Next Article in Journal
Artificial Neural Network Application in Construction and the Built Environment: A Bibliometric Analysis
Next Article in Special Issue
On-Site Measuring Robot Technology for Post-Construction Quality Assessment of Building Projects
Previous Article in Journal
Estimation of the Reduction Coefficient When Calculating the Seismic Resistance of a Reinforced Concrete Frame Building after a Fire
Previous Article in Special Issue
Study on Vibration Reduction Effect of the Building Structure Equipped with Intermediate Column–Lever Viscous Damper
 
 
Font Type:
Arial Georgia Verdana
Font Size:
Aa Aa Aa
Line Spacing:
Column Width:
Background:
Article

Assessment of the Compound Damping of a System with Parallelly Coupled Anti-Seismic Devices

by
Polidor Bratu
1,
Claudiu-Sorin Dragomir
2,3 and
Daniela Dobre
2,4,*
1
Solid Mechanics Institute of the Romanian Academy, 030167 Bucharest, Romania
2
National Institute for Research and Development in Construction, Urban Planning and Sustainable Spatial Development “URBAN-INCERC”, 021652 Bucharest, Romania
3
Environment and Land Reclamation Department, Faculty of Land Reclamation and Environment Engineering, 012244 Bucharest, Romania
4
The Structural Mechanics Department, Technical University of Civil Engineering, 020396 Bucharest, Romania
*
Author to whom correspondence should be addressed.
Buildings 2024, 14(8), 2422; https://doi.org/10.3390/buildings14082422
Submission received: 31 May 2024 / Revised: 16 July 2024 / Accepted: 31 July 2024 / Published: 6 August 2024
(This article belongs to the Special Issue Advances and Applications in Structural Vibration Control)

Abstract

(1) Background: Romanian earthquakes caused severe damage over time to a significant number of constructions, and that is why efforts are being made to make structural systems safer. (2) Methods: For structural systems with protection against seismic actions or vibrational actions that have linear viscous dissipation devices, the requirement to assess the equivalent modal damping rate for the entire functional assembly related to the other dynamic parameters arises. (3) Results: This article presents the analytical development of formulas for the compound damping and circular frequency when anti-seismic devices have different dynamic characteristics and their application in order to solve some real engineering cases of bridges and viaducts in Romania with distinct viscoelastic supports. In support of this idea, some experimental tests on a beam system resting on two different anti-seismic elastic supports highlighted the fact that the compound damping of the system can be calculated with the relations established in this paper, provided that the displacements in the horizontal direction of excitation are in the linear domain. Also, we determined the seismic response considering the Vrancea 1977 accelerogram for critical damping ratios of 5% and 18.5%, and then we obtained the variation in the factor of transmissibility depending on the frequency, in order to highlight the optimized value of the equivalent amortization/damping. (4) Conclusions: In the specific context of Romanian seismicity, seismic isolation through the use of isolators with different characteristics represents an optimal technical solution, and it is also optimal from an economic point of view, with an appropriate level of dynamic isolation obtained.

1. Introduction

Resilience is an important concept in seismic risk management and in any disaster reduction strategy. Because a society becomes even more vulnerable in a built environment more vulnerable to natural hazards, the general main objective to increase resilience involves the reduction in physical vulnerability and maintaining functionality in the case of several infrastructures. The Vrancea intermediate source is important in Romania, taking into account the energy, the extent of the macro-seismic effects, and that it can exert a direct and indirect impact at a national disaster level on a scale of more than 50% of the territory [1,2]. Romanian earthquakes have caused severe damage over time to a significant number of constructions, and in order to avoid the negative structural effects of future earthquakes, in important seismic areas, seismic isolation is implemented on a large scale, following the example of countries with high seismicity as well [3,4,5,6,7]. Passive control systems are applied to different structures, and the efficiency of these systems was demonstrated during exceptional natural events such as earthquakes [8,9]. In terms of the damping capacity, there are different methods for estimating the equivalent modal damping ratios of a bridge under strong ground motion [10,11,12,13]. As another alternative to the traditional design criteria, a system with parallelly coupled anti-seismic devices is considered in order to reduce the seismic actions that affect a structural system of construction.
Specifically, in the case of the rigid structural systems elastically supported with the help of anti-seismic devices with significant horizontal displacements in the elastic domain, the requirement of evaluating the degree of the global damping for the entire construction assembly rises. This analysis of the situation belongs to the field of system compound damping assessment, taking into account the possible and significant modal motions [14,15,16]. Research was carried out to solve some cases of building structures of bridges and viaducts with distinct viscoelastic supports either in the form of support devices according to EN 1337/2018 [17] or in the form of anti-seismic devices according to EN 15129/2010 [18]. In the ICECON-TEST laboratory in Bucharest (Romania), dynamic tests were carried out with excitation on the possible natural modes for a rigid beam system supported at the ends by two elastomeric devices with different individual values of rigidity and damping [19]. The concept and method of assessing the modal compound amortization for a system with several different viscoelastic devices in terms of rigidity and damping were defined both on this basis as well as by verifying the established calculated relations [14,15,16,19]. Based on a case study, for a 1200 m long viaduct, leaning on distinct elastomeric devices with ki, ζi, i = 1…4, characteristics of every support system using a pillar of viaduct, the value of the compound damping is determined using the established calculated relations [14,15,16,19].

