Abstract
Representative weather data are fundamental to characterizing a place and determining ideal design approaches. This is particularly important for large countries like Brazil, whose extension and geographical position contribute to defining diverse climatic conditions along the territory. In this context, this study intends to characterize the Brazilian territory based on a 15-year weather record (2008–2022), providing a climatic assessment based on a climatic and bioclimatic profile for the whole country. The climate analysis was focused on temperature, humidity, precipitation, and solar radiation, followed by a bioclimatic analysis guided by the Givoni chart and the natural ventilation potential assessment. In both situations, the results were analyzed using three resolutions: country-level, administrative division, and bioclimatic zones. This study also identified representative locations for the Brazilian bioclimatic zones for a building-centered analysis based on the thermal and energy performance of a single-family house with different envelope configurations. The results proved that most Brazilian territories increased above 0.4 °C in the dry bulb temperature and reduced relative humidity. The precipitation had the highest reduction, reaching more than 50% for some locations. The warmer and drier conditions impacted also the Köppen–Geiger classification, with an increase in the number of Semi-Arid and Arid locations. The bioclimatic study showed that ventilation is the primary strategy for the Brazilian territory, as confirmed by the natural ventilation potential results, followed by passive heating strategies during the year’s coldest months. Finally, building performance simulation underlined that, in colder climates, indoor thermal comfort conditions and air-conditioning demands are less affected by solar absorptance for constructions with low U-values, while in warmer climates, low solar absorptance with intermediary U-values is recommended.
1. Introduction
Brazil has continental proportions, mainly located between the Equator and the Tropic of Capricorn, and has a predominantly tropical climate. The Köppen–Geiger classification by Alvares et al. [1] identified (A) the tropical, (B) dry, and (C) subtropical climates in the Brazilian territory. Their study characterized 81.4% of the territory as tropical, 4.9% as dry, and 13.7% as subtropical based on weather data from 1950 to 1990. Their results also show the north region as predominantly tropical, the northeast mixing tropical and dry climates, the central–west and the southeast mixing tropical and subtropical climates, and the south region being subtropical. The Köppen–Geiger classification has applications for different fields but it is not the most recommended for building performance assessment since it relies only on dry bulb temperature and precipitation. Indeed, building performance is a multivariate analysis that includes different weather-based variables. Thus, despite providing an initial comprehensive analysis, the Köppen–Geiger classification is not enough for building performance-related assessment.
The advances in computational hardware and software allowed for improvements in several fields, including significant approaches to model climate conditions to generate past, present, and future weather data. Climate models can simulate the interaction between the atmosphere, land surface, ocean, and sea ice, using mathematical models to provide results for different locations worldwide [2,3,4]. The European Center for Medium-Range Weather Forecasts (ECMWF) provides reliable climate datasets based on mathematical and physical models that account for atmospheric interactions and the resulting impact on the Earth’s surface. ERA5 and ERA5-Land are datasets that contain different weather variables at a high resolution. The ERA5 database provides a global database with a 31 km resolution, and the ERA5-Land dataset provides a refined model with a 9 km resolution [2,3]. The database also provides data in a vast temporal resolution, with records going back to 1940 for ERA5 and 1950 for the ERA5-Land database. Therefore, high-resolution, modeled, and satellite weather data are used worldwide [5,6,7].
Several weather variables impact building performance [8], extending beyond just air temperature, as seen in ASHRAE 169 [9] or the combination of temperature and humidity when associated with building performance indicators, directly or indirectly [10,11]. Consequently, combining air temperature, precipitation, solar radiation, wind, and relative humidity can offer a more comprehensive understanding to guide building design and aid building performance analyses. After all, building performance results from the interactions among outdoor conditions, indoor environment, building loads, building envelope configurations, and occupancy profiles, and understanding the outdoor conditions is fundamental to proposing solutions that are adequate for different climates [8].
Different studies used weather data to propose climatic zoning worldwide, focusing on building performance or bioclimatic strategies. Remizov et al. [12] and Walsh et al. [13] presented climate zoning focusing on building and energy performance. Remizov et al. [14] and Verichev et al. [15] used a multicriteria approach, combining building performance simulation and spatial constraints [14] or degree day calculation and solar radiation records [15]. Liu et al. [16] and Omarov et al. [17] proposed a climate zoning method focusing on degree day calculation, as also occurs in the ASHRAE 169 worldwide climate zoning [9]. Thus, combining weather data and other approaches is the best method to characterize a place for future building performance analysis.
In the Brazilian context, the standard that defines the bioclimatic zoning (NBR 15220:3) [18], currently under review, was published in 2005 and divided the territory according to monthly values of dry bulb temperature and relative humidity based on the study of Roriz et al. [19]. Even though the current Brazilian climate zoning [18] presents a limited approach by not considering building performance, as previously described, the method delivers bioclimatic recommendations based on Givoni’s chart for the Brazilian territory. Thus, its main advantage relies on a method to guide design, primarily based on passive design strategies to achieve thermal comfort [20]. Combining climatic and bioclimatic assessments makes it possible to better characterize a territory’s climatic profile and its impact on building performance [21].
Climatic and bioclimatic studies in the literature propose different zonings for building performance purposes [10,11,19,22,23]. Benevides et al. [23] presented a climatic zoning for the Brazilian Semi-Arid region, focusing only on modeled weather data and a clustering approach. Mazzafero et al. [22] investigated the necessity of combining climatic data and building performance results to define new climatic zoning for Brazil, identifying improvements when combining weather data and simulation results. Walsh et al. [10] and Silva Machado et al. [11] proposed a different and more comprehensive approach to provide the new bioclimatic zoning for Brazil. Walsh et al. [10] focused on a fully performance-based bioclimatic zoning for Brazil. The study relies on simulation results for a single geometric model but with 100 building envelope configurations, reaching an ideal number of 10 zones by coupling the simulation results and the opinion of local specialists. Silva Machado et al. [11] adopted a similar method from which the results were selected as the candidate for new Brazilian bioclimatic zoning but using two buildings with two envelope configurations. Their study also differs from Walsh et al. [10] by combining the simulation results with explicit climatic variables to determine the ideal number of bioclimatic zones in Brazil, reaching six major zones, subdivided into two zones each.
Brazil is experiencing the impacts of climate change, and it is essential to take action to address the frequent and significant weather variations and phenomena [24,25,26]. Therefore, providing a comprehensive climatic characterization of the Brazilian territory is fundamental to understanding past and current situations, identifying trends affecting building performance, and guiding design strategies. Despite recent climate zoning proposals for Brazil, combining weather data and building performance and representing major advances in the current standard, they still lack a more extensive climatic and bioclimatic characterization of the territory to propose the zones, especially regarding climatological events and their impact in the Brazilian context, e.g., El Niño [27] and La Niña [28], urban heat island effects [29,30], and climate change impacts on building performance [31,32]. Specifically on the building performance subject, the studies need to provide more details on passive design recommendations for each zone, identifying representative locations and ideal building envelope configurations to enhance building performance based on a multi-year analysis. In this context, this study proposes characterizing the Brazilian territory from climatic to bioclimatic approaches and building performance simulation needs to analyze climatic trends and building performance implications for a comprehensive characterization.
2. Methods
2.1. Weather Data Pre-Processing
First, all the Brazilian municipalities with data within the ERA5-Land database were identified by setting coordinates as close as possible to the urban area. Data were retrieved for 5567 Brazilian municipalities, i.e., 99.9% of them, except for Fernando de Noronha-PB, Itaparica-BA, and Madre de Deus-BA, which did not have any of their territory within the ERA5-Land database. Then, using the ERA5-Land Monthly Aggregated data available on the Google Earth Engine (GEE) catalog, this study gathered the records from 2008 to 2022 for the dry bulb temperature (DBT), dew point temperature (DPT), global horizontal solar radiation (GHI), precipitation (PPT), and the vectorial components of wind (U and V). Daily aggregated data were also downloaded, but only for DBT and DPT, to provide a more detailed bioclimatic analysis, as described in Section 2.3.
After downloading the climatic variables, the MetPy library for Python was used to estimate the relative humidity (RH) from DBT and DPT and to calculate the wind speed (WS) and direction.
2.2. Climatic Approach
After pre-processing all the weather variables, the 15-year averages were calculated based on the annual averages from monthly DBT, RH, PPT, and GHI records. The 15-year minimum and maximum averages for DBT, RH, and PPT were also calculated based on each year’s minimum and maximum monthly records. Following the 15-year analysis of the average, maximum, and minimum records, the cumulative average was used to quantify the difference between 2008 and 2022, and the Mann–Kendall statistic test with a significance level of 5% was used to identify the trends. The choice for the Mann–Kendall test was based on the vast application of this statistical test to identify trends in meteorological records [33,34]. The test identifies monotonic trends, i.e., explicit increase, decrease, or no trend, considering a linear relation between the time series and the weather variables.
The GHI records were also analyzed in terms of the annual average from monthly integrals to compare with the records from the Brazilian Solar Atlas [35]. This Atlas provides solar radiation data for the entire Brazilian territory with the same resolution as ERA5-Land. It incorporates mathematical models of prediction validated by solar radiation measurements in Brazil spanning from the late 1990s to 2017.
Monthly values of DBT and PPT were used for the climatic characterization update of the Köppen–Geiger classification for the Brazilian territory [36,37]. Results were compared with the classification by Alvares et al. [1], which considered weather data records from Brazilian and international sources from 1950 to 1990. In order to facilitate comparison, the results of Alvares et al. [1] were simplified by assigning a single classification for each municipality.
2.3. Bioclimatic Approach
This approach focused on the bioclimatic characterization of the Brazilian territory, mainly supported by Givoni’s bioclimatic chart [19,20,38]. For the Brazilian context, Givoni’s bioclimatic chart can reach 12 groups, encompassing design strategies and a comfort zone. Groups A, B, and C are related to heating strategies. They represent space heating with active HVAC systems, passive solar heating, and thermal mass combined with solar heating. Group D represents the thermal comfort zone. Groups E, F, and G are related to ventilation strategies and are divided into daytime ventilation, night cooling with thermal mass, and night cooling with thermal mass and evaporative cooling. Group H requires thermal mass and evaporative cooling, group I requires only thermal mass for cooling, and group J only evaporative cooling. Group K requires humidification, and group L represents an active HVAC system for space cooling.
