Abstract
Ultra-high-performance geopolymer concrete (UHPGC) emerges as a sustainable and cost-effective alternative to Portland cement-based UHPC, offering similar mechanical properties while significantly reducing carbon footprint and energy consumption. Research on UHPGC components is extremely scarce. This study focuses on the flexural and crack behavior of UHPGC beams with different steel fiber contents and longitudinal reinforcement ratios. Five UHPGC beams were tested under four-point bending. The test results were evaluated in terms of the failure mode, load–deflection relationship, flexural capacity, ductility, average crack spacing, and short-term flexural stiffness. The results show that all the UHPGC beams failed due to crack localization. Increases in the reinforcement ratio and steel fiber content had favorable effects on the flexural capacity and flexural stiffness. When the reinforcement ratio increased from 1.18% to 2.32%, the flexural capacity and flexural stiffness increased by 60.5% and 12.3%, respectively. As the steel fiber content increased from 1.5% to 2.5%, the flexural capacity and flexural stiffness increased by 4.7% and 4.4%, respectively. Furthermore, the flexural capacity, flexural stiffness, and crack spacing of the UHPGC beams were evaluated using existing methods. The results indicate that the existing methods can effectively predict flexural capacity and flexural stiffness in UHPGC beams but overestimate crack spacing. This study will provide a reference for the structural design of UHPGC.
1. Introduction
Ultra-high-performance concrete (UHPC), typically based on using Portland cement as the binder, achieves extraordinary strength and durability through the optimization of the particle packing density of its cementitious matrix. However, the preparation of UHPC requires a significantly higher amount of cement compared to ordinary Portland concrete, leading to its carbon emissions being about three times higher than those of ordinary concrete [,]. Therefore, replacing Portland concrete with alternative low-carbon binders is considered an effective way of improving the sustainability of construction materials [,].
Ultra-high-performance geopolymer concrete (UHPGC) is based on geopolymer binders, which are clinker-free binders with performance comparable or superior to ordinary concrete. It uses aluminosilicate sources such as ground granulated blast-furnace slag, fly ash, and metakaolin, with alkaline activators such as sodium hydroxide (NaOH) and sodium silicate. Due to the different cementitious materials used, geopolymer significantly reduces the carbon emissions of concrete. Many scholars have conducted comprehensive research on geopolymers [,,,,,,,,,]. Abdellatief et al. [] found that UHPGC shows substantial reductions in various sustainability indicators compared to UHPC, including CO2 emissions (up to 70%), intrinsic energy (up to 73%), and cost (up to 60%). Kathirvel et al. [] and Zhang et al. [] found that the overall energy consumption and CO2 emissions of UHPGC are about 60% to 75% lower than those of UHPC with the same compressive strength. In the era of sustainable development, UHPGC is considered a highly promising alternative to UHPC. Amibly et al. [] and Lao et al. [,] prepared UHPGC using slag, fly ash, and silica fume, achieving compressive and flexural strengths of 175 MPa and 222 MPa, respectively. UHPGC has a compressive strength comparable to UHPC but with lower CO2 emissions and costs, and a new type of high-performance concrete structure can be formed using UHPGC.
Over the past twenty years, research efforts have been made to investigate the flexural behavior of UHPC beams, chiefly focusing on ordinary concrete-based UHPC beams. Limited research studies have been conducted to investigate alkali-activated slag-based UHPC beams. Yang et al. [] conducted experiments on the flexural behavior of UHPC and found that UHPC beams exhibited ductile behavior, with ductility indices ranging between 1.60 and 3.75. Feng [] assessed the effects of the steel fiber content and reinforcement on the flexural and cracking performance of UHPC beams, indicating that both steel fibers and reinforcement significantly inhibit the development of cracks in UHPC beams. It was noted that for beams with a high reinforcement ratio (greater than 4%), the contribution of the tensile strength of UHPC rapidly diminishes and can only serve as a safety reserve. Furthermore, due to the addition of steel fibers, considering the tensile contribution of UHPC in the tension zone of a section is crucial to the safety and economic efficiency of the flexural design of UHPC beams. Regarding tension zone reduction factors, researchers have come to different conclusions. Yang [] recommended a factor of 0.5, while Liu [] suggested 0.9, and Wang [] proposed 0.6. Peng [] assessed the differences in tensile contributions among various UHPC beam types from a unique viewpoint and proposed a formula based on fiber length and beam height to consider the contribution of the beam tension zone. Overall, UHPC beams already have mature and accurate design methods, but research efforts related to UHPGC beams have been limited. This greatly limits their application in various fields, like prefabricated components and 3D print [].
Although UHPGC has compressive properties similar to those of UHPC, its modulus of elasticity is significantly lower than that of UHPC. Liu et al. [] and Huang [] found that the elastic modulus of UHPGC is only 26 to 32 GPa, which is about 70% of the elastic modulus of UHPC at the same strength level. Due to their different elastic modulus, UHPGC beams may exhibit greater deformation relative to UHPC beams. Therefore, the flexural design provisions derived from UHPC beams may be inadequate for UHPGC beams.
In summary, by using an alkali-activated geopolymer as a substitute for cement, an ultra-high-performance geopolymer concrete (UHPGC) which exhibits excellent mechanical properties and low carbon emissions can be formed. There are few reports on the flexural behavior of components made from this new material (UHPGC). This is disadvantageous for the widespread application of UHPGC. The work in this paper will be dedicated to filling this gap, providing a reference for researchers and designers. Therefore, in this study, bending tests were performed on five UHPGC beams to study the effects of different reinforcement ratios and steel fiber volume fractions on their load-bearing performance. In addition, the ultimate flexural capacity, stiffness, and average crack spacing of the five UHPGC beams were evaluated using existing standards.
2. Materials and Methodology
2.1. Test Specimens
All the five beams which were tested to failure in the Structural Laboratory at Hunan University had a rectangular cross-section 300 mm × 150 mm. Each beam was 2000 mm long and featured a 600 mm pure bending section and an additional 100 mm at each end for anchorage. All test specimens maintained a consistent shear span-to-depth ratio (a/h) of 2.0, designed for flexural failure as per existing design standards []. Each beam had HRB400 bars for longitudinal reinforcement along the top and bottom. The measured reinforcement bars are shown in Table 1. Stirrups were at a 10 mm diameter and spacing of 100 mm (measured yield strength = 455 MPa). The test parameters were the ratio of reinforcement (ρ) and the content of steel fibers (Vf) (Table 2). Regarding the names of the specimens, F2-1.88 indicates that the steel fiber content was 2% and the longitudinal reinforcement ratio was 1.88%. The geometry and longitudinal reinforcement details of the beam specimens are shown in Figure 1.

