- 10.
- Generate optimized site layout scenarios, verify the validity of the model and perform related analysis.
The conceptual framework of the BIM-integrated SLP-GA construction site optimization model is shown in Figure 2.
Figure 2.
SLP-GA optimization flowchart.
3.2. Strengths of the Models Constructed in This Study
- 1.
- Accuracy and Visualization
The BIM-integrated SLP-GA construction site optimization model integrates BIM to provide accurate 3D models and visual effects of the construction site, making planning and optimization results more intuitive and helpful for understanding and decision making. Traditional SLP mainly uses 2D drawing and text description, lacking intuitiveness and accuracy.
- 2.
- Optimization Algorithm Efficiency
The BIM-integrated SLP-GA construction site optimization model incorporates a genetic algorithm to efficiently handle complex multi-objective optimisation problems. It iteratively evolves to find optimal solutions and avoid local optima. This addresses the limitations of traditional SLP methods that rely on subjective judgement. Traditional SLP usually combines qualitative and quantitative methods, heavily relying on experience and manual operation, with relatively low efficiency.
- 3.
- Dynamic optimization capability
The optimization results of traditional SLP are often static and difficult to adapt to the changing needs during the construction process. By applying the BIM-integrated SLP-GA construction site optimization model, the construction site layout can be dynamically simulated and optimized, and it can respond to the changes in the construction process in real time, and it can be adjusted in the schedule and resource allocation. Therefore, the application of the BIM-integrated SLP-GA construction site optimization model ensures the flexibility of the construction site layout optimization process.
3.3. Detailed Process of Model Construction
Through the field inspection of the construction site to collect relevant information about the operating units and through the field measurement to obtain the length and width of each operating unit, the required area, the overall length and width of the layout area can be determined. In order to facilitate the analysis of the various operating units on the construction site, the structure of each operating unit is assumed to be rectangular, and the site is transformed into a mathematical model. The mathematical model and architectural design has a good mutual promotion role, and reasonable mathematical model construction and optimization will effectively promote the smooth progress of architectural design. The construction and optimization of a reasonable mathematical model will effectively promote the smooth implementation of architectural design. Multi-objective optimization is carried out on the basis of the layout model diagram, and the layout model diagram is shown in Figure 3.
Figure 3.
Schematic diagram of the planar model.
Assuming that all operating units on the construction site are arranged on the same construction plane, the area and shape of each operating unit is simplified to a rectangle, as shown in Figure 3. Construct the plane model on two-dimensional coordinate axes, where o is the origin of the coordinate axes, L and W are the length and width of the layout area, respectively, and the sides of each temporary facility area are parallel to the x and y axes, where and represent the center coordinates of operation, and units i and j, respectively. and represent the horizontal coordinates of operation units i and j, and and are the vertical coordinates of the operating units i and j, respectively. , and and , respectively, are the lengths of operational units i and j in horizontal and vertical coordinates. In the initial layout stage, the location of the road basically does not affect the overall layout, so the initial layout does not take into account the impact of the on-site road that will be simplified to the width of the ground line in the process of the plan setup which does not take into account the impact of the plot ratio on the overall land area of the operating unit.
