The Acoustic and Cultural Heritage of the Banda Primitiva de Llíria Theater: Objective and Subjective Evaluation
Abstract
1. Introduction
2. Materials and Methods
2.1. Case Study
2.2. Objective Evaluation
2.2.1. On-Site Measurements
2.2.2. Virtual Model of the Original Theater and Ray-Tracing Simulation
2.3. Subjective Evaluation
2.3.1. Recording and Auralization of Musical Samples
2.3.2. Design of the Survey and Testing Process
3. Results and Discussion
3.1. Analysis of the Objective Evaluation
3.1.1. Three-Dimensional ODEON Model Adjustment
3.1.2. Objective Evaluation of the Quality of the Venue at Two Instants in Its History
3.2. Analysis of the Subjective Evaluation
3.2.1. Consistency of the PCT
3.2.2. Results of Subjective Evaluations
- PC1 (Preference for Original State): Majority clustered around 0.0–0.1.
- PC2 (Preference for Current State): Some dispersion towards PC2 indicating a subtle preference for the current state.
- Components 1 and 2 explain 35.6% of the variance.
- No clear preference for either state; most points revolve around zero.
- PC1 (Preference for Stalls) vs. PC2 (Preference for Second Balcony).
- Subtle preference for the second balcony indicated by dispersion towards PC2.
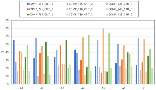
- Figure 15 summarizes all comparisons. Attributes like reverberance (A5) consistently reflect preferences, while inconsistencies in other attributes might be due to confusion, the difficulty of the test, or personal preferences.
- Original vs. Current State in the Stalls: 57.9% prefer the current state. Direct sound (A1) and brilliance (A4) were more intense in the past, while warmth (A2), intimacy (A3), reverberance (A5), and ensemble (A6) are more present nowadays.
- Original vs. Current State in the Second Balcony: 56.9% prefer the current state. Direct sound (A1) was more intense in the original state for the first two questions but not the third.
- Stalls vs. Second Balcony Nowadays: 43.8% prefer the second balcony. Warmth (A2) and intimacy (A3) were more intense in the stalls, while direct sound (A1), brilliance (A4), and reverberance (A5) had more presence in the second balcony.
4. Conclusions
- The original state of the theater does not differ significantly from the current state in terms of its objective acoustic parameters. However, there is a slight decrease in the overall reverberation time in the current state compared to the original state of the theater. This is primarily because the original chairs were made of wood. Currently, the theater has padded seats and fabric hangings.
- The objective tests show that the theater’s original and current configurations are adequate for the kind of performances that take place in the venue.
- The lower RT of the current state of the theater can be positive for theater representations and symphonic music performances. Also, the results are uniform across all the auditorium areas and little influenced by the occupation percentage.
- According to the merit factor score, the quality of the original state of the theater was slightly higher than that now. While the original theater scored up to 0.927, the current state reached 0.894. Any score higher than 0.8 is considered an excellent result.
- The theater can be compared, both acoustically and culturally, to theaters like the Vilamarta theater in de Jerez de la Frontera. Built in the year 1928, this theater has a comparable design, purpose, and objective acoustic parameters to the one studied in this article, showing they are both versatile and adequate for voice performances and symphonic band concerts [47,48].
- The subjective tests showed that 57.4% preferred the current state of the theater. Also, 43.8% selected the current state of the theater at the second balcony as their preferred configuration, which supports the widespread belief that the second balcony provides an overall better auditory experience.
- Despite the slight majority of the sample preferring the second balcony, the preference for it could not be explained by the PCA tests, which did not explain a significant percentage of the variance.
- That can also be extended to the differences between the original state of the theater and its current state.
- The main change in replacing the wooden seats with padded ones has been in reducing the differences in acoustic parameters depending on the attendance.
- The results indicate that the widespread belief that the second balcony has a much better acoustic condition than the rest of the theater cannot be supported by objective or subjective evidence.