The daily records of DBT and RH described in Section 2.1 were used as input since the monthly records can mask daily patterns and oversimplify strategies’ applications. The monthly requirements were quantified for each year and the results summarized as the 15-year average for each municipality. For the final monthly requirements, all the strategies with an occurrence of at least seven days, consecutive or not, were considered. Then, the results were compared with the bioclimatic strategies for summer and winter as recommended by the NBR 15220:3 [18], still considering the bioclimatic zoning from Refs. [18,19] since the new proposal does not make bioclimatic recommendations based on the Givoni methodology [11].
In the Brazilian context, ventilation is an important passive design strategy according to different studies [19,38,39,40] since it has the potential to reduce energy demand and increase thermal comfort. Using the daily records, the Givoni bioclimatic analysis was complemented by calculating the daily Natural Ventilation Potential (NVP) and the shading necessity for all the municipalities. Chen et al. [41] and Sakiyama et al. [42] described the NVP indicator as the number of hours in which the outdoor conditions favor using ventilation strategies to cool the indoor environment instead of active systems. The indicator quantifies the potential based on the DBT, WS, and wet-bulb temperature (WBT). The DBT, WBT, and WS were set according to the ASHRAE 55 parameters [43], using the upper limits of the 80% thermal comfort acceptance level for the DBT threshold and the 16.8 °C limit for the WBT one. For the WS threshold, the same settings as Sakiyama et al. [42] were adopted. Finally, the thresholds were combined, and the average number of days that could use natural ventilation as a cooling strategy was quantified based on the 15-year records.
Givoni’s chart was used to determine whether passive and active cooling and heating systems were necessary. To bolster this assessment, the average heating degree days (HDD) and cooling degree days (CDD) were calculated for the past 15 years using daily data. The HDD was calculated with an 18 °C base temperature, while the CDD was calculated using base temperatures of 24–26 °C. Using different base temperatures for CDD allowed us to understand the impact of a 1 °C variation on cooling requirements and to identify regions with the highest cooling demands.
2.4. Spatial Criteria for the Climatic, Bioclimatic, and Building Performance Simulation Analysis
All the climatic and bioclimatic analyses from Section 2.2 and Section 2.3 were performed using the ERA5-Land monthly and daily data, focusing on three territorial distributions. First, a general characterization was provided considering all 5567 municipalities, creating a climatic profile for Brazil. Then, the results were analyzed based on the five Brazilian regions (Figure 1), showing the overall and predominant characteristics. Finally, the results were analyzed based on the new bioclimatic zones for Brazil (Figure 2) using the criteria defined by Silva Machado et al. [11] to determine the climate zone of each municipality based on the average from 15-year DBT and RH records from the ERA5-Land database.
Figure 1.
The five administrative regions of Brazil and their percentage of municipalities.
Figure 2.
Criteria for defining bioclimatic zones in Brazil. Adapted from Silva Machado et al. [11].
Silva Machado et al. [11] used the data from 298 locations for the building performance simulation and the proposition of the new Brazilian bioclimatic zones. For the remaining 5272 locations, they used annual average DBT data from the ERA5-Land database and machine learning to predict the annual average RH. Since this present study focuses on the ERA5-Land database, the criteria summarized in Figure 2 were adopted to classify the Brazilian locations using only the ERA5-Land data. Since the analysis based on the zones that resulted from Silva Machado et al. [11] could lead to inconsistencies due to different climate data sources, i.e., locations with DBT and RH that do not respect the limits for each zone, a reclassification was performed using only the ERA5-Land records.
The proposal for a new bioclimatic zoning for Brazil mainly defines the zones based on DBT and RH records. However, it does not define representative locations to summarize the characteristics of each zone or the ideal building envelope configuration to enhance thermal and energy performance [11]. Pernigotto et al. [44] proposed a climate cluster methodology based on hierarchical clustering and a method to define the representative locations based on the Kolmogorov–Smirnov statistical test. Since a recent Brazilian bioclimatic zoning proposal will be used as the guide for the new Brazilian standard, the methodology from Pernigotto et al. [44] was adopted only to define the representative locations for each bioclimatic zone.
The representative locations were originally defined based on the monthly averages and spreads of DBT, GHI, and water vapor pressure [44]. However, the Brazilian bioclimatic zoning proposition already concluded that the average DBT and RH are the most significant weather parameters, except for zones 1R, 1M, 2R, and 2M, where DBT and heating degree days with a 14 °C base temperature (HDD14) were used to define the final zone [11]. Based on those findings, first, each municipality’s average DBT, HDD14 (zones 1 and 2), and RH (zones 3 to 6) were calculated to determine their classification. Then, each location’s and group’s monthly average (DBT and HDD14 for zones 1 and 2, and DBT and RH for zones 3 to 6) were compared using the Kolmogorov–Smirnov statistical test. Individual ranks were assigned to DBT, HDD14, and RH. Finally, the assigned ranks were summed up and the locations with the lowest ranks were selected to represent each climatic zone. The adopted statistical test measures the maximum difference between two distributions, so a lower rank indicates the closer location to the group’s average. Therefore, the representative locations from zones 1 and 2 were chosen based on their proximity to monthly DBT and HDD14, while the remaining ones were chosen according to their proximity to monthly records of DBT and RH.
After defining the representative locations, ERA5-Land hourly data were downloaded from the GEE repository to create a 15-year series of weather files for each of the 12 locations. The process described in Section 2.1 was implemented to obtain the RH and WS, with the same Python library to calculate the wind direction (WD). GHI was also separated into direct normal (DNI) and diffuse (DHI), using the BRL-Brazil model since it delivers better results for the Brazilian territory [45]. Then, each year was compiled for each location as a weather file, representing an actual meteorological year (AMY).
2.5. Building Performance Simulation Approach
EnergyPlus 23.2 was used to run the building simulations. Geometry and configurations were prepared according to the software requirements and the standard for the minimum performance requirements for the residential sector in Brazil (NBR 15575) [46]. The geometry proposed by Triana et al. [47] and Veiga et al. [48] of a single-family house encompassing two bedrooms, a coupled living room and kitchen, and a bathroom was used in this study (Figure 3).
Figure 3.
Single-family model.
Window’s properties (U-value of 5.7 W/m2.K and SHGC of 0.87), schedules, and internal gains were set according to NBR 15575, but different settings were adopted for the internal constructions and building envelope (Table 1). For each bedroom, the standard defines two people with an activity level of 81 W and an occupation period from 10 pm to 8 am. The bedrooms have a lighting power density of 5 W/m2 and two operational periods (6 am to 8 am and 10 pm to midnight). For the living room, the standard defines four people, and, since the space was split into two thermal zones, an occupancy density of 0.187 ppl/m2 was used to account for the correct distribution between them. The living room has an activity level of 108 W, half of the occupation from 2 pm to 6 pm, and a full occupation from 6 pm to 10 pm. The living room also has a lighting power density of 5 W/m2, available from 4 pm to 10 pm. The standard defines an electrical equipment power for the living room of 120 W, available from 2 pm to 10 pm. For this study, a density of 5.6 W/m2 was modeled, considering the two thermal zones representing the living room. The schedules are the same for the entire year since the standard does not account for different operational profiles during the weekends or holidays.
Table 1.
Building envelope configuration.
Two conditioning modes were simulated: one naturally ventilated model with a 19 °C setpoint during the occupied hours and one that accounts for the building thermal load using an ideal HVAC system with a 21 °C heating setpoint and a 23 °C cooling setpoint. Four building azimuths (N, E, W, and S) were considered for both conditioning models and all the building envelope configurations.
Following the analysis procedure described in the NBR 15575, the percentage of hours within an operative temperature range (PHFT) was calculated as the performance indicator for the naturally ventilated buildings. The operative temperature (Top) ranges are defined according to the average outdoor DBT (Table 2). Then, the average of all thermal zones was estimated to obtain the model’s PHFT. For the model with the ideal HVAC system, the heating (CgTa) and cooling demand (CgTr) were determined, expressed in kWh/year. The CgTa indicator is only required for locations with an average DBT below 25 °C and accounts for heating demands in hourly Top ≤ 18 °C records. A similar rule applies to the CgTr indicator, which only accounts for the cooling demands in times that exceed the upper limits from Table 2. After calculating the annual thermal loads, the demands of all zones were summed up and the results were analyzed for the single-family house. The multi-year results for all representative locations were analyzed to identify the impact of different construction sets on the detached house performance throughout the 15 years as the average of the building’s azimuth.
Table 2.
Operative temperature range for the PHFT calculation.
The methodology proposed for this study can be summarized as a 15-year analysis based on climate and meteorological variables (DBT, RH, PPT, and GHI), an updated Köppen–Geiger classification, and a bioclimatic approach focusing on NVP, degree days, and the Givoni strategies. Finally, focusing on the Brazilian bioclimatic zoning, building performance was assessed in representative locations, as summarized in Figure 4.
Figure 4.
Summary of the methodology used in this study. The red shading represents the analysis outputs, the blue shading indicates the spatial resolution, and the green shading shows the products made available for building performance simulation studies.
3. Results
3.1. Climate, Meteorological, and Bioclimatic Data Following the Administrative Boundaries
The annual average dry bulb temperature (DBT) over the years varied from 14.3 °C to 29 °C, with an average value of 23.2 °C and a standard deviation of 3.1 °C (Figure 5a). The Mann–Kendall results showed that 15% of the municipalities (812) had an increasing trend throughout the 15-year annual records (Figure 5b). The north region showed the lowest increase (11 municipalities), and the southeast region had the highest occurrence (416 municipalities). The results showed that the southeast region encompasses more than 50% of the municipalities, with an increasing trend, while the other regions had between 12.1% and 15.9%, except for the north region (1.4%).
Figure 5.
Annual dry bulb temperature (a), Mann–Kendall summary (b), and temperature variation (c) for 5567 Brazilian municipalities based on records from 2008 to 2022. For the Mann–Kendall summary, the gray area indicates no trend, while red indicates an increasing trend.
Over the 15-year record, the mean variation was 0.5 °C, representing a significant temperature increase in 3288 municipalities, approximately 60% of the Brazilian municipalities (Figure 5c). Out of them, 44 municipalities showed temperature variations from 1 °C to 1.2 °C. Except for two municipalities in the state of Paraná, all the municipalities with temperature variations above 1 °C were in the state of São Paulo. Those results, supported by the Mann–Kendall analysis, state that the southeast region had the highest DBT variations in Brazilian territory. The highest variations in the north and northeast regions represented a 0.9 °C difference between 2008 and 2022. Therefore, it can be concluded that most of the Brazilian territory has annual averages of at least 22 °C and a temperature increase between 0.4 °C and 0.7 °C.