3.3.1. Objective Function
According to the schematic plan model, the construction site layout process should consider both how to arrange the layout in order to make the strongest comprehensive relationship between the existing operating units and how to minimize the secondary handling costs that will have incurred between the operating units, that is, the pursuit of the objective function. When the minimum secondary handling costs and the integrated relationship between the maximum are considered at this time, the site layout under these conditions can achieve the optimum. In the actual project, the construction materials need to be transported many times between the construction site facilities, for example, cement, sand and stone needs to be transported many times to the location of the concrete mixer, the concrete mixer mixing concrete to the building, etc. If the facilities are not set up reasonably, there will be a number of instances of secondary handling, that is, the construction materials cannot be transported once to the required location. When considering a reasonable layout of construction site facilities in terms of building flow costs, the process of secondary transportation will be reduced, which will greatly reduce logistics costs. Therefore, the arrangement of the construction site facilities will affect the logistics cost to a greater extent. The specific objective function is shown in Equation (2):
where Equation (2) is the minimum material handling cost objective function that represents the Manhattan distance between temporary facilities i to j, which is calculated as follows . i and j represent the operating unit number (i ≠ j), and n is the total number of operating units. represents the unit transportation cost of facilities i to j. The operational units of different flows of material types and forms of materials are different, so the cost of transportation between the operational units are not the same. To determine the actual price of the transportation of various materials is more difficult, and so in order to simplify the calculation, this paper adopts a different proportion of the way to express the cost of transportation between the different units: set the cost of transportation of one of the materials to 1 to determine the cost of transportation of the other materials. The unit transportation cost of other materials is determined by setting the transportation cost of one of the materials as 1. represents the material flow from operation unit i to j; the material flow can be derived from the BIM model, and for the material flow that cannot be obtained, it can be obtained according to the on-site investigation or deduction calculation.
The maximum integrated relationship objective function is shown in Equation (3):
where represents the integrated interrelationship between facility i and facility j, which can be analysed by the SLP method, and represents the adjacency degree between facility i and facility j. The adjacency degree is the degree of proximity between the facilities. In the actual arrangement process, each facility may not be adjacent to the facility with the largest integrated relationship with itself, so when calculating the relationship of each operation unit on the construction site plane, the influence of the actual arrangement location on the facility should be considered, which can be reflected by the degree of adjacency, and the corresponding value of the correlation factor is shown in Table 4.
Table 4.
Corresponding values of correlation factors.
From Table 4 the can be obtained from the formula , which is expressed as the maximum distance between the facilities. Among them, Equations (2) and (3) are the problems of finding the minimum and maximum values, respectively, and in order to make the solving computation more concise in the genetic algorithm, the multi-objective optimization problem is converted into a single-objective optimization problem for solving, as shown in Equation (4):
where is the weight of handling cost, is the weight of the degree of facility integration, , is obtained by the expert scoring method and the actual situation on site, and is the weight value of handling cost.
3.3.2. Constraints
The following constraints need to be satisfied in order to make the established objective function conform to the situation in the actual arrangement in the field:
- 1.
- Construction site scope constraints
Since the scope of the operation area of the construction site is not unlimited, the existing buildings around the construction site will affect the size of the construction operation area, and the size of the construction site is generally determined according to the red line of the building in the general building plan, so this constraint is based on the actual situation of the project and architectural drawings to determine the scope of the site of the building construction site.
Site-wide constraints are to be met during the site layout process:
In the formula,, are the center coordinates of the operating unit i. , and is the length and width of the construction site, and is the minimum spacing of the facility boundary.
- 2.
- Non-overlapping constraints on operating units
When arranging on-site facilities at a construction site, due to the different horizontal and vertical dimensions as well as areas and functions of the site, there may be overlapping areas occupied by certain facilities, thus affecting the applicability of the actual construction site layout. Therefore, this constraint limits the occurrence of site overlap. In order to avoid overlapping locations of construction units during site layout, the non-overlapping layout constraints must be met in the layout:
In the formula, , are the center coordinates of the operating unit i. , and is the length and width of the construction site, and is the minimum spacing of the facility boundary, the and is the length of each unit.
- 3.
- Fixed constraints
In the actual construction site facilities layout process, some facilities have a special function or the layout requirements of the location of the facilities cannot be changed, such as the building itself or tower cranes, etc. The specific location of large buildings is located according to the drawings and building red lines. The location of the buildings of a specific project are fixed and unchanging as it is already determined in the architectural design. The research problem is to carry out the arrangement and optimization of temporary facilities for logistics within the site of the construction site under the premise of an existing fixed building location. In the case of the same project, the positioning of the building itself does not affect the process of optimization, the results of the process nor the results of the optimization, so we need to set up the corresponding fixed constraints to avoid the layout process caused by the change of location of the fixed facilities. The specific fixed constraints are as follows:
In the formula, , are the centre coordinates of the operating unit i and are the lengths of the units.