Table 1.
Measured mechanical properties of steel bars used for reinforcement.

Table 2.
Design parameters of specimens.


Figure 1.
Geometric dimensions and reinforcement details of specimens.
2.2. Material Properties
The slag used in the experiment had a density of 2930 kg/m3 and a Blaine fineness of 400 m2/kg, while the Class F fly ash from a local power plant had values of 2230 kg/m3 and 295 m2/kg, respectively. The silica fume used was 96% high-purity SiO2. Table 3 shows the chemical compositions of the slag, fly ash, and silica fume. The activator consisted of 99% pure powdered NaOH and a sodium silicate solution with weight percentages of 8.54% Na2O, 27.3% SiO2, and 64.1% H2O by weight. The steel fibers had an average diameter of 0.2 mm and were 13 mm in length.

Table 3.
Chemical compositions of slag, fly ash, and silica fume (wt.%).
The mix proportion used in this study was characterized by a 4:1 slag-to-fly ash ratio, which ensured both economy and high strength. Additionally, the inclusion of a small amount of silica fume not only maintained the strength but also achieved higher flowability. During preparation, mix slag, fly ash, silica fume, and steel fibers in the mixer for 5 min before adding the activator to achieve a uniform and randomly oriented distribution of the steel fibers.
The activator was formulated by proportionally blending sodium hydroxide and sodium silicate solution, thoroughly mixing for complete reaction, and allowing it to rest for 24 h. Sand, slag, fly ash, silica fume, and steel fibers were added to the mixer in sequence and mixed to ensure dry materials that were evenly mixed and to reduce the time required for pouring. The activator was gradually added to the mixer and blended until uniform.
According to GB/T 31387-2015 [], fcu is the compressive strength, which is measured from three cube compression specimens (100 mm × 100 mm × 100 mm). fc is the axial compressive strength, which is measured from three prism compression specimens (100 mm × 100 mm × 300 mm). Ec is the elastic modulus which is measured from three prism compression specimens. Three direct tensile specimens (Figure 2) with a cross-sectional area of 50 mm × 100 mm and length of 500 mm were prepared to measure the UHPGC tensile strength ft. The mix propotions of UHPGC are shown in Table 4 and the average measured mechanical properties of the UHPGC material are shown in Table 5.

Figure 2.
Tensile specimen size and loading device.

Table 4.
Mix proportions of UHPGC.

Table 5.
Measured mechanical properties of UHPGC.
2.3. Instruments
The beam had a shear span and a pure bending section, both measuring 600 mm. The test setup is depicted in Figure 3a, with a 2000 kN capacity oil jack positioned at mid-span and a 3000 kN capacity load cell mounted on the jack. The load cell was calibrated using a 300 t press for linear regression calibration, and each key data point was recalibrated at the end of the experiment. Three LVDTs were deployed in the pure bending region and two at the supports to measure deflection. Each LVDT was calibrated using stacked 5 mm acrylic plates. Strain in the concrete was measured using strain gauges on the side and top of the beam, with two additional gauges on a longitudinal rebar (Figure 4). A crack micrometer with a precision of 0.01 mm was used to measure the widths of cracks.