The average of the maximum and minimum annual DBT results were mainly related to the altitude and the latitude since the locations close to the Equator and with lower altitudes had the highest records, while the locations close to and below the Tropic of Capricorn and with higher altitudes had the lowest ones (Appendix A—Figure A1a,c). The lower average maximum DBT mostly occurred in the high-altitude regions, represented by the blue-shaded region in Figure A1a. Regarding the trends (Appendix A—Figure A1b,d), the Mann–Kendall results showed that all regions presented an increasing trend for the maximum DBT (Appendix A—Figure A1b).
The combined records of the average maximum and minimum DBT resulted in an average spread of 6.3 °C with a standard deviation of 2.5 °C for the Brazilian territory. The north region had the lowest spread (3.7 °C), followed by the northeast (4.2 °C), the central–west (5.5 °C), the southeast (6.7 °C), and the south (10.3 °C). Then, the southeast region had results closer to the country average, and the south showed the highest difference.
The Brazilian territory showed an average relative humidity (RH) of 70.7%, with the lowest average value of 50.7% and the highest relative humidity of 89.9% considering the monthly time series of 15 years (Figure 6a). The annual relative humidity occurrences above 80% happened in regions with dense vegetation, especially the Amazon rainforest. The lowest RH encompasses the Semi-Arid hot climate, which also shows temperature variation above 0.4 °C. The central–west region had the lowest average RH (65.2%), and the south region had the highest average (76.4%). Regarding the regions’ distribution, the south had a standard deviation of 4.1 percentage points (pp), the lowest among the five regions, and the northeast had the highest (8.9 pp). The highest variation in the northeast region is probably related to the environmental differences between the coastal and continental areas. Figure 6a shows that the coastal regions have higher RH, while the continental area, especially the Semi-Arid region, has lower RH.
Figure 6.
Annual average relative humidity (a), Mann–Kendall summary (b), and relative humidity variation in percentage points (c). For the Mann–Kendall summary, the gray area indicates no trend, red indicates a decreasing trend, and blue indicates an increasing trend.
The variation in the relative humidity over the 15 years starts from a 5.6 percentage point (pp) decrease to a 3 pp increase (Figure 6c). The combined results of the Mann–Kendall test (Figure 6b) and the cumulative average also show overlaps in the southeast region, representing not only a linear RH reduction over time but in an overview of the territory. The RH variation in the southeast, northeast, and north regions matches the municipalities with the highest temperature increase.
The highest RH corresponded to the cities in the north region, surrounded by the Amazon rainforest. On the other hand, the lowest RH values corresponded to the Semi-Arid region, with the highest occurrences in the northeast region. Most of the Brazilian territory presented a maximum reduction of 2 pp. This same reduction represents most of the north, northeast, southeast, and south regions. The central–west region results showed that almost 60% of its territory had no variations or an increase below 2 pp.
The distribution of the maximum and minimum RH records showed that most of Brazil presents humid and dry conditions, except for the Semi-Arid region which, despite showing a significant variation between the maximum and minimum records, mainly presented the lowest values. On the contrary, the Amazon rainforest region had the highest values. The Mann–Kendall results also show many municipalities with trends to average maximum RH decrease, especially in the north and central–west regions (Appendix A—Figure A2). Then, following the same pattern as the average DBT and RH, the region defined by the Cerrado and Caatinga biomes (including the Semi-Arid region) had the lowest minimum RH values.
The combined Mann–Kendall results for the average maximum and minimum RH show that most municipalities with a trend presented a reduction in the RH spread but did not become drier, with an exception for some municipalities in the north (three municipalities), southeast (seventy-six municipalities), and south (fifty-four municipalities). The municipalities of the south with a trend to become drier are the majority, according to the Mann–Kendall results (61.4%).
Regarding the RH spread, the average in the Brazilian territory was 25.7 pp with a relative deviation of 44.8%. Again, the southeast region had the results closest to the Brazilian territory average with the same average spread (25.7 pp). The central–west region had the highest spread (43.6 pp), and the south region showed the lowest spread (17.2 pp). The northeast and the north regions presented intermediary values, respectively, 24.9 pp and 32.4 pp.
Over the 15 years considered in this study, the Brazilian municipalities presented precipitation levels varying from 296 mm to 3798 mm (Figure 7a). The average annual precipitation was 1302 mm, with a standard deviation of 500 mm. The results show that despite a high variation in the annual precipitation levels, most of the territory is located on an interval that comprehends levels ranging from 1000 mm to 2000 mm. Municipalities in the Amazon rainforest region had higher precipitation volumes. The lowest precipitation followed the same pattern of the highest temperature, temperature variation, lowest relative humidity, and relative humidity variation. The Semi-Arid region showed the lowest precipitation levels, averaging 692 mm.
Figure 7.
Annual average precipitation (a), Mann–Kendall summary (b), and precipitation variation (c). For the Mann–Kendall summary, the gray area indicates no trend, red indicates a decreasing trend, and blue indicates an increasing trend.
The Mann–Kendall results show a significant decrease in the average annual PPT for the central–west and southeast regions and some occurrences in the other regions (Figure 7b). The north region was the only one presenting a linear increase trend for PPT. Regarding the precipitation (PPT) variation over the 15 years, most of the Brazilian territory had a change in the precipitation levels, varying from a reduction of 59% to an increase of 33% (Figure 7c). The highest reduction in precipitation occurred in the northeast and some municipalities of the southeast regions. The cities with increased precipitation levels showed a stable annual temperature without significant variations but slightly increased humidity levels.
The average minimum and maximum PPT summarized the seasonality in the Brazilian territory (Appendix A—Figure A3a,c). The Amazon rainforest region, followed by the south region, had the highest minimum PPT with averages of 19.3 mm and 38.8 mm, respectively. The results showed that 5556 locations, representing approximately 99.8% of the Brazilian municipalities, have dry months (below 100 mm), varying from 0.4 mm to 99 mm. The remaining 12 municipalities, with all months within the threshold, varied from 100 mm to 142 mm. The average maximum PPT results showed that most locations had a maximum precipitation between 200 mm and 400 mm. The average maximum PPT varied from 82.2 mm to 729 mm. Thus, 23 locations can be classified as dry throughout the year since the precipitation levels are below 100 mm. The cities with dry conditions during the year are within the Semi-Arid region. As previously mentioned, they had the lowest precipitation levels, followed by low relative humidity and higher DBT.
The Mann–Kendall results for the average maximum and minimum point to a larger decreased trend for both quantities and a slight trend for PPT increase over the territory (Appendix A—Figure A3b,d). The results show that the decrease trends prevail in regions with high annual average PPT and higher averages for the maximum and minimum quantities. For the increase trends, the situation is similar for the maximum PPT but, for the minimum records, the results show occurrences in regions with the lowest records.
The comparison between ERA5-Land and the Brazilian Solar Atlas annual average from monthly records resulted in an average difference of −3 kWh/m2 varying from −25 kWh/m2 to 12 kWh/m2. The difference also presented a standard deviation of 4.2 kWh/m2 and a RMSE of 5.1 kWh/m2, proving that the ERA5-Land is a reliable source for an annual analysis based on the average of monthly integrals (Figure 8b). The average results by region showed that the northeast records from ERA5-Land best matched the Brazilian Solar Atlas with an average underestimation of 0.1 kWh/m2. The north region had the highest difference, with an overestimated 6.6 kWh/m2. The ERA5-Land records overestimated the average GHI for the remaining regions based on the monthly integrals varying from 3.1 kWh/m2 to 5.6 kWh/m2. The results also indicated that 1579 municipalities (28.3%) had an average GHI difference higher than the RMSE. The central–west region had the lowest number of municipalities above the RMSE threshold, while the southeast region had the highest, encompassing 226 and 426, respectively. A total of 71.6% of the Brazilian municipalities showed a difference within the RMSE threshold, therefore showing a high correlation between ERA5-Land and the Brazilian Solar Atlas. Only 191 (12.1%) presented absolute values above 10 kWh/m2 from the locations with higher differences.
Figure 8.
Annual average GHI (a) and GHI difference from the Brazilian Solar Atlas (b).
The annual average from monthly integrals of GHI varied from 117 kWh/m2 to 185 kWh/m2, with an average value of 156 kWh/m2 and a standard deviation of 13 kWh/m2 (Figure 8a). Regarding the psychrometric relations, the highest values occurred in the cities with the lowest relative humidity since these variables can be directly correlated with the cloud cover that impacts the amount of radiation the land surface receives. The same happens in the opposite direction since the Amazon rainforest regions had high humidity levels, increasing the precipitation and cloud cover, directly affecting the region’s radiation values. The Brazilian territory had most municipalities (2834) with radiation levels between 150 kWh/m2 and 170 kWh/m2, representing 47.3% of the territory. The north and south regions had 68.4% and 74.1% of their territory with radiation levels between 150 kWh/m2 and 170 kWh/m2. The central–west and southeast regions had 96.7% and 61.2% of their territory with radiation levels between 150 kWh/m2 and 170 kWh/m2. The northeast had 53.6% of its territory with radiation levels above 170 kWh/m2.
The results from the classification using data from 1950 to 1990 and 2008 to 2022 (Table 3) showed that the tropical climate area decreased by 3.1 pp, the dry climate increased by 2.6 pp, and the subtropical climate increased by 0.5 pp. Thus, the Brazilian experienced a shift towards hotter and drier conditions.
Table 3.
Summary of the Köppen–Geiger classification coverage according to records from 1950 to 1990 (A) and 2008 to 2022 (B) and the variation in percentage points.
Figure 9 shows that the classification using the ERA5-Land database differed from Alvares et al. [1] on the territory occupied by each climate group and the classification of some municipalities in the Hot Desert-Arid group (BWh). Since the Köppen–Geiger classification is based on air temperature and precipitation, the regions most affected by the temperature and precipitation variation had the most significant changes in the climate classification. Considering the 15-year data, the tropical climates, represented by group A, occupy the highest portion of the Brazilian territory (82%). The subtropical climate, represented by group C, occupies the second position, with 9.4% of the territory. Group B, representing the dry climate, covers 8.6% of the Brazilian territory.
Figure 9.
Köppen–Geiger classification of 5567 Brazilian municipalities based on records from 1950 to 1990 (a) and 2008 to 2022 (b).
The results for the first trimester indicate that design strategies that rely only on ventilation (E and G) are the majority in reaching thermal comfort in most of Brazil (Figure 10). The onset of autumn increases the need for heating solutions in the southern region and parts of the southeast. The temperature reduction generally increases the municipalities’ thermal comfort, particularly in the southeast and south regions. The winter solstice represents another turning point for the bioclimatic design requirements in Brazil. The third trimester shows the highest number of municipalities with heating demand. However, thermal comfort has the highest territorial occurrence, since the heating demand comes from small municipalities, and the thermal comfort is achieved in municipalities that occupy larger territories. The last trimester closes the annual cycle and shows an increasing demand for ventilation strategies while a significant reduction for heating strategies.
