Investigating Factors Impacting Power Generation Efficiency in Photovoltaic Double-Skin Facade Curtain Walls
Abstract
1. Introduction
2. Research Method
2.1. Ventilated Photovoltaic Glass Curtain Wall System Model
2.2. Theoretical Model of Ventilated Photovoltaic Curtain Wall System
2.3. Calculation of the Heat Transfer Coefficient
2.3.1. Convective Heat Transfer Coefficient
2.3.2. Radiative Heat Transfer Coefficient
2.3.3. Energy Absorption by Glass Curtain Wall
2.4. Evaluation Indicators
2.5. Case Data
2.5.1. Meteorological Data
2.5.2. Performance Parameters
2.5.3. Relationship between the Installation Tilt Angle and Power Generation
2.6. Validation of the Model
3. Results and Analysis
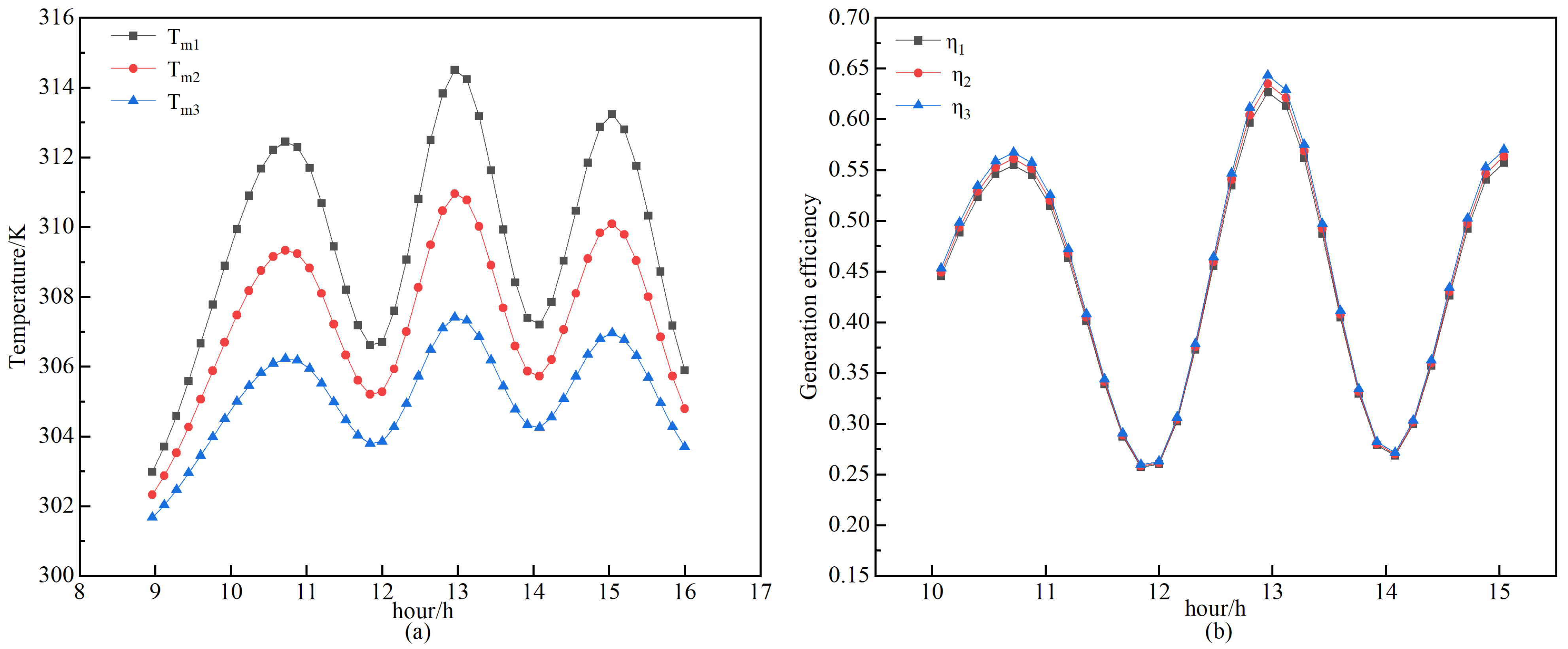
3.1. Temperature of the Photovoltaic Glass Affected by the Solar Radiation
3.2. Impact of the Tilt Angle on Photovoltaic Power Generation
3.3. Impact of the Ventilation Spacing on the Photovoltaic Power Generation Efficiency
3.4. Impact of the Seasonal Change on the Power Generation Efficiency
3.5. Impact of the Photovoltaic Glass Transmittance on the Power Generation Efficiency
4. Discussion
5. Conclusions
Author Contributions
Funding
Data Availability Statement
Acknowledgments
Conflicts of Interest
Nomenclature
| A | area, m2 |
| Ag | temperature fluctuation range |
| am | solar radiation absorption coefficient of photovoltaic module |
| ag | absorption coefficient of inner glass to solar radiation |
| a | coefficient of gas expansion, m2/s |
| cg | inner glass specific heat, J/(kg·K) |
| cm | component specific heat capacity, J/(kg·K) |
| dm | component thickness, mm |
| E | solar radiation energy, W/m2 |
| hconv,a,m | convection heat transfer coefficient between outdoor air and surface air of photovoltaic panel, W/(m2·K) |
| hr,m,sky | radiant heat transfer coefficient of sky and photovoltaic panel surface, W/(m2·K) |
| hr,m,gro | radiative heat transfer coefficient between sky and ground, W/(m2·K) |
| hr,m,g | radiant heat transfer coefficient between photovoltaic panel and inner glass, W/(m2·K) |
| hconv,m,g | convective heat transfer coefficient between photovoltaic panel and inner glass, W/(m2·K) |
| hconv,g,room | convective heat transfer coefficient between inner glass and interior, W/(m2·K) |
| hr,g,room | radiant heat transfer coefficient between component and sky, W/(m2·K) |
| hr,room,g | radiant heat transfer coefficient between inner glass and interior, W/(m2·K) |
| hconv,m,g | convective heat transfer coefficient between inner glass and photovoltaic panel, W/(m2·K) |
| Pout | output power, W |
| Ra | Rayleigh number |
| Ta | environment temperature, K |
| Tsky | sky effective temperature, K |
| Tm | photovoltaic module surface temperature, K |
| Tg | inner glass temperature, K |
| Tgro | surface temperature, K |
| Troom | indoor temperature, K |
| tgro | average annual temperature of soil surface, °C |
| Tdb | dew point temperature, K |
| Xm-sky | the radiation Angle coefficient of photovoltaic module to the sky |
