New Design Criteria for Long, Large-Diameter Bored Piles in Near-Shore Interbedded Geomaterials: Insights from Static and Dynamic Test Analysis
Abstract
1. Introduction
2. Field Study and Site Investigation
3. Case Study and Pile Load Test Data
3.1. Pile Foundation for the Project
3.2. Pile Load Tests
4. Pile Load Test Results and Discussions
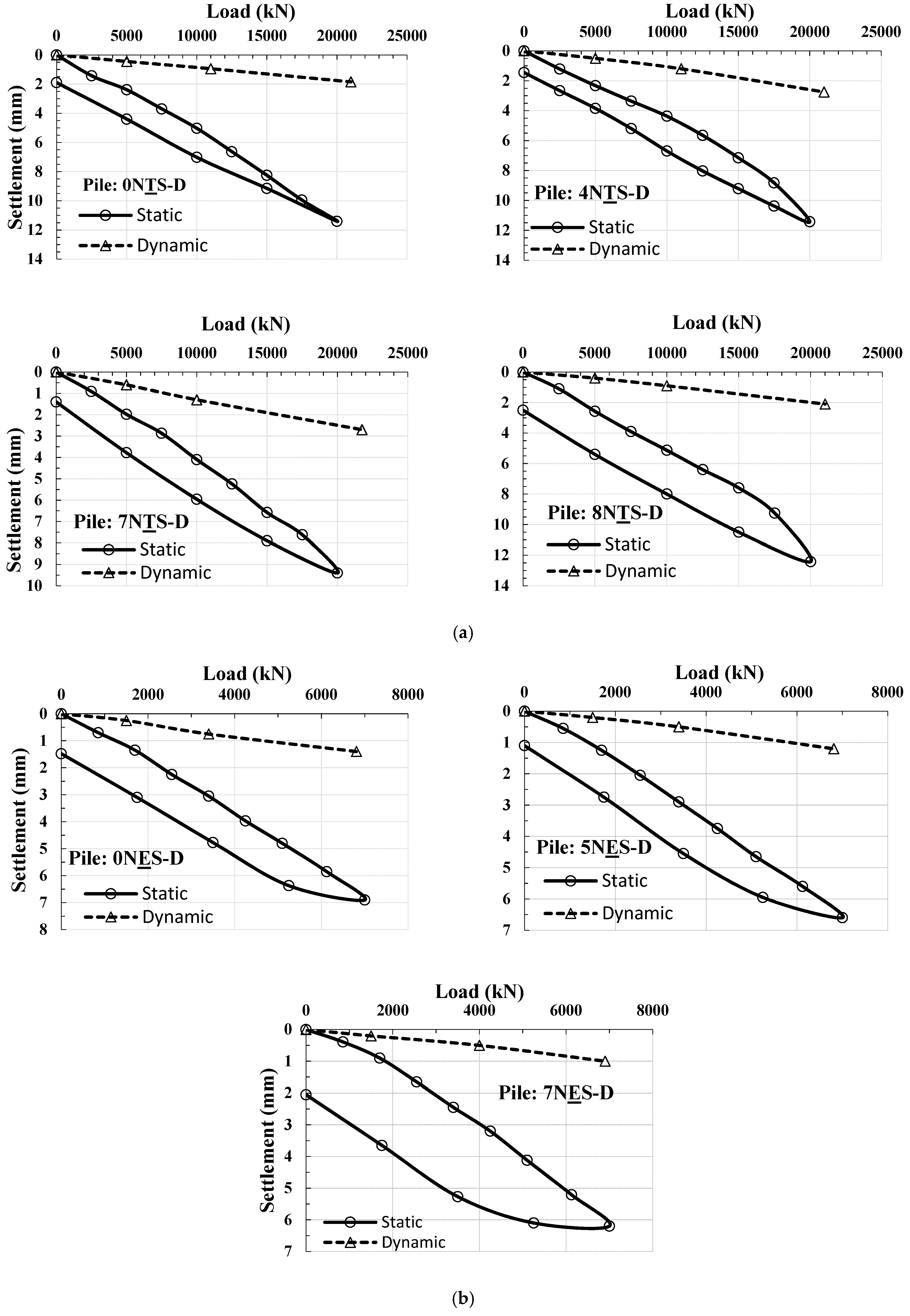
4.1. Load–Settlement Behavior from Static Pile Load Test
4.2. Behavior Analysis Based on Dynamic Load Tests
5. Numerical Modeling
6. Specific Analysis for Alamein Site
6.1. Site-Specific Equations for the Load–Settlement Response
6.2. Ultimate Load Prediction
6.3. Specific Resistance Factors for IGMs in El Alamein City
7. Conclusions
- The pile load testing of a drilled shaft that carried out static and dynamic methods in El Alamein revealed larger resistance than anticipated in soils classified as IGMs and weak limestone. Results of the static tests, dynamic tests, and finite element analysis confirm that the long, large-diameter piles in El Alamein IGM layers behave as friction piles.
