The Performance of a Circular Excavation Supported by a Prefabricated Recyclable Structure in a Full-Scale Test
Abstract
1. Introduction
2. Full-Scale Test
2.1. Site and Geological Conditions
2.2. Design Scheme and Instrumentation Layout
2.3. Construction Sequence
3. Results and Discussion
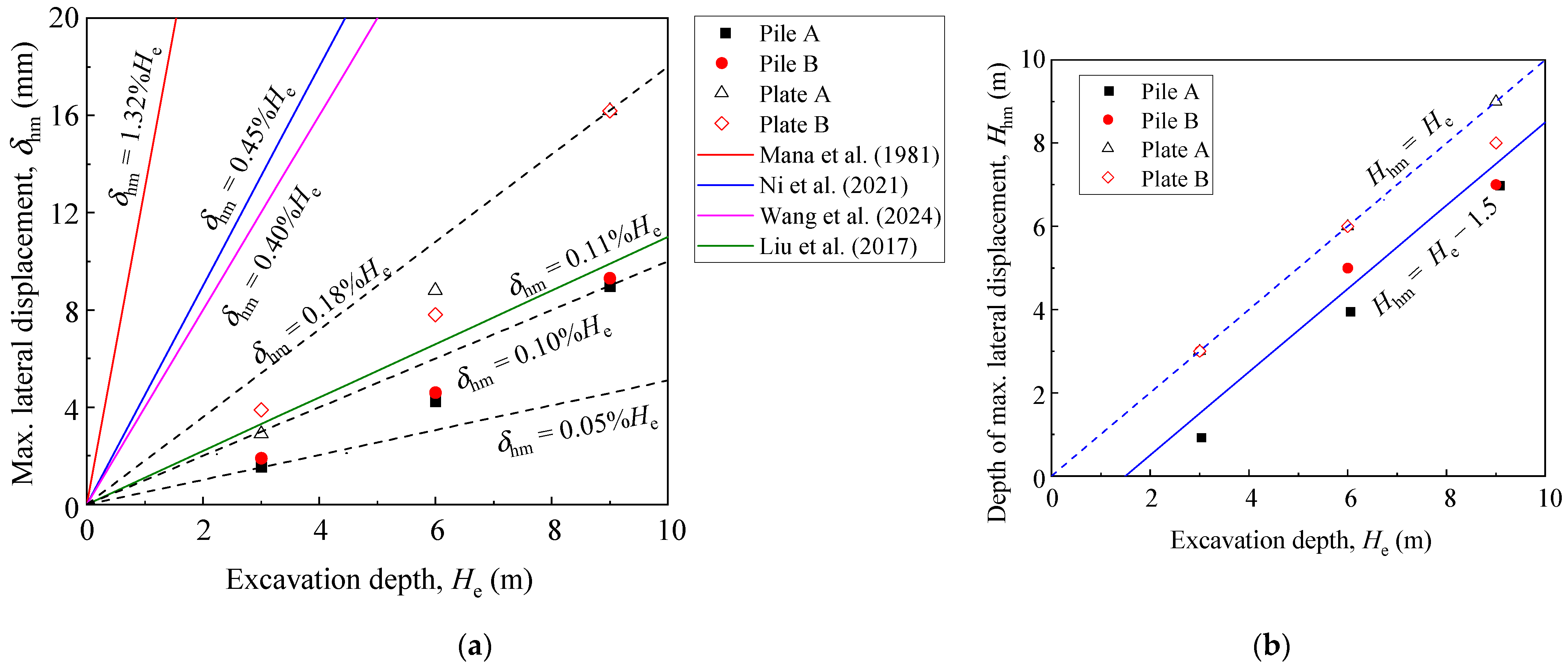
3.1. Lateral Displacement
3.1.1. Supporting Piles
3.1.2. Steel Plates
3.2. Groundwater
3.3. Ground Surface Settlement
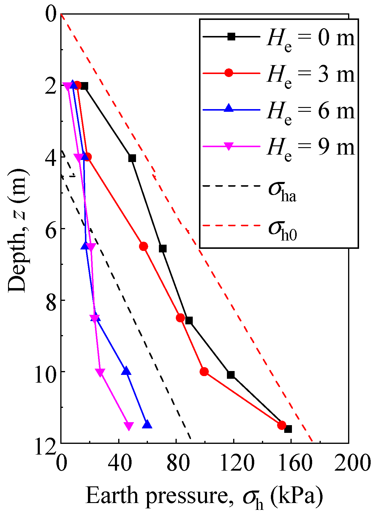
3.4. Lateral Earth Pressure
3.4.1. On Supporting Piles
3.4.2. On Steel Plates
3.5. Axial Force of Walings
4. Conclusions
Author Contributions
Funding
Data Availability Statement
Conflicts of Interest
References
- Zhang, C.; Zhang, Y.; Xia, Y.; Fang, H.; Zhao, P.; Wang, C.; Li, B.; Pan, Y.; Zou, Z.; Rabczuk, T.; et al. Risk assessment and optimization of supporting structure for a new recyclable pipe jacking shaft during excavation process. Process Saf. Environ. Prot. 2023, 172, 211–224. [Google Scholar] [CrossRef]
- Zhao, G.; Meng, S.; Guan, C.; Yang, Y. Test Study on the Stress and Deformation Behaviors of a Shaft Supported by a Prefabricated Prestressed Structure. Appl. Sci. 2019, 9, 629. [Google Scholar] [CrossRef]
- Zhang, H.; Wang, H.; Yang, J.; Wang, F. A novel vertical waterproofing joint with trapezoidal steel plate connections for steel–concrete underground silos: Bending test and numerical simulation. Tunn. Undergr. Space Technol. 2023, 137, 105150. [Google Scholar] [CrossRef]
- Xin, J.; Duan, Q.; Jin, K.; Sun, J. A reduced-scale experimental study of dispersion characteristics of hydrogen leakage in an underground parking garage. Int. J. Hydrogen Energy 2023, 48, 16936–16948. [Google Scholar] [CrossRef]
- Rapti, D.; Tinti, F.; Caputo, C.A. Integrated Underground Analyses as a Key for Seasonal Heat Storage and Smart Urban Areas. Energies 2024, 17, 2533. [Google Scholar] [CrossRef]
- Liu, B.; Zhang, D.; Wang, Y.; Wang, N.; Xu, W. Design optimization and observed performance of a super-large foundation pit excavation subjected to unsymmetrical loading in water-rich floodplain: A case study. Soils Found. 2023, 63, 101329. [Google Scholar] [CrossRef]