| Xm-gro | the radiation Angle coefficient of photovoltaic module to the ground |
| y | depth from the surface of the soil, m |
| Greek Symbols | |
| εsky | sky emissivity |
| αm | absorption coefficient of photovoltaic module |
| αg | inner glass absorption coefficient |
| τm | transmittance |
| λ | fan coil supply air |
| Φ | absorbed radiation, W |
| ν | kinematic viscosity |
| ρm | density |
| Subscripts | |
| a | outdoor air |
| g | inner glass |
| m | photovoltaic module |
| sky | sky |
| gro | ground |
| Abbreviation | |
| BIPV | building integrated photovoltaics |
| VPV IGU | vacuum photovoltaic insulating glass unit |
References
- Zhou, S.; Tong, Q.; Pan, X.; Cao, M.; Wang, H.; Gao, J.; Ou, X. Research on low-carbon energy transformation of China necessary to achieve the Paris agreement goals: A global perspective. Energy Econ. 2021, 95, 105137. [Google Scholar] [CrossRef]
- Mangkuto, R.A.; Rohmah, M.; Asri, A.D. Design optimisation for window size, orientation, and wall reflectance with regard to various daylight metrics and lighting energy demand: A case study of buildings in the tropics. Appl. Energy 2016, 164, 211–219. [Google Scholar] [CrossRef]
- Wang, M.; Li, T.; Li, C.; Zhou, H.; Ju, X.; Tang, W.; Han, Y.; Xu, S. Optimizing Solar Power Generation in Urban Industrial Blocks: The Impact of Block Typology and PV Material Performance. Buildings 2024, 14, 1914. [Google Scholar] [CrossRef]
- Peng, C.; Huang, Y.; Wu, Z. Building-integrated photovoltaics (BIPV) in architectural design in China. Energy Build. 2011, 43, 3592–3598. [Google Scholar] [CrossRef]
- Zhang, X.; Zhao, X.; Smith, S.; Xu, J.; Yu, X. Review of R&D progress and practical application of the solar photovoltaic/thermal (PV/T) technologies. Renew. Sustain. Energy Rev. 2012, 16, 599–617. [Google Scholar]
- Zhao, R.; Zhang, W.; Huang, F.; Yao, L. Coupled optical-thermal-electrical modelling of translucent photovoltaic curtain wall considering indoor lighting. Sol. Energy 2024, 272, 112481. [Google Scholar] [CrossRef]
- Chen, S.; Zhang, Z.; Wang, C.; Tan, L.; Liu, H.; Yuan, H.; Zhang, R.; Hu, R. Evaluation Model of Distributed Photovoltaic Utilization in Urban Built-Up Area. Buildings 2024, 14, 943. [Google Scholar] [CrossRef]
- Bonomo, P.; Frontini, F. Building Integrated Photovoltaics (BIPV): Analysis of the Technological Transfer Process and Innovation Dynamics in the Swiss Building Sector. Buildings 2024, 14, 1510. [Google Scholar] [CrossRef]
- Zhang, C.; Ji, J.; Wang, C.; Ke, W. Annual analysis and comparison of the comprehensive performance of a CdTe PV ventilated window integrated with vacuum glazing in different climate regions. Renew. Energy 2024, 223, 120029. [Google Scholar] [CrossRef]
- Choi, Y. Increasing the Utilization of Solar Energy through the Performance Evaluation of Air-Based Photovoltaic Thermal Systems. Buildings 2024, 14, 1219. [Google Scholar] [CrossRef]