2. Analytical Assessment of Compound Modal Amortization/Damping

In the case of an anti-seismic system composed of dissipation devices in the linear–elastic regime, the effective (equivalent) viscous damping ζ e f of the system can be deduced based on the maximum energy [20,21,22,23,24,25,26,27,28,29,30,31]. When the system consists of n number of devices, for each device i, the fraction of the viscous damping ζ i ( r ) for the vibration mode r and the modal dissipation energy W d , i ( r ) = E d , i ( r ) can be determined; the following relations can be formulated [14,20,21,22]:
W d , i ( r ) = E d , i ( r ) = π c i ( r ) ω A i r 2
V i ( r ) = E e l , i m a x = 1 2 k i ( r ) A i r 2
where corresponding to device i for the r mode of vibration, W d , i ( r ) = E d , i ( r ) is the dissipated energy; V i ( r ) = E e l , i m a x is the maximum elastic energy; c i ( r ) = 2 ζ i ( r ) m i ( r ) ω r   is the equivalent viscous amortization coefficients; ω r is the natural circular frequency pulsation of the structural system modeled as a system with 1 DoF (dynamic degree of freedom); m is the mass of the superstructure with rigid motion;   k i is the lateral (secant) rigidity/stiffness of a device; and A i is the amplitude of the lateral displacement of device i knowing that the lateral displacement is sinusoidal as in d(t) = Asin(ωt). The equivalent viscous amortization is assessed in a resonance regime for the r mode of vibration, that is, when ω = ωr [14,22,23].
In this case, the energies formulated by Relations (1) and (2) can be explained as follows:
(a)
The energy dissipated on mode r, for a complete cycle, corresponding to device i, is
W d , i ( r ) = 2 π ζ i ( r ) m i ( r ) ω r ω A i r 2
or
W d , i ( r ) = 2 π ζ i ( r ) ω 2 m i ( r ) A i r 2
(b)
The maximum elastic energy (of deformation) on r mode, for device i, can be written down as
V i ( r ) = 1 2 ω 2 m i ( r ) A i r 2
Eliminating ω 2 m i A i r 2 from the two Relations (3) and (4), we obtain
W d , i ( r ) = 4 π ζ i ( r ) V i ( r )
For the entire system of devices in, we have
W s y s t e m = 4 π i = 1 n ζ i ( r ) V i ( r ) = 4 π ζ e q V s y s t e m ( r )
Resulting in
ζ e q ( r ) = ζ e f ( r ) = Σ i ζ i ( r ) V i ( r ) Σ i V i ( r )
Isolation system with parallelly connected anti-seismic devices
We consider an isolation system consisting of i, i = 1…n, devices connected in parallel, with a rigid structural system of mass m that gravitationally presses on a pile system that supports the viaduct structure. In this case, each anti-seismic device is actuated in compression vertically, with the same loading force, and horizontally, all devices have the same instantaneous displacement x(t) = Asin(ωt) at a sinusoidal excitation on the first order vibration mode (Figure 1).
ω r = ω n = k e q , p a r a l l e l m e q   or   ω r = Σ k i m i
For each device i, we highlight the elastic forces k i x i and the viscous amortization/damping forces c i x ˙ i , reduced to the level of mass m i , for the horizontal translation movement/displacement x i = x i ( t ) , as
F e l i = k i x i F v i = c i x ˙ i
As a result of the laws provided by Relation (7), the correlations that are established measure ζ i and V i because xi = x is the instantaneous translational lateral displacement common to all devices i = 1…n. In this case, the vibration mode is r = 1, which means that it corresponds to the fundamental mode with ωn = ω, and x(t) = A1sin(ωnt + ϴ1) with the maximum value xmax = A1, and V i m a x = 1 2 k i A 1 2 . The fraction of the effective viscous amortization ζ e f ζ e q of the system according to Relation (6) can be written down for the system assembly in Figure 1 as follows:
ζ e f , p a r a l l e l ( 1 ) = 1 2 A 1 2 ( ζ 1 k 1 + ζ 2 k 2 + ζ 3 k 3 ) 1 2 A 1 2 ( k 1 + k 2 + k 3 )
where we insert k e q , p a r a l l e l = k 1 + k 2 + k 3 and obtain
ζ e f , p a r a l l e l ( 1 ) = ζ 1 k 1 + ζ 2 k 2 + ζ 3 k 3 k p a r a l e l e q
Relation (8) can also be written down according to the ratios of stiffness (standard rigidities) as follows:
ζ e f , p a r a l l e l ( 1 ) = ζ 1 + ζ 2 k 2 k 1 + ζ 3 k 3 k 1 1 + k 2 k 1 + k 3 k 1
In fact, a weighted average of the sum of viscous amortization/damping ratios that corresponds to device i for mode r = 1 with weights related to the normalized values of the stiffnesses can be calculated. In another form, ζ e q can be written as the ratio between the sum of viscous damping coefficients with weights related to the normalized values of the circular frequencies ω i and the sum of masses with weights related to the normalized values of the circular frequencies to the power of 2:
ζ e q ( 1 ) = c 1 + c 2 ω 2 ω 1 + c 3 ω 3 ω 1 m 1 + m 2 ω 2 ω 1 2 + m 3 ω 3 ω 1 2 · 1 2 ω 1
By generalizing Relations (8) and (10), it can be written down as ζ e f ,   p a r a l l e l ( 1 ) ζ e q ,   p a r a l l e l ( 1 ) for
ζ e f , p a r a l l e l ( 1 ) = i = 1 n = 3 ζ i k i i = 1 n = 3 k i = i = 1 n = 3 c i ω i i = 1 n = 3 m i ω i 2 · 1 2
Relation (11) can be applied if it is easier to experimentally determine the circular frequencies of the isolators compared to their stiffnesses in a non-linear analysis, or in the case of non-linear behavior.

