Next Article in Journal
Exploring Stakeholders’ Perspectives on the Barriers to the Application of Cost-Reduction Techniques in Public Higher Educational Building Delivery
Previous Article in Journal
Analytical Formulation and Optimization of the Initial Morphology of Double-Layer Cable Truss Flexible Photovoltaic Supports
Previous Article in Special Issue
Performance Evaluation of Multiple Aging-Regeneration of SBS-Modified Bitumen Regenerated by a Composite Rejuvenator
 
 
Font Type:
Arial Georgia Verdana
Font Size:
Aa Aa Aa
Line Spacing:
Column Width:
Background:
Article

Study on Dynamic Modulus Prediction Model of In-Service Asphalt Pavement

1
School of Civil Engineering and Transportation, South China University of Technology, Guangzhou 510000, China
2
Xiaoning Institute of Roadway Engineering, Guangzhou 510000, China
*
Author to whom correspondence should be addressed.
Buildings 2024, 14(8), 2550; https://doi.org/10.3390/buildings14082550
Submission received: 17 July 2024 / Revised: 13 August 2024 / Accepted: 15 August 2024 / Published: 19 August 2024
(This article belongs to the Special Issue Advanced Asphalt Pavement Materials and Design)

Abstract

The dynamic modulus of in-service asphalt pavements serves as a critical parameter for the computation of residual life and the design of overlays. However, its acquisition is currently limited to laboratory dynamic modulus testing using a limited number of core samples, necessitating a reassessment of its representativeness. To facilitate the prediction of dynamic modulus design parameters through Falling Weight Deflectometer (FWD) back-calculated modulus data, an integrated approach encompassing FWD testing, modulus back-calculation, core sample dynamic modulus testing, and asphalt DSR testing was employed to concurrently acquire dynamic modulus at identical locations under varying temperatures and frequencies. Dynamic modulus prediction models for in-service asphalt pavements were developed utilizing fundamental model deduction and gene expression programming (GEP) techniques. The findings indicate that GEP exhibits superior efficacy in the development of dynamic modulus prediction models. The dynamic modulus prediction model developed can enhance both the precision and representativeness of asphalt pavement’s dynamic modulus design parameters, as well as refine the accuracy of residual life estimations for in-service asphalt pavements. Concurrently, the modulus derived from FWD back-calculation can be transmuted into the dynamic modulus adhering to a uniform standard criterion, facilitating the identification of problematic segments within the asphalt structural layer. This is of paramount importance for the maintenance or reconstruction of in-service asphalt pavements.

1. Introduction

With the increasing number of reconstruction and expansion projects, there is a growing demand for in-service asphalt pavement life prediction and overlay design. The dynamic modulus parameter characterizes the performance of asphalt pavement structure in service and will be directly input into the calculation model. The accuracy of dynamic modulus will directly affect the calculation accuracy of residual life and overlay thickness. The dynamic modulus parameters are mainly obtained by core drilling and indoor testing. However, the data sources for this method are not representative enough. For example, the test results of a few core samples represent the structural layer parameters of tens of kilometers. In addition, this method takes a long time and causes damage to the asphalt pavement in service [1,2]. Although the dynamic modulus parameters of asphalt pavement in service can be obtained by FWD modulus back-calculation, the temperature and frequency parameters cannot be controlled during FWD detection, which is different from the indoor test [3,4,5]. However, the dynamic model parameters that need to be input to calculate the remaining life of asphalt pavement in service and the thickness of overlay are obtained at 20 °C and 10 Hz. Therefore, the conventional inverse modulus results cannot be used.
For new asphalt pavement, the Witczak model or the improved Witczak model was used by MEPDG to predict the dynamic modulus of the asphalt mixture [6,7]. Subsequently, several researchers have also studied dynamic modulus prediction models, such as the Hirsch model, the Al-Khateeb model [8], and the Global model [9]. The study of these models has accurately predicted the dynamic modulus of asphalt mixture, allowing the use of predictive models to obtain the dynamic modulus of asphalt mixture in new low-grade roads by asphalt pavement design specifications [10,11]. However, predicting the dynamic modulus of asphalt pavement in service is challenging due to the damage and aging phenomena. Some researchers have found that the dynamic modulus predicted by the Witczak model is larger than that measured in the laboratory under the action of asphalt aging [12,13,14]. Bech and Irwin found that the changing trend in the modulus of asphalt pavement was inconsistent under the combined action of aging and fatigue damage [15,16].
To predict the dynamic modulus of asphalt pavement in service, researchers modified an existing model using field test data and achieved good results [17,18,19,20,21]. Seo proposed a conversion factor for dynamic modulus prediction using FWD modulus back-calculation and achieved dynamic modulus prediction using an undamaged dynamic modulus prediction model [17]. However, the relevant characteristic indicators of the mixture must be inputted, which requires conducting tests on the in-service asphalt pavement mixture before predicting the dynamic modulus. The prediction method can be relatively cumbersome. Furthermore, the impact of thickness on the accuracy of FWD modulus back-calculation has not been taken into account in the results. Additionally, the modulus back-calculation of a single-layer structure is performed directly, and its accuracy is unknown. Solatifar has collected dynamic modulus prediction models for all new road asphalt mixes. Then, FWD test data are used to directly fit the model parameters, and then different dynamic modulus prediction models of in-service asphalt pavement are constructed. Finally, the optimal prediction model is selected by error analysis. The model still requires a large number of mixing parameters, making it inconvenient to use [22,23,24]. However, the model takes into account the effect of thickness on the accuracy of FWD back-calculation results. The analysis is conducted on the entire asphalt structure layer, rather than on a single asphalt layer.
Before using the existing dynamic modulus prediction model for asphalt pavement in service, it is necessary to conduct testing. Once the index parameters, such as mixture gradation and asphalt content, are obtained for the pavement in service, the dynamic modulus at different temperatures and frequencies can be predicted using the FWD inverse modulus. The process can be complex. Some prediction models do not take into account the sensitivity of FWD back-calculation modulus to the thickness index of the structural layer. Predicting the dynamic modulus for a single asphalt layer can result in a large deviation in FWD inverse modulus results, which makes the prediction model unreliable. To predict the remaining life and calculate the overlay thickness of in-service asphalt pavement, it is necessary to combine the dynamic modulus of different asphalt layers to form the dynamic modulus of the whole asphalt structural layer, even if the dynamic modulus of a single structural layer is successfully predicted. Analyzing the dynamic modulus prediction model of a single asphalt layer may be difficult and unnecessary for design purposes. In this paper, the prediction model of dynamic modulus design parameters of in-service asphalt pavement is studied based on the modulus back-calculation, which changes the present situation of relying on complicated laboratory tests in the past. The prediction model takes into account the fatigue damage and aging factors of asphalt pavement in service, and realizes the dynamic modulus transformation under different parameters. Through this study, it will be possible to quickly obtain a large number of dynamic modulus design parameters under standard conditions, and greatly improve the representativeness and accuracy of design parameters.