- Tan, C.N.-L. Toward an integrated framework for examining the addictive use of smartphones among young adults. Asian J. Soc. Health Behav. 2023, 6, 119–125. [Google Scholar] [CrossRef]
- Huang, J.; Chen, X.; Yang, H.; Zhang, W. Numerical investigation of a novel vacuum photovoltaic curtain wall and integrated optimization of photovoltaic envelope systems. Appl. Energy 2018, 229, 1048–1060. [Google Scholar] [CrossRef]
- Wang, M.; Peng, J.; Li, N.; Yang, H.; Wang, C.; Li, X.; Lu, T. Comparison of energy performance between PV double skin facades and PV insulating glass units. Appl. Energy 2017, 194, 148–160. [Google Scholar] [CrossRef]
- Jiru, T.E.; Tao, Y.-X.; Haghighat, F. Airflow and heat transfer in double skin facades. Energy Build. 2011, 43, 2760–2766. [Google Scholar] [CrossRef]
- Zhou, J.; Chen, Y. A review on applying ventilated double-skin facade to buildings in hot-summer and cold-winter zone in China. Renew. Sustain. Energy Rev. 2010, 14, 1321–1328. [Google Scholar] [CrossRef]
- Barbosa, S.; Ip, K. Perspectives of double skin façades for naturally ventilated buildings: A review. Renew. Sustain. Energy Rev. 2014, 40, 1019–1029. [Google Scholar] [CrossRef]
- Guo, W.; Kong, L.; Chow, T.; Li, C.; Zhu, Q.; Qiu, Z.; Li, L.; Wang, Y.; Riffat, S.B. Energy performance of photovoltaic (PV) windows under typical climates of China in terms of transmittance and orientation. Energy 2020, 213, 118794. [Google Scholar] [CrossRef]
- Eke, R.; Senturk, A. Monitoring the performance of single and triple junction amorphous silicon modules in two building integrated photovoltaic (BIPV) installations. Appl. Energy 2013, 109, 154–162. [Google Scholar] [CrossRef]
- Han, J.; Lu, L.; Yang, H. Numerical evaluation of the mixed convective heat transfer in a double-pane window integrated with see-through a-Si PV cells with low-e coatings. Appl. Energy 2010, 87, 3431–3437. [Google Scholar] [CrossRef]
- Bahiraei, M.; Monavari, A.; Moayedi, H. Second law assessment of nanofluid flow in a channel fitted with conical ribs for utilization in solar thermal applications: Effect of nanoparticle shape. Int. J. Heat Mass Transf. 2020, 151, 119387. [Google Scholar] [CrossRef]
- He, W.; Zhang, Y.X.; Sun, W.; Hou, J.X.; Jiang, Q.Y.; Ji, J. Experimental and numerical investigation on the performance of amorphous silicon photovoltaics window in East China. Build. Environ. 2011, 46, 363–369. [Google Scholar] [CrossRef]
- Peng, J.; Lu, L.; Yang, H. An experimental study of the thermal performance of a novel photovoltaic double-skin facade in Hong Kong. Sol. Energy 2013, 97, 293–304. [Google Scholar] [CrossRef]
- Peng, J.; Lu, L.; Yang, H.; Ma, T. Comparative study of the thermal and power performances of a semi-transparent photovoltaic façade under different ventilation modes. Appl. Energy 2015, 138, 572–583. [Google Scholar] [CrossRef]
- Sun, Y.; Shanks, K.; Baig, H.; Zhang, W.; Hao, X.; Li, Y.; He, B.; Wilson, R.; Liu, H.; Sundaram, S.; et al. Integrated semi-transparent cadmium telluride photovoltaic glazing into windows: Energy and daylight performance for different architecture designs. Appl. Energy 2018, 231, 972–984. [Google Scholar] [CrossRef]
