Axial Compressive Performance of CFRP-Confined Corroded Reinforced Concrete Columns
Abstract
1. Introduction
2. Experiment
2.1. Specimen Design
2.2. Materials
2.3. Loading Device and Protocol
3. Test Results and Analysis
3.1. Experimental Phenomena and Specimen Failure Modes
- (a)
- An elastic deformation stage characterized by a linear growth in the force–displacement curve.
- (b)
- The generation of micro-cracks in the concrete, known as the cracking stage.
- (c)
- As the cracks gradually connect, the spalling of the concrete surface occurs, along with the yielding and local bending of the longitudinal steel reinforcement, and the emergence of shear diagonal cracks, collectively constituting the failure stage.
3.2. Load–Displacement Curve Analysis
3.3. Feature Points Analysis
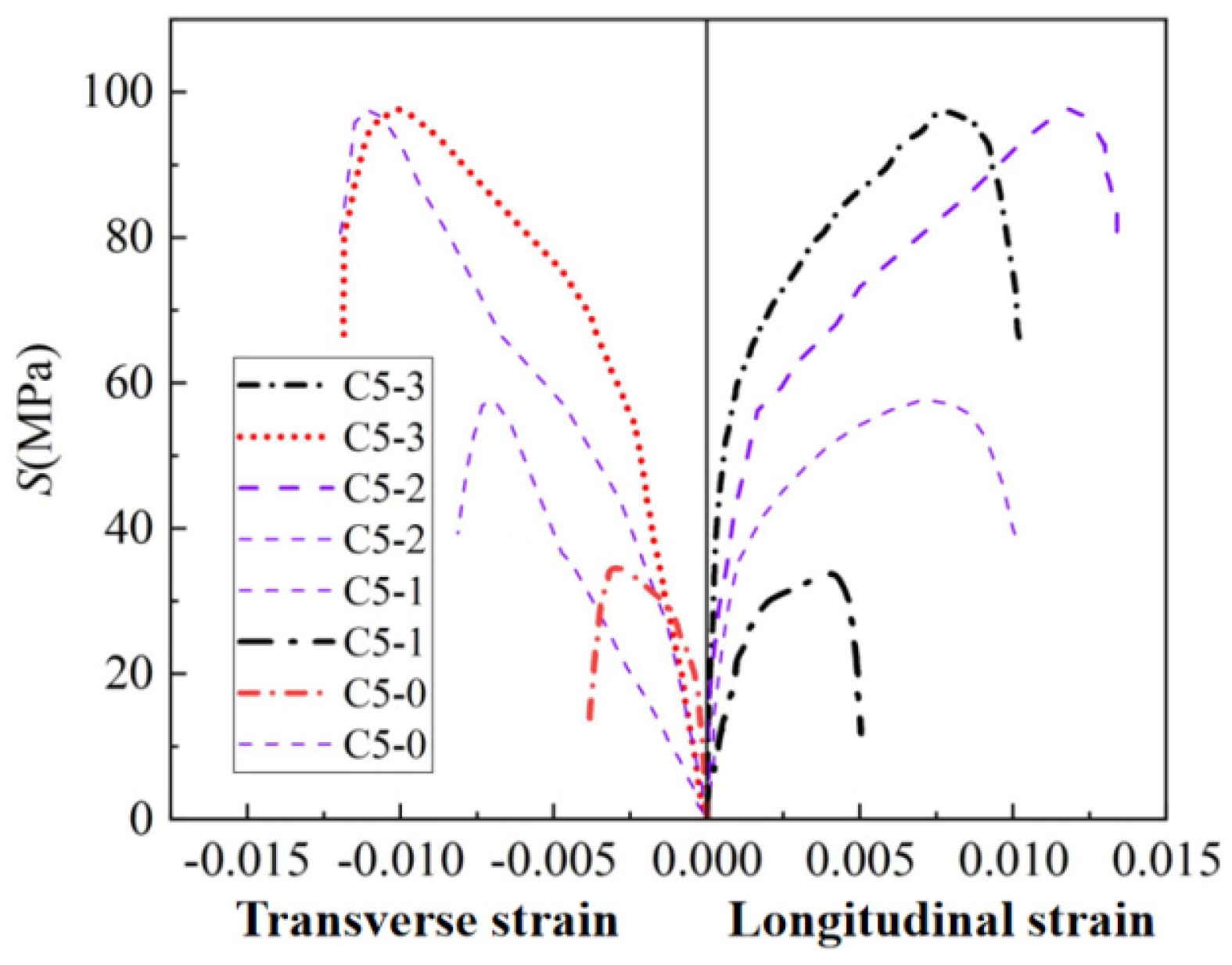
3.4. Strain Analysis
4. Finite Element Analysis
4.1. Finite Element Model Establishment
4.2. Constitutive Models
4.2.1. Constitutive Model of Steel
4.2.2. Constitutive Model of Concrete
4.2.3. Constitutive Model of CFRP
4.2.4. Element Type, Meshing, and Contact Boundaries
4.3. Verification of Finite Element Model
4.4. Mechanism and Parameter Analysis
4.4.1. Whole Stress Process Analysis
4.4.2. Contact Stress Analysis
4.4.3. Influence of CFRP Layer Number and Reinforcement Corrosion Rates
5. Formula of Bearing Capacity
6. Conclusions
- (1)
- After CFRP confinement, the peak load of specimens with corroded reinforcement increased by 2.2 times. As the number of CFRP layers increased, the peak load of the specimens continued to rise, indicating that an increase in CFRP layer number significantly enhances the bearing capacity of reinforced concrete columns. After CFRP wrapping, the deformation