2. Research Methods

2.1. Research Ideas

In order to conveniently obtain dynamic modulus parameters for asphalt pavement design, FWD detection was carried out at 58 detection points at different temperatures and then dynamic modulus data were calculated by modulus back-calculation.
The coring work was carried out for the testing locations, and the indoor dynamic modulus test was conducted to obtain the dynamic modulus data at different temperatures and frequencies. Combining the FWD back-calculated modulus data and the indoor dynamic modulus data, a dynamic modulus prediction model was constructed by using the basic model formula and GEP for fitting analysis. Eventually, the dynamic modulus design parameters under standard temperature and frequency can be obtained through FWD testing, which solves the dilemma that can only be obtained through coring in the past, and greatly improves the representativeness of the dynamic modulus design parameters of in-service asphalt pavements. The research idea is shown in Figure 1.

2.2. Experimental Methods

2.2.1. Back-Calculation Modulus Database

The FWD test was conducted on in-service asphalt pavement at various temperatures, and deflection basin data were obtained at the same point under different temperatures, as shown in Figure 2. The FWD testing was conducted at each testing point using a minimum of three temperatures, with each temperature being at least 5 °C apart.
According to Loulizi, the FWD loading time for asphalt structural layers with different depths is 0.03 s, resulting in a loading frequency of 33 Hz in structural layers with different depths [25,26]. The semi-sinusoidal period is defined as a complete loading mode in the indoor dynamic modulus test regulations [27]. The frequency used for calculating the dynamic modulus of the FWD is 33 Hz. The frequency of the dynamic modulus for the FWD back-calculation is fixed at 33 Hz.

2.2.2. Laboratory Test Modulus Database

Following the completion of the FWD test, 15 detection points were selected for coring. Subsequently, the indoor dynamic modulus test was conducted, as illustrated in Figure 2. The dynamic modulus was obtained at different temperatures and frequencies. The dynamic modulus prediction model was constructed based on the FWD modulus back-calculation data and the indoor core modulus data.

2.3. Model Building Method

2.3.1. Theoretical Model Deduction Method

As the Witczak model is the most widely used and validated, this paper builds a dynamic modulus prediction model for in-service asphalt pavement based on the Witczak prediction model through mathematical deduction. The Witczak model comprises mixture gradation, volume parameters, asphalt viscosity, and test frequency, as shown in Equation (1). Among these, asphalt viscosity and test frequency have the most significant impact on the dynamic modulus of the mixture. To enhance the model’s accuracy, it is essential to obtain asphalt viscosity data in order to deduce the model. Dynamic shear rheological tests were conducted on various types of bitumen in this paper to establish a model for predicting complex viscosity.
log | E | = 3.750063 + 0.2932 ρ 200 0.001767 ( ρ 200 ) 2 0.00284 ρ 4 0.058097 V a 0.802208 ( V b e f f V b e f f + V a ) + 3.871977 0.0021 ρ 4 + 0.003958 ρ 38 0.000017 ( ρ 38 ) 2 + 0.005470 ρ 34 1 + e ( 0.603313 0.313351 log ( f ) 0.393532 log ( η ) )
where | E | is the dynamic shear modulus of asphalt (unit: psi). ρ 200 is passed through #200 sieve (%). ρ 4 is the accumulated sieve allowance on #4 sieve (%). V a is the porosity. V b e f f is the effective asphalt content. ρ 38 is the accumulated sieve allowance on the #3/8 sieve. ρ 34 is the accumulated sieve allowance on #3/4 sieve. f is the frequency (unit: Hz). η is asphalt viscosity (106 Poise).

2.3.2. Gene Expression Programming

Gene expression programming (GEP) was first proposed by Ferreira in 2001 as an adaptive evolutionary algorithm based on genotype and phenotype [14,28,29]. GEP is a combination and extension of genetic algorithms and genetic programming, also inspired by biological genetic mechanisms but introducing a more complex genetic algorithm-based coding mechanism that contains not only genetic information (genotypes) but also the forms in which this information is expressed (phenotypes). Unlike traditional intelligent algorithms, GEP can directly provide explicit relational expressions between data during data exploration [30,31]. For analysis methods such as neural networks, engineers may find them inconvenient to use. However, GEP provides models directly, which can effectively improve the accessibility of models. Therefore, in this paper, GEP is used to analyze the data and develop a dynamic modulus prediction model for in-service asphalt pavements.