- Chow, T.T.; Fong, K.F.; He, W.; Lin, Z.; Chan, A.L.S. Performance evaluation of a PV ventilated window applying to office building of Hong Kong. Energy Build. 2007, 39, 643–650. [Google Scholar] [CrossRef]
- Chehab, O. The intelligent façade photovoltaic and architecture. Renew. Energy 1994, 5, 188–204. [Google Scholar] [CrossRef]
- Miyazaki, T.; Akisawa, A.; Kashiwagi, T. Energy savings of office buildings by the use of semi-transparent solar cells for windows. Renew. Energy 2005, 30, 281–304. [Google Scholar] [CrossRef]
- Wang, Z.; Li, Y.; Wang, K.; Huang, Z. Environment-adjusted operational performance evaluation of solar photovoltaic power plants: A three stage efficiency analysis. Renew. Sustain. Energy Rev. 2017, 76, 1153–1162. [Google Scholar] [CrossRef]
- Wang, D.D.; Sueyoshi, T. Assessment of large commercial rooftop photovoltaic system installations: Evidence from California. Appl. Energy 2017, 188, 45–55. [Google Scholar] [CrossRef]
- Nakamoto, Y.; Eguchi, S. How do seasonal and technical factors affect generation efficiency of photovoltaic power plants? Renew. Sustain. Energy Rev. 2024, 199, 114441. [Google Scholar] [CrossRef]
- Hong, J.; Park, J.; Kim, S.; Lim, C.; Kong, M. Energy Analysis of a Net-Zero Energy Building Based on Long-Term Measured Data: A Case Study in South Korea. Buildings 2023, 13, 3134. [Google Scholar] [CrossRef]
- Rounis, E.D.; Athienitis, A.K.; Stathopoulos, T. BIPV/T curtain wall systems: Design, development and testing. J. Build. Eng. 2021, 42, 103019. [Google Scholar] [CrossRef]
- Peng, J.; Curcija, D.C.; Thanachareonkit, A.; Lee, E.S.; Goudey, H.; Jonsson, J.; Selkowitz, S.E. Comparative study on the overall energy performance between photovoltaic and Low-E insulated glass units. Sol. Energy 2021, 214, 443–456. [Google Scholar] [CrossRef]
- Sparrow, E.M.; Cur, N. Turbulent Heat Transfer in a Symmetrically or Asymmetrically Heated Flat Rectangular Duct With Flow Separation at Inlet. J. Heat Transf. 1982, 104, 82–89. [Google Scholar] [CrossRef]
- Khalifa, A.-J.N. Natural convective heat transfer coefficient—A review: I. Isolated vertical and horizontal surfaces. Energy Convers. Manag. 2001, 42, 491–504. [Google Scholar] [CrossRef]
- Khalvati, F.; Omidvar, A. Summer study on thermal performance of an exhausting airflow window in evaporatively-cooled buildings. Appl. Therm. Eng. 2019, 153, 147–158. [Google Scholar] [CrossRef]
- Vosough Yazdani, S.; Madanipour, K.; Ahmadi, M. Measurement of convective heat transfer coefficient and the Nusselt number by moiré deflectometry technique. Opt. Lasers Eng. 2024, 176, 108095. [Google Scholar] [CrossRef]
- Brinkworth, B.J. Estimation of flow and heat transfer for the design of PV cooling ducts. Sol. Energy 2000, 69, 413–420. [Google Scholar] [CrossRef]