- In general, the predicted ultimate capacities by different methods indicate that AASHTO LRFD is conservative in estimating the ultimate resistance of large-diameter piles in IGMs, which is due to using underestimates of resistance factors for the friction, bearing, and load tests. The recommended values of the shaft side resistance factor, qs (0.60), tip resistance factor, qp (0.55), and load test resistance factor, load (0.70), could be increased, especially for Alamein City. The recommended values may be qs (0.70), qp (0.65), and load (0.80) without any significant effect on the pile behavior as a friction pile.
- Although bentonite slurry was used during the pile construction, it did not affect the actual friction capacity, and still, the theoretical capacity given by AASHTO is underestimated.
- The load-settlement response for the static pile load tests behaves as a straight line until 2.0 design loads. The site-specific settlement equations for 800 mm and 1200 mm diameter piles for bored piles through IGMs are as follows, respectively.
- The settlement from the static load test was about 4.0 to 5.0 times the settlement from the dynamic load test. This indicates that the time period of loading has a significant effect on the pile’s behavior. The quick-loading procedure of the dynamic test builds up high pore water pressure in low-permeable media.
- Dynamic load tests were carried out on the site as a reliable alternative to compression static pile load tests, considering the calibration analysis. That is, settlement should not exceed 12 mm for 1200 mm diameter piles and 8 mm for 800 mm diameter piles.
- The high pore water pressure could result in increased shaft resistance in cohesive layers.
- Acceptable matching was found between the FE results and the static pile load test results. Therefore, the FE method could be a potential method for calculating and estimating the bearing capacity of the bored piles in the IGM layer. This method was also valid for predicting the ultimate load of the single pile.
- There is a need for further work, such as studying the behavior of the pile groups through IGM multilayers, the investigation of the single-pile response with the lateral load, and the prediction of the ultimate capacity using the dynamic pile load test results.
Author Contributions
Funding
Data Availability Statement
Acknowledgments
Conflicts of Interest
References
- American Association of State Highway and Transportation Officials AASHTO LRFD. Bridge Design Specifications, 9th ed.; American Association of State Highway and Transportation Officials AASHTO LRFD: Washington, DC, USA, 2022. [Google Scholar]
- Adhikari, P.; Ng, K.W.; Gebreslasie, Z.Y.; Wulff, S.S.; Sullivan, T. Geomaterial Classification Criteria for Design and Construction of Driven Steel H-Piles. Can. Geotech. J. 2019, 57, 616–621. [Google Scholar] [CrossRef]
- Asem, P. Base resistance of drilled shafts in soft rock using in situ load tests: A limit state approach. Soils Found 2019, 59, 1639–1658. [Google Scholar] [CrossRef]
- ASTM-D 1143-81; Standard Test Method for Piles under Static Axial Compressive Load. American Society for Testing and Materials: West Conshohocken, PA, USA, 2019.
- ASTM-D 4945-00; Standard Test Method for Piles under Dynamic Axial Compressive Load. American Society for Testing and Materials: West Conshohocken, PA, USA, 2017.
- Brown, D.A.; Turner, J.P.; Castelli, R.J. Construction Procedures and LRFD Design Methods; NHI Course No. 132014; U.S. Department of Transportation Federal Highway Administration: Washington, DC, USA, 2010; 972p.
- BS 8004:2015; Code of Practice for Foundations. British Standards Institute: London, UK, 2014.