Figure 3.
Test setup.

Figure 4.
Strain gauge arrangement in pure bending reinforcement section and beam surface concrete.
Furthermore, digital image correlation (DIC) methods were employed to track the kinematics of crack propagation, utilizing their full-field measurement capability to monitor crack evolution throughout the entire test. For measurements, Nikon D7200, a 24.1-megapixel DSLR camera, which was set to a focal length of 44 mm, was utilized. The processing of these photos was assisted by GOM Correlate 2018. The location and DIC testing zone for the camera setup are depicted in Figure 3. Mounted on a tripod roughly 2.5 m away from the test specimen, the camera was strategically positioned to record the behavior of flexural cracks within the loading span.
2.4. Test Setup and Procedure
The initial load was increased by 10% of the service load (Fs) per stage, reducing to 5% of Fs near the theoretical cracking load. Post-cracking, increments of 20% of Fs continued until crack widths hit 0.3 mm. Subsequently, 10% of Fs increments preceded the nominal flexural strength (Fu), with the final stages seeing 5% of Fu increments until failure due to concrete crushing or rebar fracture. Fs and Fu are both determined according to GB/T 31387-2015 [].
3. Results
3.1. Cracking Behavior and Failure Patterns
As the applied load reached the cracking load, a visible crack manifested at the beam’s bottom within the pure bending area, with a width close to 0.02 mm. As the applied load was increased, microcracks began to form sparsely and cracks progressively evolved from the bottom towards the top of the beam. This stage, designated as the dispersion crack stage, is characterized by the significant role that steel fibers play in crack-bridging, essential for resisting the propagation of cracks. With further increases in the applied load, yielding of the longitudinal reinforcement occurred and localization of a few microcracks commenced, signaling the transition to the reinforcement yield stage. During this stage, the widths of localized cracks incrementally widened in response to the increasing applied load, while the number of cracks and their spacing exhibited minimal alteration. This progression persisted up to the point of reinforcement bar fracture.
The failure modes of the five beams are shown in Figure 5.

Figure 5.
Photograph of final failure of each beam.
The cracking pattern that propagated in the pure bending span before failure for each specimen is shown in Figure 6. All beams failed due to crack localization and exhibited multi-crack failure modes to varying extents, which was different from UHPC beams.

Figure 6.
Development of the cracking pattern caught by DIC system and final failure pattern for each beam.
Figure 7 compares the load–crack width relationships of the beams. As shown in Figure 7a, the crack initiation load of the test beam with a steel fiber volume of 2.5% was 7.5% and 23.2% higher than those of the test beams with volumes of 2% and 1.5%, respectively. An increase in the reinforcement ratio had a suppressing effect on the crack widths of the beams, with the crack initiation load of the test beam with a rebar ratio of 2.32% being about 47% and 72% higher than those of the test beams with reinforcement ratios of 1.88% and 1.18%, respectively.

Figure 7.
Load–maximum crack width curves.
In the DIC results in Figure 6, it can be seen that the crack development in the beams started with several vertical cracks in the pure bending section. During this period, due to the “bridging effect” of the steel fibers, both the width and the number of cracks were restrained, which suggests that the steel fibers in the UHPGC beams played a role in stress transmission and distribution.
It is noteworthy that the failure location of specimen F2.5-1.88 was different from the others. According to the DIC results shown in Figure 6, different from the uniform development of early cracks in the other beams, the strain caused by cracking in F2.5-1.88 was mostly concentrated in one location, indicating that some degree of stress concentration had occurred. A possible reason for this could be that the higher fiber content resulted in poor compactness. Previous research has also indicated that compactness plays a critical role in the failure mode of alkali-activated slag-based components [,,].
Furthermore, although the failure of F2-2.32 was due to rebar rupture, its final form exhibited a typical multi-crack failure pattern. This pattern differed markedly from that of UHPC [], lying between concrete crushing and crack localization.
Comparing the above phenomena, it can be seen that the failure mode of UHPGC is similar to that of UHPC, in that both develop vertical cracks in the pure bending section that then progress along the beam height, gradually reducing the height of the concrete in the compression zone, leading to a rapid development of deflection, which causes the reinforcement to break. Steel fibers have a significant impact on the crack resistance of a beam. Moreover, micro-longitudinal cracks of significant length will form around a beam’s steel reinforcement. As the reinforcement ratio increases, the number of main cracks in a beam and the lengths of the longitudinal cracks tend to increase. According to DBJ 43/T 325-2017 [], the calculated anchorage length is between 147.0 and 210.8 mm, while the anchorage length provided in the article reaches 600 to 700 mm, which fully meets the requirements of the code.
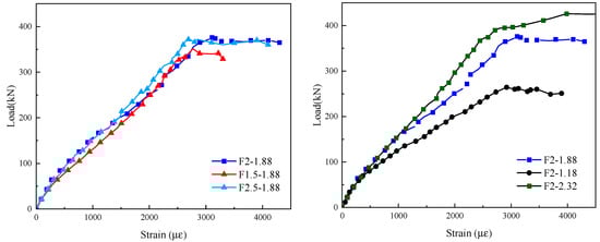
3.2. Load–Deflection Curves
The load–deflection curve of each specimen is shown in Figure 8. As can be seen in Figure 8, from the start of loading to the appearance of cracks, the load–deflection curve of each specimen is essentially linear. It is noteworthy that the deflection of UHPGC beams could reach more than 1/18 of the effective span of the beam and have a stable load-bearing capacity. With an increase in the steel fiber content, there were increasing trends for both the initial bending stiffness and the peak load of the beams. With an increase in the reinforcement ratio, the peak load and the stiffness of the beams increased significantly.