capacity of the specimens decreased, and the bearing capacity increased significantly, with CFRP cloth failing in a bursting manner at the time of failure. The stress process of all specimens under axial compressive load can be divided into four parts: the linear elastic stage, the concrete cracking stage, the steel yielding stage, and the failure stage. As the hoop strain of the concrete increased, the CFRP began to exert a confinement effect, with the CFRP primarily playing a significant confinement role in the failure stage of the component.
- (2)
- The number of CFRP layers and the corrosion rate of longitudinal reinforcement had a significant impact on the ductility coefficient of reinforced concrete columns. Appropriately increasing the number of CFRP layers could effectively enhance the ductility coefficient of the columns, while an increase in the corrosion rate of longitudinal reinforcement led to a decrease in the ductility coefficient of the concrete columns. It is recommended that for a reinforcement corrosion rate of 5%, the CFRP layer number should be 1–3, for a corrosion rate of 10%, the layer number should be 3–5, and for a corrosion rate of 15%, the layer number should be 6–8.
- (3)
- Based on experimental research and finite element analysis, combined with relevant research findings, this study proposed and validated a bearing capacity calculation formula for CFRP-confined concrete columns on the basis of the Lam formula. The maximum error between the calculated results of this formula and the finite element analysis results was 6.4%, indicating that the bearing capacity formula proposed in this study can accurately predict the behavior of CFRP-confined corroded reinforced concrete columns.