- Although the subjective and objective parameters are difficult to compare, it can be said that they correlate well with each other due to the overall satisfaction of the listeners that conducted the test and the high results obtained in the merit factor.
- Overall, this paper provides a thorough and original analysis of the Banda Primitiva de Llíria theater, combining historical reconstruction, objective measurements, and subjective evaluations. The PCA results and survey data collectively suggest that while there is a slight preference for the current state of the theater, the differences are subtle and not statistically overwhelming. This nuanced understanding contributes to the field of architectural acoustics and cultural heritage preservation.
Supplementary Materials
Author Contributions
Funding
Data Availability Statement
Acknowledgments
Conflicts of Interest
References
- Oriola Requena, S.; Calderón Garrido, D.; Gustems Carnicer, J. Keys for the Participation of Adolescents in Youth Musical Groups. Per Musi 2021, 2021, 1–15. [Google Scholar] [CrossRef]
- Moreno, S.A. La Banda Municipal de Valencia y Su Aportación a La Historia de La Música Valenciana. Rev. Musicol. 2003, 26, 706–708. [Google Scholar] [CrossRef]
- UNESCO. Creative Cities Network. Available online: https://www.unesco.org/en/creative-cities (accessed on 2 February 2023).
- Cardiel, J.G. Las Flautistas de Iberia. Mujer y Transmisión de La Memoria Social En El Mundo Ibérico (Siglos III-I a.C.). Complutum 2017, 28, 143–162. [Google Scholar] [CrossRef]
- Hermosilla Pla, J. Llíria, Historia Geografía y Arte: Nuestro Pasado y Presente, 1st ed.; Universitat de València: València, Spain, 2011; ISBN 978-84-370-8049-9. [Google Scholar]
- Santamarina-Campos, V.; Gasent-Blesa, J.L.; Alcocer-Torres, P.; Carabal-Montagud, M.Á. The Intangible Cultural Landscape of the Banda Primitiva de Llíria; Springer International Publishing: Berlin/Heidelberg, Germany, 2021; ISBN 9783030768829. [Google Scholar]
- Pérez Rojas, F.J. La Obra de Joaquín Rieta Sister Entre 1925 y 1940. Hist. Ciudad 2004, 3, 143–158. [Google Scholar]
- Baró Zarzo, J.L.; Gasent Blesa, J.L.; Iborra Bernad, F.; Oliver Torres, P. Joaquín Rieta y El Teatro de La Banda Primitiva de Llíria. Arch. Arte Valencia 2021, 235–250. Available online: https://dialnet.unirioja.es/servlet/articulo?codigo=8573091 (accessed on 16 June 2024).
- De Muynke, J.; Baltazar, M.; Monferran, M.; Voisenat, C.; Katz, B.F.G. Ears of the Past, an Inquiry into the Sonic Memory of the Acoustics of Notre-Dame before the Fire of 2019. J. Cult. Herit. 2024, 65, 169–176. [Google Scholar] [CrossRef]
- Schroeder, M.R.; Gottlob, D.; Siebrasse, K.F. Comparative Study of European Concert Halls: Correlation of Subjective Preference with Geometric and Acoustic Parameters. J. Acoust. Soc. Am. 1974, 56, 1195. [Google Scholar] [CrossRef]
- Wilkens, H. Mehrdimensionale Beschreibung Subjektiver Beurteilungen Der Akustik von Konzertsaelen. Acustica 1977, 38, 10–23. [Google Scholar]
- Barron, M. Interpretation of Early Decay Times in Concert Auditoria. Acta Acust. United Acust. 1995, 81, 320–331. [Google Scholar]
- Sotiropoulou, A.G.; Fleming, D.B. Concert Hall Acoustic Evaluations by Ordinary Concert-Goers: II, Physical Room Acoustic Criteria Subjectively Significant. Acustica 1995, 81, 10–19. [Google Scholar]
