Effect of Calcium Aluminate and Carbide Slag on Mechanical Property and Hydration Mechanism of Supersulfated Cement
Abstract
1. Introduction
2. Materials and Methods
2.1. Materials
2.2. Sample Preparation
2.3. Analytical Methods
2.3.1. Compressive Strength
2.3.2. Pore Structure Measurement
2.3.3. Hydration Heat
2.3.4. XRD
2.3.5. TGA
2.3.6. Thermodynamic Modeling
- A thermodynamic equilibrium exists between the precipitated hydration products and the pore water solution;
- According to the 5% (CA + CS) alkaline activators and 15% natural anhydrite, the active mineral components specified in Table 3 were designated as the input, while the quantitative results of the slag reaction percentage based on XRD-Rietveld-PONKCS refinement were used as input;
- The mass alteration of the hydration products was computed as a function of the hydration reaction time.
3. Results and Discussion
3.1. Compressive Strength
3.2. Microstructure Analysis
3.3. Heat Hydration
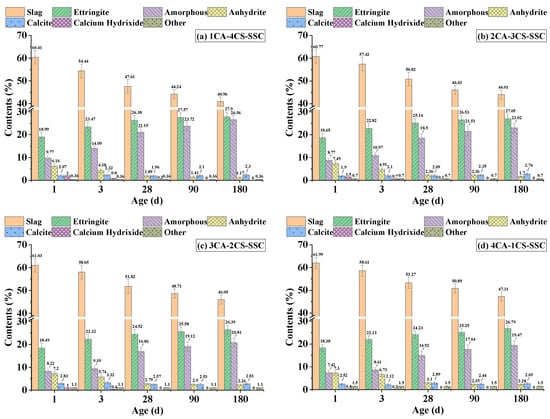
3.4. XRD
3.5. TGA
3.6. Thermodynamic Modeling
4. Conclusions and Future Prospects
4.1. Conclusions
- Amplifying the quantity of CA incorporated into the CA-CS-SSC system pastes fostered early ettringite formation within the matrix. Nevertheless, this concurrently procrastinated the slag hydration process. This delayed effect curtails the rate of amorphous gel formations, such as C-S-H and OH-hydrotalcite, thereby making filling the voids generated during ettringite formation difficult. Consequently, despite the augmentation of added CA, it did not significantly increase the early compressive strength of the CA-CS-SSC system mortars;
- The 1CA-4CS-SSC paste prepared with 1% CA and 4% CS as alkaline activators, rapidly generated a substantial quantity of ettringite in the initial hydration phases, partially owing to slag dissolution with anhydrite. Concurrently, an increased formation of amorphous gels, such as C-S-H and OH-hydrotalcite, occurred to fill the voids generated during ettringite formation, markedly augmenting both the early and late compressive strength;
- During the early stage of hydration in the CA-CS-SSC system pastes, CA1 and CA2 rapidly interacted with anhydrite, producing a significant quantity of ettringite. Simultaneously, the dissolution of calcium hydroxide and anhydrite underwent hydration reactions with small-particle slag, yielding hydration products such as ettringite, C-S-H, and OH-hydrotalcite. With the progression of hydration, the continual consumption of anhydrite led to a deceleration in ettringite formation, eventually rendering C-S-H as the primary hydration product within the CA-CS-SSC system pastes;
- The proportionate addition of CA to CS in the CA-CS-SSC system pastes had a relatively insubstantial impact on the early ettringite production. However, it wielded a more pronounced influence on creating amorphous hydration products, such as C-S-H and OH-hydrotalcite, in the CA-CS-SSC system pastes with a comparatively higher CA content. As the quantity of added CA decreased and the quantity of added CS increased in the CA-CS-SSC system pastes, the formation of C-S-H and OH-hydrotalcite gradually amplified, concurrently diminishing the porosity.