3. Experimental Results

3.1. FWD Modulus Back-Calculation

The FWD testing was conducted on the Guangzhou–Shenzhen Expressway. The pavement structure is illustrated in Figure 3. The wheel track zone of the carriageway was selected as the testing area, with the testing points spaced 50 m apart and clearly marked with paint to ensure accurate positioning for each test. The test started at 8:00 a.m. The FWD test was carried out every hour, with each test point ensuring at least three different temperatures of the FWD test data to obtain different temperatures of the deflection basin data. The FWD test parameters and results are shown in Table 1.
The thickness of the structural layer is a crucial factor that affects modulus back-calculation. However, the current testing techniques are unable to obtain thickness data for different asphalt structural layers [32,33]. To enhance the accuracy of modulus back-calculation and reduce the impact of structural layer thickness, the current approach groups similar structural layers [34]. For instance, all the asphalt structural layers are considered as one layer, and all the semi-rigid base layers are considered as another. In the modulus reverse calculation process, the Guangzhou–Shenzhen Expressway pavement structure from the surface layer of SMA-13 to the base layer of ATB-30 is classified as the asphalt layer, whose thickness is 36 cm. The semi-rigid base layer is a layer, whose thickness is 23 cm. The crushed stone layer is a layer, whose thickness is 55 cm. The modulus back-calculation software used in this study was developed by the South China University of Technology. It mainly employs neural network algorithms and is verified using data from the China Ring Road Test Site. The software has been successfully applied in various reconstruction and expansion projects in China, including Kaiyang, Yangmao, Maozhan, and the Shenzhen-Shantou West Reconstruction and Expansion Project. The impact load of FWD is simplified as a half-wave sinusoidal uniformly distributed load, as shown in Equation (2), with a load radius of 15 cm. The dynamic modulus data at different temperatures were obtained by the back-calculation of the FWD test data, and the results are presented in Table 1.
p ( t ) = p max sin ( π T t )
where p ( t ) is the load value of FWD. t is the loading time. p max is the peak load value, which is generally 0.7 MPa. T is the period of FWD impact load, which is 0.03 s.
The temperature recorded during the FWD testing represents the surface temperature of the pavement. However, the modulus back-calculation applies to the entire asphalt structural layer. Therefore, it is necessary to convert the surface temperature of the pavement to the central temperature of the asphalt layer. This paper utilizes the research findings from the Jiangxi Province highway regarding temperature conversion (refer to Equation (3)). The location of the dependent project is similar to this project, with comparable solar radiation and sunshine time [35].
T d = T s + ( 0.486 d 0.0014 d 2 + 0.0006 d 3 ) × sin ( 0.311 t + 72.48 )
where T d is the internal temperature of the pavement structure. T s is pavement surface temperature. d is the depth of the center point of the structural layer thickness. t is the test time, such as 13:30 converted to 13.5.

3.2. Core Sample Dynamic Modulus Experiment

The field core sample was divided into two layers to carry out dynamic modulus tests in accordance with the relevant requirements of the ‘Code for Design of Highway Asphalt Pavement’ (JTG D50-2017, [36]). This was necessary because the standard thickness of the asphalt structural layer is 36 cm, while the standard thickness of the dynamic modulus test is 15 cm. The tests were conducted at the frequencies of 0.796 Hz, 1.592 Hz, 3.979 Hz, 5 Hz, 10 Hz, 25 Hz, and 33 Hz. The frequency of 33 Hz was used to verify the back-calculation results of the FWD dynamic modulus. Therefore, the test temperature at this frequency corresponded to the FWD test temperature at the core sample point. The test temperatures for other frequencies were 10 °C, 20 °C, 40 °C, and 60 °C, respectively. After obtaining the dynamic modulus data, the data for different horizons at the same point were combined using Ullidtz’s compounding principle, as described in Equation (4) and shown in Table 2 [37]. A total of 61 data points were obtained. The dynamic modulus test was not successfully performed on some core samples under all the design temperature and frequency conditions.
E C M = ( i = 1 n h i × E i 3 i = 1 n h i ) 3
where E C M is the combined dynamic model parameter. h i is the height of each layer after layering. E i is the dynamic modulus of each layer after stratification.
Table 3 presents the difference between the modulus values derived from the FWD back-calculation and those obtained from the indoor dynamic modulus testing. The mean deviation between the dynamic modulus of back-calculation and the results of the indoor dynamic modulus testing registers at 14.5%. This deviation primarily arises due to the core samples being maintained at a constant temperature during indoor testing, whereas the temperature fluctuated with the road surface depth during the FWD testing process [38]. Additionally, the modulus obtained from back-calculation reflects the cumulative behavior of all the asphalt structural layers. In contrast, for the indoor dynamic modulus assessment, it is imperative to conduct evaluations at 15 cm intervals within the structural layers, followed by a synthesis of dynamic modulus data to derive the comprehensive dynamic modulus. There is also a certain degree of difference in the test state. The FWD back-calculation is based on the full-scale test results, while the indoor dynamic modulus testing is based on the small-size specimen of a single core sample, and the test results will be different to a certain extent.

3.3. Asphalt Viscosity Test

The dynamic shear rheological experiments were conducted on 50# matrix asphalt, 70# matrix asphalt, and SBS-modified asphalt. Dynamic shear rheological viscosity data were obtained at temperatures of 10 °C, 20 °C, 40 °C, and 60 °C. Test frequencies were set at 0.796 Hz, 1.592 Hz, 3.979 Hz, 5 Hz, 10 Hz, and 25 Hz. The test results are depicted in Figure 4.
To simplify the method for determining asphalt viscosity during the dynamic modulus prediction of in-service asphalt pavements, a model incorporating asphalt viscosity, test temperature, and frequency was established with reference to Equation (5). An asphalt viscosity prediction model was proposed and calibrated with the test data. The fitting results can be seen in Table 4.
log ( η ) = m 1 + m 2 1 + e ( m 3 log ( T ) + m 4 log ( f ) + m 5 )
where η is the viscosity of asphalt. m 1 , m 2 , m 3 , m 4 , and m 5 are the fitting parameters. T is the test temperature. f is the test frequency.
As the back-calculation method can only precisely determine the dynamic modulus of the entire asphalt layer, it becomes imperative to integrate the asphalt viscosities of various structural layers to establish a composite viscosity before developing the dynamic modulus prediction model. In line with the composite dynamic modulus Equation (4), the composite asphalt viscosity model was introduced, as delineated in Equation (6).
η CM = ( i = 1 n h i × η i 3 i = 1 n h i ) 3
where η C M is the viscosity of asphalt after the combination of pavement structures. h i is the thickness of each layer of the pavement structure. E i is the viscosity of asphalt used in each structural layer.
To determine the composite viscosity of asphalt across varying temperatures, it is essential to translate the pavement surface temperature to the corresponding temperatures at various depths. Given the pavement structure configuration and asphalt application on the Guangzhou–Shenzhen Expressway, the pavement is stratified into layers of 4 cm (SBS), 4 cm (50#), and 28 cm (70#), and the temperature at the midpoint of each structural layer (2 cm, 6 cm, and 22 cm) is considered the representative value. To ascertain the internal temperatures of the pavement structure, Equation (3) is employed for the conversion. When integrated with the road surface temperature recorded during the FWD test, the asphalt viscosity index is depicted in Table 5.