3. Results

3.1. Case Study

For a 1200 m long viaduct with a mass of m = 9600 t and 30 spans, the number of beams was 120 pieces resting on 480 pieces of elastomeric devices [19,24]. The sections were identical constructively and functionally, each with an opening a = 40 m and width b = 14 m on 16 elastomeric devices (Figure 2).
The elastomeric devices in the analyzed direction deform in shear and assure a natural frequency, for mode 1 of translation in the Ox and Oy directions, with fn = 0.52 Hz. The elastic and amortization characteristics of the four types of elastomeric devices are provided in Table 1.
The elastomeric devices with the function of seismic isolators were made in four distinct variants of the elastomer mixture, respectively, with the elastic and damping characteristics shown in Table 1 and with the shear modules, Gi, i = 1…4, obtained from experimental data (which varied with the elastomer content). The constructive cylindrical shape with intermediate metal reinforcements (type sandwich) had the following dimensions: diameter D = 500 mm, total constructive height H=624 mm, and total thickness of the elastomeric layers Tq = 250 mm.
During the tests on the dynamic stand, it was found that the hysteretic loop was a regular ellipse, and the force–deformation characteristic (±500 mm) was linear. On the other hand, the total deformation in the linear–elastic domain, in the horizontal direction, was obtained using the design relation provided by SR EN 15129 [17], in the form x = γ T q , where γ 2 is the angular deformation of the isolator during lateral displacement. In the case described in this article, x m a x = γ m a x T q = 2 × 250= 500 mm, so it is accepted that a force equivalent to the weight of the superstructure can be applied in the horizontal direction, i.e., F x = m g , and then the static deformation can be determined using δ s t a t i c = F x K . Taking into account that F x = 96 × 106 N and K = K i = 192 × 106 N/m, δ s t a t i c = 0.50 m is obtained. The linear–elastic function is ensured both by the parameters in dynamic mode with the elliptic hysteretic loop and by the engineering design system.
The variety of the four types of isolators was necessary due to the static equilibrium conditions of the bridge girder, as well as of the entire assembly. Thus, to ensure horizontality, the static equilibrium equations were applied to an elastically supported rigid body in the linear domain. This calculation method and related issues are not part of the objectives of this article. In this case, the basic assumptions of linear–elastic deformation, horizontality through the static equilibrium of the assembly and significant and dominant lateral displacements in relation to the vertical ones in case of an earthquake were specified.
The displacement amplitude of the system with one dynamic degree of freedom, for the model analyzed in the linear–elastic domain, corresponds to an excitation with an acceleration a = 2.5 m/s2 and frequency f = 0.52 Hz, having the maximum value of the elastic horizontal displacement d = 0.25 m < δ s t a t i c , which proves that in the dynamic regime, the hypothesis of elastic linearity is highlighted.
The assembly viaduct pile system consisting of elastomeric seismic isolation devices is presented in Figure 3. Considering the total stiffness K and the total damping C, the dynamic equation of motion for 1 DoF can be written, where the dynamic load x ¨ g t values represent Vrancea earthquake accelerations:
m x ¨ t + C x ˙ t + K x t = m x ¨ g ( t )
1 K = 1 K s t r + 1 K e q
1 C = 1 C s t r + 1 C e q