Figure 10.
Monthly bioclimatic strategies distribution over the Brazilian territory. A—artificial heating, B—solar heating, C—thermal mass combined with solar heating, D—thermal comfort, E—daytime ventilation, G—night cooling with thermal mass and evaporative cooling, and H—thermal mass and evaporative cooling. The white areas indicate that only thermal comfort “D” reached the 7-day threshold.
The NVP based on the DBT records reinforced the thermal comfort occurrence over the Brazilian territory as they were based on the adaptive model with an 80% acceptance from ASHRAE 55 (Figure 11a). The Brazilian territory comprised an average NVP of 274 days, and 75% of the year within thermal comfort according to the outdoor conditions. Urupema-SC had the lowest thermal comfort occurrence and, consequently, the lowest potential based only on DBT records (14 days). On the other hand, 695 municipalities (12.5%) of the north and northeast regions presented an average potential for all days of the year. The south region had the lowest average DBT NVP (160 days), and the north region had the highest average potential (360 days). The central–west and northeast regions also presented a potential above 300 days, and the southeast region—an average of 235 days.
Figure 11.
Average annual results for the NVP considering the DBT (a), WBT (b), and the combination of DBT, WBT, and WS (c).
While the temperature threshold allowed for a high ventilation potential in most of the Brazilian territory (Figure 11a), the WBT threshold, which is related to humidity levels, resulted in a lower potential for natural ventilation (Figure 11b). On average, humidity constraints limited ventilation for 88 days, with a standard deviation of 79 days, affecting 1171 municipalities (21%). The WBT analysis revealed that the regions with the highest potential for the DBT threshold had the lowest potential for the humidity constraints, and vice versa for the regions with the lowest potential for the temperature constraints. The north region had the lowest potential, averaging 7 days, and the south region had the highest potential of 179 days. For the WS threshold, all municipalities showed a potential for all days of the year, since none exceeded the wind speed upper limits.
The final assessment combined the temperature, humidity, and wind speed threshold (Figure 11c), resulting in an average of 22 days suitable for natural ventilation across Brazil with a high standard deviation (27 days). A total of 1317 municipalities did not present natural ventilation potential for the entire year, mainly encompassing the north and northeast regions and some coastal municipalities in the southeast and the south regions. The central–west region had the highest average (57 days), while the north had the lowest potential (6 days).
The heating and cooling analysis from Givoni was complemented by quantifying the average annual degree days along the 15-year records. The territorial distribution in Table 4 shows that the south region had the most even distribution for the heating demand, with a relative deviation of 51%. The north region had a more even distribution for the cooling demand, with an average relative deviation of 24%.
Table 4.
Average and standard deviation for the five Brazilian regions’ cooling and heating degree days.
The HDD18 (Appendix A—Figure A4a) reinforced the heating demand by the highest average of 219 K d in the south, a significant demand in the southeast region (84 K d), and a smaller portion in the central–west region (27 K d). The CDD results indicated that, in addition to passive cooling strategies, artificial methods are also necessary for several locations in Brazil, with maximum demand from 1246 K d of CDD26 to 1970 K d of CDD24. The results also revealed that the north region had the highest demand, followed by the northeast, central–west, southeast, and south regions. The step analysis (Appendix A—Figure A4b–d) showed a considerable reduction for each region from 24 °C to 26 °C base temperature. For all the regions, the results showed a significant cooling demand depending on the setpoint defined for the degree days analysis.
3.2. Bioclimatic Zones Assessment
The reclassification of the Brazilian municipalities based only on ERA5-Land data showed that 539 municipalities (9.6%) presented a different classification from Silva Machado et al. [11]. Most of the changes were influenced by the RH records from the ERA5-Land database, resulting in changes within the same macrozone but migrating from a humid (A) to a dry (B) condition.
3.2.1. Climate and Meteorological Assessment
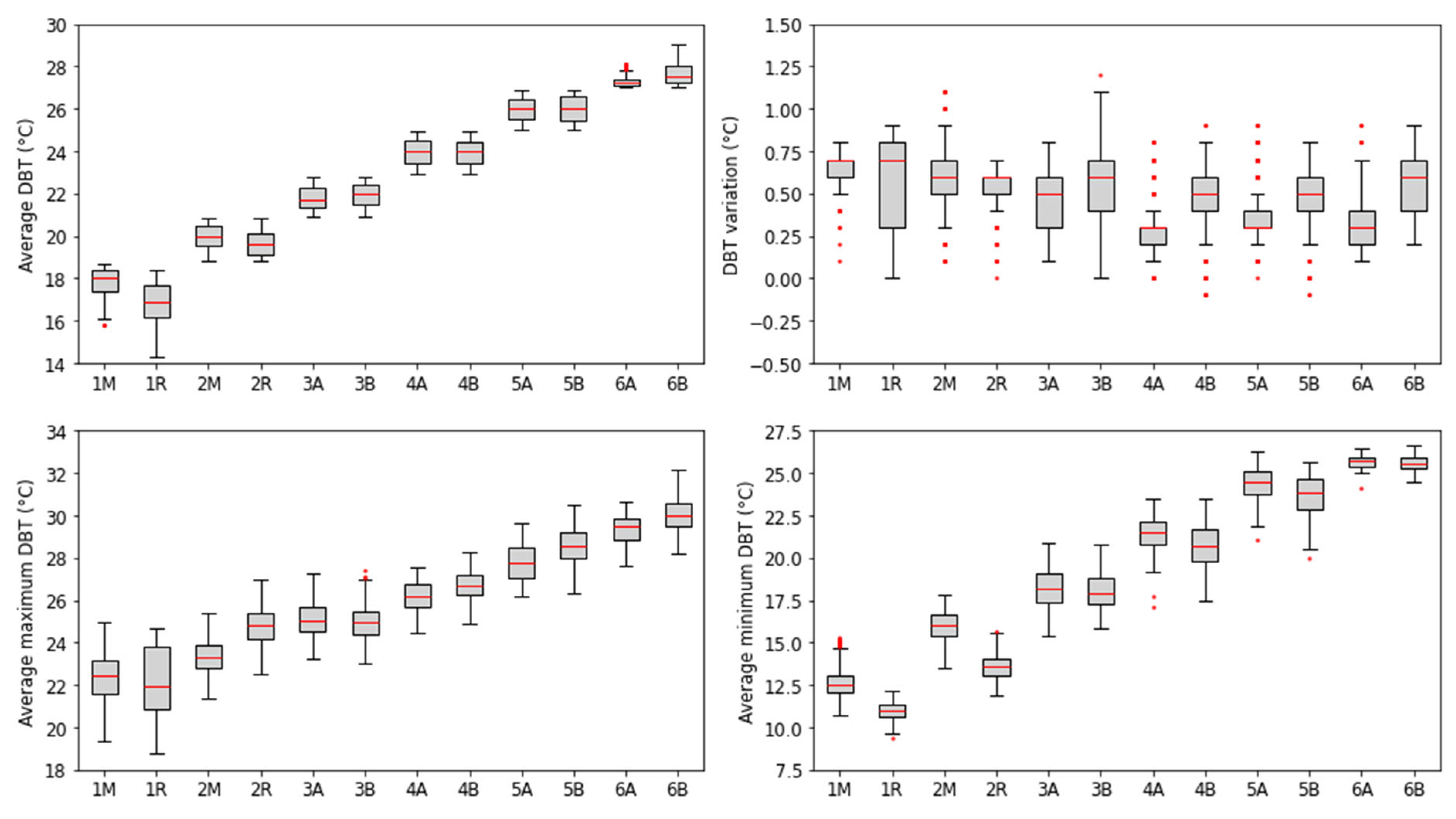
Considering the 15-year annual average for each municipality, Figure 12 showed that the average DBT among zones varied from 16.7 °C (1R) to 27.6 °C (6B) with a standard deviation varying from 0.3 °C (6A) to 0.9 °C (1R). The DBT cumulative average variation (variation between the 2008 and 2022 average) showed that zones 4A, 5A, and 6A had the lowest average variation (0.3 °C), while zone 1M had the highest variation among the bioclimatic zones (0.7 °C). Despite varying from 0.3 °C to 0.7 °C among zones, the standard deviation was low for all twelve zones, ranging between 0.1 °C and 0.2 °C. Following the average DBT distribution, the average maximum and minimum DBT showed a similar distribution among the twelve zones. Zone 1R had the lowest averages for the minimum (11.2 °C) and maximum DBT (21.6 °C), while zone 6B had the highest maximum (30.1 °C) and zone 6A had the highest minimum (25.7 °C). Those results showed that the zones had a homogenous distribution regarding the average DBT, as stated by Silva Machado et al. [11], and the average maximum and minimum DBT.
Figure 12.
Distribution of DBT 15-year average, 15-year variation, 15-year average minimum, and 15-year average maximum among the Brazilian bioclimatic zones following the annual records. The red line indicates the median while the red dots the outliers.
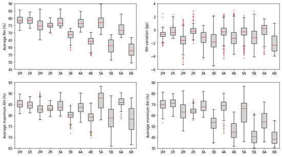
Regarding the annual average RH, the Brazilian bioclimatic zones show a clear separation between humid and dry locations (Figure 13), as described in the method presented in Section 2.1 and corroborating with the climatic analysis from Section 3.1. Zones 1 and 2 showed overlaps between the M and R classes, differing from the other bioclimatic zones. Zone 6B showed the lowest average (58.4%), and zone 1R had the highest average RH (79.3%). The driest zone (6B) also had the highest average reduction (2 pp), while zones 6A and 2R had the lowest average reduction (0.1 pp). The standard deviation also shows that zone 5A had the highest variation dispersion (4.8 pp), and zone 2R had the highest homogeneity (2.1 pp). The average maximum RH varied from 78% (6B) to 86.8% (5A), while the average minimum varied from 39.7% also in zone 6B to 71.4% (1R). Zones 6B and 5A presented the highest dispersion for the average maximum and minimum, respectively, presenting standard deviations of 5.5 pp and 11.2 pp. Zone 2R had the lowest deviation for the average maximum and minimum with standard deviations of 1.6 pp and 3.7 pp.
Figure 13.
Distribution of RH 15-year average, 15-year variation, 15-year average minimum, and 15-year average maximum among the Brazilian bioclimatic zones following the annual records. The red line indicates the median while the red dots the outliers.