Author Contributions
Funding
Data Availability Statement
Conflicts of Interest
References
- Chen, Z.P.; Xu, J.J.; Chen, Y.L.; Xue, J. Axial compression ratio limit values for steel reinforced concrete (SRC) special shaped columns. Steel Compos. Struct. 2016, 20, 295–316. [Google Scholar] [CrossRef]
- Qiao, Q.; Wu, H.; Cao, W.L.; Dong, H.; Zhang, J. Axial compressive behavior of special-shaped concrete filled tube mega column coupled with multiple cavities. Steel Compos. Struct. Int. J. 2017, 23, 633–646. [Google Scholar]
- Yang, Y.; Zhang, L.; Xue, Y.; Zhao, D.; Deng, H.; Wu, B. Experimental research on the fire performance of a special cross-shaped composite column with a high-strength concrete-filled steel tubular core. Adv. Struct. Eng. 2018, 21, 1608–1619. [Google Scholar] [CrossRef]
- Wang, X. The Mechanical Behavior Analysis of R.C Structure with Specially Shaped Columns and Related Components. Master’s Thesis, Taiyuan University of Technology, Taiyuan, China, 2011. [Google Scholar]
- Nugraha, A.D.; Nuryanta, M.I.; Sean, L.; Budiman, K.; Kusni, M.; Muflikhun, M.A. Recent progress on natural fibers mixed with CFRP and GFRP: Properties, characteristics, and failure behaviour. Polymers 2022, 14, 5138. [Google Scholar] [CrossRef] [PubMed]
- Xian, G.; Zhou, P.; Bai, Y.; Wang, J.; Li, C.; Dong, S.; Guo, R.; Li, J.; Du, H.; Zhong, J. Design, preparation and mechanical properties of novel glass fiber reinforced polypropylene bending bars. Constr. Build. Mater. 2024, 429, 136455. [Google Scholar] [CrossRef]
- Naser, M.Z.; Hawileh, R.A.; Abdalla, J.A. Fiber-reinforced polymer composites in strengthening reinforced concrete structures: A critical review. Eng. Struct. 2019, 198, 109542. [Google Scholar] [CrossRef]
- Kim, T.K.; Park, J.S.; Kim, S.H.; Jung, W.T. Structural behavior evaluation of reinforced concrete using the fiber-reinforced polymer strengthening method. Polymers 2021, 13, 780. [Google Scholar] [CrossRef] [PubMed]
- Singh, J.; Srivastawa, K.; Jana, S.; Dixit, C.; Ravichandran, S. Advancements in Lightweight Materials for Aerospace Structures: A Comprehensive Review. Acceleron Aerosp. J. 2024, 2, 173–183. [Google Scholar] [CrossRef]
- Zheng, H.; Zhang, W.; Li, B.; Zhu, J.; Wang, C.; Song, G.; Wu, G.; Yang, X.; Huang, Y.; Ma, L. Recent advances of interphases in carbon fiber-reinforced polymer composites: A review. Compos. Part B Eng. 2022, 233, 109639. [Google Scholar] [CrossRef]
- Gangineni, P.K.; Gupta, K.B.G.; Patnaik, S.; Prusty, R.K.; Ray, B.C. Recent advancements in interface engineering of carbon fiber reinforced polymer composites and their durability studies at different service temperatures. Polym. Compos. 2022, 43, 4126–4164. [Google Scholar] [CrossRef]
- Aidoo, J.; Harries, K.A.; Petrou, M.F. Fatigue behavior of carbon fiber reinforced polymer-strengthened reinforced concrete bridge girders. J. Compos. Constr. 2004, 8, 501–509. [Google Scholar] [CrossRef]
- Su, L.; Wang, Z.; Mai, Z.; Yang, S.; Liu, M.; Li, J.; Lu, Z.; Xie, J. Durability of corrosion-damaged RC beams strengthened with a small-diameter CFRP bar-reinforced geopolymer matrix system exposed to seawater. Constr. Build. Mater. 2024, 428, 136285. [Google Scholar] [CrossRef]