3.2. Specific Results

By applying Relations (9) and (10) to the scheme in Figure 2 and the data in Table 1, we have
ζ e f x , y = 2 ζ 1 + ζ 2 k 2 k 1 + ζ 3 k 3 k 1 + ζ 4 k 4 k 1 2 1 + k 2 k 1 + k 3 k 1 + k 4 k 1
and/or
ζ e f x , y = c 1 + c 2 ω 2 ω 1 + c 3 ω 3 ω 1 + c 4 ω 4 ω 1 m 1 + m 2 ω 2 ω 1 2 + m 3 ω 3 ω 1 2 + m 4 ω 4 ω 1 2 · 1 2 ω 1
where using the previously established values as inputs, we obtain
ζ e f x , y = 2 0.1 + 0.12 · 1.5 + 0.18 · 2.5 + 0.25 · 3 2 1 + 1.5 + 2.5 + 3 = 0.185
ζ e f x , y = 0.3 · 10 4 + 1 · 10 4 · 3.6 6.67 + 3 · 10 4 · 2.99 6.67 + 5 · 10 4 · 3 6.67 2250 + 11574.07 · 3.6 6.67 2 + 27777.78 · 2.99 6.67 2 + 33333.33 · 3 6.67 2 · 1 2 · 6.67 = 0.185
In order to find the near-optimal design ensemble for a specific situation, other values for ζ e q can be obtained from permutations in the k i k 1     ζ i relationship, as shown in Table 2.
For the viaduct structure with a previously given support scheme and configuration, a compound amortization of 18.5% is obtained.
B. For the frequency fn = 0.52 Hz, ζ e q = 18.5 % compared to ζ = 5 % , and the 1977 Vrancea earthquake accelerations (accelerogram INCERC north–south, with time step Δt = 0.02 s, the peak ground acceleration being approx. 195 cm/s2 occurring at t = 6.14 s), the instantaneous and maximum seismic responses of the system with one dynamic degree of freedom in the time domain, obtained by numerical integration of the equation of motion (12), are presented in Figure 4a–c. The applied approach is the linear acceleration method and the structural response is described in terms of absolute accelerations and relative displacements. As expected, the response is reduced more in cases of higher damping (with the elastomeric devices).
Analyzing the maximum of the graph obtained in displacements, shown in Figure 4c, while considering two values for damping, it can be seen that it is lower than the maximum value related to the elastic horizontal displacement for the model analyzed in the linear–elastic domain.
C. On the other hand, considering the existing correlations between the defining quantities (mass, stiffness, and damping) and the method of determining the equivalent amortization, values between 3.18 rad/s and 3.67 rad/s are determined for the equivalent circular frequency ω e q , as presented in Table 3.
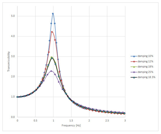
D. Finally, for the system formed by these four types of seismic isolators, the variation in the transmissibility factor T i depending on the frequency is also of interest. Table 4 shows the values of the transmissibility factor for different frequencies of the vibration (fvibr) and according to the individual characteristics of the isolators (ωi, ζ i ) compared to the situation in which the frequency related to k i m i and the equivalent amortization is considered (ωsystem, ζ e q ).
T i = 1 + 2 ζ i ω v i b r ω i 2 1 ω v i b r ω i 2 2 + 2 ζ i ω v i b r ω i 2
In Figure 5, the variation in the transmissibility factor related to the frequency fvibr and to the equivalent parameters ωsystem and ζeq is between the variation in values for high vibration frequencies and those for low frequencies.