4.2. Future Prospects
- Conduct in-depth studies on the resistance to sulfate, chloride, and carbonation of SSC, which are crucial for improving the durability of the structures made from SSC. Through long-term exposure experiments under various environmental conditions, a better understanding of the chemical stability and physical properties of SSC can be achieved, thus providing a scientific basis for its application in specific environments;
- Optimize the mix design of SSC by altering its composition ratio (including blast-furnace slag, gypsum, and alkaline activators) to find the optimal material proportion that balances high performance and cost-effectiveness. The characteristics of materials from different sources should be considered, as well as how they affect the mechanical properties of SSC;
- Explore the use of various industrial solid waste materials as partial substitutes in SSC to increase the solid waste utilization rate, thereby further enhancing the environmental sustainability of SSC. Investigate the chemical and physical properties of these substitute materials, as well as how they influence the mechanical performance and durability of SSC.
Author Contributions
Funding
Data Availability Statement
Conflicts of Interest
References
- U.S. Geological Survey. Ineral Commodity Summaries 2023: U.S. Geological Survey 214. Available online: https://www.usgs.gov/publications/mineral-commodity-summaries-2023 (accessed on 31 January 2023).
- Hasanbeigi, A.; Price, L.; Lu, H.; Lan, W. Analysis of energy-efficiency opportunities for the cement industry in Shandong Province, China: A case study of 16 cement plants. Energy 2010, 35, 3461–3473. [Google Scholar] [CrossRef]
- Ali, M.B.; Saidur, R.; Hossain, M.S. A review on emission analysis in cement industries. Renew. Sustain. Energy Rev. 2011, 15, 2252–2261. [Google Scholar] [CrossRef]
- Barcelo, L.; Kline, J.; Walenta, G.; Gartner, E. Cement and carbon emissions. Mater. Struct. 2013, 47, 1055–1065. [Google Scholar] [CrossRef]
- Environment UN; Scrivener, K.L.; John, V.M.; Gartner, E.M. Eco-efficient Cements: Potential Economically Viable Solutions for a low-CO2 cement-based materials industry. Cem. Concr. Res. 2018, 114, 2–26. [Google Scholar] [CrossRef]
- Midgley, H.G.; Pettifer, K. The micro-structure of hydrated super sulphated cement. Cem. Concr. Res. 1971, 1, 101–104. [Google Scholar] [CrossRef]
- Mehrotta, V.P.; Sai, A.S.A.; Kapur, P.C. Plaster of Paris activated supersulfated slag cement. Cem. Concr. Res. 1982, 12, 463–473. [Google Scholar] [CrossRef]
- Gruskovnjak, A.; Lothenbach, B.; Winnefeld, F.; Münch, B.; Figi, R.; Ko, S.-C.; Adler, M.; Mäder, U. Quantification of hydration phases in supersulfated cements: Review and new approaches. Adv. Cem. Res. 2011, 23, 265–275. [Google Scholar] [CrossRef]
- Masoudi, R.; Hooton, R.D. Examining the hydration mechanism of supersulfated cements made with high and low-alumina slags. Cem. Concr. Compos. 2019, 103, 193–203. [Google Scholar] [CrossRef]
- Masoudi, R.; Hooton, R.D. Influence of alkali lactates on hydration of supersulfated cement. Constr. Build. Mater. 2020, 239, 117844. [Google Scholar] [CrossRef]
- Hewlett, P.C. Lea’s Chemistry of Cement and Concrete, 4th ed.; Wiley: New York, NY, USA, 1998; pp. 664–673. [Google Scholar]
- Cerulli, T.; Pistolesi, C.; Maltese, C.; Salvioni, D. Durability of traditional plasters with respect to blast furnace slag-based plaster. Cem. Concr. Res. 2003, 33, 1375–1383. [Google Scholar] [CrossRef]
