Research on Relative Humidity and Energy Savings for Air-Conditioned Spaces without Humidity Control When Adopting Air-to-Air Total Heat Exchangers in Winter
Abstract
1. Introduction
2. Methods
2.1. Calculation Method for Total Heat Recovery in Winter
2.1.1. Total Heat Exchange Effectiveness
2.1.2. Indoor Humidity Balance Equation
2.1.3. Outdoor Air Heating Load and Heat Recovery Calculation
2.2. A Calculation Model for Total Heat Recovery in Air Conditioning Systems
- (1)
- The desired indoor temperature in winter was 20 °C, and the relative humidity was not separately controlled. The room area, volume, occupant density, and desired outdoor air volume are shown in Table 1.
- (2)
- The indoor latent heat source mainly refers to the moisture from the breath and skin evaporation of occupants. At the desired indoor temperature, the per capita humidity gains, dp, of air-conditioned spaces such as offices, classrooms, and businesses are 69 g/(h·person), 38 g/(h·person), and 134 g/(h·person), respectively [36]. Before operating an air conditioning system, there should be no people indoors, i.e., there should be no latent heat load.
- (3)
- The outdoor air parameters were selected according to the typical meteorological year (TMY) parameters of Ningbo City [32]. During the heating period of air conditioning systems, a total of six typical days, namely December 6th, December 21st, January 5th, January 20th, February 4th, and February 19th, were selected for this research. The fitting formula for the instantaneous variation of outdoor air humidity ratio dw (t) from 1:00 to 24:00 is shown in Table 2.
- (4)
- (5)
3. Results and Discussion
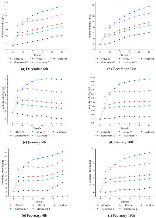
3.1. Calculation of the Indoor Relative Humidity
3.2. Calculation of Heat Recovery Efficiency
3.3. Heat Recovery Calculation
- (1)
- Based on the calculation of the moisture transfer mechanism and dynamic heat recovery efficiency of the plate heat recovery equipment, special attention was paid to the influence of the change in the indoor air state on the equipment, so as to more accurately evaluate the dynamic characteristics of the absolute humidity ratio exchange effectiveness.
- (2)
- With the help of MATLAB software, the complex coupling effect between indoor air parameters and absolute humidity ratio exchange effectiveness was systematically considered, which provides an effective numerical analysis method for the optimization calculation of heat recovery efficiency.
- (3)
- An accurate calculation method of the indoor air state when a total heat exchange device is installed was proposed, which provides a scientific basis for the determination of indoor thermal and humidity environmental parameters in air-conditioned rooms.
- (4)
- The internal relationship between total heat recovery and effective heat recovery was explained and a corresponding mathematical model was established, which provides more accurate theoretical support and a practical reference for energy-saving calculations.
4. Conclusions
- (1)
- The humidity ratio and relative humidity of the air in offices and classrooms generally reach a quasi-steady state equilibrium within 1~3 h of the operation of the total heat exchanger. Under the calculated six typical daily working conditions, the relative indoor humidity is generally maintained above 30% when the total heat exchanger is used. Under the calculated working conditions, the relative humidity of the rooms with a large per capita humidity gain, such as spaces in commercial buildings, can rapidly increase to more than 60% or can even reach saturation. On the other hand, latent heat recovery is not conducive to hot and humid indoor environments and energy saving, and it is not suitable to use total heat recovery.
- (2)
- Relative indoor humidity depends on the absolute humidity ratio exchange effectiveness of heat recovery, the indoor and outdoor humidity difference, and the room humidity gain. According to the room humidity balance equation and the relative humidity limit, the required per capita outdoor air rate can be determined, which can be compared with the recommended value of the specification and used as the basis for judging the suitability of the total heat recovery technology.
- (3)
- The effective heat recovery amount of a total heat exchanger cannot be calculated as the total heat recovery amount. Under the calculation conditions, the effective heat recovery rate of the total heat exchanger is between 46% and 100%, which depends on the indoor and outdoor air temperature difference, the humidity difference, and the relative humidity value. For working conditions or areas with high outdoor temperatures and humidity, the effective heat recovery amount and total heat recovery amount of total heat exchangers differ greatly in winter, which should be taken into account in the suitability analysis of total heat exchangers.
- (4)
- Compared to rooms with general outdoor air systems in winter, there is a coupling relationship between relative indoor air humidity and absolute humidity ratio exchange effectiveness when utilizing total heat exchangers. The calculation method provided in this paper can accurately calculate the indoor air state and effective heat recovery amount with total heat recovery and improve the accuracy of the suitability evaluation of total heat recovery.