4. Conclusions

For structural systems with protection against seismic actions or vibrational actions that have linear viscous dissipation devices, the requirement to assess the equivalent modal amortization ratio arises. This article presents a novel method of assessment, computation and interpretation of the equivalent or effective modal amortization ζ e f ( r ) ζ e q ( r ) , called the compound damping of the structural assembly for the r mode of vibration. The calculated relations were verified on small-scale models in the laboratory at ICECON Bucharest and at the Solid Mechanics Institute of the Romanian Academy. Also, for a 1200 m viaduct constructed in Romania, dynamic analyses of behavior during seismic actions were performed, as well as the assessment of the modal compound damping for the fundamental mode at the natural frequency of 0.52 Hz [14,19,29]. The variety in the isolators was necessary due to the static equilibrium conditions of the bridge girder as well as the entire assembly in order to ensure horizontality, with the static equilibrium equations being applied to an elastically supported rigid body in the linear domain.
The maximum value of the elastic horizontal displacement smaller than the static deformation ( δ s t a t i c ) proves the hypothesis of elastic linearity in the dynamic regime. Consequently, the objective of this article to approach compound damping under the specified assumptions is fully achieved.
As a result of the symmetry studies of the laboratory tests and case study evaluations, the following conclusions can be formulated:
(a)
For a structural system containing several anti-seismic or anti-vibratile devices distinct from one another, with elastic characteristics k i and damping ratios ζ i , where i is the order index, i = 1…n, based on Relation (6), the (effective) equivalent amortization/damping rate ζ e f ( r ) ζ e q ( r ) can be determined for each r vibration mode;
(b)
If the structural system has a dominant displacement in the instantaneous alternative translation in a certain direction and elastic devices and/or the devices are different, with parameters ki, ζ i , as a result of the parallel connection, then the calculation for ζ e q ( 1 ) ζ e f ( 1 ) at a fundamental mode with ω n = 2 π ζ n can be performed using Relations (9) or (10);
(c)
This case study shows that natural modal amortizations ζ i ( 1 ) , i = 1…4, are significantly influenced by the stiffness ratios as k j k 1 with j = 2…4;
(d)
ζ e q can be obtained from permutations in the k i k 1 ζ i relationship for a specific situation;
(e)
For large constructions, the use of only one type of seismic isolation device is not the optimal economical solution, and using more than one type could be more acceptable with a certain combination of technical characteristics;
(f)
Some estimative values for the equivalent circular frequency ω e q are determined considering the existing correlations between the defining quantities (mass, stiffness, and damping), and are of interest, especially in the case of eccentricities between the center of mass and center of rigidity;
(g)
We determined the seismic response considering the Vrancea 1977 accelerogram for the critical damping ratios of 5% and 18.5%, and the results highlight a different dynamic behavior of the system with its natural vibration frequency of 0.52 Hz, in terms of absolute accelerations and relative displacements;
(h)
The maximum value of the elastic horizontal displacement d = 0.25 m is smaller than δ s t a t i c = 0.50   m , but larger than the maximum displacement equal to 0.20 m, considering a 0.185 value for damping;
(i)
The performance of an isolation system was determined by the transmissibility factor of the system so that the variation in the T i factor was found to be in correlation with the determined equivalent amortization.
In the situation where all anti-seismic devices are identical elastically and viscously, the amortization of a single device is obtained, that is, ζ e q ( 1 ) = ζ e f ( 1 ) = ζ 1 ( 1 ) for a fundamental vibration mode. Given the above, for complex structural systems that include distinct anti-seismic/anti-vibration devices in their dynamic scheme, the compound amortization rate can be assessed on the significant vibration modes. There are procedures in the specialized literature for defining the optimal values of the mechanical and geometrical parameters from device stiffness, maximum displacement, and vertical load, but this paper evaluates the degree of global amortization for the entire construction assembly (structural system and seismic devices), with a case study regarding an important construction. At the national level, the adoption of such effective measures using seismic isolation devices to record lower effects in the event of a future severe earthquake in Vrancea is a sustainable strategy.
As a future approach, the case of the non-linear regime should also be studied because the proposed approach is focused on the calculation of a global damping ratio in the linear–elastic regime. Also, the case of a system with several degrees of dynamic freedom subjected to a dynamic motion caused by an earthquake is certainly of interest. Monitoring the dynamic behavior using seismic instrumentation is another aspect to be addressed in the future (within a program like the one currently funded by the Romanian Ministry of Research, Innovation and Digitalization [32]).

Author Contributions

Conceptualization, P.B.; writing—original draft preparation, P.B.; writing—review and editing, P.B., D.D. and C.-S.D.; resources, P.B. and C.-S.D. All authors have read and agreed to the published version of the manuscript.

Funding

This research received external funding support from the project “Integrative concept for the digital analysis of data from the large-scale seismic monitoring of the national territory and built environment, aimed for rapid identification of the destructive potential of seismic events occurring in Romania and in the adjacent regions” (Nucleus Programme PN 23 35 01 01), financed by the Romanian Ministry of Research, Innovation and Digitalization.

Data Availability Statement

The original contributions presented in the study are included in the article, further inquiries can be directed to the corresponding author.

Conflicts of Interest

The authors declare no conflicts of interest.