3.3.3. Genetic Algorithm Operator Design
- 1.
- Facility codes
Genetic algorithms for solving on-site facility placement problems presuppose that the data and objectives to be solved are transformed into an encoding string and represented in the genetic space. Whether the encoding method is appropriate or not will have a direct impact on the accuracy of the algorithm. In order to more accurately describe each operational unit on site and set up the genetic form by combining the coordinates of the facility with the layout direction of the facility, this paper adopts two coding methods, real number coding and binary coding, to encode the temporary facilities. Real number coding determines the location of temporary facilities and binary coding adjusts the direction of temporary facilities. Real number coding can be encoded directly on the space of solutions, and the encoding method is simple and direct, avoiding frequent encoding and decoding processes.
- 2.
- Initial stock setup
In the process of population initialization, a reasonable population size should be considered. Avoid a population size that is too small, which limits the overall search range of the algorithm, and at the same time, avoid a population size too large, which causes the population to fall into the local solution, increasing the convergence time and computational difficulty. Generally, it is appropriate to take 10~200 populations, and in this paper, the number of initial populations is set to 100, and by combining with the SLP method, the layout generated by the SLP method is used as the initial population to accelerate the overall convergence speed of the genetic algorithm, and to search for optimization faster.
- 3.
- Adaptation function
The definition of the fitness function is also usually different for different research questions. Usually, the objective function can be directly transformed into the fitness function. According to the objectives and requirements of this paper, the adaptation degree function is constructed by taking the inverse method, i.e.:
where is the objective function and C is a constant greater than or equal to 0, where. The fitness function and the objective function are inversely proportional; the larger the objective function, the smaller the fitness value and the higher the likelihood that an individual will be eliminated from the game.
- 4.
- Selection of operations
In this paper, we use roulette to perform a selection operation on a population, i.e., the probability of each individual being selected is proportional to the fitness. The essence is that selection is carried out in a proportional way, where the fitness of an individual is used to determine the proportion to be retained in the offspring. If the fitness size of an individual is , the population size is , then its probability of being selected is as follows:
where represents the probability of being selected, and is the adaptability of the individual. The greater the fitness of the individual, the greater the chance of selection, and vice versa. If only the selection operation is carried out, the offspring produced by the genetic algorithm, i.e., the optimal solution, will not exceed the range of the initial population, and it is difficult to converge the optimal solution. Therefore, the crossover operator and mutation operator are also needed to make the objective function close to the optimal solution. Genetic algorithms mainly rely on selection, crossover and mutation to evolve the population in the genetic operation.
- 5.
- Cross-operation
The crossover operation is to exchange part of the chromosomes of the parent generation thus obtaining a new individual, improving the global search ability of the genetic algorithm in the solution space. According to the coding method, in this paper, the arithmetic crossover method is used to perform arithmetic crossover on the facility coordinates, and single-point crossover is used for the direction of the facility, and the general crossover probability is taken as 0.25–1.00.
Arithmetic crossover: Arithmetic crossover methods are commonly used in real number coding to better search over the space of solutions while maintaining good information exchange, randomly swapping genes at different locations on the parent chromosome.
In the formula, , is the newly generated offspring of , is the parent individual, and is any random number between 0 and 1. When time, the arithmetic crossover schematic is shown in Figure 4.
Figure 4.
Schematic diagram of arithmetic intersection. (Pink represents the first generation, yellow represents the second generation).
Single-point crossover: Single-point crossover is a classic crossover method, which cuts the chromosomes through random points on the chromosomes and exchanges the chromosome parts on the right side of the cut point, thus obtaining a brand-new zygote individual. Compared with other crossover methods, single-point crossover can minimize the damage to the parent’s genes to a greater extent and retain the good genes. The schematic diagram of single-point crossover is shown in Figure 5.