- Grounds, T.; Nowell, D.V.; Wilburn, F.W. Resistance of supersulfated cement to strong sulfate solutions. J. Therm. Anal. Calorim. 2003, 72, 181–190. [Google Scholar] [CrossRef]
- Pinto, S.R.; Angulski da Luz, C.; Munhoz, G.S.; Medeiros-Junior, R.A. Durability of phosphogypsum-based supersulfated cement mortar against external attack by sodium and magnesium sulfate. Cem. Concr. Res. 2020, 136, 106172. [Google Scholar] [CrossRef]
- Pinto, S.R.; Angulski da Luz, C.; Munhoz, G.S.; Medeiros-Junior, R.A. Resistance of phosphogypsum-based supersulfated cement to carbonation and chloride ingress. Constr. Build. Mater. 2020, 263, 120640. [Google Scholar] [CrossRef]
- Liao, Y.S.; Yao, J.X.; Deng, F.; Li, H.; Wang, K.J.; Tang, S.W. Hydration behavior and strength development of supersulfated cement prepared by calcined phosphogypsum and slaked lime. J. Build. Eng. 2023, 80, 108075. [Google Scholar] [CrossRef]
- Dai, X.D.; Aydın, S.; Yardımcı, M.Y.; Lesage, K.; Schutter, G.D. Effect of Ca(OH)2 Addition on the Engineering Properties of Sodium Sulfate Activated Slag. Materials 2021, 14, 4266. [Google Scholar] [CrossRef] [PubMed]
- Gruskovnjak, A.; Lothenbach, B.; Winnefeld, F.; Figi, R.; Ko, S.-C.; Adler, M.; Mäder, U. Hydration mechanisms of super sulphated slag cement. Cem. Concr. Res. 2008, 38, 983–992. [Google Scholar] [CrossRef]
- Juenger, M.C.G.; Winnefeld, F.; Provis, J.L.; Ideker, J.H. Advances in alternative cementitious binders. Cem. Concr. Res. 2011, 41, 1232–1243. [Google Scholar] [CrossRef]
- Matschei, T.; Bellmann, F.; Stark, J. Hydration behaviour of sulphate-activated slag cements. Adv. Cem. Res. 2005, 17, 167–178. [Google Scholar] [CrossRef]
- Richardson, I.G.; Brough, A.R.; Groves, G.W.; Dobson, C.M. The characterization of hardened alkali-activated blast-furnace slag pastes and the nature of the calcium silicate hydrate (C–S–H) phase. Cem. Concr. Res. 1994, 24, 813–829. [Google Scholar] [CrossRef]
- Rubert, S.; Luz, C.A.D.; Varela, M.V.F.; Pereira Filho, J.I.; Hooton, R.D. Hydration mechanisms of supersulfated cement: The role of alkali activator and calcium sulfate content. J. Therm. Anal. Calorim. 2018, 134, 971–980. [Google Scholar] [CrossRef]
- Xing, J.R.; Zhou, Y.; Peng, Z.C.; Wang, J.W.; Jin, Y.J.; Jin, M. The influence of different kinds of weak acid salts on the macro-performance, micro-structure, and hydration mechanism of the supersulfated cement. J. Build. Eng. 2023, 66, 105937. [Google Scholar] [CrossRef]
- Zhou, Y.; Peng, Z.C.; Chen, L.C.; Huang, J.L.; Ma, T. The influence of two types of alkali activators on the microstructure and performance of supersulfated cement concrete: Mitigating the strength and carbonation resistance. Cem. Concr. Compos. 2021, 118, 103947. [Google Scholar] [CrossRef]
- Peng, Z.C.; Zhou, Y.; Wang, J.W.; Chen, L.C.; Miao, C.W. The impediment and promotion effects and mechanisms of lactates on the hydration of supersulfated cements—Aiming at a performance enhancement. J. Clean. Prod. 2022, 341, 130751. [Google Scholar] [CrossRef]
- Sun, Z.N.; Nie, S.; Zhou, J.; Li, H.; Chen, Z.F.; Xu, M.F.; Mu, R.; Wang, Y. Hydration mechanism of calcium sulfoaluminate-activated supersulfated cement. J. Clean. Prod. 2022, 333, 130094. [Google Scholar] [CrossRef]
- Wu, Q.; Xue, Q.Z.; Yu, Z.Q. Research status of super sulfate cement. J. Clean. Prod. 2021, 294, 126228. [Google Scholar] [CrossRef]