Figure 8.
Load–deflection curves.
Moreover, at higher volumes of steel fibers, the UHPGC had poorer flowability, which reduced the compactness of the specimens and affected the failure location and the peak load. Even though the initial short-term stiffness of specimen F2.5-1.88 increased by 2.4% compared to F2-1.88, the yield load and peak load decreased by 0.56% and 1.45%, respectively. This influence has also been reported in other studies [,,]. Given the fast early reaction and short initial setting time of UHPGC [,], a higher fiber content had a greater adverse effect on the flowability and overall compactness of the beams. Therefore, UHPGC materials with high steel fiber contents should have higher flowability to ensure the compactness of the components. Table 6 lists the loads and deflections of the beam specimens in each stage.

Table 6.
Main test results.
3.3. Load–Steel Strain Relationship
Figure 9 shows the load–rebar strain relationships at the mid-spans of the beam specimens. When the longitudinal bars began to yield, the moment was not increased. Similar to the load–deflection relationships, the rebar ratio and fiber content affected the flexural behavior.

Figure 9.
Load–steel strain relationships.
Before the appearance of cracks, deformations in the UHPC and the steel bar were coordinated under tension and the load was linearly related to the steel strain. The stress in the tensile zone was borne by the steel bar and the fibers crossing the cracked sections after the initial cracking. The steel strain continued to increase linearly with the load, but the slope of the curve was less than that in the elastic stage before cracking. After the steel bar yielded, there was a rapid increase in steel strain and specimen deformation, with the corresponding load staying nearly constant.
3.4. Load–Concrete Strain Relationship
Figure 10 displays the typical load–strain curves for specimen F2-1.88, illustrating that positions C2 and C3 underwent compressive (negative) strains, while positions C5, C6, C7, and C8 experienced tensile (positive) strains with increasing load.

Figure 10.
Strain distribution at mid-span section.
Figure 4 shows position C1 at the upper surface of the cross-section. Here, the strain reached 2489 με at ultimate load capacity, not exceeding the peak compressive strain ratio (fc/Ec) for UHPGC. At position C3, located one-third from the top surface down the beam section depth, the strain transitioned from compressive to tensile as cracks propagated from bottom to top, shifting the neutral axis upward.
The load value marking the end of the linear region on the load–strain curve closely matched that on the load–deflection curve. Strain at C7 showed no abrupt change following cracking, diverging from the behavior of tensile strain in conventional concrete. This difference may be due to the fiber bridging effect at the crack surfaces in UHPGC, which limits tensile strain development after cracks form [].
3.5. Ductility Analysis
The ductility coefficient characterizes the deformation capacity of a component from yielding to failure. Since UHPGC with reinforcement has a distinct yield point, this study adopted the displacement ductility coefficient as the ductility analysis indicator. The formula for calculating the displacement ductility coefficient is as follows:
where η represents the ductility coefficient, represents the yield displacement, indicating the mid-span deflection of the beam when the ordinary reinforcement reaches its yield strength, and represents the ultimate displacement, determined when the moment at the cross-section falls to 85% of the maximum moment. The main experimental results for each specimen can be found in Table 6. According to the data in Table 5, it is evident that all specimens exhibited distinctive ductile failure characteristics. For the reinforced UHPGC beams, the ductility coefficients ranged from 7.66 to 10.61 and were significantly higher than the 1.59 to 4.99 range reported for UHPC beams in previous studies [,,].
4. Discussion
4.1. Ultimate Moment
Numerous mature models for calculating the flexural capacity of UHPC have been established. However, a definitive method for UHPGC has not yet been proposed. Given the strong correlation between the design theories and material properties of UHPC and UHPGC, this section will explore the applicability of existing UHPC beam flexural capacity calculation methods to UHPGC beams, aiming to inform the design and theoretical study of UHPGC components.
The French standard NF P 18-710 [] provides structural design methods for UHPC. NF P 18-710 necessitates iterative calculations and trial estimates to define the stress distribution within a section using UHPC cracking and ultimate tensile strengths. The NF P 18-710 method for calculating flexural capacity is illustrated in Figure 11a. Other national standards around the world typically use simplified calculations.