- Carter, J.; Kulhawy, F.H. Analysis and Design of Drilled Shaft Foundations Socketed into Rock; Electric Power Research Institute, Cornell University, Geotechnical Engineering Group: Ithaca, NY, USA, 1988. [Google Scholar]
- Chin, F. Estimation of the Ultimate Load of Pile not Carried to Failure. In Proceedings of the 2nd Southeast Asian Conference on Soil Engineering, Singapore, 11–15 June 1970; pp. 81–90. [Google Scholar]
- Lan, C.N.; Nguyen, M.H.; Thanh, B.T.; Long, N.N.; Tiena, L.D.; Ho, L.S. Bearing capacity of drilled shaft in intermediate geomaterials. Mag. Civ. Eng. 2020, 99, 9908. [Google Scholar]
- Davisson, M. High-Capacity Piles. In Proceedings of the Lecture Series on Innovations in Foundation Construction, American Society of Civil Engineers, ASCE, Illinois Section, Chicago, IL, USA, 22 March 1972; Illinois Institute of Technology: Chicago, IL, USA, 1973; pp. 81–112. [Google Scholar]
- ECSMDEF 202/4; Egyptian Code of Practice for Soil Mechanics and Foundations, Part IV: Deep Foundations. Housing and Building National Research Center, Ministry of Housing, Utilities and Urban Communities: Cairo, Egypt, 2001. (In Arabic)
- Sharif, E.Y.; Sidhu, H. An Approach for Optimization of Drilled Shaft Design in Dubai; Springer Nature: Basel, Switzerland, 2019. [Google Scholar]
- Eurocode 7. Designing Bases, Foundations, and Underground Structures. 2004. Available online: https://ngm2016.com/uploads/2/1/7/9/21790806/eurocode_7_-_geotechnical_designen.1997.1.2004.pdf (accessed on 23 April 2004).
- Fleming, W.G.F.; Weltman, A.J.; Randolph, M.F.; Elson, W.K. Piling Engineering, 3rd ed.; Taylor & Francis: Abingdon, UK, 1992. [Google Scholar]
- Masterton, G.; Gannon, J.A.; Wallace, W.A.; Muir Wood, D. Piled Foundations in Weak Rock; CIRIA: London, UK, 1999. [Google Scholar]
- Brooks, H.; Mokwa, R.L. Axial Capacity of Piles Founded in Intermediate Geomaterials: A State-of-the-Practice Review; EG & GE Symposium: Boise, ID, USA, 2005; pp. 9–11. [Google Scholar]
- Hooley, P.; Lefroy, S.R. The ultimate shaft frictional resistance mobilized by bored piles in over-consolidated clays and socketed into weak and weathered rock. In The Engineering Geology of Weak Rock; Cripps, J.C., Ed.; Balkema: Rotterdam, The Netherland, 1993; pp. 447–455. [Google Scholar]
- Horvath, R.; Kenney, T.; Kozicki, P. Methods of improving the performance of drilled piers in weak rock. Can. Geotech. J. 1983, 20, 758–772. [Google Scholar] [CrossRef]
- Institution of Civil Engineers (ICE). Specification for Piling and Embedded Retaining Walls, 1st ed.; Thomas Telford Publishing: London, UK, 1997. [Google Scholar]
- Johnston, I.W.; Novello, E.A. Soft Rocks in the Geotechnical Spectrum. In Geotechnical Engineering of Hard Soils-Soft Rocks: Proceedings of an International Symposium for ISSMFE, IAEG, and ISRM, Athens, Greece, 20–23 September 1993; A. A. Balkema: Athens, Greece, 1993. [Google Scholar]
- Likins, G.E.; Rausche, F. Correlation of CAPWAP with Static Load Tests. In Proceedings of the Seventh International Conference on the Application of Stress Wave Theory to Piles, Petaling Jaya, Selangor, Malaysia, 12 May 2004; pp. 153–165. [Google Scholar]
- Long, J.; Horsfall, J. Static Pile Load Tests on Driven Piles in Intermediate Geomaterials; Project 0092-12-08, Research Brief, Wisconsin Highway Research Program; Department of Civil Engineering, University of Illinois at Urbana-Champaign: Madison, WI, USA, 2017. [Google Scholar]
- Long, M. Comparing dynamic and static test results of bored piles. Proc. Inst. Civ. Eng. Geotech. Eng. 2007, 160, 43–49. [Google Scholar] [CrossRef][Green Version]
- Long, J. Static Pile Load Tests on Driven Piles into Intermediate Geomaterials Final Report WHRP 0092-12-08; Wisconsin Department of Transportation: Madison, WI, USA, 2016.