4. Model Construction

4.1. Construction of Deduction Model

Equation (1) may be transformed into Equation (7). Parameters δ and α , representing mixture gradation, asphalt volume, and porosity, are delineated in Equations (8) and (9). In the prediction of the dynamic modulus of an operational asphalt pavement, these parameters are presumed to be constant, and the data are utilized to establish the fitting parameters.
log E = δ + α 1 + e ( a log ( η ) + b log ( f ) + c )
δ = 3.750063 + 0.2932 ρ 200 0.001767 ( ρ 200 ) 2 0.00284 ρ 4 0.058097 V a 0.802208 ( V b e f f V b e f f + V a )
α = 3.871977 0.0021 ρ 4 + 0.003958 ρ 38 0.000017 ( ρ 38 ) 2 + 0.005470 ρ 34
The in-service asphalt pavement modulus E i n has the following relationship to the original pavement modulus E .
d j = E i n E
Equation (7) can be transformed into Equation (11).
log E i n = δ + log d j + α 1 + e ( a log ( η ) + b log ( f ) + c )
When utilizing FWD data for calculating the dynamic modulus of in-service asphalt pavement, the relevant parameters are substituted into Equation (11). Equation (11) may be re-expressed as Equation (12).
log E F W D = δ + log d j + α 1 + e ( a log ( η θ ) + b log ( f θ ) + c )
In this context, η θ refers to the asphalt viscosity, which is related to the internal temperature of the pavement during the FWD test. f θ signifies the frequency at which the FWD test is administered. Based on the outcomes of Loulizi’s investigations, the FWD test frequency is consistently maintained at 33 Hz within the pavement structure [25]. Consequently, this constancy permits the simplification of Equation (12) to Equation (13).
log E F W D = δ + log d j + α 1 + e ( a log ( η θ ) + c θ )
Equation (13) can be further converted to Equation (14).
δ + log d j = log E F W D α 1 + e ( a log ( η θ ) + c θ )
Upon substitution of Equation (14) into Equation (11), Equation (15) is consequently obtained.
log E i n = log E F W D α 1 + e ( a log ( η θ ) + c θ ) + α 1 + e ( a log ( η ) + b log ( f ) + c )
Dynamic modulus data at the same point, different temperatures, and different frequencies are formed in the dynamic modulus database constructed above, so E i n and E F W D can use dynamic modulus data of the same point and different parameters. log ( η θ ) can be calculated by composite viscosity directly, in which the temperature corresponding to composite viscosity is the internal temperature of the pavement structure corresponding to the data E F W D . log ( η ) can be calculated by composite viscosity directly, in which the temperature corresponding to the composite viscosity is the internal temperature of the pavement structure corresponding to the data E i n . Substitute the data into Equation (15), the input parameters are shown in Table 6, and the fitting results are shown in Table 7, Figure 5, and Equation (16).
Dynamic modulus data previously established for various temperatures and frequencies at the specified test point enable the direct acquisition of parameters E i n and E F W D . Since E i n and E F W D are data associated with temperature and frequency, respectively, the number of fitting data can be effectively expanded by utilizing the correspondence of data at different temperatures and frequencies when constructing the fitting data. This can effectively improve the fitting effect. Parameters log ( η θ ) and log ( η ) , indicative of the composite viscosity, can be ascertained post-asphalt extraction from operational asphalt pavements, if it is available. Within this study, composite viscosity values derived from Equation (5) are utilized for parameters log ( η θ ) and log ( η ) , representing the composite viscosity at the internal temperature of the pavement structure aligned with the E F W D data, while corresponding to the composite viscosity at the internal temperature in line with the E i n data. Upon the substitution of the data into Equation (15), the input parameters are presented in Table 6, and the fitting results are depicted in Table 7, accompanied by Figure 5. The examination of Table 7 and Figure 5 indicates that the extrapolated model has an R-squared (R2) value of 0.76. A small number of points exhibit deviation from the empirical data.
The deduction model is obtained after the deduction of the basic model. Although the basic model has been verified by a large number of data, it is also an empirical model obtained through a large number of data fitting, and it will have certain biases. In addition, in the fitting data, there is a certain deviation between the FWD modulus back-calculation results and the indoor dynamic modulus test results, and the viscosity data of asphalt is calculated through combination, so the overall data have a certain error. Although the deduction model has a certain reliability, there is a certain deviation from the basic model. Moreover, there are some errors in the fitting data, which leads to some deviation in the obtained dynamic modulus prediction modulus.
log E i n = log E F W D 0.40352 1 + e ( 158.88215 log ( η θ ) + 492.36898 ) + 0.40352 1 + e ( 158.88215 log ( η ) 200 . 63724 log ( f ) + 771.05827 )