Figure 11.
Stress and strain distributions along the length of the R-UHPGC beams.
In Figure 11, fc is the compressive strength, fs is the strength of tensile rebar, xt is the depth of tensile concrete, ftd is the tensile strength, and ftcr is the tensile cracking strength.
The method of Swiss standard MCS-EPFL for calculating the bending capacity [] is demonstrated in Figure 11b. It takes into account the tensile contribution of UHPC in the tension zone, where the height of the tension zone is adjusted by a coefficient of 0.9, and simplifies the compression zone into a triangular shape.
The MCS-EPFL method can be summarized by the following formula:
The Chinese code DBJ 43/T 325-2017 [] simplifies the compression zone into a rectangle and does not consider the tensile strength of UHPC with stress assumptions, as depicted in Figure 11c. In contrast, the Canadian standard CSA-S6 [] does not reduce the contribution of the tension zone, as shown in Figure 11d, as same as the American design guide FHWAHIF-3-032 [].
Peng et al. [] explained that using a value of k equal to 0.5 underestimates the flexural capacities of beams with smaller section heights (h < 400 mm) but overestimates those of beams with h > 600 mm. Based on flexural capacity programs and a regression of data from the literature, he proposed a reduction coefficient (k) for the tension zone that is related to the beam height (h) and the fiber length (lf).
A force diagram is shown in Figure 11e, and the calculation formula is as follows:
where and are the coefficients for the equivalent stress block of the compression zone, which, according to [], are taken as 0.92 and 0.73, respectively.
Values calculated using the above methods were compared with the experimental results, and the outcomes are presented in Table 7. Mt,u represents the experimental values of the five beams, Mc,u1 represents the values calculated according to NF P18-710, Mc,u2 represents the values calculated according to MCS-EPFL, Mc,u3 represents the values calculated according to CSA-S6, Mc,u4 represents the values calculated according to DBJ 43/T 325-2017, and Mc,u5 represents the values calculated using Fei Peng’s proposed formula.

Table 7.
Comparison of different methods of calculating the flexural capacities of beams.
An analysis of the data presented in Table 7 reveals that the results using DBJ43/T 325-2017 tend to be conservative, while the other calculation methods can generally predict the ultimate bending moments of the beams with reasonable accuracy, though they tend to be unsafe to varying degrees. DBJ 43/T 325-2017 does not consider the contribution of the tensile area of concrete at all, leading to significant underestimations. The NF P18-710 calculation method makes more use of the actual stress distribution and less use of simplified formulas, resulting in higher computational accuracy. However, the lack of simplification necessitates more trial calculations, which reduces its applicability. The assumption of MCS-EPFL is a triangular stress distribution in the compressed concrete area, and an estimated tensile reduction coefficient of 0.9 achieved commendable predictive results for UHPCG beams as well. Nevertheless, the Swiss standard does not consider the plastic zone of concrete during compression failure or when high reinforcement ratios are used, which leads to more pronounced underestimations for UHPCG beams with lower elastic modulus values. Fei Peng’s calculation formula achieved the smallest coefficient of variation but tended towards being unsafe.
Due to the varying degrees of overestimation caused by the above methods, this paper suggests adopting a more safety-oriented approach for the tensile reduction coefficient of UHPCG beams, selecting a value of k = 0.7. By inserting this value into Equation (4), the bending moment can be obtained as shown in Table 8.

Table 8.
Predict the outcome.
The method presented in this paper achieves a smaller coefficient of variation while maintaining high accuracy and conservative values, thus allowing for a relatively precise prediction of the flexural capacity of UHPGC beams.
4.2. Average Crack Spacing
The average crack spacing (lcr) of normal concrete can be calculated using the Chinese concrete structural code GB 5001-2010 [].
where lcr is the average crack spacing of the concrete, deq is the equivalent diameter of the tensioned reinforcement, cs is the thickness of the concrete cover, d is the diameter of the i-th type of tensioned reinforcement, ni is the amount of the i-th type of tensioned reinforcement, h and Ate are the effective cross-sectional height and the area around the tensioned reinforcement, respectively, and a is the distance from the center of the tensile reinforcement to the surface of the tensile concrete.
Test results indicated that a rebar-reinforced UHPC beam could redistribute stress and generate multiple cracks prior to fiber pull-out, aligning with findings from similar research. Although the spacing between cracks decreased, the widths of the cracks were significantly reduced. Feng et al. [] indicated that the maximum crack widths in UHPC beams decreased by 41% in the serviceability limit states compared with those of non-fiber beams. To exactly predict the average crack spacing (lcr) of a UHPGC beam under flexural load, Equation (13) was modified by considering the enhancement effect of steel fibers. The characteristic parameters of steel fibers were used to describe this enhancement effect, and the contribution of the steel fibers was corrected by considering the fiber influence coefficient (ψf). Equation (19) originated from DBJ43/T 325-2017 [] and was validated by Feng et al. [].
where ψf is the fiber influence coefficient, which can be taken as 0.05 [], λf is the characteristic parameter of the steel fiber content, lf is the fiber length, and df is the fiber diameter.
The predicted values and experimental results of the average crack spacing for each specimen are shown in Figure 12.