Figure 5.
Schematic diagram of a single point of intersection. (The different colors identify the parts of chromosomes that are exchanged after single-point crossing).
- 6.
- Mutation operation
Mutation operation is to change the chromosome genes again on the basis of selection and crossover to increase the diversity of the population. In this paper, we are using the centre coordinates of the temporary facility as the chromosome, so the mutation is also changing the horizontal and vertical coordinates of that facility. Genes at a mutation probability of when the mutation is expressed is shown in Equation (12):
where is the mutated allele of which is the gene, rand is any random number between 0 and 1, and and are the upper and lower bounds of the variable.
- 7.
- Algorithm termination
If the current number of iterations is less than or equal to the set number of evolutions, then the iterations continue, usually between 100–1000 iterations.
4. Case Study
4.1. Background of a Prefabricated Construction Project in Jilin City
The actual environment of the site is restored in this case, including the relevant constraints of the site. The site and its surroundings have been partially simplified in this case, mainly by ignoring some irregular areas and improving the space available for temporary facilities on the site. The building category is Grade III, the service life is 50 years, the number of floors above ground is 17, the main structure is a shear wall structure, the building height is 49.95 m, the seismic strength is 7 degrees, and the total building area is 721.41 m2. The prefabricated components on the standard floors (three floors and above, with the top floor cast-in-place) are internal and external load-bearing walls (excluding hidden piles, elevators and stairwell cores), prefabricated staircases, air-conditioning panels, floor slabs, and so on. The plan dimension of the building is 41.7 × 17.3 m. The shape of the construction site boundary is simplified to a rectangle, and the simplified initial plan of the construction site and the BIM 3D field layout are shown in Figure 6.
Figure 6.
Initial construction site layout.
4.2. Optimisation Process of the Construction Site Layout of the Case Project
According to the actual situation of the construction site, calculate the area of the construction site and the main area of the construction zone, draw the initial layout plan of the site according to the relevant data of the survey, and model the site in the BIM software according to the relevant data of the survey in the early stage, and simulate the construction project by using the BIM5D, so as to obtain the basic data of the proposed object and the engineering volume, and determine the logistics flow direction and corresponding material flow volume between the logistics operation units through the engineering volume, logistics flow direction and corresponding material flow. The BIM model of the proposed building and its related breakdown are shown in Figure 7.
Figure 7.
BIM model of the proposed building.
Based on the actual conditions of the temporary facilities on site, the material flows between the 12 units in the focus of concern were considered, as shown in Table 5.
Table 5.
Construction site temporary facilities marking list.
F1–F12 are the main temporary facilities on the construction site, which can be categorized into material yard, processing facilities, auxiliary facilities and office life facilities. At the same time, this paper considers the actual situation of the construction site and sets the construction area of the proposed building and the non-arrangeable area of the site as a fixed area.
4.2.1. Operational Unit Interrelationship Analysis
Based on the SLP method, 12 operation units on the site were correlated and analysed. Firstly, the logistics relationship between the operation units was analysed, and A, E, I, O, and U represent different levels of logistics intensity. From left to right, they are ultra-high logistics intensity, high logistics intensity, large logistics intensity, general logistics intensity and basically negligible logistics intensity. The direction of logistics flow between units at the construction site is shown in Figure 8.
Figure 8.
Construction site logistics flow diagram.
By modelling the proposed building in the BIM simulation software, the material flow rate between the temporary facilities is obtained, and the ratio of the logistics undertaking and logistics level of each logistics facility is determined, and the material flow rate of each operation unit is shown in Table 6.
Table 6.
Logistics intensity statistics by operating unit.
Based on the statistics of logistics intensity of each operation unit in Table 6, the correlation diagram of the logistics relationship of each operation unit is plotted, as shown in Figure 9.
Figure 9.
Logistics interrelationship diagram.