4.2. Construction of Gene Expression Programming Model

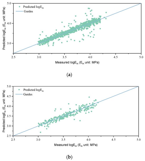
An exploratory analysis was conducted on the GEP model using the same dataset, with 80% allocated for training and the remaining 20% utilized for validation purposes. The parameter configurations are detailed in Table 8. The quantity of genes correlates with the complexity of the predictive model. Within the constraints of limited data, an increase in gene count typically yields higher predictive accuracy, albeit at the cost of increased model complexity [39]. To enhance the model’s applicability and streamline its structure, the gene number parameter was established at 2. Both the population size and gene head length serve as complexity coefficients for individual genes [40,41]. Augmented values for population size and gene head length parameters elevate computational complexity and predictive model accuracy while concurrently extending the duration of computation. Based on preliminary computational trials, the population size was configured at 30, and the gene head length was determined to be 12. The derived model is presented in Equation (17), and the computational outcomes for both the training and validation sets are depicted in Figure 6 and Table 9.
E i n = log [ 10 ( 7.622978 × log η θ log f + E F W D log η ) 2 × log ( 7.622978 log η θ ) + log η ] + 1 2 × { E F W D + [ ( E F W D ( log f ) 2 + log f × log η ) × ( log η ) 1 / 2 × ( E F W D + log f ) ] 1 / 3 }
The inspection of Figure 6 and Table 9 reveals that the GEP model exhibits superior predictive capabilities for the dynamic modulus of in-service asphalt pavement. The R2 for the GEP model stands at 0.88 in the training set and 0.83 in the validation set. Figure 7 illustrates the deviations between the predicted and actual values of the GEP model within the validation dataset. A majority of the deviations are below 5%, with only 7.1% of the observations exhibiting a deviation exceeding 5%. The maximum deviation is 18.8% and the average deviation is 2.3%. These values suggest that the predictive model, which utilizes gene expression analysis, exhibits a high degree of accuracy. This is mainly due to the reliability of the GEP algorithm, which greatly improves the effectiveness of model construction. In addition, different from the deduction of the model itself, GEP fully utilizes the fitting data to construct the dynamic modulus prediction model, so that a better fitting effect can be obtained.
Figure 8 demonstrates the predictive performance of both the deduction model and the GEP model. The R2 of the GEP model attained 0.88, in contrast to the deduction model which registered a lower R2 of 0.76. Within the validation dataset, 92.9% of the data points for the GEP model maintained a deviation below 5%. This indicates that the GEP model exhibits a high level of fit. Utilizing the GEP model allows for the precise calculation of the dynamic modulus of in-service pavement across varying temperatures and frequencies.

5. Discussion

Conducting FWD testing and core sample dynamic modulus testing is imperative during the implementation of in-service asphalt pavement reconstruction and expansion projects. The FWD test serves solely to ascertain the pavement’s structural strength and the core dynamic modulus test is conducted exclusively under standard conditions, with only a select number of core test results being utilized as dynamic modulus design parameters. The proposed prediction method for the dynamic modulus of in-service asphalt in this paper builds upon the requisite work during the reconstruction and expansion of in-service asphalt pavements and enables the prediction of dynamic modulus with minimal additional detection efforts. For FWD detection, it suffices to incorporate repeated measurements across varying temperatures in the feature section into the conventional testing regimen. For indoor dynamic modulus assessment, simply extending the standard test protocol to include measurements at varied temperatures and frequencies is required. The viscosity index of asphalt may be quantified through extraction from the asphalt mix when conditions permit. If extraction is not feasible, the viscosity prediction model developed herein can be directly employed for calculation. The dynamic modulus prediction model, which utilizes the calculated viscosity values, not only meets the accuracy requirements but also significantly diminishes the associated workload.
The dynamic modulus back-calculated from FWD is converted into asphalt pavement design parameters (test temperature is 20 °C and test frequency is 10 Hz) via the GEP model, yielding 1280 data points for the dynamic modulus. Without the GEP model’s conversion, dynamic modulus data would be limited to those derived from only 15 core samples collected in the field. The comparative results of these two approaches are presented in Table 10.
Extensive FWD testing is typically necessitated for the assessment and evaluation of in-service pavements in resurfacing and widening projects, with a conventional test interval of 50 m. Additionally, a limited series of core dynamic modulus tests are conducted. As indicated in Table 10, the dynamic modulus data derived from the core samples exhibit reduced precision, with their numerical accuracy being directly contingent upon the core’s location. Consequently, the dynamic modulus data obtained from core samples fail to accurately reflect the true condition of the asphalt pavement’s dynamic modulus. The discrepancy between the core sample dynamic modulus data and the model-converted dynamic modulus data stands at 22%, implying that the utilization of core sample data for estimating the remaining lifespan of the existing roadway could introduce significant error, potentially impacting the decision-making process for the management of in-service pavements during reconstruction and expansion projects.
The dynamic modulus of the asphalt mixture, when characterized under standard parameters, constitutes a critical technical metric for assessing asphalt pavement performance. Historically, the acquisition of this modulus was confined to the laboratory testing of core samples, precluding the possibility of extensive data analysis. Utilizing the dynamic modulus prediction model for in-service asphalt pavements, the back-calculation modulus with non-standard parameters is converted to align with standard parameters for the asphalt mixture, facilitating the analysis of dynamic modulus distribution, as depicted in Figure 9.
Figure 9 illustrates that the dynamic modulus values fluctuate in conjunction with variations in pile numbers. Employing the principle of cumulative modulus difference for data analysis allows for the segmentation of dynamic modulus data into four distinct categories, as delineated in Table 11. Notably, the segments from K45 + 650 to K48 + 050 and from K50 + 550 to K56 + 100 register lower dynamic modulus values. The distribution of dynamic modulus values enables the clear identification of sections with reduced modulus, facilitating the determination of targeted remedial measures in reconstruction and expansion projects.

6. Conclusions and Prospect

Utilizing data from FWD tests, modulus back-calculation, core sample dynamic modulus assessments, and asphalt DSR tests, a dynamic modulus prediction model for in-service asphalt pavements can be established through model deduction and gene expression programming. The following conclusions were obtained:
(1)
The method proposed in this paper for acquiring the dynamic modulus design parameters of in-service asphalt pavement through FWD detection can significantly enhance the representativeness of the design parameters.
(2)
The dynamic modulus prediction model for in-service asphalt pavements provides dynamic modulus values under standardized conditions. In contrast to the dynamic modulus obtained from core samples, the increased accuracy of the input parameters significantly improves the estimation of the remaining life of the asphalt pavement and the design of overlays.
(3)
Following the acquisition of dynamic modulus data under standardized conditions via the prediction model, it becomes possible to detect changes in dynamic modulus values and identify problematic road sections, thereby offering substantial data support for decision making in reconstruction and expansion projects of in-service asphalt pavements.
The dynamic modulus prediction model for in-service asphalt pavements is predicated on the integrated asphalt structure layer. During the model’s construction, both the dynamic modulus test results of the core samples and the complex viscosity test results of the asphalt need to be composited, resulting in an increased deviation in the model’s predictive outcomes. In subsequent research, we aim to develop a dynamic modulus prediction model based on the discrete stratification of the asphalt layer, which is anticipated to not only enhance the model’s predictive accuracy but also broaden its applicability.