Figure 12.
Comparison of experimental and predicted values of average crack spacing.
The calculation results overestimate the experimental values, with an average overestimation of 10.3%, indicating that the current crack width calculation methods are not entirely suitable for UHPGC beams. A possible reason for this is that the reduction in the elastic modulus relative to UHPC leads to a sharp increase in the number of cracks. It is worth noting that although the number of cracks has increased, the crack spacing under the serviceability limit state satisfies the requirements of DBJ43/T325-2017 very well.
4.3. Short-Term Stiffness
DBJ43/T325-2017 specifies the effective stiffness of reinforced concrete flexural members as follows:
where I0 is the transformed section moment of inertia of the beam, which can be determined using the following formula:
where n is the ratio of the moduli of elasticity of steel and concrete (Es/Ec), h0 is the effective beam depth, and As is the area of the tensile reinforcement in the beam.
The stiffness after cracking is calculated using the following formula:
where βB is the coefficient of the steel fibers’ effect on the sectional short-term flexural stiffness, which can be taken as 0.2, λf is the characteristic parameter of the steel fiber content, ψ is the longitudinal reinforcement strain non-uniformity coefficient, ftk is the tensile strength of concrete, and ρte is a reinforcement ratio calculated based on the effective tensile concrete area. σs is the longitudinal reinforcement stress. It is calculated using 0.5 Mu, 0.6 Mu, and 0.7 Mu. η is the internal force arm coefficient, which can be taken [] as .
The short-term stiffness of a flexural beam can be back-calculated using a specific formula, and the formula for calculating the deflection of a beam is as follows:
where β is a coefficient related to the support conditions. For the experimental beams in this study, which were subjected to four-point symmetrical loading, β is taken to be 23/216, l0 is the calculated span of the section, and Bs is the short-term stiffness of the section.
Transforming Equation (18) yields
Table 9 compares the predicted results for each type of flexural stiffness with the results calculated from the experiments. It was observed that the stiffness of the beams degraded significantly when the load exceeded the cracking load and continued to degrade as the load increased. The predicted values align reasonably well with the experimental values, tending to be slightly overestimated, with an average between 0.84 and 1.14. The current design specifications are suitable for calculating the short-term flexural stiffness of UHPGC beams.