- Mayne; Harris. Design for Axial Capacity in Cohesive IGM and Jointed Rock; Analysis and Design of Deep Foundations: New York, NY, USA, 1993; pp. 345–362. [Google Scholar]
- Mcvay, M.; Townsend, F.; Williams, R. Design of socketed Drilled shafts in limestone. J. Geotech. Eng. 1992, 118, 1626–1637. [Google Scholar] [CrossRef]
- Middendorp, P.; Ginneken, G.V.; Foeken, R.V. The advantages and disadvantages of dynamic load testing and Statnamic load testing. In Proceedings of the 6th International Conference on the Application of Stress Wave Theory to Piles, Sao Paulo, Brazil, 11–13 September 2020; Niyama, S., Beim, J., Eds.; A.A. Balkema: Rotterdam, The Netherlands, 2000; pp. 625–632. [Google Scholar]
- Nafis, B.M.; Tyler, J.; Shaun, S.W. Driven Piles in Fine Grained Soil-Based Intermediate Geomaterials; ASCE: Reston, VA, USA, 2022; Volume 27. [Google Scholar]
- Ng, C.W.; Yau, T.L.; Li, J.H.; Tang, W.H. Side resistance of large diameter bored piles socketed into decomposed rocks. J. Geotech. Geoenviron. Eng. 2001, 127, 642–657. [Google Scholar] [CrossRef]
- Ng, K.; Nafis, M.; Oluwatuyi, O.; Wulff, S. Development of LRFD Recommendations of Driven Piles on Intermediate Geomaterials; Mountain-Plains Consortium, North Dakota State University, US DOT: Fargo, ND, USA, 2022. [Google Scholar]
- Noor, S.; Islam, S.; Mumtarin, M.; Chakraborty, N. Dynamic load test of full-scale pile for the construction and rehabilitation of bridges. IOP Conf. Ser. Mater. Sci. Eng. 2019, 513, 012017. [Google Scholar] [CrossRef]
- O’Neill, M.W.; Hassan, K.M. Perimeter load transfer in drilled shafts in the Eagle Ford formation. In Design and Performance of Deep Foundations: Piles and Piers in Soil and Soft Rock; ASCE: Reston, VA, USA, 1993; pp. 229–244. [Google Scholar]
- O’Neill, M.; Hassan, K. Drilled shafts: Effects of construction on performance and design criteria. In Proceedings of the International Conference on Design and Construction of Deep Foundations, Orlando, FL, USA, 6–8 December 1994; pp. 137–187. [Google Scholar]
- O’Neill, M.; Townsend, F.; Hassan, K.; Buller, A.; Chan, P. Load Transfer for Drilled Shafts in Intermediate Geomaterials; No. FHWA-RD-95-172; Federal Highway Administration: Washington, DC, USA, 1996.
- O’Neill, M.W.; Reese, L.C. Drilled Shafts: Construction Procedures and Design Methods; Final Report No. FHWA-IF-99-025; U.S. Department of Transportation: Washington, DC, USA, 1999.
- O’Neill, M.W. Side Resistance in Piles and Drilled Shafts. J. Geotech. Geo-Environ. Eng. 2001, 127, 3–16. [Google Scholar] [CrossRef]
- Osman, M.A.; Ahmed, E.M.A.; Ahmed, O.B.E.M. Comparison between dynamic and static pile load testing. Electron. J. Geotech. Eng. 2013, 18, 3615–3624. [Google Scholar]
- Paikowsky, S.G. Load and Resistance Factor Design (LRFD) for Deep Foundations with Contributions by Birgission G., McVay M., Nguyen T., Kuo C., Baecher G., Ayyub B., Stenerson K., O’Mally K., Chernauskas L., and O’Neill M.; NCHRP Report 507. National Cooperative Highway Research Program Report for Project NCHRP. 2004. Available online: https://libraryarchives.metro.net/dpgtl/nchrp/nchrp-annual-report/2004-nchrp-annual-report.pdf (accessed on 23 August 2014).