Author Contributions

Conceptualization, D.W.; methodology, C.L.; software, J.L.; validation, J.H., C.L., and J.L.; formal analysis, J.H.; investigation, J.H.; resources, D.W.; data curation, J.L.; writing—original draft preparation, C.L.; writing—review and editing, C.L.; visualization, D.W.; supervision, C.L.; project administration, D.W.; funding acquisition, D.W. All authors have read and agreed to the published version of the manuscript.

Funding

This research was funded by the Natural Science Fund of Guangdong Province, grant number 2019A1515011965, and the Natural Science Foundation of China, grant number 51808228.

Data Availability Statement

The data presented in this study are available upon request from the corresponding author.

Conflicts of Interest

The authors declare no conflicts of interest.

References

  1. Zhou, P.; Cui, L.; Zhang, X.; Ma, C.; Liu, J.; Shao, Y.; Lv, G.; Xie, Q. Study on Deformation Characteristics of Extended Highway in Operation Period. Adv. Civ. Eng. 2022, 2022, 5496999. [Google Scholar] [CrossRef]
  2. Zhang, X.; Chen, H.; Saba, R.G.; Hannasvik, L.T. Lateral and longitudinal variations in dynamic modulus of asphalt pavement: Surface layer and base layer. Constr. Build. Mater. 2023, 381, 131304. [Google Scholar] [CrossRef]
  3. Bech, N.D.; Vandenbossche, J.M. Relationship between Backcalculated and Estimated Asphalt Concrete Dynamic Modulus with Respect to Falling Weight Deflectometer Load and Temperature. Transp. Res. Rec. 2020, 2674, 887–897. [Google Scholar] [CrossRef]
  4. Ghuzlan, K.A.; Al-Mistarehi, B.W.; Al-Momani, A.S. Rutting performance of asphalt mixtures with gradations designed using Bailey and conventional Superpave methods. Constr. Build. Mater. 2020, 261, 119941. [Google Scholar] [CrossRef]
  5. Li, Q.; Chen, Z. Numerical analysis and conversion of dynamic and static deflection of asphalt pavement under FWD loading. Constr. Build. Mater. 2023, 367, 129513. [Google Scholar] [CrossRef]
  6. Owais, M.; Moussa, G.S. Global sensitivity analysis for studying hot-mix asphalt dynamic modulus parameters. Constr. Build. Mater. 2024, 413, 134775. [Google Scholar] [CrossRef]
  7. Acharjee, P.K.; Souliman, M.I.; Freyle, F.; Fuentes, L. Development of Dynamic Modulus Prediction Model Using Artificial Neural Networks for Colombian Mixtures. J. Transp. Eng. Part B-Pavements 2024, 150, 04023038. [Google Scholar] [CrossRef]
  8. Al-Khateeb, G.; Shenoy, A.; Gibson, N.; Harman, T. A new simplistic model for dynamic modulus predictions of asphalt paving mixtures. In Proceedings of the Asphalt Paving Technology: Association of Asphalt Paving Technologists-Proceedings of the Technical Sessions, Savannah, GA, USA, 27–29 March 2006; p. 75E. [Google Scholar]
  9. Sakhaeifar, M.S.; Underwood, B.S.; Kim, Y.R.; Puccinelli, J.; Jackson, N. Development of Artificial Neural Network Predictive Models for Populating Dynamic Moduli of Long-Term Pavement Performance Sections. Transp. Res. Rec. 2010, 2181, 88–97. [Google Scholar] [CrossRef]
  10. Wielinski, J.C.; Huber, G.A. Evaluation of French High Modulus Asphalt (EME) in Pavement Structural Design (MEPDG). In Proceedings of the 86th Annual Meeting of the Association-of-Asphalt-Paving-Technologists, Tampa, FL, USA, 30 August–2 September 2011. [Google Scholar]
  11. Liu, Y.; You, Z.; Goh, S.W.; Mills-Beale, J. Postprocessing Method for Dynamic Modulus Tests of Hot-Mix Asphalt. J. Mater. Civ. Eng. 2010, 22, 658–666. [Google Scholar] [CrossRef]
  12. Gedafa, D.S.; Hossain, M.; Romanoschi, S.; Gisi, A.J. Field Verification of Superpave Dynamic Modulus. J. Mater. Civ. Eng. 2010, 22, 485–494. [Google Scholar] [CrossRef]
  13. Laurent-Matamoros, P.; Camacho-Garita, E.; Avila-Esquivel, T.; Aguiar-Moya, J.; Loria-Salazar, L.G. Improvements to backcalculation procedure by means of structural analysis based on deflection parameters. In Proceedings of the 6th International Conference on Accelerated Pavement Testing, APT 2021, Nantes, France, 27–29 September 2021; Springer: Nantes, France, 2020. [Google Scholar]
  14. Li, M.; Wang, H. Development of ANN-GA program for backcalculation of pavement moduli under FWD testing with viscoelastic and nonlinear parameters. Int. J. Pavement Eng. 2019, 20, 490–498. [Google Scholar] [CrossRef]
  15. Bech, N.; Vandenbossche, J.M. Relationship between backcalculated dynamic modulus, estimated dynamic modulus, and fatigue damage in asphalt concrete. Int. J. Pavement Eng. 2022, 24, 2068549. [Google Scholar] [CrossRef]
  16. Irwin, L.H.; Richter, C.A. History and development of U.S. procedures for falling weight deflectometer calibration. Transp. Res. Rec. 2005, 1905, 66–72. [Google Scholar] [CrossRef]
  17. Seo, J.; Kim, Y.; Cho, J.; Jeong, S. Estimation of in situ dynamic modulus by using MEPDG dynamic modulus and FWD data at different temperatures. Int. J. Pavement Eng. 2013, 14, 343–353. [Google Scholar] [CrossRef]
  18. Georgouli, K.; Loizos, A.; Plati, C. Calibration of dynamic modulus predictive model. Constr. Build. Mater. 2016, 102, 65–75. [Google Scholar] [CrossRef]
  19. Sakhaeifar, M.S.; Kim, Y.R.; Kabir, P. New predictive models for the dynamic modulus of hot mix asphalt. Constr. Build. Mater. 2015, 76, 221–231. [Google Scholar] [CrossRef]