Based on the above correlation table of non-logistic influences, the non-logistic interrelationships between the operational units were determined as shown in Figure 10.
Figure 10.
Non-logistics interrelationships.
The integrated interrelationships between the temporary facilities are obtained by quantifying the logistic and non-logistic relationships between the operating units on a 1:1 scale, as shown in Figure 11.
Figure 11.
Integrated interrelationship diagram.
When arranging the site, priority should be given to the location of the tower crane. When planning the construction site gates, construction roads, etc., it is necessary to consider the impact on the surrounding environment, to ensure smooth traffic inside and outside the site, to ensure that prefabricated component yards and material processing areas are located within the lifting radius of the cranes, and finally, to arrange the offices, living quarters and other on-site supporting facilities. The comprehensive relationship between the operating units to determine the construction site temporary facilities after optimization of the initial SLP layout is shown in Figure 12.
Figure 12.
Initial SLP optimization layout.
4.2.2. Analysis of SLP Optimized Layout Results
The initial layout was optimized using the SLP method to obtain the optimized layout coordinates for each operational unit as shown in Table 7 as follows.
Table 7.
Coordinates of each operational unit after optimization of the SLP approach.
The minimum cost and maximum composite relationship after optimization by the SLP method is summarized in Table 8 and Table 9. It can be obtained that the minimum cost after optimization using the SLP method is $126,816 and the maximum composite relationship is 22.4.
Table 8.
Unit distance and minimum cost of each operating unit after optimization using the SLP methodology.
Table 9.
Comparison of optimization results. Maximum integrated relationship between operational units after optimization using the SLP methodology.
4.2.3. Genetic Algorithm Layout and Layout Result Analysis
The traditional SLP method requires manual operation to draw and adjust the positional diagrams of the operating units after analysing the operating units to obtain the comprehensive relationship between the corresponding operating units, during which the decision maker may be affected by different factors, which leads to a large error in the actual operating unit layout. Moreover, when there are more operating units, it is cumbersome to deal with, it wastes labour and is not easy to adjust, and the accuracy of the temporary facility layout is low. In this paper, a genetic algorithm is used to improve the system layout method, through the optimization model established in the previous section, MATLAB 9.7.0 software is used to carry out programming and solving, and the optimized work unit related to the map of the construction site is automatically generated.
Combined with the construction site layout model and objective function established above, the relevant elements of the genetic algorithm are clarified. Referring to the research of other scholars and the actual situation of the project, in order to avoid the algorithm from falling into the situation of premature convergence, this paper sets the initial population size to 100, the maximum number of evolutionary generations to 1000, takes the crossover probability as 0.8, and the variance probability as 0.2. After determining the relevant parameters and data required for the genetic algorithm, the global variables are defined in MATLAB, and the data in the corresponding files are read. At the same time, considering the time and stability of the convergence of the genetic algorithm, after a number of debugging, the specific data, iteration results and three-dimensional field cloth between the operating units at the construction site are directly generated, and the results graph of the genetic algorithm operation is shown in Figure 13 as follows.
Figure 13.
Graph of the results of the genetic algorithm run.
Substituting the relevant parameters and data into MATLAB, the algorithm can automatically generate the optimized facility layout map and the iterative curve of the objective function, as shown in Figure 14.
Figure 14.
Facility layout after genetic algorithm optimization.
4.3. Optimisation Results and Comparison with Traditional Layout Methods
The optimal solution of the objective function and the coordinates of each facility are shown in Table 10.
Table 10.
Objective function and coordinates of the optimal solution.
The comparative results between the optimized construction site layout by the optimization model constructed in this study and the traditional SLP construction site layout are shown in Table 11.
Table 11.
Comparison of optimization results.