- Wang, M.; Li, P.; Liu, W. Generic mathematical formulation of the total heat transfer coefficients between heated radiant floor surfaces and rooms. Build. Environ. 2022, 211, 108701. [Google Scholar] [CrossRef]
- Cholewa, T.; Anasiewicz, R.; Siuta-Olcha, A.; Skwarczynski, M.A. On the heat transfer coefficients between heated/cooled radiant ceiling and room. Appl. Therm. Eng. 2017, 117, 76–84. [Google Scholar] [CrossRef]
- Bu, F.; Yan, D.; Tan, G.; An, J. A novel approach based on equivalent sky radiative temperature for quick computation of radiative cooling in building energy simulation. Renew. Energy 2024, 221, 119820. [Google Scholar] [CrossRef]
- Kalogirou, S.; Florides, G. Measurements of Ground Temperature at Various Depths. In Proceedings of the 3rd International Conference on Sustainable Energy Technologies, Nottingham, UK, 28–30 June 2004. [Google Scholar]
- Hao, G.Q.; Zhang, R.; Li, H.B.; Liu, C.; Yuan, X.; Ye, X.J.; Li, S.Z.; Yang, N.; Zhang, J.P. Study on thermal performance of photovoltaic glass curtain wall. Build. Sci. 2017, 33, 65–71+88. (In Chinese) [Google Scholar]
- Largot, S.; Bessous, N.; Ghodbane, M.; Boumeddane, B.; Hussain, F.; Shafi, M.; Zhang, B.; Al-Fatlawi, A.W.; Borni, A. Experimental study on the effect of operational and environmental conditions on photovoltaic modules productivity in El-Oued region, algeria. Energy Convers. Manag. X 2024, 23, 100655. [Google Scholar] [CrossRef]
- Raya-Armenta, J.M.; Bazmohammadi, N.; Vasquez, J.C.; Guerrero, J.M. A short review of radiation-induced degradation of III–V photovoltaic cells for space applications. Sol. Energy Mater. Sol. Cells 2021, 233, 111379. [Google Scholar] [CrossRef]
- Hamzat, A.K.; Sahin, A.Z.; Omisanya, M.I.; Alhems, L.M. Advances in PV and PVT cooling technologies: A review. Sustain. Energy Technol. Assess. 2021, 47, 101360. [Google Scholar] [CrossRef]
- Kulkarni, R.S.; Talange, D.B.; Mate, N.V. Output Estimation of Solar Photovoltaic (PV) System. In Proceedings of the 2018 International Symposium on Advanced Electrical and Communication Technologies (ISAECT), Rabat, Morocco, 21–23 November 2018. [Google Scholar]
- Qiu, T.; Wang, L.; Lu, Y.; Zhang, M.; Qin, W.; Wang, S.; Wang, L. Potential assessment of photovoltaic power generation in China. Renew. Sustain. Energy Rev. 2022, 154, 111900. [Google Scholar] [CrossRef]
- Amasyali, K.; El-Gohary, N.M. A review of data-driven building energy consumption prediction studies. Renew. Sustain. Energy Rev. 2018, 81, 1192–1205. [Google Scholar] [CrossRef]
- Liu, B.Y.H.; Jordan, R.C. The long-term average performance of flat-plate solar-energy collectors: With design data for the U.S., its outlying possessions and Canada. Sol. Energy 1963, 7, 53–74. [Google Scholar] [CrossRef]
- Yadav, A.K.; Chandel, S.S. Tilt angle optimization to maximize incident solar radiation: A review. Renew. Sustain. Energy Rev. 2013, 23, 503–513. [Google Scholar] [CrossRef]
- Olivieri, L.; Caamaño-Martin, E.; Olivieri, F.; Neila, J. Integral energy performance characterization of semi-transparent photovoltaic elements for building integration under real operation conditions. Energy Build. 2014, 68, 280–291. [Google Scholar] [CrossRef]