  20. Zhang, C.; Shen, S.; Huang, H.; Yu, S. In-Situ Dynamic Modulus Prediction for Asphalt Pavement Combining Machine Learning Algorithm and Sensing Technology. IEEE Trans. Intell. Transp. Syst. 2024, 25, 8695–8704. [Google Scholar] [CrossRef]
  21. Zheng, G.; Zhang, N.; Wang, P.; Lv, S. Study on the characterization method of dynamic modulus for asphalt mixture under multi-factor coupling conditions. Constr. Build. Mater. 2024, 421, 135758. [Google Scholar] [CrossRef]
  22. Solatifar, N.; Kavussi, A.; Abbasghorbani, M.; Sivilevičius, H. Application of fwd data in developing dynamic modulus master curves of in-service asphalt layers. J. Civ. Eng. Manag. 2017, 23, 661–671. [Google Scholar] [CrossRef]
  23. Solatifar, N.; Kavussi, A.; Abbasghorbani, M.; Katicha, S.W. Development of dynamic modulus master curves of in-service asphalt layers using MEPDG models. Road Mater. Pavement Des. 2019, 20, 225–243. [Google Scholar] [CrossRef]
  24. Solatifar, N.; Kavussi, A.; Abbasghorbani, M. Dynamic Modulus Predictive Models for In-Service Asphalt Layers in Hot Climate Areas. J. Mater. Civ. Eng. 2021, 33, 04020438. [Google Scholar] [CrossRef]
  25. Loulizi, A.; Flintsch, G.W.; McGhee, K. Determination of In-Place Hot-Mix Asphalt Layer Modulus for Rehabilitation Projects by a Mechanistic–Empirical Procedure. Transp. Res. Rec. 2007, 2037, 53–62. [Google Scholar] [CrossRef]
  26. Pożarycki, A.; Górnaś, P.; Słowik, M.; Bilski, M. Numerical method for reducing the effect of spectral leakage on the frequency normalisation results of signals obtained in an asphalt pavement test using a FWD device. In Road Materials and Pavement Design; Taylor Francis: Abingdon, UK, 2024. [Google Scholar]
  27. JTG/E20; Specification for Test of Asphalt and Asphalt Mixture in Highway Engineering. Ministry of Transport of the People’s Republic of China: Beijing, China, 2011.
  28. Deng, Y.; Shi, X. Development of predictive models of asphalt pavement distresses in Idaho through gene expression programming. Neural Comput. Appl. 2022, 34, 14913–14927. [Google Scholar] [CrossRef]
  29. Jweihan, Y.S.; Al-Kheetan, M.J.; Rabi, M. Empirical Model for the Retained Stability Index of Asphalt Mixtures Using Hybrid Machine Learning Approach. Appl. Syst. Innov. 2023, 6, 93. [Google Scholar] [CrossRef]
  30. Daneshvar, D.; Behnood, A. Estimation of the dynamic modulus of asphalt concretes using random forests algorithm. Int. J. Pavement Eng. 2022, 23, 250–260. [Google Scholar] [CrossRef]
  31. Thavathurairaja, J.; Hand, A.J.; Piratheepan, M.; Sebaaly, P.E.; Hajj, E.Y. Method to estimate design resilient modulus (Mr) of unbound materials for rehabilitation in ME design. Constr. Build. Mater. 2021, 267, 120887. [Google Scholar] [CrossRef]
  32. Xiong, C.L. Research on Evaluation Method of Structural Health Condition of Asphalt Pavement Based on Not Destructive Testing Technology; South China University of Technology: Guangzhou, China, 2017. [Google Scholar]
  33. Luo, C.X. Application Research of Road Nondestructive Testing Technology Based on 3D Ground Penetrating Radar; South China University of Technology: Guangzhou, China, 2018. [Google Scholar]
  34. Zhao, W.T. Nondestructive Evaluation of Pavement Structure Based on 3D Ground Penetrating Radar and Drop Hammer Bending Instrument; South China University of Technology: Guangzhou, China, 2020. [Google Scholar]
  35. Liu, J.S. Prediction of Asphalt Pavement Health Performance Based on Temperature Conditions in Southern Jiangxi; Chang’an University: Xi’an, China, 2015. [Google Scholar]
  36. JTG D50-2017; Code for Design of Highway Asphalt Pavement. People’s Communications Press Stock Limited Company: Beijing, China, 2017.
  37. Ullidtz, P. Modelling Flexible Pavement Response and Performance; Polyteknisk Forlag: Lyngby, Denmark, 1998. [Google Scholar]
  38. Bai, Q.; Qian, Z.; Li, H.; Zhang, Z. Temperature field model of asphalt pavement based on statistical regression method. Highw. Traffic Sci. Technol. 2011, 28, 27–31. [Google Scholar]
  39. Nabipour, N.; Karballaeezadeh, N.; Dineva, A.; Mosavi, A.; Mohammadzadeh, S.D.; Shamshirband, S. Comparative Analysis of Machine Learning Models for Prediction of Remaining Service Life of Flexible Pavement. Mathematics 2019, 7, 1198. [Google Scholar] [CrossRef]
  40. Alacali, S.; Arslan, G. A prediction model for plastic hinge length of rectangular RC columns using gene expression programming. Neural Comput. Appl. 2024, 36, 9481–9501. [Google Scholar] [CrossRef]
  41. Mijan, R.S.; Momeni, M.; Hadianfard, M.A. Impact of fine lightweight aggregates and coal waste on structural lightweight concrete: Experimental study and gene expression programming. In Structures; Elsevier: Amsterdam, The Netherlands, 2024; Volume 63. [Google Scholar]
Figure 1. Methodology.
Figure 1. Methodology.
Buildings 14 02550 g001
Figure 2. Schematic diagram of experimental method.
Figure 2. Schematic diagram of experimental method.
Buildings 14 02550 g002
Figure 3. Pavement structure (AC: Asphalt Concrete; ATB: Asphalt-Treated Base; CSM: Cement-Stabilized Macadam; GM: Grading Macadam).