- Paikowsky, S.G. Innovative Load Testing Systems; NCHRP Web-Only Document 84 (Project 21-08); Transportation Research Board of the National Academies: Washington, DC, USA, 2006. [Google Scholar]
- Papageorgiou, O. Soft Rocks. In Geotechnical Engineering of Hard Soils-Soft Rocks: Proceedings of an International Symposium for ISSMFE, IAEG and ISRM, Athens, Greece, 20–23 September 1993; A. A. Balkema: Athens, Greece, 1997. [Google Scholar]
- PLAXIS 3-D Prog, Version 2020. PLAXIS 3-D Manual. Available online: https://www.civil.iitb.ac.in/~ajuneja/Plaxis%20program/3D%20Foundation%20Introductory/Manuals/English/3DFV15-Tutorial.pdf (accessed on 23 August 2014).
- Pramila, A.D.; Shaun, S.W.; Kam, W.N.G. Static and Economic Analyses of Driven Steel H-piles in IGM Using the Wyopile Database; ASCE: Reston, VA, USA, 2020; Volume 25. [Google Scholar]
- Tomlinson, M.J. Pile Design and Construction Practice, 4th ed.; E & FN Spon: London, UK, 1994. [Google Scholar]
- Tomlinson, M.J. Foundation Design and Construction, 7th ed.; Pearson Education Ltd.: Edinburgh, UK, 2001. [Google Scholar]
- Rausche, F.; Likins, G.E.; Liang, L.; Hussein, M.H. Static and Dynamic Models for CAPWAP Signal Matching; The Art of Foundation Engineering Practice, Geotechnical Special Publication No. 198; ASCE: Reston, VA, USA, 2010; pp. 534–553. [Google Scholar]
- Rowe, R.K.; Armitage, H.H. A Design Method for Drilled Piers in Soft Rock. Can. Geotech. J. 1987, 24, 126–142. [Google Scholar] [CrossRef]
- Vesic, A.S. Design of Pile Foundations, NCHRP Synthesis 42; Transportation Research Board, National Research Council: Washington, DC, USA, 1977; 68p. [Google Scholar]
- Williams, A.F.; Johnston, I.W.; Donald, I.B. The design of socketed piles in weak rock. In Golden Jubilee of the International Society for Soil Mechanics and Foundation Engineering Commemorative Volume 1; Institution of Engineers: Canberra, Australia, 1980. [Google Scholar]
- Wu, B.; Marsden, J.R.; Hudson, J.A. Undrained Mechanical Behavior of Mudstone. In The Engineering Geology of Weak Rock: Proceedings of the 26th Annual Conference of the Engineering Group Geological Society, Leeds, UK, 9–13 September 1990; A. A. Balkema: Athens, Greece, 1993; pp. 87–94. [Google Scholar]
- Xu, J.; Dai, G.; Gong, W.; Zhang, Q.; Haque, A.; Gamage, R.P. A review of research on the shaft resistance of rock-socketed piles. Acta Geotech. 2021, 16, 653–677. [Google Scholar] [CrossRef]
- Shah, P.V.; Thaker, K.K. Evaluation of WSM, LRFD, and FE Methods for Pile Capacity Calculation with Pile Load Test for IGM. In Proceedings of the Indian Geotechnical Conference 2019: IGC-2019 Volume I; Springer Nature: Singapore, 2019; pp. 335–347. [Google Scholar]
- Randolph, M.F. Science and empiricism in pile foundation design. Geotechnique 2003, 53, 847–875. [Google Scholar] [CrossRef]
- Lin, S.-S.; Chang, Y.-H. Effects of Toe Grouting on Axial Performance of Drilled Shafts Socket in Intermediate Geomaterial. Geotech. Eng. J. SEAGS AGSSEA 2015, 46, 87–93. [Google Scholar]