- Ran, J.; Song, Y.; Zhou, S.; Yang, K.; Liu, J.; Tian, Z. A bi-level optimization method for regional integrated energy system considering uncertainty and load prediction under climate change. J. Build. Eng. 2024, 84, 108527. [Google Scholar] [CrossRef]
- Ran, J.; Qiu, Y.; Liu, J.; Zhu, X.; Liu, J.; Tian, Z. Coordinated optimization design of buildings and regional integrated energy systems based on load prediction in future climate conditions. Appl. Therm. Eng. 2024, 241, 122338. [Google Scholar] [CrossRef]











| Component Size (mm) | Power (W) | Air Layer Thickness (mm) |
|---|---|---|
| 1390 × 1029 | 150 | 12 |
| Photovoltaic Module | Density (kg/m3) | Specific Heat (J/(kg·K)) | Thickness (mm) | Heat Capacity (J/k) |
|---|---|---|---|---|
| Encapsulation glass | 3000 | 500 | 5 | 10,725 |
| Solar cell | 2330 | 677 | 0.3 | 676.7 |
| Laminated glass | 3000 | 500 | 5 | 10,725 |
| Total | - | - | - | 22,126.7 |
| Installation Angle (°) | Ratio of Lost Power Generation (%) |
|---|---|
| 0 | −13.26 |
| 10 | −6.86 |
| 20 | −2.53 |
| 30 | −0.26 |
| 40 | −0.38 |
| 50 | −2.78 |
| 60 | −7.25 |
| 70 | −13.56 |
| 80 | −21.73 |
| 90 | −31.30 |
| Parameters (°C) | ERROR (%) | MAE | MAPE (%) | RMSE |
|---|---|---|---|---|
| Tg | 0.37 | 1.12 | 0.36 | 1.38 |
| Tm | 0.33 | 1.00 | 0.32 | 1.23 |
Disclaimer/Publisher’s Note: The statements, opinions and data contained in all publications are solely those of the individual author(s) and contributor(s) and not of MDPI and/or the editor(s). MDPI and/or the editor(s) disclaim responsibility for any injury to people or property resulting from any ideas, methods, instructions or products referred to in the content. |
© 2024 by the authors. Licensee MDPI, Basel, Switzerland. This article is an open access article distributed under the terms and conditions of the Creative Commons Attribution (CC BY) license (https://creativecommons.org/licenses/by/4.0/).
Share and Cite
Zhou, X.; Zhou, X.; Zhu, X.; Liu, J.; Zhou, S. Investigating Factors Impacting Power Generation Efficiency in Photovoltaic Double-Skin Facade Curtain Walls. Buildings 2024, 14, 2632. https://doi.org/10.3390/buildings14092632
Zhou X, Zhou X, Zhu X, Liu J, Zhou S. Investigating Factors Impacting Power Generation Efficiency in Photovoltaic Double-Skin Facade Curtain Walls. Buildings. 2024; 14(9):2632. https://doi.org/10.3390/buildings14092632
Chicago/Turabian StyleZhou, Xiaoxuan, Xue Zhou, Xiangyuan Zhu, Jiying Liu, and Shiyu Zhou. 2024. "Investigating Factors Impacting Power Generation Efficiency in Photovoltaic Double-Skin Facade Curtain Walls" Buildings 14, no. 9: 2632. https://doi.org/10.3390/buildings14092632
APA StyleZhou, X., Zhou, X., Zhu, X., Liu, J., & Zhou, S. (2024). Investigating Factors Impacting Power Generation Efficiency in Photovoltaic Double-Skin Facade Curtain Walls. Buildings, 14(9), 2632. https://doi.org/10.3390/buildings14092632