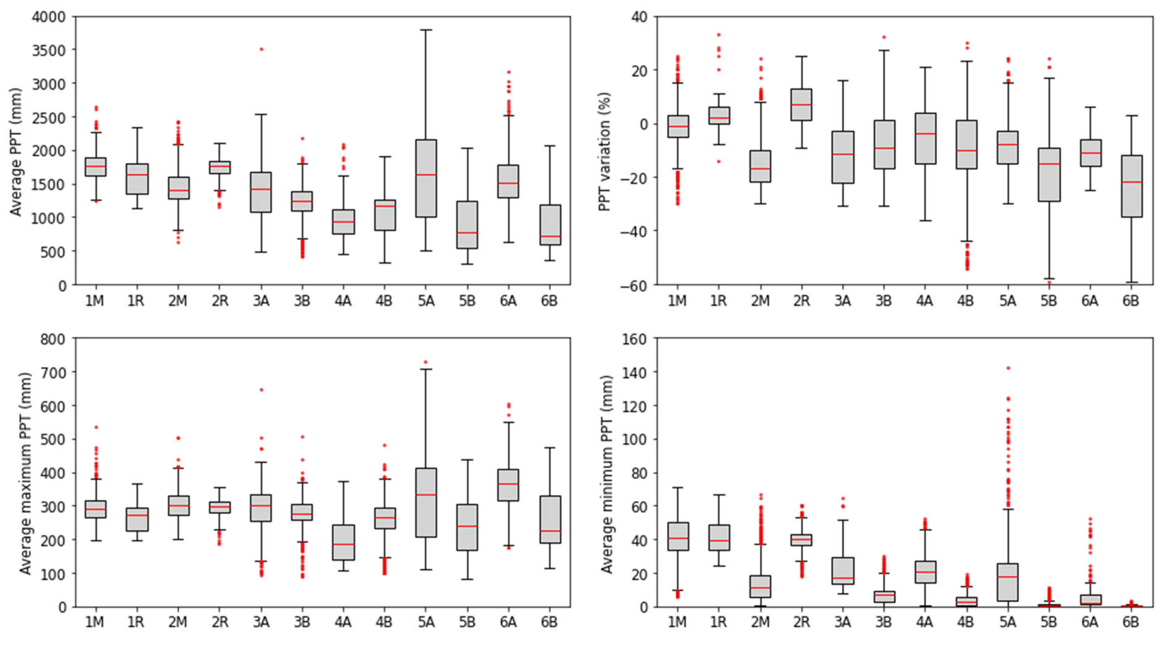
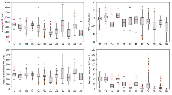
The annual average PPT indicated that all zones have overlaps (Figure 14), different from the previous results for the average DBT and RH. The annual average PPT varied from 897 mm for zone 6B to 1760 mm in zone 1M. The results corroborate the rules to define the Brazilian bioclimatic zones, especially for zone 6B, which has the lowest RH levels and directly impacts the PPT records. Regarding the PPT variation, most zones showed an average reduction varying from 1.4% (1M) to 24.4% (6B). Zones 1R and 2R were the only ones showing an average increase in precipitation levels, respectively, of 1% and 7.1%. Zones 5B and 6B also showed the highest deviations for the average PPT distribution, mainly representing a reduction over the 15-year records and reaching almost 60%. The average maximum PPT was highly homogeneous among the zones, varying from 197 mm (4A) to 367 mm (6A). Zone 5A also shows the highest average maximum PPT (729 mm), and zone 5B shows the lowest average maximum (82 mm). For the average minimum PPT, zone 6B had the lowest average, with no precipitation, and zones 1M, 1R, and 2R had the highest levels (40 mm). The standard deviation also pointed to a high variation for zone 5A (21 mm) and no variation for zone 6B. The average maximum and minimum analysis depicted the monthly precipitation profile for the bioclimatic zones, showing that zones with the lowest humidity levels also had lower precipitation throughout the 15-year records.
Figure 14.
Distribution of PPT 15-year average, 15-year variation, 15-year average minimum, and 15-year average maximum among the Brazilian bioclimatic zones following the annual records. The red line indicates the median while the red dots the outliers.
The updated Köppen–Geiger classification for Brazil showed that zones 2M, 3A, 3B, and 4A had the highest variability among the classes, with climates from classes A, B, and C. The results also pointed to regions with lower diversity with only two classes for zones 1R, 2R, and 6B. Despite the different classes within zones, it is possible to distinguish a prevailing class for zone 1M (Cfa = 52.2%), 1R (Cfb = 69.6%), 2M (Cfa = 64.3%), 2R (Cfa = 99.5%), 3B (Aw = 59.8%), 4B (Aw = 73.7%), 5B (Aw = 52.6%), 6A (Aw = 84.8%), and 6B (BSh = 52.3%). For zone 3A, the prevailing classes were Aw (44.5%) and Cfa (30.5%). Zone 4A had classes Aw (47.1%) and As (29.2%) as the predominant. Finally, zone 5A presented a more even distribution between classes Aw (36.8%), As (26.7%), and Am (23.6%). This pattern resulted from the method used for bioclimatic zoning, which combines both climatic and performance parameters, resulting in a diverse distribution within zones.
3.2.2. Bioclimatological Assessment
The findings for January to March indicated that daytime ventilation could improve thermal comfort across all zones. The results also showed that some municipalities from zones 1M, 1R, 2M, and 3A also required thermal mass associated with solar heating, while the zones with the highest temperatures, zones 5 and 6, also required strategy G of thermal mass and evaporative cooling. Zone 4B had the highest number of locations where no strategy met the 7-day threshold apart from thermal comfort.
For April, all of the bioclimatic zones required daytime ventilation, and zones 1 and 2 kept the requirement for heating strategies. Zone 1R also showed a requirement for solar heating (B). May showed a similar pattern but required artificial heating for zone 1R and solar heating combined with thermal mass for zones 3 and 4. May also showed no demand for ventilation strategies from zones 1 and 2R. June followed the requirements of May, but artificial heating was added to zones 1M and 2R, and ventilation strategies were removed from zone 2M. The coldest zones, represented by groups 1 and 2, also showed a reduction in thermal comfort and an increase for zones 4 to 6. Zone 3B also increased for April and May, but June presented a decrease.
July has the same recommendations as June, except for the combination of thermal mass with solar heating strategies and thermal comfort (CD) for zone 2R. For the CD combination, zone 2R increased from a single location in June to 299 municipalities in July. August, however, starts showing thermal comfort conditions in zone 1M and a general thermal comfort increase in all the other zones except for zone 1R. The results also show a reduction in the demand for heating strategies in all zones, especially for zones 1 and 2. For September, most municipalities did not require artificial heating (A), except for Urupema-SC. The results also showed a demand for strategy H (thermal mass with evaporative cooling) for seven municipalities of zone 6B.
The results showed that October required heating strategies from zones 1M to 3A, mainly defined by thermal mass combined with solar heating (C), except for 27.1% of the municipalities from zone 1R that still required strategy B. October also showed increased demand for daytime ventilation from zones 2M to 6B. November showed a similar pattern to October but required daytime ventilation for 76.3% of the municipalities from zone 1R. Finally, December showed that all bioclimatic zones required daytime ventilation (E) for most of their municipalities, which mainly combined thermal mass with solar heating (C) for zones 1 and 2. For zones 3 to 6, daytime ventilation was mainly combined with strategy G or with days within thermal comfort (D).
This present paper provides a detailed analysis confirming the need for those strategies and reinforcing the ventilation potential through the NVP results. The results showed that locations with dry classification “B” of zones 3 to 6 had the best outcomes for the NVP (Figure 15). Additionally, the colder municipalities within zone 2 had a higher potential than those in zone 1.
Figure 15.
Total natural ventilation potential combining the DBT, WBT, and WS thresholds based on the 15-year average among the Brazilian bioclimatic zones. The red line indicates the median while the red dots the outliers.
Zones 1R, 1M, and 2R have the highest heating demand following the bioclimatic distribution (Figure 16). This study found an average greater than zero in zones 3 and 4 but significantly lower than the demand from the coldest zones, ranging between 2 K d and 52 K d of HDD18. The cooling demand increased from zone 1 to 6, following the daily average DBT that delimitates each of the 12 zones. The results also demonstrated that zones 1M to 4B had the highest reduction from CDD26 to CDD24, with an average of 79%. Zones 5A to 6B had a lower average reduction but still showed an average cooling demand reduction ranging from 49% to 66%.
Figure 16.
Distribution of HDD18, CDD24, CDD25, and CDD26 15-year average among the Brazilian bioclimatic zones following the annual records. The red line indicates the median while the red dots the outliers.
3.2.3. Representative Locations and Building Performance Simulation
Using the Brazilian bioclimatic zoning methodology presented in Section 2.2 and the ERA5-Land daily records, the 5567 Brazilian municipalities used in this study were classified to identify the representative locations (Table 5). After applying the Kolmogorov–Smirnov test, 12 representative locations were identified with an annual average DBT varying from 16.7 °C in São Marcos-RS (1R) to 27.7 °C in Bela Vista do Piauí-PI (6B). Colônia Leopoldina-AL (4A) and Pio XII-MA (6A) had the lowest DBT variation throughout the 15-year records (0.2 °C), while Agudos-SP (3B), Bela Vista do Piauí-PI (6B), Ibicaré-SC (1M), and São Marcos-RS (1R) had the highest DBT variation (0.8 °C). Olímpia-SP (4B) showed a 0.7 °C variation between 2008 and 2022 and was the only one with an “increase” result for the Mann–Kendall trend analysis. Bela Vista do Piauí-PI (6B) showed the lowest average RH (52.9%), and Fonte Boa-AM (5A) had the highest average RH (88.9%). Regarding the 15-year variation, Muqui-ES (3A) had the highest RH decrease (3.6 pp), while Chiapetta-RS (2R) and Pio XII-MA (6A) showed an increase in the RH, respectively, of 0.2 pp and 1.1 pp. The Mann–Kendall results also showed that Agudos-SP (3B), Fonte Boa-AM (5A), Três Barras-SC (1M), Olímpia-SP (4B), and São Marcos-RS (1R) had a “decrease” trend for the RH records. Therefore, the results indicated that Olímpia-SP (4B) was the only location with significant DBT and RH Mann–Kendall analysis results.
Table 5.
Representative locations for each Brazilian bioclimatic zone.
The heating demand was highest in zones 1 and 2, while zones 3 and 4 had significantly lower demands. The cooling demand was lowest in zones 1M to 2M, followed by zones 2R to 3B. Zone 4 locations had a higher demand for cooling, and zones 5 and 6 showed the highest cooling demand at 24 °C base temperature.