- Hidaka, T.; Beranek, L.L. Objective and Subjective Evaluations of Twenty-Three Opera Houses in Europe, Japan, and the Americas. J. Acoust. Soc. Am. 1999, 107, 368–383. [Google Scholar] [CrossRef] [PubMed]
- Semidor, C.; Barlet, A. Objective and Subjective Surveys of Opera House Acoustics: Example of the Grand Theatre de Bordeaux. J. Sound. Vib. 2000, 232, 251–261. [Google Scholar] [CrossRef]
- Farina, A. Acoustic Quality of Theatres: Correlations between Experimental Measures and Subjective Evaluations. Appl. Acoust. 2001, 62, 889–916. [Google Scholar] [CrossRef]
- Lokki, T.; Järveläinen, H. Subjective Evaluation of Auralization of Physics-Based Room Acoustics Modeling. In Proceedings of the International Conference on Auditory Display, Technology, Finland, 29 July–1 August 2001; pp. 26–31. [Google Scholar]
- Giménez, A.; Cibrián, R.M.; Cerdá, S. Subjective Assessment of Concert Halls: A Common Vocabulary for Music Lovers and Acousticians. Arch. Acoust. 2012, 37, 331–340. [Google Scholar] [CrossRef]
- Galiana, M.; Llinares, C.; Page, Á. Subjective Evaluation of Music Hall Acoustics: Response of Expert and Non-Expert Users. Build. Environ. 2012, 58, 1–13. [Google Scholar] [CrossRef]
- Zhu, J.; Kang, J.; Ma, H.; Wang, C. Grounded Theory-Based Subjective Evaluation of Traditional Chinese Performance Buildings. Appl. Acoust. 2020, 168, 107417. [Google Scholar] [CrossRef]
- Elicio, L.; Martellotta, F. Acoustics as a Cultural Heritage: The Case of Orthodox Churches and of the “Russian Church” in Bari. J. Cult. Herit. 2015, 16, 912–917. [Google Scholar] [CrossRef]
- Pardoen, M.; Guesney, M. Study and Analysis of the Sound Environment of the Notre-Dame Construction Site between the 12th and 18th Centuries. J. Cult. Herit. 2024, 65, 155–159. [Google Scholar] [CrossRef]
- Dillmann, P.; Liévaux, P.; De Luca, L.; Magnien, A.; Regert, M. The CNRS/MC Notre-Dame Scientific Worksite: An Extraordinary Interdisciplinary Adventure. J. Cult. Herit. 2024, 65, 2–4. [Google Scholar] [CrossRef]
- Iannace, G.; Ianniello, C.; Maffei, L.; Romano, R. OBJECTIVE MEASUREMENT OF THE LISTENING CONDITION IN THE OLD ITALIAN OPERA HOUSE “TEATRO DI SAN CARLO”. J. Sound. Vib. 2000, 232, 239–249. [Google Scholar] [CrossRef]
- Bevilacqua, A.; Iannace, G. From Discoveries of 1990s Measurements to Acoustic Simulations of Three Sceneries Carried out inside the San Carlo Theatre of Naples. J. Acoust. Soc. Am. 2023, 154, 66–80. [Google Scholar] [CrossRef] [PubMed]
- ISO 3382-1:2009; Acoustics—Measurement of Room Acoustic Parameters—Part 1: Performance Spaces. Available online: https://www.iso.org/standard/40979.html (accessed on 18 July 2024).
- Beranek, L. Concert Halls and Opera Houses. In Concert Halls and Opera Houses; Springer: New York, NY, USA, 2004. [Google Scholar] [CrossRef]
- Arau Puchades, H. ABC de La Acústica Arquitectónica; Ediciones CEAC: Barcelona, Spain, 1999; ISBN 9788432920172. [Google Scholar]
- Long, M. Acoustic Modeling, Ray Tracing, and Auralization. In Architectural Acoustics; Elsevier: Amsterdam, The Netherlands, 2014; pp. 873–910. [Google Scholar] [CrossRef]
- Auralisation-ODEON Room Acoustics Software. Available online: https://odeon.dk/learn/articles/auralisation/ (accessed on 4 July 2024).