- Schmidt, H.H.; Rumpelt, T.K. Pile Load Capacity in Pre-consolidated Keuper Marls of Southwest Germany. In Geotechnical Engineering of Hard Soils Soft Rocks: Proceedings of an International Symposium for ISSMFE, IAEG and ISRM, Athens, Greece, 20–23 September 1993; A. A. Balkema: Athens, Greece, 1993; pp. 1021–1028. [Google Scholar]
- Seidel, J.P.; Haberfield, C.M. The Axial Capacity of Pile Sockets in Rocks and Hard Soils. Ground Eng. 1995, 5, 33–38. [Google Scholar]
- Svinkin, M.R. Engineering aspects in evaluation of pile capacity by dynamic testing. In Proceedings of the Structures Congress, Las Vegas, NV, USA, 14–16 April 2011; pp. 1686–1697. [Google Scholar]
- Spink, T.W.; Norbury, D.R. The Engineering Geological Description of Weak Rocks and Over-consolidated Soils. In The Engineering Geology of Weak Rock: Proceedings of the 26th Annual Conference of the Engineering Group Geological Society, Leeds, UK, 9–13 September 1990; A. A. Balkema: Athens, Greece, 1993; pp. 289–301. [Google Scholar]
- Lobo-Guerrero, S.; Vallejo, L.E. DEM analysis of crushing around driven piles in granular materials. Géotechnique 2005, 55, 617–623. [Google Scholar] [CrossRef]
- Peng, S.Y.; Ng, C.W.W.; Zheng, G. The dilatant behavior of sand–pile interface subjected to loading and stress relief. Acta Geotech. 2014, 9, 425–437. [Google Scholar] [CrossRef]
- Brown, S.R.; Scholz, C.H. Broad bandwidth study of the topography of natural rock surface. J. Geophys. Res. 1985, 90, 12575–12582. [Google Scholar] [CrossRef]
- Pan, W.; Li, X.; Wang, L.; Guo, N.; Mu, J. A normal contact stiffness fractal prediction model of dry-friction rough surface and experimental verification. Eur. J. Mech. A Solids 2017, 66, 94–102. [Google Scholar] [CrossRef]
- Latapie, B.; Albelda, R.A.; Abou Samra, M.; Alzaylaie, M.; Sumputh, J. A review of piling industry practices in Dubai, UAE: Proposed UCS-based correlations. Geotech. Res. 2019, 6, 103–129. [Google Scholar] [CrossRef]
- Hadi, A. Effect of Changes of Mesh Size on the Numerical Analysis of Reinforced Soil Walls. Aust. J. Basic Appl. Sci. 2011, 5, 1693–1696. [Google Scholar]


























| Diameter (mm) | Pile Length (m) | Reinforced Length (m) | Non-Reinforced Length (m) | Pile Design Capacity (MN) | Compressive Strength (MPa) | Pile Structural Capacity (MN) |
|---|---|---|---|---|---|---|
| 1200 | 50.0 | 35.0 | 15.0 | 10.0 | 40.0 | 11.30 |
| 800 | 40.0 | 30.0 | 10.0 | 3.5 | 40.0 | 5.03 |
| Loading Type | Loading | Unloading | ||||||||||
|---|---|---|---|---|---|---|---|---|---|---|---|---|
| Load Percentage | 25% | 50% | 75% | 100% | 125% | 150% | 125% | 100% | 75% | 50% | 25% | 0% |
| Time (Min.) | 60 | 60 | 60 | 180 | 180 | 720 | 15 | 15 | 15 | 15 | 15 | 240 |
| Loading Type | Loading | Unloading | |||||||||||||
|---|---|---|---|---|---|---|---|---|---|---|---|---|---|---|---|
| Load Percentage | 25% | 50% | 75% | 100% | 125% | 150% | 175% | 200% | 175% | 125% | 100% | 75% | 50% | 25% | 0% |