Table 9.
Comparison of flexural stiffness.
5. Conclusions
In this study, five flexural tests were conducted using UHPGC beams with different rebar ratios and steel fiber content to investigate the flexural and cracking behaviors of UHPGC beams. The structural behavior was investigated, including the failure modes, cracking behavior, deformability, ultimate flexural capacity, stiffness, and average crack spacing. To further clarify the deformation behavior of UHPGC beams, future research should focus more on the constitutive model of UHPGC and the bond properties between UHPGC and reinforcement steel bar. The experimental results were compared with existing design methods. The following conclusions can be drawn:
- (1)
- The reinforced UHPGC beams tested in this study all failed due to crack localization, and all the beams possessed high ductility. Among them, the specimen F2.5-1.88 exhibited the best ductility performance. When the reinforcement ratio was further increased, the ductility of the specimens decreased. Bond failure between the reinforcement and UHPGC is considered a possible cause, which may be caused by the poorer deformation coordination ability of the UHPGC-rebar compared to the UHPC-rebar. This allowed the strain in the steel to be distributed over a longer length of tensile reinforcement, delaying the breaking of the tensile steel. Longitudinal cracks in all specimens corroborate this viewpoint.
- (2)
- The cracking loads of the UHPGC beams increased with an increase in the steel fiber content. Compared to the specimens with fiber volume fractions of 2.0% and 1.5%, the cracking loads of the specimens with fiber volume fractions of 2.5% increased by 14.5% and 23.2%, respectively. The experimental results indicate that an excessively high fiber content can affect the compactness of a beam, thereby impacting its ultimate load capacity.
- (3)
- The flexural capacity of the UHPGC beams increased with an increase in the reinforcement ratio. Compared to the specimen with a rebar ratio of 1.18%, the flexural capacities of the specimens with reinforcement ratios of 1.88% and 2.32% increased by 39.8% and 60.5%, respectively. The results indicate that an increased reinforcement ratio helps to slow down crack propagation but increases the frequency of longitudinal cracks.
- (4)
- Current design methods accurately predicted the ultimate load capacities of the UHPGC beams. DBJ43/T 325-2017 greatly underestimated the flexural capacity of the UHPGC beams, with an average Mpred/Mexp of 0.82. On the other hand, NF P 18-710 provided the most accurate prediction but was less practical, with an average Mpred/Mexp of 0.996. MCS-EPFL and Fei Peng’s equation were less conservative, with average Mpred/Mexp values of 1.032 and 1.022, respectively.
- (5)
- DBJ43/T325-2017 could precisely forecast short-term flexural stiffness but overestimated crack spacing. The difference in the elastic modulus of UHPGC which leads to the non-uniform strain between the reinforcement steel bar and the matrix is considered to be the cause of this overestimation.
Author Contributions
Conceptualisation, J.S., Z.F., K.L. and J.T.; data curation, J.S. and J.T.; formal analysis, J.T.; investigation, J.S. and J.T.; methodology, J.S. and J.T.; software, J.T.; resources, J.S., Z.F. and K.L.; validation, J.S.; writing—original draft, J.T.; writing—review and editing, J.S. All authors have read and agreed to the published version of the manuscript.
Funding
This research was funded by National Natural Science Foundation of China (51408213) and National Key Research and Development Program of China (2018YFC0705400).
Data Availability Statement
The data presented in this study are available upon request from the corresponding author.
Conflicts of Interest
The authors declare that they have no known competing financial interests or personal relationships that could appear to have influenced the work reported in this paper.
References
- Kravanja, G.; Mumtaz, A.R.; Kravanja, S. A Comprehensive Review of the Advances, Manufacturing, Properties, Innovations, Environmental Impact and Applications of Ultra-High-Performance Concrete (UHPC). Buildings 2024, 14, 382. [Google Scholar] [CrossRef]
- Yu, R.; Spiesz, P.; Brouwers, H. Development of an eco-friendly Ultra-High Performance Concrete (UHPC) with efficient cement and mineral admixtures uses. Cem. Concr. Compos. 2015, 55, 383–394. [Google Scholar] [CrossRef]
- Li, B.; Guo, W.; Liu, X.; Zhang, Y.; Caneparo, L. The Third Solar Decathlon China Buildings for Achieving Carbon Neutrality. Buildings 2022, 12, 1094. [Google Scholar] [CrossRef]
- Ijaz, N.; Ye, W.-M.; Rehman, Z.U.; Ijaz, Z.; Junaid, M.F. Global insights into micro-macro mechanisms and environmental implications of limestone calcined clay cement (LC3) for sustainable construction applications. Sci. Total. Environ. 2024, 907, 167794. [Google Scholar] [CrossRef]
- Abdellatief, M.; Elrahman, M.A.; Abadel, A.A.; Wasim, M.; Tahwia, A. Ultra-high performance concrete versus ultra-high performance geopolymer concrete: Mechanical performance, microstructure, and ecological assessment. J. Build. Eng. 2023, 79, 107835. [Google Scholar] [CrossRef]
- Kathirvel, P.; Sreekumaran, S. Sustainable development of ultra high performance concrete using geopolymer technology. J. Build. Eng. 2021, 39, 102267. [Google Scholar] [CrossRef]