- Martellotta, F. The Just Noticeable Difference of Center Time and Clarity Index in Large Reverberant Spaces. J. Acoust. Soc. Am. 2010, 128, 654–663. [Google Scholar] [CrossRef]
- Alain, C.; Woods, D.L.; Knight, R.T. A Distributed Cortical Network for Auditory Sensory Memory in Humans. Brain Res. 1998, 812, 23–37. [Google Scholar] [CrossRef]
- Semal, C.; Demany, L. Dissociation of Pitch from Timbre in Auditory Short-Term Memory. J. Acoust. Soc. Am. 1991, 89, 2404–2410. [Google Scholar] [CrossRef] [PubMed]
- Pérez-Aguilar, B.; Guillén-Guillamón, I.; Quintana-Gallardo, A.; Gasent-Blesa, J.L. Aproximación Metodológica de Aplicación a Test Subjetivo de Valoración Acústica de Espacios Arquitectónicos. Caso de Estudio. In Proceedings of the 53° Congreso Español de Acústica XII Congreso Ibérico de Acústica, Elche, Spain, 2–4 November 2022. [Google Scholar]
- Ando, Y. Concert Hall Acoustics. In Concert Hall Acoustics; Springer: Berlin/Heidelberg, Germany, 1985. [Google Scholar] [CrossRef]
- Blauert, J. Spatial Hearing: The Psychophysics of Human Sound Localization, 2nd ed.; MIT Press: Cambridge, MA, USA, 1997; ISBN 0-262-02413-6. [Google Scholar]
- Montgomery, D.C. Design and Analysis of Experiments, 10th ed.; Wiley: Hoboken, NJ, USA, 2020; pp. 1–682. [Google Scholar]
- Lawless, H.T.; Heymann, H. Sensory Evaluation of Food; Springer: New York, NY, USA, 2010. [Google Scholar] [CrossRef]
- Gabrielsson, A.; SjÖgren, H. Perceived Sound Quality of Sound-Reproducing Systems. J. Acoust. Soc. Am. 1979, 65, 1019–1033. [Google Scholar] [CrossRef] [PubMed]
- ISO 8587:2006; Sensory Analysis—Methodology—Ranking. Available online: https://www.iso.org/standard/36172.html (accessed on 4 July 2024).
- Fastl, H.; Zwicker, E. Psychoacoustics: Facts and Models; Springer: Berlin/Heidelberg, Germany, 2007; pp. 1–463. [Google Scholar] [CrossRef]
- Bech, S.; Zacharov, N. Perceptual Audio Evaluation-Theory, Method and Application. In Perceptual Audio Evaluation-Theory, Method and Application; John Wiley & Sons, Ltd.: Hoboken, NJ, USA, 2006; pp. 1–442. [Google Scholar] [CrossRef]
- Kuttruff, H. Room Acoustics, Sixth Edition. In Room Acoustics, 6th ed.; CRC Press: Boca Raton, FL, USA, 2016; pp. 1–302. [Google Scholar] [CrossRef]
- Sharma, S. Applied Multivariate Techniques; John Wiley & Sons, Inc.: Hoboken, NJ, USA, 1996; ISBN 978-0-471-31064-8. [Google Scholar]
- André, A.; Khuri, A.I.; Mukhopadhyay, S. Response Surface Methodology. Wiley Interdiscip. Rev. Comput. Stat. 2010, 2, 128–149. [Google Scholar] [CrossRef]