- Davis, S.; Martin, P. Design and Application Flexibility of Carbon Fiber Reinforced Polymer (CFRP) Composites in Civil Engineering. Eng. Struct. 2017, 150, 758–769. [Google Scholar]
- Zhu, Y.; Shao, Y. Finite element analysis of CFRP strengthened concrete composite torsional columns under monotonic loading. J. Suzhou Univ. Sci. Technol. (Eng. Technol. Ed.) 2023, 36, 17–22. (In Chinese) [Google Scholar]
- Kou, D. Numerical modelling study of Low-strength reinforced concrete columns reinforced by CFRP sheathing. Archit. Technol. 2023, 54, 1955–1959. (In Chinese) [Google Scholar]
- Gao, D.; Wang, T.; He, Y. Flexural test and calculation on capacity of reinforced concrete short beam strengthened by CFRP sheets. J. Build. Struct. 2017, 38, 122–131. (In Chinese) [Google Scholar]
- Xue, P. Experimental Study on Composite Reinforcement of Reinforced Concrete Axial Compression Members. Master’s Thesis, Huazhong University of Science and Technology, Wuhan, China, 2006. (In Chinese). [Google Scholar]
- Lu, Y.; Shi, J.; Zhao, G. Experimental research on concrete columns strengthened with the combination of CFRP and angle steel. J. Build. Struct. 2003, 24, 18–23. (In Chinese) [Google Scholar]
- Li, C.; Yu, A.; Gao, D.; Zhang, P. Experimental study on axial compression of corroded reinforced concrete columns strengthened with FRP strips under erosion environment. Acta Mater. Compos. Sin. 2020, 37, 2015–2028. (In Chinese) [Google Scholar]
- Liu, R.; Liang, J.; Wang, L. Axial compression performance of lithium slag concrete short column with CFRP round steel tube. J. Guangxi Univ. Sci. Technol. 2023, 34, 28–35. (In Chinese) [Google Scholar]
- Zhang, W.; Shang, D.; Gu, X. Stress-strain relationship of corroded steel bars. J. Tongji Univ. (Nat. Sci.) 2006, 34, 586–592. (In Chinese) [Google Scholar]
- Pan, L. Constitutive Relationship and Seismic Response Analysis of Corroded RC Circular Pier Columns. Master’s Thesis, Fuzhou University, Fuzhou, China, 2020. (In Chinese). [Google Scholar]
- Mander, J.A.B.; Priestley, M.J.N. Theoretical stress-strain model for confined concrete. J. Struct. Eng. 1988, 114, 1804–1826. [Google Scholar] [CrossRef]
- Lam, L.; Teng, J. Strength models for fiber-reinforced plastic-confined concrete. J. Struct. Eng. 2002, 128, 612–623. [Google Scholar] [CrossRef]
- Chen, X.; Xing, G.; Niu, J.; Liu, B. Behavior of plastic-steel fiber reinforced lightweight aggregate concrete columns subjected to concentric axial loading. Int. J. Civ. Eng. 2021, 19, 283–300. [Google Scholar] [CrossRef]
- Wang, J. Research on Axial Compression Performance of Corroded Reinforced Concreteshort Columns Strengthened by CC and CFRP. Master’s Thesis, Inner Mongolia University of Science and Technology, Baotou, China, 2022. (In Chinese). [Google Scholar]












| Grade | Cement | Fly Ash | Silica Fume | Coarse Aggregates | Medium Sand | Water | Water-Reducing Agent | |
|---|---|---|---|---|---|---|---|---|
| 5~10 mm | 10~20 mm | |||||||
| C40 | 500 | 130 | 50 | 325 | 216 | 541 | 233 | 13 |
| Tensile Strength (MPa) | Elastic Modulus (MPa) | Elongation at Break (%) | Compressive Strength (MPa) | Bending Strength (MPa) | Non-Volatile Matter Content (%) |
|---|---|---|---|---|---|
| 55.1 | 2.71 × 103 | 2.41 | 81.7 | 86.7 | 99.4 |
| Type | Film Thickness (mm) | Ultimate Tensile Strength (MPa) | Elasticity Modulus (GPa) | Ultimate Elongation (%) |