Through comparison, it is found that the optimization method proposed in this study significantly enhances the SLP method’s optimization results for construction sites. This enhancement is beneficial for further reducing logistics costs and maximizing overall relationships, thereby achieving coordination across multiple dimensions, including efficiency, risk, and space utilization. Additionally, the dynamic nature of prefabricated construction sites requires adaptable solutions. The proposed model dynamically adjusts and optimizes site layouts, ensuring flexibility and overcoming the limitation of traditional SLP methods, which produces static optimization results that struggle to meet the continuously changing demands of construction processes. In contrast, the optimization model designed in this study features dynamic adjustability and automatic layout generation.
4.4. Comparison of Optimization Results
The results of this study improve on the AlSaggaf, A. (2023) study, who only used the Site Layout Planning (SLP) method for static construction site placement without using an intelligent algorithm for optimisation. Our results are more optimised compared to their results and allow for dynamic optimisation of construction sites [22]. Comparing the optimized results of SLP-GA with the optimized minimum logistics cost and maximum integrated relationship of the SLP method, it can be found that after optimizing the SLP method by the SLP-GA model, both the minimum logistics cost and the maximum integrated relationship have been significantly improved, and the optimization has been made by 8.58% on the minimum logistics cost and 11.61% on the maximum integrated relationship, which verifies the optimization algorithm’s effectiveness. Our results improve on the study by Lu and Zhu (2021), who used a genetic algorithm (GA) to optimise the facility layout problem for prefabricated building sites [13] without considering the incorporation of BIM technology, and the present study yields better visualisation results.
5. Conclusions
With the lack of attention to building flow management in traditional engineering projects, and even fewer studies specializing in construction site logistics management, this study considers the waste of time and space caused by the secondary handling of materials in the process of building construction, takes the minimum handling cost at the construction site and the maximum integrated relationship between facilities as the arrangement goal, combines BIM technology and a GA algorithm to improve the traditional SLP method, and improves the traditional site arrangement method.
Compared to traditional construction methods, the layout planning of prefabricated construction sites is notably more complex. Prefabricated components and lifting equipment occupy substantial on-site space, and improper layouts can result in workspace conflicts, increased transportation costs, and decreased project efficiency. While existing research extensively examines the optimization of traditional concrete construction site layouts, studies on prefabricated construction site layout optimization remain limited. This study addresses this gap by focusing on the optimization of prefabricated construction site layouts. A BIM-integrated SLP-GA construction site optimization model is developed to solve the layout optimization problem for prefabricated construction sites. When applied to a case study, the model demonstrates significant advantages, achieving an 8.58% optimization in logistics costs and an 11.61% improvement in comprehensive relationships.
The contributions of this study are as follows:
- 1.
- The optimization model developed in this study enhances the accuracy of planning results by visualizing the layout optimization process. Integrating BIM technology allows for dynamic adjustments to the layout, overcoming the static nature of traditional SLP methods and better meeting the dynamic adjustment needs of prefabricated construction.
- 2.
- By integrating genetic algorithms, the model efficiently handles complex multi-objective optimization problems. It finds optimal solutions through iterative evolution, avoiding local optima and addressing the limitations of traditional SLP methods that rely on subjective judgment.
- 3.
- Previous research on prefabricated construction site layout optimization rarely considers the impact of secondary handling. This study’s optimization objectives account for both minimizing material handling costs from secondary handling and maximizing comprehensive relationships.
The BIM, SLP and GA methods applied in this research methodology are universal; for different cases it is sufficient to change the basic data of the case, and the method itself can be applied in different cases. The limitation of this study is that due to the influence of information and realistic factors, this study has not carried out an in-depth study on the use efficiency of the internal space of temporary facilities. In the next step of the study, it can be combined with the analysis of the indexes of the utilization of the internal space of the facilities to further improve the optimization of the logistics effect of the internal space of the temporary facilities. Due to the fixed nature of the input parameter data of the specific project, the sensitivity issue was not studied, and we may focus on more cases to further explore the sensitivity issue in the future. The factors affecting logistics costs are relatively fixed for different types of construction projects due to intrinsic reasons such as the same types of construction materials and similar methods of the construction process. So, the types of facility arrangements for different projects are basically the same, and the main influencing factors tend to be the same. In conclusion, the proposed optimization model demonstrates clear advantages over traditional SLP methods, providing practical guidance for the layout optimization of prefabricated construction sites.