- Yang, J.; Liu, L.; Zhang, G.Z.; Ding, Q.J.; Sun, X.P. The Preparation of Ground Blast Furnace Slag-Steel Slag Pavement Concrete Using Different Activators and Its Performance Investigation. Buildings 2023, 13, 1590. [Google Scholar] [CrossRef]
- Angulski da Luz, C.; Hooton, R.D. Influence of curing temperature on the process of hydration of supersulfated cements at early age. Cem. Concr. Res. 2015, 77, 69–75. [Google Scholar] [CrossRef]
- Yang, J.; Liu, S.Y.; Ma, L.P.; Zhao, S.Q.; Liu, H.P.; Dai, Q.X.; Yang, Y.C.; Xu, C.H.; Xin, X.; Zhang, X.Q.; et al. Mechanism analysis of carbide slag capture of CO2 via a gas-liquid-solid three-phase fluidization system. J. Clean. Prod. 2020, 279, 123712. [Google Scholar] [CrossRef]
- Yang, H.; Cao, J.W.; Wang, Z.; Chen, H.H.; Gong, X.Z. Discovery of impurities existing state in carbide slag by chemical dissociation. Int. J. Miner. Processes 2014, 130, 66–73. [Google Scholar]
- Wang, Y.B.; Xu, L.; He, X.Y.; Su, Y.; Miao, W.J.; Strnadel, B.; Huang, X.P. Hydration and rheology of activated ultra-fine ground granulated blast furnace slag with carbide slag and anhydrous phosphogypsum. Cem. Concr. Compos. 2022, 133, 104717. [Google Scholar] [CrossRef]
- Lothenbach, B.; Gruskovnjak, A. Hydration of alkali-activated slag Thermodynamic modelling. Adv. Cem. Res. 2007, 19, 81–92. [Google Scholar] [CrossRef]
- ASTM C 109; Standard Test Method for Compressive Strength of Hydraulic Cement Mortars. ASTM International: West Conshohocken, PA, USA, 2020.
- Stetsko, Y.; Shanahan, P.; Deford, N.H.; Zayed, A. Quantification of supplementary cementitious content in blended Portland cement using an iterative Rietveld–PONKCS technique. J. Appl. Crystallogr. 2017, 50, 498–507. [Google Scholar] [CrossRef]
- Lothenbach, B.; Matschei, T.; Möschner, G.; Glasser, F.P. Thermodynamic modelling of the effect of temperature on the hydration and porosity of Portland cement. Cem. Concr. Res. 2008, 38, 1–18. [Google Scholar] [CrossRef]
- Lothenbach, B.; Wieland, E. A thermodynamic approach to the hydration of sulphate-resisting Portland cement. Waste Manag. 2006, 26, 706–719. [Google Scholar] [CrossRef] [PubMed]
- Wagner, T.; Kulik, D.A.; Hingerl, F.F.; Dmytrieva, S.V. GEM-Selektor geochemical modeling package: TSolMod library and data interface for multicomponent phase models. Can. Mineral. 2012, 50, 1173–1195. [Google Scholar] [CrossRef]
- Kulik, D.A.; Wagner, T.; Dmytrieva, S.V.; Kosakowski, G.; Hingerl, F.F.; Chudnenko, K.V.; Berner, U. GEM-Selektor geochemical modeling package: Revised algorithm and GEMS3K numerical kernel for coupled simulation codes. Computat. Geosci. 2013, 17, 1–24. [Google Scholar] [CrossRef]
- Lothenbach, B.; Kulik, D.; Matschei, T.; Balonis, M.; Baquerizo, L.; Dilnesa, B.Z.; Miron, D.G.; Myers, R. Cemdata18: A chemical thermodynamic database for hydrated Portland cements and alkali-activated materials. Cem. Concr. Res. 2019, 115, 472–506. [Google Scholar] [CrossRef]
- Skibsted, J.; Snellings, R. Reactivity of supplementary cementitious materials (SCMs) in cement blends. Cem. Concr. Res. 2019, 124, 105799. [Google Scholar] [CrossRef]
- Zhang, Y.; Wan, Z.; de Lima Junior, L.M.; Çopuroğlu, O. Early age hydration of model slag cement: Interaction among C3S, gypsum and slag with different Al2O3 contents. Cem. Concr. Res. 2022, 161, 106954. [Google Scholar] [CrossRef]
- GB/T 200-2017; Moderate Heat Portland Cement, Low Heat Portland Cement. Standardization Administration of the People’s Republic of China: Beijing, China, 2017.