- Nejjar, K.; Dias, D.; Cuira, F.; Chapron, G.; Le Bissonnais, H. Numerical modelling of a 32 m deep excavation in the suburbs of Paris. Eng. Struct. 2022, 268, 114727. [Google Scholar] [CrossRef]
- Lu, T.; Wu, K.; Liu, S.; Cai, G. Method for estimating three-dimensional effects on braced excavation in clay. Tunn. Undergr. Space Technol. 2023, 141, 105355. [Google Scholar] [CrossRef]
- Mishra, A.; Sawant, V.A. A Detailed Investigation on Contiguous Pile Wall with Homogeneous Backfill. Geotech. Geol. Eng. 2023, 41, 2065–2089. [Google Scholar] [CrossRef]
- Ramadan, M.I.; Meguid, M. Behavior of cantilever secant pile wall supporting excavation in sandy soil considering pile-pile interaction. Arab. J. Geosci. 2020, 13, 466. [Google Scholar] [CrossRef]
- Zolqadr, E.; Yasrobi, S.S.; Norouz Olyaei, M. Analysis of soil nail walls performance-Case study. Geomech. Geoengin. Int. J. 2016, 11, 1–12. [Google Scholar] [CrossRef]
- Liu, L.; Wu, R.; Congress, S.S.C.; Du, Q.; Cai, G.; Li, Z. Design optimization of the soil nail wall-retaining pile-anchor cable supporting system in a large-scale deep foundation pit. Acta Geotech. 2021, 16, 2251–2274. [Google Scholar] [CrossRef]
- Shao, Y.; Macari, E.J.; Weiming, C. Compound deep soil mixing columns for retaining structures in excavations. J. Geotech. Geoenviron. Eng. 2005, 131, 1370–1377. [Google Scholar] [CrossRef]
- Nishanthan, R.; Liyanapathirana, D.S.; Leo, C.J. Deep Cement Mixed Walls with Steel Inclusions for Excavation Support. Geotech. Geol. Eng. 2018, 36, 3375–3389. [Google Scholar] [CrossRef]
- Waichita, S.; Jongpradist, P.; Patawanit, P.; Jamsawang, P.; Arangelovski, G.; Likitlersuang, S. Deformation and failure mechanism of deep cement mixing walls: Experimental study using physical model tests. Arch. Civ. Mech. Eng. 2021, 21, 127. [Google Scholar] [CrossRef]
- Tan, Y.; Paikowsky, S.G. Performance of Sheet Pile Wall in Peat. J. Geotech. Geoenviron. Eng. 2008, 134, 445–458. [Google Scholar] [CrossRef][Green Version]
- Caputo, G.V.; Conti, R.; Viggiani, G.M.B.; Prüm, C. Improved Method for the Seismic Design of Anchored Steel Sheet Pile Walls. J. Geotech. Geoenviron. Eng. 2021, 147, 4020154. [Google Scholar] [CrossRef]