The PHFT results showed that the construction set with the lowest U-value (Ulow) delivered the best average PHFT, independent of the solar absorptance (Figure 17), for the representative locations for the cold zones (1M, 1R, 2M, and 2R). From zones 3 to 6, the most insulated construction set gradually delivered intermediary to worst PTHP, while Umedium (intermediary U-value) with a low solar absorptance had the highest averages. For zones 3 and 6, Uhigh, with a solar absorptance of 0.3, also delivered good PHFT results, and Umedium, with a solar absorptance of 0.7, had the lowest PHFT levels.

Figure 17.
Annual PHFT results. Blue represents Ulow, green represents Umedium, and orange represents Uhigh. The dotted line indicates a solar absorptance of 0.3, the solid line indicates a solar absorptance of 0.5, and the dashed line indicates a solar absorptance of 0.7.
Considering the average results from the 15-year simulation outputs for each construction set and solar absorptance combination, Três Barras-SC (1M) had the best results with an 88.4% PHFT for Ulow with low solar absorptance, and Fonte Boa-AM (5A), for Ulow with the highest absorptance, had the worst results (PHFT of 4.4%). Fonte Boa-AM (5A) had the greatest increase in PHFT, rising by 30.8 percentage points when transitioning from Ulow with a solar absorptance of 0.7 (PHFT of 4.4%) to Umedium with a solar absorptance of 0.3 (PHFT of 35.2%). On the other hand, Agudos-SP (5A) showed the lowest variation, increasing from 52% for Uhigh with a solar absorptance of 0.7 to 61.7% with the same construction set, but with a solar absorptance of 0.3.
The analysis by construction set revealed that highly insulated configurations performed best in zones 1 and 2, ranging from 69.9% to 88.2%. On average, an increase of 16.6 percentage points was found in the representative locations of colder climates. For zones 3 to 6, the construction set with an intermediary U-value delivered the best results. The average PHFT from zones 3 and 4 varied from 39.9% to 62.9%, with an average improvement of 13.9 percentage points. The hottest zones, 5 and 6, had the lowest PHFT levels, from 31.5% to 51.9%, but they had the highest improvement in PHFT levels, with an average of 18.6 percentage points.
Considering a multi-year analysis based on the cumulative average, all the locations resulted in a reduction in the PHFT when comparing 2008 and 2022, independently of the building envelope configuration, except São Marcos-RS, whose cumulative average varied of 1 pp with Umedium and Uhigh with low absorptance and 0.2 pp with Umedium with an intermediary absorptance. Bela Vista do Piauí-PI (6B), a hot and dry climate, had the highest variation with a reduction of 6.6 pp. The most insulated building envelope resulted in the highest average reduction of PHFT (9.6 pp), and the intermediary components (Umedium) had the lowest reduction (6.7 pp).
The insulated construction (Ulow) delivered the best performance regardless of solar absorptance, removing all the heating demand for the representative locations from zones 2M, 3, and 4 (Figure 18). In the remaining locations, the heating demand significantly decreased for all the years.
Figure 18.
Annual results for the CgTa. Blue represents Ulow, green represents Umedium, and orange represents Uhigh. The dotted line indicates a solar absorptance of 0.3, the solid line indicates a solar absorptance of 0.5, and the dashed line indicates a solar absorptance of 0.7.
The 15-year average results showed that São Marcos-RS (1R) had the highest heating demand (1833.6 kWh/year) when combining Ulow with the lowest solar absorptance but also presented the highest absolute reduction (1553.4 kWh/year) for the combination of Ulow with a high solar absorptance. Among the other seven locations, Muqui-ES (3A) had the lowest average demand (2.8 kWh/year) and accomplished a 100% reduction when using Ulow. As expected, the construction set with a high U-value presented the highest heating demand, while the most insulated resulted in a lower or even no demand for heating. In the climatic data analysis from Section 3.1, it was found that there was a predominant heating process in Brazil’s 15-year series. As a result, the heating demand over this simulation period decreased the cumulative average, even for the building envelope configurations that allow for a higher heating exchange (Umedium and Uhigh).
The representative locations from zones 3 and 4 also showed a low heating demand. The 15-year average HDD18 from Figure 16 showed that for zones 3, the average value is 51 K d with an average maximum of 221 K d. Zone 4’s average value is 9 K d with an average maximum of 122 K d. The combined analysis of HDD18 and simulation results points out a necessity of a review of the NBR 15575 to adjust the threshold for CgTa calculation.
The 15-year summary (Figure 19) indicated that Pio XII-MA (6A) had the highest cooling demand when combining high U-value and solar absorptance (13,070.7 kWh/year). However, it also showed a significant reduction in cooling demand when using the insulated building envelope (Ulow) with a low absorptance (4171.3 kWh/year). São Marcos-RS had the lowest cooling demand (1214.3 kWh/year) when using the intermediary U-value construction with high solar absorptance and achieved a 73% reduction using a high insulated construction with low absorptance. The results from the average construction set showed that the ones with high U-value resulted in the highest demand, while the highly insulated construction presented the lowest demand, with an average reduction of 29%. Colônia Leopoldina-AL (5A) and Pio XII-MA (6A) showed an exception since the intermediary building envelope with low absorptance delivered the best results.

Figure 19.
Annual results for the CgTr. Blue represents Ulow, green represents Umedium, and orange represents Uhigh. The dotted line indicates a solar absorptance of 0.3, the solid line indicates a solar absorptance of 0.5, and the dashed line indicates a solar absorptance of 0.7.
Regarding cooling demand, all locations presented an increasing trend, unlike the PHFT, which mostly indicated a decreasing scenario with some increases based on the building envelope configuration. The multi-year analysis also showed that Bela Vista do Piauí-PI (6B) also had the highest variation for the cooling energy demand, with an average increase of 415.5 kWh/year on the cumulative average. On the opposite side, Chiapetta-RS (2R), with a cold climate, had the lowest increase (218 kWh/year). The building envelope also influenced the magnitude of the increase, as the highly insulated configuration indicated the lowest average increase (738 kWh/year), while the building envelope with a high U-value had the highest average increase in the building demand (966.4 kWh/year).
4. Discussion
Different studies report the effects of climate change and exogenous climatic events on meaningful variations in temperature, humidity, and precipitation in the Brazilian context [27,28,49]. Therefore, the presented results are supported by previous research. The highest temperatures are directly linked with four Brazilian biomes: the Amazon rainforest, the Caatinga, and Cerrado—generally characterized as Savanna—and the Pantanal, a tropical wetland. Those regions are also characterized by the highest occurrences of wildfires in the Brazilian territory. The results also present concerning aspects, especially regarding the temperature increase since they are above the threshold to reduce climate change effects [50].
Nevertheless, relative humidity and precipitation show variations throughout the 15-year records and DBT maximum and minimum records show a trend to an annual amplitude increase. The effects of El Niño and La Niña can explain the significant variations in temperature and especially precipitation, resulting in the extreme conditions shown for the northeast region. For the last weather parameter (GHI), the ERA5-Land records proved to be a reliable source for GHI since the difference based on the annual average from monthly integrals is low. However, this study does not analyze the impact of different resolutions (daily and hourly). Thus, it is essential to quantify the differences in building performance and determine the ideal source for each location.
The results from Givoni’s chart indicate that passive design strategies are sufficient for most of Brazil to achieve thermal comfort, even with artificial heating in the southern region during the coldest months. This study’s approach, which considers a daily resolution and the 7-day threshold, allowed for a detailed evaluation of the recommended design strategies compared to the results provided by the NBR 15220:3 [18]. The monthly bioclimatic results confirmed that ventilation is a fundamental strategy to achieve thermal comfort and mitigate heat gains according to outdoor weather characteristics, as previously shown in Silveira et al. [38], Loche et al. [40], Roriz et al. [19], and the NBR 15220 [18]. The NVP results supported Givoni’s assessment and portrayed a more detailed analysis focusing on the different approaches to quantify the ventilation potential as a cooling strategy. The results also show that the latitude and temperature distribution over the territory were significant factors in determining the natural ventilation potential based on the DBT records. Despite Givoni’s results not requiring artificial cooling, according to the threshold of 7 days, different studies point out the need for HVAC systems in Brazil [11,22,32]. It is important to note that the analysis with Givoni’s chart considered only the outdoor environment, and the outcomes can vary when analyzing building simulation results due to the outdoor conditions and the building’s thermal properties, internal gains, and operation.
In general, when looking at the average PHFT results, colder climates near or below the Tropic of Capricorn achieved their best performance when using construction components with high insulation, regardless of the solar absorptance. On the other hand, warmer climates achieved their best performance with construction components with an intermediary U-value and low solar absorptance. Despite specific occurrences of high PHFT for construction sets with high U-value and low solar absorptance, the average results indicated that Uhigh delivered the worst average results. The third construction set (Uhigh), with the lowest solar absorptance, generally generated the highest heating demand by promoting a higher heating exchange with the outdoors than Ulow with insufficient heat gains, compared to higher solar absorptances, to compensate for the losses. Cooling demand results followed a similar trend to the heating demand, with the highly insulated model reaching the lowest demand, while the construction set with the highest U-value (Uhigh) had the highest requirement for cooling. The exceptions are Colônia Leopoldina-AL (4A), Fonte Boa-AM (5A), and Pio XII-MA (6A). The best outcomes for these three locations required an intermediary U-value, but they still had a low solar absorptance. The results are likely related to high temperatures and high humidity conditions. The cooling requirements followed the bioclimatic zones classification, showing a lower demand for the colder zones (1M and 1R) and a higher demand for the hottest locations (6A and 6B). The results reinforce the correlation between high and no-insulation components by accentuating the separation between the construction set’s demands according to the increase in the annual average DBT and, consequently, the bioclimatic class.
Finally, according to the analysis procedure from NBR 15575 [46], locations with an annual average DBT below 25 °C required the analysis of heating and cooling demand, but Colônia Leopoldina-AL (4A) did not present any heating demand for the 15-year results. This result could indicate the necessity of a review of the standard if other locations of the same zone follow the same pattern. Furthermore, the low heating demand for zones 3 and 4 can also raise the question of the necessity of heating demand assessment for the locations within those zones.
The limitations of this study can be summarized as follows: (1) climatic analysis can rely on monthly and annual records, but a bioclimatic approach requires daily or hourly records to provide a better characterization and more reliable results; (2) using a bioclimatic zone to characterize the territory is more adequate than using the geographical or the Köppen–Geiger distribution, but future studies should identify locations that represent the extremes of each zone to provide a wider characterization; (3) building performance is the last step of characterizing the territory since it encompasses the effects of different climatic data, but future studies should use multiple building geometries.