- (5)
- The calculation results are based on the calculation conditions. In view of the differences in the actual occupant density, hourly occupancy rate of individuals, per capita humidity gain, and other factors in different buildings, the above parameters should be determined by analyzing the indoor humidity and the heat recovery of specific buildings.
Author Contributions
Funding
Data Availability Statement
Conflicts of Interest
Nomenclature
| Variables | |
| ηh | Total exchange effectiveness, % |
| hw | Enthalpy of outdoor air, kJ/kg |
| hs | Enthalpy of supply air, kJ/kg |
| hn | Enthalpy of exhaust air, kJ/kg |
| ηt | Sensible exchange effectiveness, % |
| ηd | Absolute humidity ratio exchange effectiveness, % |
| dw | Humidity ratio of outdoor air, g/kg |
| ds | Humidity ratio of supply air, g/kg |
| dn | Humidity ratio of exhaust air, g/kg |
| tw | Temperature of outdoor air, °C |
| tn | Temperature of exhaust air, °C |
| NTUD | Number of mass transfer units of total Heat exchanger |
| kd | Total mass transfer coefficient, kg/(m2·s) |
| F1 | Primary heat transfer area of the total Heat exchanger, m2 |
| gf | Mass flow rate, kg/s |
| αd | Convective mass transfer coefficient, kg/(m2·s) |
| δp | Thickness of the wet exchange film, m |
| Dwn | Mass diffusion coefficient, kg/(m·s) |
| C | Calculated value corresponding to the adsorption type of the wet exchange film |
| φ1 | Relative humidity of outdoor air, % |
| φ2 | Relative humidity of indoor air, % |
| T | Average indoor and outdoor temperature, K |
| ωmax | Maximum water capacity of the film, kg/kg |
| dsa | Humidity ratio of saturated air, g/kg |
| ρ | Air density, kg/m3 |
| L | Room ventilation rate, m3/h |
| d (t) | Humidity gain, g/h |
| n1 | Number of people in the room |
| q | Per capita outdoor air volume, m3/(h·person) |
| dp (t) | Per capita humidity gain, g/(h·person) |
| V | Volume of the room, m3 |
| t | Time, h |
| n2 | Air change rate of the room, times per hour |
| q0 | Outdoor air heating load, kw |
| Cp | Specific heat at constant air pressure, J/(kg∙K) |
| to | Dry-bulb temperature of the final state of outdoor air treatment, °C |
| ho | Specific enthalpy of the final state of outdoor air treatment, kJ/kg |
| qh | Recovered energy of the total heat exchanger, kw |
| hs | Specific enthalpy of supply air of the total heat exchanger, kJ/kg |
| qsh | Outdoor air heating load after heat and humidity exchange, kw |
| ho’ | Final specific enthalpy of outdoor air treatment, kJ/kg |
| Qi | Total heat recovery centered on the hour of i |
| ΔQi | Effective heat recovery centered on the hour of i |
References
- GB55015-2021; Ministry of Housing and Urban-Rural Development of the People’s Republic of China. General Code for Energy Efficiency and Renewable Energy Application in Buildings. China Architecture & Building Press: Beijing, China, 2021; pp. 2–73.