- Sobala, D.; Rybak, J. Steel Sheet Piles-Applications and Elementary Design Issues. IOP Conf. Ser. Mater. Sci. Eng. 2017, 245, 22072. [Google Scholar] [CrossRef]
- Lu, W.; Lou, J.; Webster, C.; Xue, F.; Bao, Z.; Chi, B. Estimating construction waste generation in the Greater Bay Area, China using machine learning. Waste Manag. 2021, 134, 78–88. [Google Scholar] [CrossRef]
- Yücel, M.; Kayabekir, A.E.; Bekdaş, G.; Nigdeli, S.M.; Kim, S.; Geem, Z.W. Adaptive-Hybrid Harmony Search Algorithm for Multi-Constrained Optimum Eco-Design of Reinforced Concrete Retaining Walls. Sustainability 2021, 13, 1639. [Google Scholar] [CrossRef]
- Seol, Y.; Lee, S.; Lee, J.; Han, J.; Hong, G. Excavation Method Determination of Earth-Retaining Wall for Sustainable Environment and Economy: Life Cycle Assessment Based on Construction Cases in Korea. Sustainability 2021, 13, 2974. [Google Scholar] [CrossRef]
- Wasim, M.; Vaz Serra, P.; Ngo, T.D. Design for manufacturing and assembly for sustainable, quick and cost-effective prefabricated construction—A review. Int. J. Constr. Manag. 2022, 22, 3014–3022. [Google Scholar] [CrossRef]
- Wang, W.; Ding, W.; Yang, X.; Zheng, G.; Xu, Z. Deep excavation engineering and underground engineering—New techniques of high-efficiency and energy-saving, low environmental impact, and sustainable development. China Civ. Eng. J. 2020, 53, 78–98. [Google Scholar] [CrossRef]
- Guo, C.; Ye, J.; Zhao, C.; Wang, F. Mechanical and deformation characteristics of composite assembled supporting structure. Geotech. Res. 2020, 7, 230–243. [Google Scholar] [CrossRef]
- Guo, C.; Wang, R.; Lin, P.; Wang, F. Numerical analyses of a prefabricated retaining system for foundation pits in silt soils. Geotech. Res. 2020, 7, 173–190. [Google Scholar] [CrossRef]
- Pan, Y.; Fang, H.; Li, B.; Wang, F. Stability analysis and full-scale test of a new recyclable supporting structure for underground ecological granaries. Eng. Struct. 2019, 192, 205–219. [Google Scholar] [CrossRef]
- Guan, C.; Yang, Y.; Wang, C. Rapid excavation with a newly developed retaining system: Spiral assembly steel structure. J. Cent. South Univ. 2015, 22, 2719–2729. [Google Scholar] [CrossRef]