- Pérez Aguilar, B. Revision de Los Valores Del Espectro de Absorcion de La Caja de Escena En Teatros Mediante La Aplicación Del Método de Superficies de Respuesta. Ph.D. Thesis, Universitat Politècnica de València, Valencia, Spain, 2023. [Google Scholar]
- Gil Huarte, M. Análisis Comparativo de Recintos Escénicos Nacionales e Internacionales. Master’s Thesis, Universidad Pública de Navarra. Escuela Técnica Superior de Ingenieros Industriales y de Telecomunicación, Pamplona, Spain, 2015. [Google Scholar]
- Pérez-Aguilar, B.; Quintana-Gallardo, A.; Llopis-Reyna, A.; Guillén-Guillamón, I. So Similar, So Different: Diving in the Physical and Acoustic Features of Two Theatres. A Case Study. ArchiDOCT 2021, 17, 1–11. [Google Scholar]
- Lokki, T. Tasting Music like Wine: Sensory Evaluation of Concert Halls. Phys. Today 2014, 67, 27–32. [Google Scholar] [CrossRef]

















| Melody | Location 1 | Time | Fragment |
|---|---|---|---|
| 1 | GF | OS | 1 |
| 1 | GF | CE | 2 |
| 1 | FF | OS | 3 |
| 1 | FF | CE | 4 |
| 2 | GF | OS | 5 |
| 2 | GF | CE | 6 |
| 2 | FF | OS | 7 |
| 2 | FF | CE | 8 |
| 3 | GF | OS | 9 |
| 3 | GF | CE | 10 |
| 3 | FF | OS | 11 |
| 3 | FF | CE | 12 |
| Parameters | Octave Bands (Hz) | |||||
|---|---|---|---|---|---|---|
| 125 | 250 | 500 | 1k | 2k | 4k | |
| EDT | 1.14 | 1.11 | 1.07 | 1.13 | 0.83 | 0.81 |
| TR30 | 1.43 | 1.45 | 1.21 | 1.21 | 1.17 | 1.00 |
| C80 | 2.73 | 2.8 | 4.18 | 5.18 | 6.05 | 6.27 |
| D50 | 0.33 | 0.23 | 0.46 | 0.63 | 0.69 | 0.6 |
| STI | 0.61 | |||||
| Parameters | Octave Bands (Hz) | |||||
|---|---|---|---|---|---|---|
| 125 | 250 | 500 | 1k | 2k | 4k | |
| EDT | 1.12 | 0.97 | 0.85 | 1.09 | 0.88 | 0.71 |
| TR30 | 1.53 | 1.38 | 1.20 | 1.22 | 1.18 | 1.01 |
| C80 | 0.37 | 1.02 | 4.87 | 4.47 | 4.02 | 5.87 |
| D50 | 0.4 | 0.46 | 0.64 | 0.58 | 0.57 | 0.64 |
| STI | 0.63 | |||||
| Zone | Materials | 125 Hz | 250 Hz | 500 Hz | 1 KHz | 2 KHz | 4 KHz |
|---|---|---|---|---|---|---|---|
| Around stage mouth, moldings and ceiling curves, parapet P1 zone 1a | Decorated plaster molding | 0.13 | 0.13 | 0.25 | 0.28 | 0.30 | 0.30 |
| Stage ceiling room background, parapet P2 | Plaster on brick hollow sound | 0.16 | 0.10 | 0.06 | 0.04 | 0.04 | 0.04 |
| Stage and amphitheater flooring P1 zone 1a | Tongue-and-groove wooden flooring on reinforced concrete beams (wooden platform with great air depth) | 0.40 | 0.30 | 0.20 | 0.17 | 0.15 | 0.10 |
| PB flooring | Wooden flooring in a chamber (parquet on battens) | 0.05 | 0.03 | 0.06 | 0.09 | 0.10 | 0.20 |