|---|---|---|---|---|
| CFS-I-300 | 0.167 | 3548 | 233 | 1.62 |
| Specimen No. | Dy/mm | Dp/mm | Ly/kN | Lp/kN |
|---|---|---|---|---|
| C5-0 | 4.78 | 5.61 | 635.74 | 746.13 |
| C5-1 | 5.59 | 8.05 | 783.63 | 1128.48 |
| C5-2 | 4.58 | 6.14 | 910.00 | 1219.95 |
| C5-3 | 6.01 | 8.07 | 1441.05 | 1934.98 |
| Specimen No. | x | x/x0 | y | μ |
|---|---|---|---|---|
| C5-0 | 5.61 | 1.00 | 4.78 | 1.17 |
| C5-1 | 8.05 | 2.52 | 5.59 | 1.44 |
| C5-2 | 6.14 | 2.73 | 4.58 | 1.34 |
| C5-3 | 8.07 | 4.33 | 6.01 | 1.32 |
| No. | Concrete Grade | Concrete Dimension | Reinforcement Dimension | Reinforcement Corrosion Rate | Number of CFRP Layers |
|---|---|---|---|---|---|
| C5-1 | C40 | 150 × 300 | HRB400/HRB300 | 5 | 1 |
| C5-3 | C40 | 150 × 300 | HRB400/HRB300 | 5 | 3 |
| C5-5 | C40 | 150 × 300 | HRB400/HRB300 | 5 | 5 |
| C5-8 | C40 | 150 × 300 | HRB400/HRB300 | 5 | 8 |
| C10-1 | C40 | 150 × 300 | HRB400/HRB300 | 10 | 1 |
| C10-3 | C40 | 150 × 300 | HRB400/HRB300 | 10 | 3 |
| C10-5 | C40 | 150 × 300 | HRB400/HRB300 | 10 | 5 |
| C10-8 | C40 | 150 × 300 | HRB400/HRB300 | 10 | 8 |
| C15-1 | C40 | 150 × 300 | HRB400/HRB300 | 15 | 1 |
| C15-3 | C40 | 150 × 300 | HRB400/HRB300 | 15 | 3 |
| C15-5 | C40 | 150 × 300 | HRB400/HRB300 | 15 | 5 |
| C15-8 | C40 | 150 × 300 | HRB400/HRB300 | 15 | 8 |
| Model No. | Dy/mm | Ly/kN | Lp/kN |
|---|---|---|---|
| C5-1 | 4.73 | 733.1 | 1027.25 |
| C5-3 | 5.73 | 796.11 | 1045.16 |
| C5-5 | 5.84 | 810.67 | 1119.25 |
| C5-8 | 6.01 | 842.89 | 1127.24 |
| C10-1 | 4.55 | 722.29 | 1014.42 |
| C10-3 | 5.62 | 781.35 | 1029.82 |
| C10-5 | 5.75 | 792.52 | 1089.47 |
| C10-8 | 5.97 | 809.82 | 1117.28 |
| C15-1 | 4.42 | 718.25 | 1014.44 |
| C15-3 | 5.57 | 765.87 | 1027.64 |
| C15-5 | 5.62 | 775.38 | 1075.25 |
| C15-8 | 5.83 | 789.23 | 1098.87 |
Disclaimer/Publisher’s Note: The statements, opinions and data contained in all publications are solely those of the individual author(s) and contributor(s) and not of MDPI and/or the editor(s). MDPI and/or the editor(s) disclaim responsibility for any injury to people or property resulting from any ideas, methods, instructions or products referred to in the content. |
© 2024 by the authors. Licensee MDPI, Basel, Switzerland. This article is an open access article distributed under the terms and conditions of the Creative Commons Attribution (CC BY) license (https://creativecommons.org/licenses/by/4.0/).
Share and Cite
Chen, X.; Xi, B.; Guo, Y.; Liu, H.; Xu, D.; Zhang, X. Axial Compressive Performance of CFRP-Confined Corroded Reinforced Concrete Columns. Buildings 2024, 14, 2412. https://doi.org/10.3390/buildings14082412
Chen X, Xi B, Guo Y, Liu H, Xu D, Zhang X. Axial Compressive Performance of CFRP-Confined Corroded Reinforced Concrete Columns. Buildings. 2024; 14(8):2412. https://doi.org/10.3390/buildings14082412
Chicago/Turabian StyleChen, Xiaochuan, Banglu Xi, Yang Guo, Hanghang Liu, Dan Xu, and Xun Zhang. 2024. "Axial Compressive Performance of CFRP-Confined Corroded Reinforced Concrete Columns" Buildings 14, no. 8: 2412. https://doi.org/10.3390/buildings14082412
APA StyleChen, X., Xi, B., Guo, Y., Liu, H., Xu, D., & Zhang, X. (2024). Axial Compressive Performance of CFRP-Confined Corroded Reinforced Concrete Columns. Buildings, 14(8), 2412. https://doi.org/10.3390/buildings14082412