References

  1. Pavel, F.; Vacareanu, R.; Radulian, M.; Cioflan, C. Investigation on directional effects of Vrancea subcrustal earthquakes. Earthq. Eng. Eng. Vib. 2015, 14, 399–410. [Google Scholar] [CrossRef]
  2. Pavel, F. An updated perspective of the impact of the 1940 Vrancea earthquake on design and construction practices in Romania. Buildings 2024, 14, 1152. [Google Scholar] [CrossRef]
  3. Fujino, Y.; Siringoringo, D.; Kikuchi, M.; Kasai, K.; Kashima, T. Seismic Monitoring of Seismically Isolated Bridges and Buildings in Japan—Case Studies and Lessons Learned. In Genetic Enhancement of Crops for Tolerance to a Biotic Stress: Mechanisms and Approaches; Springer Tracts in Civil Engineering; Springer: Cham, Switzerland, 2019; Volume 1, pp. 407–447. [Google Scholar] [CrossRef]
  4. Montes, K.; Dang, J. Seismic isolated bridge performance evaluation and design proposal using artificial neural network. Earthq. Eng. Resil. 2023, 2, 364–378. [Google Scholar] [CrossRef]
  5. Makris, N.; Chang, S.P. Effect of Damping Mechanisms on the Response of Seismically Isolated Structures; Pacific Earthquake Engineering Research Center: Berkeley, CA, USA, 1998. [Google Scholar]
  6. Makris, N.; Zhang, J. Structural Characterization and Seismic Response Analysis of a Highway Overcrossing Equipped with Elastomeric Bearings and Fluid Dampers: A Case Study; Pacific Earthquake Engineering Research Center: Berkeley, CA, USA, 2002. [Google Scholar]
  7. Simionescu, C.S.; Leopa, A. The seismic response evaluation of a bridge deck, isolated by rubber bearings. Acta Tech. Napoc. Ser. Appl. Math. Mech. Eng. 2020, 63, 51–60. [Google Scholar]
  8. Pastia, C.; Luca, S.G. Seismic Protection of a Realistic Bridge Structure Using Passive Friction Devices. Bull. Polytech. Inst. Jassy Constr. Archit. Sect. 2012, 58, 77–84. [Google Scholar]
  9. Paulet-Crainiceanu, F.; Florea, V.; Luca, S.G.; Pastia, C.; Rosca, O.V. Analysis of practical application aspects for an active control strategy to civil engineering structures. In Perspectives in Dynamical Systems II—Numerical and Analytical Approaches; Awrejcewicz, J., Ed.; Springer Proceedings in Mathematics & Statistics; Springer: Cham, Switzerland, 2024; Volume 454. [Google Scholar] [CrossRef]
  10. Zhou, X.Y.; Han, M.; Yang, L. Study on protection measures for seismic isolation rubber bearings. ISET J. Earthq. Technol. 2003, 40, 137–160. [Google Scholar]
  11. Tonciu, O.; Bratu, P. Evaluation of the energetic parameters of viscous dissipation for dynamic systems excited in harmonic regime. Acta Tech. Napoc.-Ser. Appl. Math. Mech. Eng. 2023, 66, 367–374. [Google Scholar]
  12. Lee, S.; Feng, M.Q.; Kwon, S.J.; Hong, S.H. Equivalent Modal Damping of Short-Span Bridges Subjected to Strong Motion. J. Bridge Eng. 2011, 16, 316–323. [Google Scholar] [CrossRef]
  13. Bratu, P. Dynamic Rigidity of The Linear Voigt—Kelvin Viscoelastic Systems. Rom. J. Acoust. Vib. 2019, 16, 184–188. [Google Scholar]
  14. Bratu, P. Modal Amortization Rate Equivalent to a Structural System with Elastomer Insulators. Rom. J. Acoust. Vib. 2020, 17, 27–31. [Google Scholar]
  15. Potirniche, A. Assessments regarding effective configurations of vibration isolators based on displacements analysis. Rom. J. Acoust. Vib. 2015, 12, 126–131. [Google Scholar]
  16. Sireteanu, T. Smart suspension systems. Rom. J. Acoust. Vib. 2016, 13, 2. [Google Scholar]
  17. SR EN 15129; Anti-Seismic Devices. National Organization for Standardization—ASRO: Bucharest, Romania, 2018.
  18. SR EN 1337; Support Devices for Structures. Part 3: Elastomer Bearing Devices. National Organization for Standardization—ASRO: Bucharest, Romania, 2005.
  19. Technical Solutions for Isolating the Viaducts for the “Transilvania” Highway in Romania; Evaluation and Test Report; ICECON: Bucharest, Romania, 2021.
  20. Chopra, A.K. Dynamics of Structures: Theory and Applications to Earthquake Engineering; Prentice Hall: Upper Saddle River, NJ, USA, 2012. [Google Scholar]
  21. Tsai, H.C.; Kelly, J.M. Seismic response of heavily damped base isolation systems. Earthq. Eng. Struct. Dyn. 1993, 22, 633–645. [Google Scholar] [CrossRef]