| PB carpet | Carpet on wooden flooring | 0.11 | 0.14 | 0.37 | 0.43 | 0.27 | 0.25 |
| Amphitheater flooring P1, zone 2a | Linoleum or vinyl glued to concrete | 0.02 | 0.02 | 0.03 | 0.04 | 0.04 | 0.05 |
| Amphitheater flooring P2 | Enamel-painted concrete | 0.01 | 0.01 | 0.01 | 0.02 | 0.02 | 0.02 |
| Floor stairs access P1 + baseboard and P2 | Marble or polished tile | 0.01 | 0.01 | 0.01 | 0.01 | 0.02 | 0.02 |
| Vertical walls (hollow sound) | Plastering on plasterboard with an air chamber | 0.29 | 0.10 | 0.05 | 0.04 | 0.07 | 0.09 |
| Vertical walls (solid sound) | Plaster on brick | 0.01 | 0.02 | 0.02 | 0.03 | 0.04 | 0.05 |
| P1 parapet zone 2a, ground floor plinth, stage front | Thin wood (5–10 mm) forming an air chamber at the back | 0.42 | 0.21 | 0.06 | 0.05 | 0.05 | 0.04 |
| Door access to plants | Solid wood, 5 cm thick | 0.01 | 0.05 | 0.05 | 0.04 | 0.04 | 0.04 |
| Amphitheater seats 1 and 2 | Medium upholstered armchairs | 0.56 | 0.64 | 0.70 | 0.72 | 0.68 | 0.62 |
| Silver seats | Heavily upholstered chairs | 0.72 | 0.79 | 0.83 | 0.84 | 0.83 | 0.79 |
| General roof and low overhang first amphitheater | 13 mm plaster on 25 mm studs (with mineral wool) | 0.28 | 0.20 | 0.12 | 0.07 | 0.05 | 0.07 |
| Quilted fabric frames on walls | Quilted fabric frames on walls | 0.17 | 0.50 | 0.57 | 0.55 | 0.55 | 0.50 |
| Scene mouth | Scene mouth | 0.15 | 0.18 | 0.37 | 0.45 | 0.50 | 0.57 |
| Current | Original | |
|---|---|---|
| Stalls | 0.852 (0.03) | 0.861 (0.04) |
| Balcony | 0.840 (0.09) | 0.877 (0.07) |
| Second balcony | 0.894 (0.03) | 0.927 (0.01) |
| Percentual Result | % | |||
|---|---|---|---|---|
| Gender: | ||||
| Female | 44.66 | |||
| Male | 54.37 | |||
| Age: | ||||
| 11 to 19 | 17.48 | |||
| 20 to 29 | 16.50 | |||
| 30 to 39 | 16.50 | |||
| 40 to 49 | 19.42 | |||
| 50 to 59 | 21.36 | |||
| 60 to 69 | 7.77 | |||
| Relationship with music and/or concert halls: | ||||
| Men | Women | Total | % | |
| Professional | 39 | 22 | 61 | 59.22 |
| Student | 9 | 16 | 25 | 24.27 |
| Music Lover | 8 | 8 | 16 | 15.53 |
| Self-skill-level judgement: | ||||
| Good | 51 | 34 | 85 | 82.52 |
| Average | 5 | 10 | 15 | 14.56 |
| Low | 0 | 2 | 2 | 1.94 |
| Type of instrument: | ||||
| Wind | 55.6 | |||
| String | 15.2 | |||
| Percussion | 23.2 | |||
| Not specified | 6.06 | |||
| Comparison | Fragments | Question | Melody | |
|---|---|---|---|---|
| Original vs. nowadays in the stalls | 1 | 2 | 1 | 1 |
| 5 | 6 | 3 | 2 | |