Author Contributions
Conceptualization, L.W. (Lin Wang) and Y.C.; methodology, Q.W. and S.D.; writing—original draft preparation, L.W. (Liang Wang) and S.D.; writing—review and editing, Y.C.; supervision, Y.C.; funding acquisition, L.W. (Lin Wang). All authors have read and agreed to the published version of the manuscript.
Funding
This research was funded by the Jilin Provincial Department of Education, grant number JJKH20230089SK. This research was funded by Social Science Foundation of Jilin Province, grant number 2023J32.
Data Availability Statement
The raw data supporting the conclusions of this article will be made available by the authors on request.
Acknowledgments
We thank the editors and reviewers for their valuable comments!
Conflicts of Interest
The authors declare no conflicts of interest.
References
- Wang, H.; Zhang, Y.; Gao, W.; Kuroki, S. Life Cycle Environmental and Cost Performance of Prefabricated Buildings. Sustainability 2020, 12, 2609. [Google Scholar] [CrossRef]
- Wu, H.; Qian, Q.K.; Straub, A.; Visscher, H.; Zhuang, T. How Do Developers Influence the Transaction Costs of China’s Prefabricated Housing Development Process? An Investigation through the Bayesian Belief Network Approach. Systems 2024, 12, 147. [Google Scholar] [CrossRef]
- Ghufran, M.; Khan, K.I.A.; Ullah, F.; Nasir, A.R.; Alahmadi, A.A.; Alzaed, A.N.; Alwetaishi, M. Closing the Loop in the Construction Industry: A Systematic Literature Review on the Development of Circular Economy. Buildings 2022, 12, 1004. [Google Scholar] [CrossRef]
- Yao, G.; Li, R.; Yang, Y. An Improved Multi-Objective Optimization and Decision-Making Method on Construction Sites Layout of Prefabricated Buildings. Sustainability 2023, 15, 6279. [Google Scholar] [CrossRef]
- Zhang, H.; Yu, L. Site Layout Planning for Prefabricated Components Subject to Dynamic and Interactive Constraints. Autom. Constr. 2021, 126, 103693. [Google Scholar] [CrossRef]
- Riga, K.; Jahr, K.; Thielen, C.; Borrmann, A. Mixed Integer Programming for Dynamic Tower Crane and Storage Area Optimization on Construction Sites. Autom. Constr. 2020, 120, 103259. [Google Scholar] [CrossRef]
- Ji, Y.; Leite, F. Optimized Planning Approach for Multiple Tower Cranes and Material Supply Points Using Mixed-Integer Programming. J. Constr. Eng. Manag. 2020, 146, 04020007. [Google Scholar] [CrossRef]
- Aydemir, E.; Yilmaz, G.; Oruc, K.O. A Grey Production Planning Model on a Ready-Mixed Concrete Plant. Eng. Optim. 2020, 52, 817–831. [Google Scholar] [CrossRef]
- Hammad, A.W.A.; Rey, D.; Akbarnezhad, A. A Cutting Plane Algorithm for the Site Layout Planning Problem with Travel Barriers. Comput. Oper. Res. 2017, 82, 36–51. [Google Scholar] [CrossRef]
- Said, H.; El-Rayes, K. Optimizing the Planning of Construction Site Security for Critical Infrastructure Projects. Autom. Constr. 2010, 19, 221–234. [Google Scholar] [CrossRef]
- Katoch, S.; Chauhan, S.S.; Kumar, V. A Review on Genetic Algorithm: Past, Present, and Future. Multimed. Tools Appl. 2021, 80, 8091–8126. [Google Scholar] [CrossRef] [PubMed]
- Zhu, L.; Wang, X.; Zhang, H. The Optimization Method Based on the Coupling of Genetic Algorithm and Ant Colony Algorithm for the Exhaust Outlet Space Arrangement. AIP Adv. 2024, 14, 35–50. [Google Scholar]