- Wang, F.; Lee, M.; Chang, T.; Chen, Y.; Jung, R. Improving Indoor Air Quality and Thermal Comfort by Total Heat Exchanger for an Office Building in Hot and Humid Climate. HVACR Res. 2014, 20, 731–737. [Google Scholar] [CrossRef]
- Jeon, B.-H.; Yang, S.-K.; Ahn, Y.-C.; Kang, Y.-H. Policies and Energy Efficiency of Heat Recovery Ventilators in South Korea. Energies 2023, 16, 7539. [Google Scholar] [CrossRef]
- Men, Y.; Xiao, H.; Zhang, T. Experimental and Numerical Analysis on Heat and Moisture Recovery Performance of Enthalpy Wheel with Condensation. Energy Convers. Manag. 2021, 246, 114683. [Google Scholar] [CrossRef]
- Fan, H.; Chen, L. Analysis of Heat and Mass Exchange Performance of Enthalpy Recovery Wheel. In Proceedings of the 11th International Symposium on Heating, Ventilation and Air Conditioning (ISHVAC 2019), Harbin, China, 12–15 July 2019; Springer: Singapore, 2020. [Google Scholar]
- Liu, P.; Justo Alonso, M.; Mathisen, H. Global Sensitivity Analysis and Optimal Design of Heat Recovery Ventilation for Zero Emission Buildings. Appl. Energy 2023, 329, 120237. [Google Scholar] [CrossRef]
- Di, Y.; Di, H.; Zhao, C.; Lu, Z.; Li, X.; Leng, J. An Experimental Study on Heat Recovery Performances of Three-Dimensional Heat Pipes in Air-Conditioning Systems. Buildings 2024, 14, 355. [Google Scholar] [CrossRef]
- Zender-Świercz, E. A Review of Heat Recovery in Ventilation. Energies 2021, 14, 1759. [Google Scholar] [CrossRef]
- Lu, Y.; Xu, W.; Sun, D.; Wang, S. Research on Calculation Method of Thermal Load of Outdoor Air for Passive Residential Building with Ultra-low Energy Consumption. Build. Sci. 2015, 31, 80–85. [Google Scholar]
- Wei, D.; Tian, J.; Hao, C.; Tian, S.; Liu, S. Study on Fresh Air System for Nearly Zero Energy Residential Buildings in Severe Cold and Cold Regions. Build. Sci. 2019, 35, 102–108. [Google Scholar]
- Cheng, S.; Wu, Z.; Qin, M. Study on Energy Saving Performance of Heat-Recovery-Ventilation System in Residential Buildings of Hot-Summer and Cold-Winter Areas in China in Summer. Build. Sci. 2018, 34, 25–31. [Google Scholar]
- Duan, F. Performance of Exhaust Heat Recovery in Residential Building at Night. J. Cent. South Univ. (Sci. Technol.) 2015, 46, 1110–1117. [Google Scholar]
- Zhou, Y.; Wu, J.; Wang, R. Performance Comparison of Energy Recovery Ventilator with Different Indoor and Outdoor Air Parameters. Acta Energiae Solaris Sin. 2008, 29, 198–203. [Google Scholar]
- Wang, Q.; Liu, J.; Zhong, S.; Wang, X. Energy Saving Analysis of Exhaust Heat Recovery Technology in Beijing Library. Cryog. Refrig. 2022, 51, 55–59. [Google Scholar]
- Yang, C.; Chen, D. Economic Analysis on Heat Recovery Systems from Exhauster Air. J. Hunan Univ. (Nat. Sci.) 2009, 36, 103–108. [Google Scholar]
- Chen, J.; Hong, S.; Han, K. Experimental Study on the Performance of Graphene Plate-Fin Total Heat Exchanger. Fluid Mach. 2023, 51, 1–8. [Google Scholar]
- Zhang, C. The Experimental Study on the Performance of Plate-Fin Enthalpy Exchanger Cores; Shanghai Jiaotong University: Shanghai, China, 2017. [Google Scholar]
- Gao, A.; Yang, Y.; Jia, C.; Cui, J.; Wang, B.; Yan, Y. Polyethylene/Poly (N,N-Dimethyl Acrylamide) Hybrid Hydrogel Membrane for Total Heat Exchanger. Chem. Eng. J. 2023, 470, 143954. [Google Scholar] [CrossRef]
- Cho, H.-J.; Cheon, S.-Y.; Jeong, J.-W. Energy Saving Potential of Latent Heat Exchanger-Integrated Dual Core Energy Recovery Ventilator. Appl. Therm. Eng. 2023, 231, 120989. [Google Scholar] [CrossRef]