| 9 | 10 | 5 | 3 | |
| Original vs. nowadays in the second balcony | 3 | 4 | 2 | 1 |
| 7 | 8 | 4 | 2 | |
| 11 | 12 | 6 | 3 | |
| Stalls vs. second balcony nowadays | 2 | 4 | 7 | 1 |
| 6 | 8 | 8 | 2 | |
| 10 | 12 | 9 | 3 | |
| % | |||||||
|---|---|---|---|---|---|---|---|
| A1 | A2 | A3 | A4 | A5 | A6 | G | |
| Question 1 | |||||||
| COMP_1_CRIT_1 | 63.6 | 37.4 | 48.5 | 36.4 | 17.2 | 26.3 | 22.2 |
| COMP_1_CRIT_2 | 25.3 | 54.5 | 24.2 | 49.5 | 65.7 | 53.5 | 62.6 |
| COMP_1_CRIT_0 | 11.1 | 8.08 | 27.3 | 14.1 | 17.2 | 20.2 | 15.2 |
| Question 3 | |||||||
| COMP_2_CRIT_1 | 64.6 | 20.2 | 17.2 | 62.6 | 29.3 | 19.2 | 27.3 |
| COMP_2_CRIT_2 | 15.2 | 66.7 | 64.6 | 17.2 | 41.4 | 49.5 | 50.5 |
| COMP_2_CRIT_0 | 20.2 | 13.1 | 18.2 | 20.2 | 29.3 | 31.3 | 22.2 |
| Question 5 | |||||||
| COMP_3_CRIT_1 | 38.4 | 39.4 | 35.4 | 30.3 | 22.2 | 35.4 | 23.2 |
| COMP_3_CRIT_2 | 42.4 | 51.5 | 39.4 | 49.5 | 58.6 | 47.5 | 60.6 |
| COMP_3_CRIT_0 | 19.2 | 9.09 | 25.3 | 20.2 | 19.2 | 17.2 | 16.2 |
| Average per criteria | |||||||
| COMP_135_CRIT_1 | 55.6 | 32.3 | 33.7 | 43.1 | 22.9 | 26.9 | 24.2 |
| COMP_135_CRIT_2 | 27.6 | 57.6 | 42.8 | 38.7 | 55.2 | 50.2 | 57.9 |
| COMP_135_CRIT_0 | 16.8 | 10.1 | 23.6 | 18.2 | 21.9 | 22.9 | 17.8 |
| A1 | A2 | A3 | A4 | A5 | A6 | G | |
|---|---|---|---|---|---|---|---|
| Question 2 | |||||||
| COMP_1_CRIT_1 | 46.5 | 39.4 | 44.4 | 32.3 | 10.1 | 33.3 | 28.3 |
| COMP_1_CRIT_2 | 35.4 | 46.5 | 20.2 | 52.5 | 72.7 | 45.5 | 50.5 |
| COMP_1_CRIT_0 | 18.2 | 14.1 | 35.4 | 15.2 | 17.2 | 21.2 | 21.2 |
| Question 4 | |||||||
| COMP_2_CRIT_1 | 47.5 | 29.3 | 38.4 | 36.4 | 20.2 | 21.2 | 21.2 |
| COMP_2_CRIT_2 | 30.3 | 53.5 | 36.4 | 51.5 | 60.6 | 58.6 | 62.6 |
| COMP_2_CRIT_0 | 22.2 | 17.2 | 25.3 | 12.1 | 19.2 | 20.2 | 16.2 |
| Question 6 | |||||||
| COMP_3_CRIT_1 | 30.3 | 49.5 | 64.6 | 22.2 | 12.1 | 38.4 | 32.3 |
| COMP_3_CRIT_2 | 56.6 | 44.4 | 20.2 | 71.7 | 75.8 | 43.4 | 57.6 |
| COMP_3_CRIT_0 | 13.1 | 6.06 | 15.2 | 6.06 | 12.1 | 18.2 | 10.1 |
| Average per criteria | |||||||
| COMP_246_CRIT_1 | 41.4 | 39.4 | 49.2 | 30.3 | 14.1 | 31 | 27.3 |
| COMP_246_CRIT_2 | 40.7 | 48.1 | 25.6 | 58.6 | 69.7 | 49.2 | 56.9 |
| COMP_246_CRIT_0 | 17.8 | 12.5 | 25.3 | 11.1 | 16.2 | 19.9 | 15.8 |
| A1 | A2 | A3 | A4 | A5 | A6 | G | |
|---|---|---|---|---|---|---|---|
| Question 7 | |||||||
| COMP_1_CRIT_1 | 31.31 | 57.58 | 53.54 | 16.16 | 12.12 | 38.38 | 34.34 |
| COMP_1_CRIT_2 | 52.53 | 27.27 | 16.16 | 64.65 | 64.65 | 34.34 | 41.41 |
| COMP_1_CRIT_0 | 16.16 | 15.15 | 30.30 | 19.19 | 23.23 | 27.27 | 24.24 |