| Time (Min.) | 60 | 60 | 60 | 180 | 180 | 360 | 180 | 720 | 15 | 15 | 15 | 15 | 15 | 15 | 240 |
| Pile Code | Settle. From Static Test (mm) | Settle. From Dynamic Test (mm) | Dynamic Settle. Percentage (%) |
|---|---|---|---|
| 0NTS-D | 11.20 | 1.86 | 16.70 |
| 4NTS-D | 11.43 | 2.76 | 24.15 |
| 7NTS-D | 9.40 | 2.70 | 28.72 |
| 8NTS-D | 12.42 | 2.10 | 17.00 |
| 0NES-D | 6.35 | 1.20 | 18.90 |
| 5NES-D | 6.51 | 1.10 | 15.36 |
| 7NES-D | 6.20 | 1.00 | 16.12 |
| Pile Code | CAPWAP Capacity (MN) | Load Transfer by Friction (MN) | Load Transfer by Bearing (MN) | Friction/Total Capacity (%) | Settle. At Top (mm) | Settle. At Tip (mm) |
|---|---|---|---|---|---|---|
| 0NTS-D | 15.09 | 12.17 | 2.91 | 81 | 2.50 | 0.71 |
| 4NTS-D | 21.00 | 17.46 | 3.53 | 83 | 2.76 | 0.24 |
| 5NTS-D | 20.80 | 18.00 | 2.80 | 87 | 3.25 | 0.61 |
| 6NTS-D | 30.66 | 29.33 | 1.33 | 96 | 3.50 | 0.25 |
| 7WTD-1 | 16.13 | 15.03 | 1.10 | 93 | 2.70 | 0.21 |
| 8NTS-D | 19.24 | 18.83 | 0.41 | 98 | 2.10 | 0.19 |
| 0NES-D | 8.00 | 7.05 | 0.94 | 88 | 3.0 | 0.45 |
| 5NES-D | 6.81 | 6.03 | 0.78 | 88 | 1.2 | 0.19 |
| 6NED | 9.15 | 8.82 | 0.33 | 96 | 2.1 | 0.12 |
| 7WED | 6.90 | 6.13 | 0.77 | 89 | 1.0 | 0.17 |
| 8NED | 9.73 | 8.58 | 1.15 | 88 | 2.0 | 0.30 |
| Parameter | GM, Silty Gravel | SM, Silty Sand | Argillaceous Limestone | ML, Silt | Marl | CL, Lean Clay | CH, Fat Clay | GC, Clayey Gravel |
|---|---|---|---|---|---|---|---|---|
| Bulk Unit Weight, γ (kN/m3) | 18.5 | 18.0 | 19.0 | 18.5 | 19.0 | 19.0 | 19.0 | 18.5 |
| Friction Angle, ϕ (deg.) | 34 | 33 | 30 | 32 | 30 | --- | --- | 33 |
| Secant Modulus, MPa) | 50 | 40 | 120 | 45 | 40 | 20 | 15 | 40 |
| Unload/Reload Modulus, (MPa) | 100 | 80 | 240 | 90 | 80 | 40 | 30 | 80 |
| Oedometer Modulus, (MPa) | 35 | 28 | 85 | 32 | 28 | 15 | 13 | 28 |
| Cohesion, C’ ref. (kPa) | --- | 50 | 150 | 100 | 200 | 80 | 50 | 100 |
| Dilatancy, ψ (deg.) | 4 | 3 | 0 | 2 | 0 | --- | --- | 3 |
| Parameter | GM, Silty Gravel | SM, Silty Sand | Argillaceous Limestone | ML, Silt | Marl | CL, Lean Clay | CH, Fat Clay | GC, Clayey Gravel |
|---|---|---|---|---|---|---|---|---|
| Bulk Unit Weight, γ (kN/m3) | 18.5 | 18.0 | 19.0 | 18.5 | 19.0 | 19.0 | 19.0 | 18.5 |
| Friction Angle, ϕ (deg.) | 34 | 33 | 30 | 32 | 30 | --- | --- | 33 |
| Deformation Modulus, Es (MPa) | 50 | 40 | 120 | 45 | 40 | 20 | 15 | 40 |
| Cohesion, c’ ref. (kPa) | --- | 50 | 150 | 100 | 200 | 80 | 50 | 100 |
| Dilatancy, ψ (deg.) | 4 | 3 | 0 | 2 | 0 | --- | --- | 3 |
| Pile | AASHTO | FE Models and Davisson’s Method | |||||||||
|---|---|---|---|---|---|---|---|---|---|---|---|
| D (mm) | L (m) | φqs, φqp (0.60 and 0.55) | Proposed φqs, φqp (0.70 and 0.65) | Ultimate | |||||||
| Design Capacity (MN) | Settle. (mm) | Design Capacity (MN) | Settle. (mm) | Load (MN) | Related Settle. (mm) and (% from Dia.) | Ult. Load (MN) | Related Settle. (mm) and (% from Dia.) | ||||
| 600 | 20 | 0.65 | 0.6 | 0.75 | 0.7 | 1 | 0.9 | 0.15 | 6.9 | 26.5 | 4.4 |