- Men, Y.; Liang, C.; Li, Z.; Tong, X. Configuration Optimization of a Membrane-Based Total Heat Exchanger with Cross-Corrugated Triangular Ducts Considering Thermal Economy and Entropy Generation. Case Stud. Therm. Eng. 2021, 28, 101446. [Google Scholar] [CrossRef]
- Sabek, S.; Tiss, F.; Chouikh, R.; Guizani, A. Experimental Investigation and Numerical Validation of Total Heat Exchanger and Membrane Phenomena. Energy Build. 2016, 133, 131–140. [Google Scholar] [CrossRef]
- Shen, Z.; Zhu, J.; Min, J. Airflow Maldistribution Effects on Membrane-Type Total Heat Exchanger Performance. J. Enhanc. Heat Transf. 2021, 28, 83–97. [Google Scholar] [CrossRef]
- Shen, Z.; Min, J.; Duan, J. Numerical Study on Influence of Supply Inlet Air Parameter Distribution on a Membrane-type Total Heat Exchangers. J. Tsinghua Univ. (Sci. Technol.) 2020, 60, 958–966. [Google Scholar]
- Kim, W.S. Design Optimization of Cross-Counter Flow Compact Heat Exchanger for Energy Recovery Ventilator. Int. J. Air-Cond. Ref. 2022, 30, 16. [Google Scholar] [CrossRef]
- Feng, T.; Qian, Y.; Liu, F.; Yao, Y.; Xiao, L.; Wang, L. Research of Heat Recovery Energy for New Air Ventilator in Non-Standard Operating Conditions. Build. Sci. 2018, 34, 59–64. [Google Scholar]
- Wang, Z. Performance Study of Membrane-Based Air to Air Enthalpy Exchanger. Master’s Thesis, Tongji University, Shanghai, Chian, 2006. [Google Scholar]
- Zhong, K.; Kang, Y.; Huang, P. Experimental Study on the Efficiency of Cross Flow Heat Recovery Ventilators. HVAC 2007, 37, 62–67. [Google Scholar]
- Zhong, K.; Kang, Y. Effects of Outdoor Climate on the Efficiency of Air-To-Air Total Heat Exchanger. HVAC 2009, 39, 57–61. [Google Scholar]
- Zhang, L.; Niu, J. Energy Requirements for Conditioning Fresh Air and The Long-Term Savings with a Membrane-Based Energy Recovery Ventilator in Hong Kong. Energy 2001, 26, 119–135. [Google Scholar] [CrossRef]
- Wang, S.; Yuan, Y.; Sun, L.; Cao, X. Dynamic Analysis of Exhaust Air Total-Heat Recovery of Air Conditioning System in Summer Condition of Chengdu Using TRNSYS Simulation. HVAC 2016, 46, 128–132. [Google Scholar]
- Zhang, Y.; Liu, Y.; Zhang, X. Analysis on Energy Saving Calculation of Exhaust Air Heat Recovery. HVAC 2015, 45, 12–15. [Google Scholar]
- JGJ/T346-2014; China Academy of Building Research. Standard for Weather Data of Building Energy Efficiency. China Architecture & Building Press: Beijing, China, 2015; p. 9.
- Shen, W.; Jiang, Z.; Tong, J. Engineering Thermodynamics, 3rd ed.; High Education Press: Beijing, China, 2001; p. 427. [Google Scholar]
- GB/T18883-2022; National Health Commission of the People’s Republic of China. Standard for Indoor Air Quality. Standards Press of China: Beijing, China, 2022; p. 2.
- DB33/1036-2021; Zhejiang University Architectural Design and Research Institute Co., Ltd. Design Standard for Energy Efficiency of Public Buildings. China Building Materials Press: Beijing, China, 2021; pp. 29–32.
- Lu, Y. Practical Heating and Air Conditioning Design Manual, 2nd ed.; China Architecture & Building Press: Beijing, China, 2008; p. 1548. [Google Scholar]
- Smith, K.M.; Svendsen, S. The Effect of a Rotary Heat Exchanger in Room-Based Ventilation on Indoor Humidity in Existing Apartments in Temperate Climates. Energy Build. 2016, 116, 349–361. [Google Scholar] [CrossRef]
- Cho, K.; Cho, D.; Kim, T. Effect of Bypass Control and Room Control Modes on Fan Energy Savings in a Heat Recovery Ventilation System. Energies 2020, 13, 1815. [Google Scholar] [CrossRef]
- DBJ33/T 1288-2022; Zhejiang University Architectural Design and Research Institute Co., Ltd. Technical Specification for Energy-Saving Assessment of Civil Buildings. China Building Materials Press: Beijing, China, 2023; p. 217.