The primary contribution of this study is a replicable methodology that relies on multi-year records from the worldwide ERA5-Land database, a bioclimatic analysis using Givoni’s method, the NVP and degree day indicator, and finally, building performance analysis. Therefore, despite being used in Brazil as a case study, the methodology can be replicated for any location worldwide.
5. Conclusions
This study proposed a climatic, bioclimatic, and building performance analysis of the Brazilian territory based on ERA5-Land data from 2008 to 2022. In most Brazilian cities, the average DBT ranged from 22 °C to 26 °C. However, nearly 50% of the country experienced an average temperature of at least 26 °C. In most areas, there was an average DBT increase between 0.4 °C and 0.8 °C. RH levels were fairly consistent throughout the territory. The precipitation levels decreased to less than 50% in the regions with the highest temperature increase. The updated Köppen–Geiger classification introduced the Hot Desert classification “BWh” in the Semi-Arid region of Brazil, showing that the 15-year temperature increase and precipitation decrease significantly impacted the Brazilian territory.
The bioclimatic analysis showed that passive design strategies are still effective in providing thermal comfort, despite the heating process faced by the Brazilian territory. In general, ventilation strategies are Brazil’s predominant approach to reaching thermal comfort, and the NVP results corroborated the potential of natural ventilation throughout the territory. However, the results of cooling degree days showed several locations requiring cooling strategies. Therefore, combining Givoni and degree days delivered more suitable results for the Brazilian context.
The results of building performance simulation indicated that colder zones achieve a higher percentage of hours with an operative temperature within 18 °C and 26 °C (PHFT), lower cooling demands (CgTr), and even no heating demands (CgTa) when using a construction set with low solar absorptance and U-value. The combination of PHFT, CgTa, and CgTr results showed that, in general, using a construction set with high insulation and low solar absorptance produces the best outcomes, particularly for thermal assessment for zones 1 and 2, and for all zones in terms of heating and cooling demands. However, users should weigh the trade-off between the PHFT and conditioning demand for warm and hot zones when employing a construction set with an intermediary U-value, as it leads to improved PHFT levels. Based on multi-year trend analysis, the simulations indicated a highly insulated building envelope as the cause of reduced variation over the 15 years. Following the results and discussion, the main conclusions of this study are as follows:
- Following worldwide climate change trends, the Brazilian territory showed significant temperature variation for 2008–2022, followed by a reduction in the relative humidity and precipitation levels, based on the ERA5-Land records. For the annual average GHI from monthly integral records, the results also showed that ERA5-Land records are similar to the Brazilian Solar Atlas database;
- The bioclimatic analysis, as depicted in Givoni’s chart, indicates the potential of ventilation to achieve thermal comfort in Brazilian territory, supported by the NVP indicator results. However, Givoni’s chart was not enough to characterize the cooling requirement, and the degree day analysis showed a significant cooling demand for several municipalities in Brazil;
- Finally, for a complete characterization of the territory, an analysis from the outdoor environment to building performance simulation from a multi-year series allowed us to identify the impacts of the weather variations on building performance by showing that, generally, highly insulated constructions with a low solar absorptance deliver the best performance even in naturally ventilated dwellings.
Author Contributions
Conceptualization, M.A.d.S., G.P., A.G. and J.C.C.; methodology, M.A.d.S., G.P., A.G. and J.C.C.; validation, M.A.d.S., G.P., A.G. and J.C.C.; writing—original draft preparation, M.A.d.S.; writing—review and editing, M.A.d.S., G.P., A.G. and J.C.C.; supervision, J.C.C.; funding acquisition, M.A.d.S. and J.C.C. All authors have read and agreed to the published version of the manuscript.
Funding
This research was funded by the Brazilian National Council for Scientific and Technological Development (CNPq), grant number 406426/2022-8; by the Brazilian Federal Agency for Support and Evaluation of Graduate Education (CAPES), grant number 88881.846099/2023-01; and by the State of Minas Gerais Research Support Foundation (FAPEMIG), grant number 5.12/2022.
Data Availability Statement
The data presented in this study are available on request from the corresponding author.
Acknowledgments
The authors extend gratitude to the Department of Information Technology (DTI) of the Federal University of Viçosa (UFV), which made available UFV’s computer cluster for the data analysis in this study.
Conflicts of Interest
The authors declare no conflicts of interest.
Appendix A
The following figures show the results of the maximum and minimum records of DBT, RH, and PPT. They also show the degree days results across the Brazilian territory.
Figure A1.
Average annual (a) and trend (b) for the maximum DBT, and average annual (c) and trend for minimum DBT (d). For the Mann–Kendall summary, the gray area indicates no trend, red indicates an increasing trend, and blue indicates a decreasing trend.
Figure A2.
Average annual (a) and trend (b) for the maximum RH, and average annual (c) and trend for the minimum RH (d). For the Mann–Kendall summary, the gray area indicates no trend, red indicates a decreasing trend, and blue indicates an increasing trend.
Figure A3.
Average annual (a) and trend (b) for the maximum PPT, and average annual (c) and trend for the minimum PPT (d). For the Mann–Kendall summary, the gray area indicates no trend, red indicates a decreasing trend, and blue indicates an increasing trend.
Figure A4.
Average annual results for HDD18 (a), CDD24 (b), CDD25 (c), and CDD26 (d).
References
- Alvares, C.A.; Stape, J.L.; Sentelhas, P.C.; De Moraes Gonçalves, J.L.; Sparovek, G. Köppen’s Climate Classification Map for Brazil. Meteorol. Z. 2013, 22, 711–728. [Google Scholar] [CrossRef] [PubMed]
- Muñoz-Sabater, J.; Dutra, E.; Agusti-Panareda, A.; Albergel, C.; Arduini, G.; Balsamo, G.; Boussetta, S.; Choulga, M.; Harrigan, S.; Hersbach, H.; et al. ERA5-Land: A State-of-the-Art Global Reanalysis Dataset for Land Applications. Earth Syst. Sci. Data 2021, 13, 4349–4383. [Google Scholar] [CrossRef]
- Hersbach, H.; Bell, B.; Berrisford, P.; Hirahara, S.; Horányi, A.; Muñoz-Sabater, J.; Nicolas, J.; Peubey, C.; Radu, R.; Schepers, D.; et al. The ERA5 Global Reanalysis. Q. J. R. Meteorol. Soc. 2020, 146, 1999–2049. [Google Scholar] [CrossRef]
- Xavier, A.C.; Scanlon, B.R.; King, C.W.; Alves, A.I. New Improved Brazilian Daily Weather Gridded Data (1961–2020). Int. J. Climatol. 2022, 42, 8390–8404. [Google Scholar] [CrossRef]
- Rosa, S.L.K.; de Souza, J.L.M.; dos Santos, A.A. Data from NASA Power and Surface Weather Stations under Different Climates on Reference Evapotranspiration Estimation. Pesqui. Agropecu. Bras. 2023, 58, e03261. [Google Scholar] [CrossRef]
- Setiya, P.; Singh, M.; Nain, A.S. Evaluating the Performance of Grid IMD, NASA POWER, and MarkSim Timeseries Weather Dataset for Uttarakhand Climatic Condition. Theor. Appl. Clim. 2024, 155, 2657–2668. [Google Scholar] [CrossRef]
- Wu, Y.; An, J.; Gui, C.; Xiao, C.; Yan, D. A Global Typical Meteorological Year (TMY) Database on ERA5 Dataset. Build. Simul. 2023, 16, 1013–1026. [Google Scholar] [CrossRef]
- Crawley, D.B.; Barnaby, C.S. Weather and Climate in Building Performance Simulation. In Building Performance Simulation for Design and Operation; Hensen, J.L.M., Lamberts, R., Eds.; Routledge: Abingdon, UK; New York, NY, USA, 2019; pp. 191–220. [Google Scholar]
- ANSI/ASHRAE Standard 169; Climatic Data for Building Design Standards. ASHRAE: Atlanta, GA, USA, 2021.