| Material | CaO | SiO2 | Al2O3 | SO3 | Fe2O3 | MgO | TiO2 | Others | SSA (m2/kg) |
|---|---|---|---|---|---|---|---|---|---|
| Slag | 40.30 | 30.75 | 14.98 | 3.15 | 0.26 | 10.22 | 0.75 | 0.59 | 425 |
| Anhydrite | 40.69 | 2.58 | 0.40 | 50.65 | 0.25 | 2.70 | – | 2.38 | 398 |
| CA | 46.24 | 6.61 | 25.92 | 10.9 | 6.52 | 0.73 | 1.85 | 1.17 | 430 |
| CS | 92.61 | 2.82 | 0.79 | 1.29 | 0.17 | 1.36 | – | 0.95 | 367 |
| OPC | 65.13 | 20.59 | 4.25 | 2.75 | 3.36 | 1.59 | 0.52 | 1.79 | 349 |
| Mixture Proportions (% by Mass) | ||||
|---|---|---|---|---|
| Slag | Anhydrite | CA | CS | |
| 1CA-4CS-SSC | 80 | 15 | 1 | 4 |
| 2CA-3CS-SSC | 80 | 15 | 2 | 3 |
| 3CA-2CS-SSC | 80 | 15 | 3 | 2 |
| 4CA-1CS-SSC | 80 | 15 | 4 | 1 |
| Mineralogical Composition (wt.%) | |||
|---|---|---|---|
| ID | CA | CS | Anhydrite |
| CA1 | 27.54 | – | – |
| CA2 | 36.72 | – | – |
| C2AS | 34.56 | – | – |
| CaSO4 | – | – | 89.64 |
| CaSO4·H2O | – | – | 5.74 |
| Ca(OH)2 | – | 83.34 | – |
| CaCO3 | – | 14.61 | 3.52 |
| SiO2 | – | 2.05 | – |
| Other | 1.27 | – | 1.44 |
Disclaimer/Publisher’s Note: The statements, opinions and data contained in all publications are solely those of the individual author(s) and contributor(s) and not of MDPI and/or the editor(s). MDPI and/or the editor(s) disclaim responsibility for any injury to people or property resulting from any ideas, methods, instructions or products referred to in the content. |
© 2024 by the authors. Licensee MDPI, Basel, Switzerland. This article is an open access article distributed under the terms and conditions of the Creative Commons Attribution (CC BY) license (https://creativecommons.org/licenses/by/4.0/).
Share and Cite
Qi, G.; Zhang, Q.; Sun, Z. Effect of Calcium Aluminate and Carbide Slag on Mechanical Property and Hydration Mechanism of Supersulfated Cement. Buildings 2024, 14, 930. https://doi.org/10.3390/buildings14040930
Qi G, Zhang Q, Sun Z. Effect of Calcium Aluminate and Carbide Slag on Mechanical Property and Hydration Mechanism of Supersulfated Cement. Buildings. 2024; 14(4):930. https://doi.org/10.3390/buildings14040930
Chicago/Turabian StyleQi, Guangzheng, Qiang Zhang, and Zhengning Sun. 2024. "Effect of Calcium Aluminate and Carbide Slag on Mechanical Property and Hydration Mechanism of Supersulfated Cement" Buildings 14, no. 4: 930. https://doi.org/10.3390/buildings14040930
APA StyleQi, G., Zhang, Q., & Sun, Z. (2024). Effect of Calcium Aluminate and Carbide Slag on Mechanical Property and Hydration Mechanism of Supersulfated Cement. Buildings, 14(4), 930. https://doi.org/10.3390/buildings14040930