  22. Kelly, J.M.; Tsai, H.C. Seismic response of light internal equipment in base-isolated structures. Earthq. Eng. Struct. Dyn. 1985, 13, 711–712. [Google Scholar] [CrossRef]
  23. Anajafi, H.; Medina, R.A.; Santini-Bell, E. Effects of the improper modeling of viscous amortization on the first-mode and higher-mode dominated responses of base-isolated buildings. Earthq. Eng. Struct. Dyn. 2020, 49, 51–73. [Google Scholar] [CrossRef]
  24. Scutaru, M.L.; Vlase, S.; Marin, M.; Modrea, A. New analytical method based on dynamic response of planar mechanical elastic systems. Bound. Value Probl. 2020, 2020, 104. [Google Scholar] [CrossRef]
  25. Hu, X.; Chen, Q.; Weng, D.; Zhang, R.; Ren, X. Estimation of Additional Equivalent Amortization Ratio of the Damped Structure Based on Energy Dissipation. Adv. Civ. Eng. 2019, 2019, 8052413. [Google Scholar] [CrossRef]
  26. Suarez, L.E.; Gaviria, C.A. Equivalent frequencies and amortization ratios of buildings with viscous fluid dampers: A closed form formulation. In Proceedings of the 10 NCEE-Frontiers of Earthquake Engineering, Anchorage, AK, USA, 21–25 July 2014. [Google Scholar]
  27. Bratu, P. Compound Amortization for Coupled Dynamic Systems. Acta Tech. Napoc. Ser. Appl. Math. Mech. Eng. 2020, 63, 239–242. [Google Scholar]
  28. Bratu, P.; Mitu, A.M.; Vasile, O. Dissipation Capacity Evaluation for Neoprene Anti-Seismic Isolators Under Harmonic Dynamic Excitations. Rom. J. Acoust. Vib. 2011, 8, 67–71. [Google Scholar]
  29. Murzea, P. Alternative Kinematic Assumptions for the Motions of Structures with Multiple Dynamic Degrees of Freedom Subjected to Seismic Actions. Rom. J. Acoust. Vib. 2014, 11, 53–58. [Google Scholar]
  30. Radeș, M. Resonance Methods for the Dynamic Analysis of deformable structures. St. Cerc. Mec. Apl. 1993, 32, 607–633. [Google Scholar]
  31. Meirovitch, L. Principles and Techniques of Vibrations, 1st ed.; Prentice Hall International Editions Series; Pearson: Piscataway, NJ, USA, 1996. [Google Scholar]
  32. Integrative Concept of Digital Analysis of Data from Large-Scale Seismic Monitoring of the National Territory and the Built Environment, Intended for the Rapid Identification of the Destructive Potential Of Seismic Events Produced in Romania and in the Adjacent Regions Nucleus Programme PN23350101. Available online: https://incd.ro/proiecte-nationale/ (accessed on 30 July 2024).
Figure 1. Dynamic model.
Figure 1. Dynamic model.
Buildings 14 02422 g001
Figure 2. Support scheme for a viaduct section. OXYZ—system of rectangular axes, a—length of section, b—width of section; c—center of gravity of the assembly; 1…4—different elastomeric devices, placed in line and on two A and B rows.
Figure 2. Support scheme for a viaduct section. OXYZ—system of rectangular axes, a—length of section, b—width of section; c—center of gravity of the assembly; 1…4—different elastomeric devices, placed in line and on two A and B rows.
Buildings 14 02422 g002
Figure 3. Model for the pile system (that supports the viaduct structure) and the isolation system with isolation devices (connected in parallel).
Figure 3. Model for the pile system (that supports the viaduct structure) and the isolation system with isolation devices (connected in parallel).
Buildings 14 02422 g003
Figure 4. (a). Accelerogram 1977 Vrancea, INCERC north–south, with time step Δt = 0.02 s, the peak ground acceleration being approx. 195 cm/s2, occurring at t = 6.14 s. (b). Dynamic analysis. Seismic response in the time domain in terms of absolute accelerations. (c). Dynamic analysis. Seismic response in the time domain in terms of relative displacements.
Figure 4. (a). Accelerogram 1977 Vrancea, INCERC north–south, with time step Δt = 0.02 s, the peak ground acceleration being approx. 195 cm/s2, occurring at t = 6.14 s. (b). Dynamic analysis. Seismic response in the time domain in terms of absolute accelerations. (c). Dynamic analysis. Seismic response in the time domain in terms of relative displacements.
Buildings 14 02422 g004
Figure 5. Transmissibility–vibration ratio relationship.
Figure 5. Transmissibility–vibration ratio relationship.
Buildings 14 02422 g005
Table 1. Elastic and damping characteristics for fn= 0.52 Hz.
Table 1. Elastic and damping characteristics for fn= 0.52 Hz.