- Zhao, L.; Wang, H.; Wang, A.; Ge, Z. Influence of Air Conditioning System without Humidification on Indoor Air Parameters in Winter of Kunming Region. HAVC 2017, 47, 30–34. [Google Scholar]
- Zhao, L.; Wang, H.; Qin, J.; Ge, Z.; Han, J. Humidity Analysis of Air-Conditioned Rooms without Humidification in Winter. J. Civ. Archit. Environ. Eng. 2018, 40, 63–70. [Google Scholar]












| Functional Buildings | Occupant Density/(person/m2) | Number of People | Per Capita Outdoor Air Volume/[m3/(h·person)] | Room Area/m2 | Room Volume/m3 | Air Change Rate/(times/h) |
|---|---|---|---|---|---|---|
| office | 0.125 | 32 | 30 | 256 | 768 | 1.302 |
| classroom | 0.6 | 40 | 24 | 67 | 201 | 4.975 |
| commercial | 0.25 | 50 | 19 | 200 | 600 | 1.667 |
| Date | Fitting Formula |
|---|---|
| December 6th | dw(t) = −5.680 × 10−5t4 + 2.036 × 10−3t3 − 8.603 × 10−3t2 − 0.165t + 6.989, R2 = 0.91 |
| December 21st | dw(t) = −7.844 × 10−6t4 − 8.085×10−4t3 + 4.329 × 10−2t2 − 0.419t + 6.158, R2 = 0.98 |
| January 5th | dw(t) = −1.044 × 10−5t4+ 4.395×10−4t3 − 1.681 × 10−4t2 − 0.200t + 6.288, R2 = 0.98 |
| January 20th | dw(t) = 4.211 × 10−5t4- 2.134×10−3t3 + 3.639 × 10−2t2 − 0.186t + 3.487, R2 = 0.95 |
| February 4th | dw(t) = −8.057 × 10−5t4+ 3.606×10−3t3 − 4.975 × 10−2t2 + 0.278t + 0.962, R2 = 0.92 |
| February 19th | dw(t) = −1.356 × 10−5t4+ 2.909×10−4t3 + 4.766 × 10−3t2 − 0.088t + 4.400, R2 = 0.95 |
| l/m | h/m | r/m | δp/m | δf/m | a/m | b/m | λ/(w·m/K) | Dwn/(m2/s) | ωmax/(kg/kg) | C | αd/(kg·m−2·s) |
|---|---|---|---|---|---|---|---|---|---|---|---|
| 0.25 | 1.20 | 0.002 | 0.00006 | 0.0002 | 0.00023 | 0.00023 | 0.1 | 8.00 × 10−8 | 0.70 | 6.5 | 0.05 |
| Functional Rooms | Fitting Formula |
|---|---|
| Office | u(t) = −5611.99301 + 1884.30070t − 228.87238t2 + 12.11538t3 − 0.23601t4, R2 = 0.92 |
| Classroom | u(t) = −5611.99301 + 1884.30070t − 228.87238t2 + 12.11538t3 − 0.23601t4, R2 = 0.92 |
| Commercial | u(t) = −1845.35310 + 538.32067t − 55.55477t2 + 2.51037t3 − 0.04195t4, R2 = 0.97 |
Disclaimer/Publisher’s Note: The statements, opinions and data contained in all publications are solely those of the individual author(s) and contributor(s) and not of MDPI and/or the editor(s). MDPI and/or the editor(s) disclaim responsibility for any injury to people or property resulting from any ideas, methods, instructions or products referred to in the content. |
© 2024 by the authors. Licensee MDPI, Basel, Switzerland. This article is an open access article distributed under the terms and conditions of the Creative Commons Attribution (CC BY) license (https://creativecommons.org/licenses/by/4.0/).
Share and Cite
Dong, M.; Zhang, J.; Zhang, L.; Liu, L.; Zhang, X. Research on Relative Humidity and Energy Savings for Air-Conditioned Spaces without Humidity Control When Adopting Air-to-Air Total Heat Exchangers in Winter. Buildings 2024, 14, 969. https://doi.org/10.3390/buildings14040969
Dong M, Zhang J, Zhang L, Liu L, Zhang X. Research on Relative Humidity and Energy Savings for Air-Conditioned Spaces without Humidity Control When Adopting Air-to-Air Total Heat Exchangers in Winter. Buildings. 2024; 14(4):969. https://doi.org/10.3390/buildings14040969
Chicago/Turabian StyleDong, Ming, Jialiang Zhang, Liufeng Zhang, Lianbo Liu, and Xingqiang Zhang. 2024. "Research on Relative Humidity and Energy Savings for Air-Conditioned Spaces without Humidity Control When Adopting Air-to-Air Total Heat Exchangers in Winter" Buildings 14, no. 4: 969. https://doi.org/10.3390/buildings14040969
APA StyleDong, M., Zhang, J., Zhang, L., Liu, L., & Zhang, X. (2024). Research on Relative Humidity and Energy Savings for Air-Conditioned Spaces without Humidity Control When Adopting Air-to-Air Total Heat Exchangers in Winter. Buildings, 14(4), 969. https://doi.org/10.3390/buildings14040969