- Lu, Y.; Zhu, Y.Q. Integrating Hoisting Efficiency into Construction Site Layout Plan Model for Prefabricated Construction. J. Constr. Eng. Manag. 2021, 147, 04021130. [Google Scholar] [CrossRef]
- Yang, Z.; Lu, W.W. Facility Layout Design for Modular Construction Manufacturing: A Comparison Based on Simulation and Optimization. Autom. Constr. 2023, 147, 104713. [Google Scholar] [CrossRef]
- Abuhussain, M.A.; Waqar, A.; Khan, A.M.; Othman, I.; Alotaibi, B.S.; Abuhussain, F.A.M. Integrating Building Information Modeling (BIM) for Optimal Lifecycle Management of Complex Structures. Structures 2024, 60, 105831. [Google Scholar] [CrossRef]
- He, R.; Li, M.; Vincent, J.L.; Ma, G.J. BIM-enabled Computerized Design and Digital Fabrication of Industrialized Buildings: A Case Study. J. Clean. Prod. 2021, 278, 123505. [Google Scholar] [CrossRef]
- Leon, M.; Laing, R. A Concept Design Stages Protocol to Support Collaborative Processes in Architecture, Engineering and Construction Projects. Eng. Des. Technol. 2022, 20, 777–799. [Google Scholar] [CrossRef]
- Hu, W.; Dong, J.; Hwang, B.G.; Ren, R.; Chen, Z. Network Planning of Urban Underground Logistics System with Hub-and-Spoke Layout: Two Phase Cluster-Based Approach. Eng. Constr. Archit. Manag. 2020, 27, 2079–2105. [Google Scholar] [CrossRef]
- Zouein, P.P.; Kattan, S. An Improved Construction Approach Using Ant Colony Optimization for Solving the Dynamic Facility Layout Problem. Oper. Res. Soc. 2022, 73, 1517–1531. [Google Scholar] [CrossRef]
- Phuoc, L.L.; Thien-My, D.; Amin, C. BIM-Based Framework for Temporary Facility Layout Planning in Construction Site. Constr. Innov. 2019, 19, 424–464. [Google Scholar]
- Song, X.; Peña-Mora, F.; Shen, C.; Zhang, Z.; Xu, J. Modelling the Effect of Multi-Stakeholder Interactions on Construction Site Layout Planning Using Agent-Based Decentralized Optimization. Autom. Constr. 2019, 107, 102927. [Google Scholar] [CrossRef]
- AlSaggaf, A.; Jrade, A. ArcSPAT: An Integrated Building Information Modeling (BIM) and Geographic Information System (GIS) Model for Site Layout Planning. Int. J. Constr. Manag. 2023, 23, 505–527. [Google Scholar] [CrossRef]
- Tao, G.; Feng, H.; Feng, J.; Wang, T. Dynamic Multi-Objective Construction Site Layout Planning Based on BIM. KSCE J. Civ. Eng. 2022, 26, 1522–1534. [Google Scholar] [CrossRef]
- Volchenkov, E. Mathematical Modeling of Systems, Its Nature and Limits of Applicability. Kybernetes 2021, 50, 2583–2596. [Google Scholar] [CrossRef]
Disclaimer/Publisher’s Note: The statements, opinions and data contained in all publications are solely those of the individual author(s) and contributor(s) and not of MDPI and/or the editor(s). MDPI and/or the editor(s) disclaim responsibility for any injury to people or property resulting from any ideas, methods, instructions or products referred to in the content. |
© 2024 by the authors. Licensee MDPI, Basel, Switzerland. This article is an open access article distributed under the terms and conditions of the Creative Commons Attribution (CC BY) license (https://creativecommons.org/licenses/by/4.0/).