i-Type Elastomeric Device Elastic   G i [MPa] Elastic   k i [105 N/m] Modal   Viscous   Amortization   c i [104 Ns/m] Modal   Amortization   Ratio   ζ i [%]
10.1510.310
20.251.5112
30.402.5318
40.553525
Table 2. Permutations in k i k 1 ζ i relationship, i = 1…4.
Table 2. Permutations in k i k 1 ζ i relationship, i = 1…4.
k 1 k 1 k 2 k 1 k 3 k 1 k 4 k 1 ζ 1 ζ 2 ζ 3 ζ 4 ζ e q
12.531.50.250.120.10.180.14
132.51.50.250.120.10.180.141
132.51.50.180.120.10.250.145
11.52.530.250.120.180.10.147
12.531.50.250.180.120.10.151
11.532.50.250.120.180.10.152
12.531.50.250.120.180.10.155
11.52.530.120.250.180.10.155
12.51.530.10.180.250.120.160
11.532.50.180.10.120.250.164
12.531.50.10.250.120.180.169
131.52.50.180.250.120.10.17
12.531.50.120.10.250.180.173
12.531.50.10.120.250.180.177
12.531.50.120.250.180.10.179
132.51.50.10.180.250.120.180
12.531.50.120.180.250.10.183
11.532.50.10.120.250.180.185
Table 3. Estimative values for the equivalent circular frequency ω e q .
Table 3. Estimative values for the equivalent circular frequency ω e q .
ωeq Related   to   k i m i Related   to   ζ i Related   to   k i k 1 Related   to   c i c 1
Σ k i m i Σ ζ i ω i ζ i Σ k i k 1 ω i k i k 1 Σ c i c 1 ω i c i c 1
[rad/s]3.273.673.573.18
estimated value/
exact value
11.121.090.97
Table 4. Transmissibility factor related to the circular frequency, fvibr, and to the equivalent parameters, ωsystem, ζeq.
Table 4. Transmissibility factor related to the circular frequency, fvibr, and to the equivalent parameters, ωsystem, ζeq.
fvibr [Hz]1, ζ12, ζ23, ζ34, ζ4system, ζeq
011111
0.051.0021.0071.0111.0111.009
0.11.0081.0311.0461.0451.038
0.151.0201.0731.1091.1061.089
0.21.0361.1371.2091.2001.168
0.251.0581.2311.3631.3391.286
0.31.0861.3681.5981.5371.458
0.351.1211.5691.9621.8041.712
0.41.1641.8802.4942.1082.086
0.451.2162.3832.9692.2822.576
0.51.2813.2192.7042.1202.917
0.551.3604.2162.0011.7422.631
0.61.4583.8291.4581.3822.017
0.671.6392.2461.0031.0211.364
0.71.7371.8170.8760.9091.175
0.751.9401.3440.7160.7630.943
0.82.2091.0470.6020.6540.778
0.852.5770.8470.5160.5700.658
0.93.0880.7050.4500.5040.567
0.953.7940.5990.3980.4510.497
14.6360.5190.3550.4080.440
1.055.1220.4550.3210.3720.394
1.14.6420.4040.2920.3420.357
1.153.6850.3610.2670.3160.325
1.22.8620.3260.2460.2930.298
1.252.2690.2970.2280.2740.275
1.31.8500.2720.2130.2570.255
1.351.5450.2500.1990.2420.238
1.41.3170.2310.1870.2290.223
1.451.1410.2150.1760.2170.209
1.51.0030.2000.1660.2060.197
1.550.8910.1870.1580.1970.187
1.60.7990.1760.1500.1880.177
1.650.7220.1650.1430.1800.168
1.70.6570.1560.1360.1720.160
1.750.6020.1480.1310.1660.153
1.80.5540.1400.1250.1590.147
1.850.5120.1330.1200.1540.141
1.90.4750.1270.1160.1480.135
1.950.4430.1210.1110.1430.130
20.4140.1160.1070.1390.125
Disclaimer/Publisher’s Note: The statements, opinions and data contained in all publications are solely those of the individual author(s) and contributor(s) and not of MDPI and/or the editor(s). MDPI and/or the editor(s) disclaim responsibility for any injury to people or property resulting from any ideas, methods, instructions or products referred to in the content.

Share and Cite

MDPI and ACS Style

Bratu, P.; Dragomir, C.-S.; Dobre, D. Assessment of the Compound Damping of a System with Parallelly Coupled Anti-Seismic Devices. Buildings 2024, 14, 2422. https://doi.org/10.3390/buildings14082422

AMA Style

Bratu P, Dragomir C-S, Dobre D. Assessment of the Compound Damping of a System with Parallelly Coupled Anti-Seismic Devices. Buildings. 2024; 14(8):2422. https://doi.org/10.3390/buildings14082422

Chicago/Turabian Style

Bratu, Polidor, Claudiu-Sorin Dragomir, and Daniela Dobre. 2024. "Assessment of the Compound Damping of a System with Parallelly Coupled Anti-Seismic Devices" Buildings 14, no. 8: 2422. https://doi.org/10.3390/buildings14082422

APA Style

Bratu, P., Dragomir, C.-S., & Dobre, D. (2024). Assessment of the Compound Damping of a System with Parallelly Coupled Anti-Seismic Devices. Buildings, 14(8), 2422. https://doi.org/10.3390/buildings14082422

Note that from the first issue of 2016, this journal uses article numbers instead of page numbers. See further details here.

Article Metrics

Back to TopTop