| 25 | 1.00 | 0.7 | 1.15 | 0.8 | 1.9 | 1.5 | 0.25 | 7.7 | 33.2 | 5.5 | |
| 30 | 1.40 | 1.0 | 1.61 | 1.1 | 2.6 | 2.1 | 0.35 | 8.6 | 42.0 | 7.0 | |
| 800 | 30 | 1.90 | 1.0 | 2.19 | 1.2 | 3.5 | 1.6 | 0.2 | 12.5 | 37.5 | 4.7 |
| 35 | 2.65 | 1.2 | 3.05 | 1.3 | 4.9 | 2.3 | 0.30 | 14.7 | 47.5 | 5.9 | |
| 40 | 3.50 | 1.5 | 4.00 | 1.7 | 6.4 | 3.8 | 0.80 | 20.5 | 69 | 8.6 | |
| 1000 | 40 | 5.70 | 4.0 | 6.50 | 4.4 | 10 | 8.3 | 0.83 | 23 | 54 | 5.4 |
| 45 | 6.60 | 4.5 | 7.60 | 5.1 | 11.7 | 10.2 | 1.02 | 27 | 68 | 6.8 | |
| 50 | 7.50 | 5.4 | 8.60 | 6.1 | 13.3 | 12.0 | 1.20 | 35 | 92 | 9.2 | |
| 1200 | 40 | 7.00 | 3.2 | 8.05 | 3.4 | 12.6 | 4.6 | 0.40 | 41 | 66 | 5.5 |
| 45 | 8.50 | 3.8 | 9.80 | 4.0 | 15.3 | 7.3 | 0.61 | 59 | 98 | 8.2 | |
| 50 | 10.00 | 4.4 | 11.50 | 4.8 | 18.1 | 9.4 | 0.80 | 65 | 117 | 9.8 | |
| 1500 | 40 | 11.00 | 2.1 | 12.65 | 2.4 | 20 | 3.9 | 0.26 | 89 | 89 | 5.9 |
| 45 | 13.00 | 2.5 | 14.95 | 2.8 | 23 | 4.4 | 0.3 | 109 | 106 | 7.1 | |
| 50 | 15.00 | 3.1 | 17.25 | 3.4 | 27.5 | 5.2 | 0.35 | 127 | 127 | 8.5 | |
| 2000 | 40 | 18.00 | 2.3 | 20.70 | 2.6 | 33.7 | 4.2 | 0.21 | 113 | 73 | 3.7 |
| 45 | 21.00 | 2.7 | 24.15 | 3.0 | 37.7 | 5.1 | 0.26 | 130 | 88 | 4.4 | |
| 50 | 24.00 | 3.2 | 27.60 | 3.5 | 43.2 | 5.8 | 0.29 | 153 | 108 | 5.4 | |
Disclaimer/Publisher’s Note: The statements, opinions and data contained in all publications are solely those of the individual author(s) and contributor(s) and not of MDPI and/or the editor(s). MDPI and/or the editor(s) disclaim responsibility for any injury to people or property resulting from any ideas, methods, instructions or products referred to in the content. |
© 2024 by the authors. Licensee MDPI, Basel, Switzerland. This article is an open access article distributed under the terms and conditions of the Creative Commons Attribution (CC BY) license (https://creativecommons.org/licenses/by/4.0/).
Share and Cite
Elsakhawy, N.; Ibrahim, E.; Elzahaby, K.M.; Nabil, M. New Design Criteria for Long, Large-Diameter Bored Piles in Near-Shore Interbedded Geomaterials: Insights from Static and Dynamic Test Analysis. Buildings 2024, 14, 2268. https://doi.org/10.3390/buildings14082268
Elsakhawy N, Ibrahim E, Elzahaby KM, Nabil M. New Design Criteria for Long, Large-Diameter Bored Piles in Near-Shore Interbedded Geomaterials: Insights from Static and Dynamic Test Analysis. Buildings. 2024; 14(8):2268. https://doi.org/10.3390/buildings14082268
Chicago/Turabian StyleElsakhawy, Nagwa, Eslam Ibrahim, Khalid M. Elzahaby, and Marwa Nabil. 2024. "New Design Criteria for Long, Large-Diameter Bored Piles in Near-Shore Interbedded Geomaterials: Insights from Static and Dynamic Test Analysis" Buildings 14, no. 8: 2268. https://doi.org/10.3390/buildings14082268
APA StyleElsakhawy, N., Ibrahim, E., Elzahaby, K. M., & Nabil, M. (2024). New Design Criteria for Long, Large-Diameter Bored Piles in Near-Shore Interbedded Geomaterials: Insights from Static and Dynamic Test Analysis. Buildings, 14(8), 2268. https://doi.org/10.3390/buildings14082268