- Zhang, C.; Zhai, W.; Xia, Y.; Wang, C.; Zhao, P.; Li, B.; Pan, Y.; Fang, H.; Ummin, O.; He, W.; et al. Analysis of the stability of a novel assembled working shaft support structure during pipe jacking construction: Experiments and numerical simulations. Eng. Fail. Anal. 2024, 162, 108418. [Google Scholar] [CrossRef]
- Kim, K.; Lee, D.; Cho, J.; Jeong, S.; Lee, S. The effect of arching pressure on a vertical circular shaft. Tunn. Undergr. Space Technol. 2013, 37, 10–21. [Google Scholar] [CrossRef]
- Tran, V.D.H.; Meguid, M.A.; Chouinard, L.E. Discrete Element and Experimental Investigations of the Earth Pressure Distribution on Cylindrical Shafts. Int. J. Geomech. 2014, 14, 80–91. [Google Scholar] [CrossRef]
- Tangjarusritaratorn, T.; Miyazaki, Y.; Sawamura, Y.; Kishida, K.; Kimura, M. Numerical investigation on arching effect surrounding deep cylindrical shaft during excavation process. Undergr. Space 2022, 7, 944–965. [Google Scholar] [CrossRef]
- Xiong, G.J.; Wang, J.H.; Chen, J.J. Theory and practical calculation method for axisymmetric active earth pressure based on the characteristics method considering the compatibility condition. Appl. Math. Model. 2019, 68, 563–582. [Google Scholar] [CrossRef]
- Tobar, T.; Meguid, M.A. Experimental Study of the Earth Pressure Distribution on Cylindrical Shafts. J. Geotech. Geoenviron. Eng. 2011, 137, 1121–1125. [Google Scholar] [CrossRef]
- Tan, Y.; Wang, D. Characteristics of A Large-Scale Deep Foundation Pit Excavated by Central-Island Technique in Shanghai Soft Clay. Part II: Top-Down Construction of the Peripheral Rectangular Pit. J. Geotech. Geoenviron. Eng. 2013, 139, 1894–1910. [Google Scholar] [CrossRef]
- Qiao, Y.; Xie, F.; Bai, Z.; Lu, J.; Ding, W. Deformation characteristics of ultra-deep circular shaft in soft soil: A case study. Undergr. Space 2024, 16, 239–260. [Google Scholar] [CrossRef]
- Wang, F.; Chen, L.; Pan, Y.; Guo, C.; Guo, C.; Yue, L.; Chu, X. Deformation characteristics of excavation supported by prefabricated recyclable structures. Proc. Inst. Civ. Eng. Geotech. Eng. 2024, 1–43. [Google Scholar] [CrossRef]
- GB 50497-2019; Technical Standard for Monitoring of Building Excavation Engineering. Ministry of Housing and Urban-Rural Development: Beijing, China, 2019.