| Question 8 | |||||||
| COMP_2_CRIT_1 | 31.31 | 40.40 | 50.51 | 21.21 | 13.13 | 32.32 | 26.26 |
| COMP_2_CRIT_2 | 46.46 | 42.42 | 23.23 | 58.59 | 63.64 | 43.43 | 48.48 |
| COMP_2_CRIT_0 | 22.22 | 17.17 | 26.26 | 20.20 | 23.23 | 24.24 | 25.25 |
| Question 9 | |||||||
| COMP_3_CRIT_1 | 39.39 | 59.60 | 60.61 | 27.27 | 22.22 | 48.48 | 46.46 |
| COMP_3_CRIT_2 | 48.48 | 36.36 | 22.22 | 62.63 | 64.65 | 36.36 | 41.41 |
| COMP_3_CRIT_0 | 12.12 | 4.04 | 17.17 | 10.10 | 13.13 | 15.15 | 12.12 |
| Mean per criteria | |||||||
| COMP_789_CRIT_1 | 34 | 52.5 | 54.9 | 21.5 | 15.8 | 39.7 | 35.7 |
| COMP_789_CRIT_2 | 49.2 | 35.4 | 20.5 | 62 | 64.3 | 38 | 43.8 |
| COMP_789_CRIT_0 | 16.8 | 12.1 | 24.6 | 16.5 | 19.9 | 22.2 | 20.5 |
Disclaimer/Publisher’s Note: The statements, opinions and data contained in all publications are solely those of the individual author(s) and contributor(s) and not of MDPI and/or the editor(s). MDPI and/or the editor(s) disclaim responsibility for any injury to people or property resulting from any ideas, methods, instructions or products referred to in the content. |
© 2024 by the authors. Licensee MDPI, Basel, Switzerland. This article is an open access article distributed under the terms and conditions of the Creative Commons Attribution (CC BY) license (https://creativecommons.org/licenses/by/4.0/).
Share and Cite
Pérez-Aguilar, B.; Quintana-Gallardo, A.; Gasent-Blesa, J.L.; Guillén-Guillamón, I. The Acoustic and Cultural Heritage of the Banda Primitiva de Llíria Theater: Objective and Subjective Evaluation. Buildings 2024, 14, 2329. https://doi.org/10.3390/buildings14082329
Pérez-Aguilar B, Quintana-Gallardo A, Gasent-Blesa JL, Guillén-Guillamón I. The Acoustic and Cultural Heritage of the Banda Primitiva de Llíria Theater: Objective and Subjective Evaluation. Buildings. 2024; 14(8):2329. https://doi.org/10.3390/buildings14082329
Chicago/Turabian StylePérez-Aguilar, Blanca, Alberto Quintana-Gallardo, Jose L. Gasent-Blesa, and Ignacio Guillén-Guillamón. 2024. "The Acoustic and Cultural Heritage of the Banda Primitiva de Llíria Theater: Objective and Subjective Evaluation" Buildings 14, no. 8: 2329. https://doi.org/10.3390/buildings14082329
APA StylePérez-Aguilar, B., Quintana-Gallardo, A., Gasent-Blesa, J. L., & Guillén-Guillamón, I. (2024). The Acoustic and Cultural Heritage of the Banda Primitiva de Llíria Theater: Objective and Subjective Evaluation. Buildings, 14(8), 2329. https://doi.org/10.3390/buildings14082329