Figure 3. Pavement structure (AC: Asphalt Concrete; ATB: Asphalt-Treated Base; CSM: Cement-Stabilized Macadam; GM: Grading Macadam).
Buildings 14 02550 g003
Figure 4. Viscosity test results of different asphalt: (a) 50# viscosity; (b) 70# viscosity; (c) SBS viscosity.
Figure 4. Viscosity test results of different asphalt: (a) 50# viscosity; (b) 70# viscosity; (c) SBS viscosity.
Buildings 14 02550 g004
Figure 5. Parameter fitting results.
Figure 5. Parameter fitting results.
Buildings 14 02550 g005
Figure 6. Results of GEP: (a) training results; (b) verification results.
Figure 6. Results of GEP: (a) training results; (b) verification results.
Buildings 14 02550 g006
Figure 7. Deviation of verification group.
Figure 7. Deviation of verification group.
Buildings 14 02550 g007
Figure 8. Comparison of fitting results of different plans.
Figure 8. Comparison of fitting results of different plans.
Buildings 14 02550 g008
Figure 9. Numerical distribution of dynamic modulus (The arrows indicates the trend of data change).
Figure 9. Numerical distribution of dynamic modulus (The arrows indicates the trend of data change).
Buildings 14 02550 g009
Table 1. FWD test parameters and results.
Table 1. FWD test parameters and results.
Item Value
FWD sensor position 0/20/30/60/90/120/150/180/210 cm
FWD load 50 kN
Diameter of FWD loading disk 300 mm
Number of data 206
Road surface temperature 31 °C–54 °C
Modulus back-calculation value 1122 MPa–9969 MPa
The average value of modulus back-calculation 3617 MPa
Table 2. Composite results of dynamic modulus of core samples of in-service asphalt pavement.
Table 2. Composite results of dynamic modulus of core samples of in-service asphalt pavement.
Min/MPa Max/MPa Average/MPa
94921,7027324
Table 3. Verification of back-calculation results of FWD modulus.
Table 3. Verification of back-calculation results of FWD modulus.
No.Modulus of Back-Calculation/MPaModulus of Core Test/MPaDeviation/%
1352732488.6
24891557312.3
3295628902.3
4357635870.3
5237922744.6
646735543−15.7
751716513−20.6
84832426113.4
926513245−18.3
103495287721.5
1127513259−15.6
1241255131−19.6
133816292430.5
142662230315.6
1538594782−19.3
Table 4. Fitting results of model parameters.
Table 4. Fitting results of model parameters.
Asphalt m 1 m 2 m 3 m 4 m 5 R2
50#8.570−6.239−1.817−1.4512.1660.81
70#13.218−11.238−1.281−0.9950.6310.83
SBS−0.3096.4953.0850.299−5.5040.98
Table 5. Calculation results of composite viscosity.
Table 5. Calculation results of composite viscosity.
Indicators Minimum Value Maximum Value Average
log ( η ) 2.6332.8542.726
Table 6. Input parameters.
Table 6. Input parameters.
Parameter Minimum Value Maximum Value Average
E i n ,   E F W D 112299693617
log ( η θ ) ,   log ( η ) 2.6332.8542.726
Table 7. Fitting results.
Table 7. Fitting results.
Root Mean Square Error (RMSE) The Sum of Squared Error (SSE) R-Squared (R2)
0.00753.70.76
Table 8. Parameter settings of GEP algorithm.
Table 8. Parameter settings of GEP algorithm.
Parameter Name Value
Number of genes 2
Population size 30
Gene head length 12
Selection function +, −, ×, /, exp(x), ln, x2, pow, log, x1/3
Connection function +
Table 9. Indicator of GEP.
Table 9. Indicator of GEP.
Indicators Training GroupValidation Group
Root Mean Square Error (RMSE) 0.0040.002
Mean Square Error (MSE) 0.0000160.000004
The sum of Squared Error (SSE) 144
R-squared (R2)0.880.84
Table 10. Comparison of dynamic modulus data.
Table 10. Comparison of dynamic modulus data.
IndicatorsModel TransformationCore Sample
Number of data(pcs)128015
Representative value(MPa)72128816
Data bias22%
Table 11. Partition of dynamic modulus data.
Table 11. Partition of dynamic modulus data.
No.Starting Pile No.End Pile No. Average Modulus (MPa)Remarks
1K44 + 100K45 + 6508672
2K45 + 650K48 + 0506286Smaller
3K48 + 050K50 + 5508291
4K50 + 550K56 + 1006450Smaller
Disclaimer/Publisher’s Note: The statements, opinions and data contained in all publications are solely those of the individual author(s) and contributor(s) and not of MDPI and/or the editor(s). MDPI and/or the editor(s) disclaim responsibility for any injury to people or property resulting from any ideas, methods, instructions or products referred to in the content.

Share and Cite

MDPI and ACS Style

Wang, D.; Luo, C.; Li, J.; He, J. Study on Dynamic Modulus Prediction Model of In-Service Asphalt Pavement. Buildings 2024, 14, 2550. https://doi.org/10.3390/buildings14082550

AMA Style

Wang D, Luo C, Li J, He J. Study on Dynamic Modulus Prediction Model of In-Service Asphalt Pavement. Buildings. 2024; 14(8):2550. https://doi.org/10.3390/buildings14082550

Chicago/Turabian Style

Wang, Duanyi, Chuanxi Luo, Jian Li, and Jun He. 2024. "Study on Dynamic Modulus Prediction Model of In-Service Asphalt Pavement" Buildings 14, no. 8: 2550. https://doi.org/10.3390/buildings14082550

APA Style

Wang, D., Luo, C., Li, J., & He, J. (2024). Study on Dynamic Modulus Prediction Model of In-Service Asphalt Pavement. Buildings, 14(8), 2550. https://doi.org/10.3390/buildings14082550

Note that from the first issue of 2016, this journal uses article numbers instead of page numbers. See further details here.

Article Metrics

Back to TopTop