- Clough, G.W.; O’Rourke, T.D. Construction induced movements of in situ walls. In Proceedings of the ASCE Conference on Design and Performance of Earth Retaining Structures, New York, NY, USA, 18–21 June 1990; pp. 439–479. [Google Scholar]
- Ou, C.; Liao, J.; Lin, H. Performance of Diaphragm Wall Constructed Using Top-Down Method. J. Geotech. Geoenviron. Eng. 1998, 124, 798–808. [Google Scholar] [CrossRef]
- Liu, M.; Zhang, D.; Fang, Q.; Hou, Y. Wall and Ground Movements due to Deep Excavation of Tianjin Subway Station. DEStech Trans. Mater. Sci. Eng. 2017, 2017, 9944. [Google Scholar] [CrossRef] [PubMed][Green Version]
- Ni, X.; Lu, J.; Wang, Y.; Shi, J.; Chen, W.; Tang, L. Field investigation of the influence of basement excavation and dewatering on ground and structure responses. Tunn. Undergr. Space Technol. 2021, 117, 104121. [Google Scholar] [CrossRef]
- Mana, A.I.; Clough, G.W. Prediction of Movements for Braced Cuts in Clay. J. Geotech. Eng. Div. 1981, 107, 759–777. [Google Scholar] [CrossRef]
- Goldberg, D.T.; Jaworski, W.E.; Gordon, M.D. Lateral Support Systems and Underpinning; Federal Highway Administration: Washington, DC, USA, 1976. [Google Scholar]
- Moormann, C. Analysis of Wall and Ground Movements Due to Deep Excavations in Soft Soil Based on a New Worldwide Database. Soils Found. 2004, 44, 87–98. [Google Scholar] [CrossRef]
- Ou, C.; Hsieh, P.; Chiou, D. Characteristics of ground surface settlement during excavation. Can. Geotech. J. 1993, 30, 758–767. [Google Scholar] [CrossRef]
- Hsieh, P.; Ou, C. Shape of ground surface settlement profiles caused by excavation. Can. Geotech. J. 1998, 35, 1004–1017. [Google Scholar] [CrossRef]
- Ali, J.; Khan, A.Q. Behaviour of anchored pile wall excavations in clays. Proc. Inst. Civ. Eng. Geotech. Eng. 2017, 170, 493–502. [Google Scholar] [CrossRef]
- Richards, D.J.; Clark, J.; Powrie, W. Installation effects of a bored pile wall in overconsolidated clay. Géotechnique 2006, 56, 411–425. [Google Scholar] [CrossRef]
- Terzaghi, K. Theoretical Soil Mechanics; John Wiley and Sons, Inc.: New York, NY, USA, 1943; p. 510. [Google Scholar]
- Guojun, X.; Jianhua, W. A rigorous characteristic line theory for axisymmetric problems and its application in circular excavations. Acta Geotech. 2020, 15, 439–453. [Google Scholar] [CrossRef]
- Liu, F.Q.; Wang, J.H. A generalized slip line solution to the active earth pressure on circular retaining walls. Comput. Geotech. 2008, 35, 155–164. [Google Scholar] [CrossRef]
- Liu, F.Q.; Wang, J.H.; Zhang, L.L. Axi-symmetric active earth pressure obtained by the slip line method with a general tangential stress coefficient. Comput. Geotech. 2009, 36, 352–358. [Google Scholar] [CrossRef]














Disclaimer/Publisher’s Note: The statements, opinions and data contained in all publications are solely those of the individual author(s) and contributor(s) and not of MDPI and/or the editor(s). MDPI and/or the editor(s) disclaim responsibility for any injury to people or property resulting from any ideas, methods, instructions or products referred to in the content. |
© 2024 by the authors. Licensee MDPI, Basel, Switzerland. This article is an open access article distributed under the terms and conditions of the Creative Commons Attribution (CC BY) license (https://creativecommons.org/licenses/by/4.0/).
Share and Cite
Chen, L.; Guo, C.; Pan, Y.; Liang, H.; Tang, M. The Performance of a Circular Excavation Supported by a Prefabricated Recyclable Structure in a Full-Scale Test. Buildings 2024, 14, 2552. https://doi.org/10.3390/buildings14082552
Chen L, Guo C, Pan Y, Liang H, Tang M. The Performance of a Circular Excavation Supported by a Prefabricated Recyclable Structure in a Full-Scale Test. Buildings. 2024; 14(8):2552. https://doi.org/10.3390/buildings14082552
Chicago/Turabian StyleChen, Lichao, Chengchao Guo, Yanhui Pan, Huqing Liang, and Mengxiong Tang. 2024. "The Performance of a Circular Excavation Supported by a Prefabricated Recyclable Structure in a Full-Scale Test" Buildings 14, no. 8: 2552. https://doi.org/10.3390/buildings14082552
APA StyleChen, L., Guo, C., Pan, Y., Liang, H., & Tang, M. (2024). The Performance of a Circular Excavation Supported by a Prefabricated Recyclable Structure in a Full-Scale Test. Buildings, 14(8), 2552. https://doi.org/10.3390/buildings14082552