- Walsh, A.; Cóstola, D.; Hensen, J.L.M.; Labaki, L.C. Multi-Criterial Performance-Based Climatic Zoning of Brazil Supported by Local Experts. Build. Environ. 2023, 243, 110591. [Google Scholar] [CrossRef]
- e Silva Machado, R.M.; Bre, F.; Mazzaferro, L.; Melo, A.P.; Lamberts, R. Bioclimatic Zoning for Building Performance Using Tailored Clustering Method and High-Resolution Climate Data. Energy Build. 2024, 311, 114157. [Google Scholar] [CrossRef]
- Remizov, A.; Memon, S.A.; Kim, J.R. Climate Zoning for Buildings: From Basic to Advanced Methods—A Review of the Scientific Literature. Buildings 2023, 13, 694. [Google Scholar] [CrossRef]
- Walsh, A.; Cóstola, D.; Labaki, L.C. Review of Methods for Climatic Zoning for Building Energy Efficiency Programs. Build. Environ. 2017, 112, 337–350. [Google Scholar] [CrossRef]
- Remizov, A.; Memon, S.A.; Kim, J.R. Novel Building Energy Performance-Based Climate Zoning Enhanced with Spatial Constraint. Appl. Energy 2024, 355, 122238. [Google Scholar] [CrossRef]
- Verichev, K.; Zamorano, M.; Carpio, M. Assessing the Applicability of Various Climatic Zoning Methods for Building Construction: Case Study from the Extreme Southern Part of Chile. Build. Environ. 2019, 160, 106165. [Google Scholar] [CrossRef]
- Liu, Y.; Wen, Z.; Lyu, K.; Yang, L.; Liu, J.; Dong, H.; Gao, Q. Introducing Degree Days to Building Thermal Climatic Zoning in China. J. Therm. Sci. 2023, 32, 1155–1170. [Google Scholar] [CrossRef]
- Omarov, B.; Memon, S.A.; Kim, J. A Novel Approach to Develop Climate Classification Based on Degree Days and Building Energy Performance. Energy 2023, 267, 126514. [Google Scholar] [CrossRef]
- Associação Brasileira de Normas Técnicas. ABNT NBR 15220-3: Desempenho Térmico de Edificações—Parte 3—Zoneamento Bioclimático Brasileiro e Diretrizes Construtivas Para Habitações Unifamiliares de Interesse Social; ABNT: Rio de Janeiro, Brazil, 2005. [Google Scholar]
- Roriz, M.; Ghisi, E.; Lamberts, R. Bioclimatic Zoning of Brazil: A Proposal Based on the Givoni and Mahoney Methods. In Proceedings of the PLEA’99: Sustaining the Future—Energy, Ecology, Architecture, Brisbane, Australia, 22–24 September 1999. [Google Scholar]
- Givoni, B. Comfort, Climate Analysis and Building Design Guidelines. Energy Build. 1992, 18, 11–23. [Google Scholar] [CrossRef]
- Abreu-Harbich, L.V.; Labaki, L.C.; Matzarakis, A. Thermal Bioclimate as a Factor in Urban and Architectural Planning in Tropical Climates—The Case of Campinas, Brazil. Urban. Ecosyst. 2014, 17, 489–500. [Google Scholar] [CrossRef]
- Mazzaferro, L.; Machado, R.M.S.; Melo, A.P.; Lamberts, R. Do We Need Building Performance Data to Propose a Climatic Zoning for Building Energy Efficiency Regulations? Energy Build. 2020, 225, 110303. [Google Scholar] [CrossRef]
- Benevides, M.N.; de Sousa Teixeira, D.B.; Carlo, J.C. Climatic Zoning for Energy Efficiency Applications in Buildings Based on Multivariate Statistics: The Case of the Brazilian Semiarid Region. Front. Archit. Res. 2022, 11, 161–177. [Google Scholar] [CrossRef]
- Dubreuil, V.; Fante, K.P.; Planchon, O.; Sant’Anna Neto, J.L. Climate Change Evidence in Brazil from Köppen’s Climate Annual Types Frequency. Int. J. Climatol. 2019, 39, 1446–1456. [Google Scholar] [CrossRef]
- Bustamante, M.M.C.; Silva, J.S.; Scariot, A.; Sampaio, A.B.; Mascia, D.L.; Garcia, E.; Sano, E.; Fernandes, G.W.; Durigan, G.; Roitman, I.; et al. Ecological Restoration as a Strategy for Mitigating and Adapting to Climate Change: Lessons and Challenges from Brazil. Mitig. Adapt. Strat. Glob. Chang. 2019, 24, 1249–1270. [Google Scholar] [CrossRef]
- Gobo, J.P.A.; Wollmann, C.A.; Celuppi, M.C.; Galvani, E.; Faria, M.R.; Mendes, D.; de Oliveira-Júnior, J.F.; dos Santos Malheiros, T.; Riffel, E.S.; Gonçalves, F.L.T. The Bioclimate Present and Future in the State of São Paulo/Brazil: Space-Time Analysis of Human Thermal Comfort. Sustain. Cities Soc. 2022, 78, 103611. [Google Scholar] [CrossRef]
- Da Costa, M.D.; De Oliveira-Júnior, J.F.; Dos Santos, P.J.; Filho, W.L.F.C.; De Gois, G.; Blanco, C.J.C.; Teodoro, P.E.; Da Junior, C.A.D.; De Santiago, D.D.; De Souza, E.D.; et al. Rainfall Extremes and Drought in Northeast Brazil and Its Relationship with El Niño–Southern Oscillation. Int. J. Climatol. 2021, 41, E2111–E2135. [Google Scholar] [CrossRef]
- Lopes, A.B.; Andreoli, R.V.; Souza, R.A.F.; Cerón, W.L.; Kayano, M.T.; Canchala, T.; de Moraes, D.S. Multiyear La Niña Effects on the Precipitation in South America. Int. J. Climatol. 2022, 42, 9567–9582. [Google Scholar] [CrossRef]
- da Silva Espinoza, N.; dos Santos, C.A.C.; de Oliveira, M.B.L.; Silva, M.T.; Santos, C.A.G.; da Silva, R.M.; Mishra, M.; Ferreira, R.R. Assessment of Urban Heat Islands and Thermal Discomfort in the Amazonia Biome in Brazil: A Case Study of Manaus City. Build. Environ. 2023, 227, 109772. [Google Scholar] [CrossRef]
- Silva, J.S.; da Silva, R.M.; Santos, C.A.G. Spatiotemporal Impact of Land Use/Land Cover Changes on Urban Heat Islands: A Case Study of Paço Do Lumiar, Brazil. Build. Environ. 2018, 136, 279–292. [Google Scholar] [CrossRef]
- Rodrigues, E.; Parente, J.; Fernandes, M.S. Building for Tomorrow: Analyzing Ideal Thermal Transmittances in the Face of Climate Change in Brazil. Appl. Energy 2024, 355, 122360. [Google Scholar] [CrossRef]
- Bracht, M.K.; Olinger, M.S.; Krelling, A.F.; Gonçalves, A.R.; Melo, A.P.; Lamberts, R. Multiple Regional Climate Model Projections to Assess Building Thermal Performance in Brazil: Understanding the Uncertainty. J. Build. Eng. 2024, 88, 109248. [Google Scholar] [CrossRef]
- Oliveira, P.T.; Santos e Silva, C.M.; Lima, K.C. Climatology and Trend Analysis of Extreme Precipitation in Subregions of Northeast Brazil. Theor. Appl. Clim. 2017, 130, 77–90. [Google Scholar] [CrossRef]
- Costa, R.L.; Macedo de Mello Baptista, G.; Gomes, H.B.; Daniel dos Santos Silva, F.; Lins da Rocha Júnior, R.; de Araújo Salvador, M.; Herdies, D.L. Analysis of Climate Extremes Indices over Northeast Brazil from 1961 to 2014. Weather Clim. Extrem 2020, 28, 100254. [Google Scholar] [CrossRef]
- Pereira, E.B.; Martins, F.R.; Gonçalves, A.R.; Costa, R.S.; Lima, F.L.; Rüther, R.; Abreu, S.L.; Tiepolo, G.M.; Pereira, S.V.; Souza, J.G. Atlas Brasileiro de Energia Solar, 2nd ed.; INPE: São José dos Campos, Brazil, 2017.
- Geiger, R. Überarbeitete Neuausgabe von Geiger R. Köppen-Geiger/K-Lima Der Erde. (Wandkarte 1:16 Mill.); Klett-Perthes: Gotha, Germany, 1961. [Google Scholar]
- Köppen, W. Das Geographische System Der Klimate. In Handbuch der Klimatologie; Köppen, W., Geiger, R., Eds.; Gebrüder Bornträger: Berlin, Germany, 1936; pp. 1–44. [Google Scholar]
- Silveira, F.M.; Labaki, L.C. Use of Natural Ventilation in Reducing Building Energy Consumption in Single-Family Housing in Brazil. In Proceedings of the 2012 International Conference on Renewable Energies for Developing Countries (REDEC), Beirut, Lebanon, 28–29 November 2012; pp. 1–6. [Google Scholar] [CrossRef]
- da Morais, J.M.S.C.; Labaki, L.C. CFD Como Ferramenta Para Simular Ventilação Natural Interna Por Ação Dos Ventos: Estudos de Caso Em Tipologias Verticais Do “Programa Minha Casa, Minha Vida”. Ambiente Construído 2017, 17, 223–244. [Google Scholar] [CrossRef][Green Version]
- Loche, I.; Bre, F.; Gimenez, J.M.; Loonen, R.; Neves, L.O. Balcony Design to Improve Natural Ventilation and Energy Performance in High-Rise Mixed-Mode Office Buildings. Build. Environ. 2024, 258, 111636. [Google Scholar] [CrossRef]
- Chen, Y.; Tong, Z.; Malkawi, A. Investigating Natural Ventilation Potentials across the Globe: Regional and Climatic Variations. Build. Environ. 2017, 122, 386–396. [Google Scholar] [CrossRef]
- Sakiyama, N.R.M.; Mazzaferro, L.; Carlo, J.C.; Bejat, T.; Garrecht, H. Natural Ventilation Potential from Weather Analyses and Building Simulation. Energy Build. 2021, 231, 110596. [Google Scholar] [CrossRef]
- ANSI/ASHRAE Standard 55; Thermal Environmental Conditions for Human Occupancy. ASHRAE: Atlanta, GA, USA, 2017.
- Pernigotto, G.; Walsh, A.; Gasparella, A.; Hensen, J. Clustering of European Climates and Representative Climate Identification for Building Energy Simulation Analyses. In Proceedings of the 16th International IBPSA Conference (Building Simulation 2019), Rome, Italy, 2–4 September 2019. [Google Scholar]
- Lemos, L.F.L.; Starke, A.R.; Boland, J.; Cardemil, J.M.; Machado, R.D.; Colle, S. Assessment of Solar Radiation Components in Brazil Using the BRL Model. Renew. Energy 2017, 108, 569–580. [Google Scholar] [CrossRef]
- Associação Brasileira de Normas Técnicas—ABNT. NBR 15575: Edificações Habitacionais—Desempenho; ABNT: Rio de Janeiro, Brazil, 2021. [Google Scholar]
- Triana, M.A.; Lamberts, R.; Sassi, P. Characterisation of Representative Building Typologies for Social Housing Projects in Brazil and Its Energy Performance. Energy Policy 2015, 87, 524–541. [Google Scholar] [CrossRef]
- Veiga, C.Z.M.; Bagio, J.; Geraldi, M.S.; Triana, M.A.; Melo, A.P.; Lamberts, R. Relatório Técnico: Criação Dos Modelos de Referência de HIS 2023. Available online: https://hablabeee.ufsc.br/resultados (accessed on 20 July 2024).
- Gozzo, L.F.; Palma, D.S.; Custodio, M.S.; Machado, J.P. Climatology and Trend of Severe Drought Events in the State of Sao Paulo, Brazil, during the 20th Century. Atmosphere 2019, 10, 190. [Google Scholar] [CrossRef]
- Calvin, K.; Dasgupta, D.; Krinner, G.; Mukherji, A.; Thorne, P.W.; Trisos, C.; Romero, J.; Aldunce, P.; Barrett, K.; Blanco, G.; et al. IPCC, 2023: Climate Change 2023: Synthesis Report. Contribution of Working Groups I, II and III to the Sixth Assessment Report of the Intergovernmental Panel on Climate Change; Core Writing Team, Lee, H., Romero, J., Eds.; IPCC: Geneva, Switzerland, 2023. [Google Scholar]
Disclaimer/Publisher’s Note: The statements, opinions and data contained in all publications are solely those of the individual author(s) and contributor(s) and not of MDPI and/or the editor(s). MDPI and/or the editor(s) disclaim responsibility for any injury to people or property resulting from any ideas, methods, instructions or products referred to in the content. |
© 2024 by the authors. Licensee MDPI, Basel, Switzerland. This article is an open access article distributed under the terms and conditions of the Creative Commons Attribution (CC BY) license (https://creativecommons.org/licenses/by/4.0/).