- Zhang, X.; Yu, R.; Zhang, J.; Shui, Z. A low-carbon alkali activated slag based ultra-high performance concrete (UHPC): Reaction kinetics and microstructure development. J. Clean. Prod. 2022, 363, 132416. [Google Scholar] [CrossRef]
- Ambily, P.S.; Ravisankar, K.; Umarani, C.; Dattatreya, J.K.; Iyer, N.R. Development of ultra-high-performance geopolymer concrete. Mag. Concr. Res. 2014, 66, 82–89. [Google Scholar] [CrossRef]
- Lao, J.-C.; Xu, L.-Y.; Huang, B.-T.; Dai, J.-G.; Shah, S.P. Strain-hardening ultra-high-performance geopolymer concrete (UHPGC): Matrix design and effect of steel fibers. Compos. Commun. 2022, 30, 101081. [Google Scholar] [CrossRef]
- Lao, J.-C.; Huang, B.-T.; Fang, Y.; Xu, L.-Y.; Dai, J.-G.; Shah, S.P. Strain-hardening alkali-activated fly ash/slag composites with ultra-high compressive strength and ultra-high tensile ductility. Cem. Concr. Res. 2023, 165, 107075. [Google Scholar] [CrossRef]
- Ahmed, H.U.; Mahmood, L.J.; Muhammad, M.A.; Faraj, R.H.; Qaidi, S.M.; Sor, N.H.; Mohammed, A.S.; Mohammed, A.A. Innovative modeling techniques including MEP, ANN and FQ to forecast the compressive strength of geopolymer concrete modified with nanoparticles. Neural. Comput. Appl. 2023, 35, 12453–12479. [Google Scholar] [CrossRef]
- Cai, R.; Ye, H. Clinkerless ultra-high strength concrete based on alkali-activated slag at high temperatures. Cem. Concr. Res. 2021, 145, 106465. [Google Scholar] [CrossRef]
- Assi, L.N.; Carter, K.; Deaver, E.; Ziehl, P. Review of availability of source materials for geopolymer/sustainable concrete. J. Clean. Prod. 2020, 263, 121477. [Google Scholar] [CrossRef]
- Wetzel, A.; Middendorf, B. Influence of silica fume on properties of fresh and hardened ultra-high performance concrete based on alkali-activated slag. Cem. Concr. Compos. 2019, 100, 53–59. [Google Scholar] [CrossRef]
- Yang, I.H.; Joh, C.; Kim, B.-S. Structural behavior of ultra high performance concrete beams subjected to bending. Eng. Struct. 2010, 32, 3478–3487. [Google Scholar] [CrossRef]
- Feng, Z.; Li, C.; Yoo, D.-Y.; Pan, R.; He, J.; Ke, L. Flexural and cracking behaviors of reinforced UHPC beams with various reinforcement ratios and fiber contents. Eng. Struct. 2021, 248, 113266. [Google Scholar] [CrossRef]
- Yang, J.; Fang, Z. Flexural capacity of reinforced UHPC beams, China Railway. Science 2009, 30, 23–30. [Google Scholar] [CrossRef]
- Liu, C.; Huang, Y.; Ma, R.; Wang, J.; Liu, G. Calculation Method for Flexural Capacity of High Strain-Hardening UHPC T-Beams. J. Tongji Univ. (Nat. Sci.) 2018, 46, 744–750. [Google Scholar] [CrossRef]
- Wang, M.; Gao, L.; Wang, K.; Shi, G. Experimental Study on Flexural Behavior and Bearing Capacity of UHPC Beams Reinforced with High Strength Steel Bars. Bridge Constr. 2022, 52, 87–94. [Google Scholar] [CrossRef]
- Peng, F.; Fang, Z. Calculation approach for flexural capacity of reinforced UHPC beams. China Civ. Eng. J. 2021, 54, 86–97. [Google Scholar] [CrossRef]
- Qaidi, S.; Yahia, A.; Tayeh, B.A.; Unis, H.; Faraj, R.; Mohammed, A. 3D printed geopolymer composites: A review. Mater. Today Sustain. 2022, 20, 100240. [Google Scholar] [CrossRef]
- Liu, Y.; Shi, C.; Zhang, Z.; Li, N.; Shi, D. Mechanical and fracture properties of ultra-high performance geopolymer concrete: Effects of steel fiber and silica fume. Cem. Concr. Compos. 2020, 112, 103665. [Google Scholar] [CrossRef]
- Huang, L.; Liu, J.-C.; Cai, R.; Ye, H. Mechanical degradation of ultra-high strength alkali-activated concrete subjected to repeated loading and elevated temperatures. Cem. Concr. Compos. 2021, 121, 104083. [Google Scholar] [CrossRef]
- GB/T 31387-2015; Reactive Powder Concrete. Standards Press of China: Beijing, China, 2015.
- Du, Y.; Wang, J.; Shi, C.; Hwang, H.-J.; Li, N. Flexural behavior of alkali-activated slag-based concrete beams. Eng. Struct. 2020, 229, 111644. [Google Scholar] [CrossRef]
- Liu, Y.; Zhang, Z.; Shi, C.; Zhu, D.; Li, N.; Deng, Y. Development of ultra-high performance geopolymer concrete (UHPGC): Influence of steel fiber on mechanical properties. Cem. Concr. Compos. 2020, 112, 103670. [Google Scholar] [CrossRef]
- Peng, F.; Deng, J.; Fang, Z.; Tang, Z. Ductility evaluation and flexural failure mode recognition of reinforced Ultra-High performance concrete flexural members. Structures 2023, 51, 1881–1892. [Google Scholar] [CrossRef]
- DBJ43/T325-2017; Ministry of Housing and Urban-Rural Development of Hunan Province. Technical Specification for Reactive Powder Concrete Structures. Architecture Publishing &. Media Co., Ltd.: Beijing, China, 2017.
- NF P 18-710; AFNOR. National Addition to Eurocode 2-Design of Concrete Structures: Specific Rules for Ultra-High Performance Fiber-Reinforced Concrete (UHPFRC). Association Francaise deNormalisation: Paris, France, 2016.
- MCS-EPFL. Recommendation: Ultra-High Performance Fibre Reinforced Cement-Based Composites (UHPFRC); Maintenance, Construction and Safety of Structures (MCS)-École polytechnique fédérale de Lausanne (EPFL): Lausanne, Switzerland, 2016. [Google Scholar]
- CSA. Canadian Highway Bridge Design Code; CSA: Toronto, ON, USA, 2019. [Google Scholar]
- Aaleti, S.; Petersen, B.; Sritharan, S. FHWAHIF-3-032Design Guide for Precast UHPC Waffle Deck Panel System, Including Connections; Federal Highway Administration: Washington, DC, USA, 2013. [Google Scholar]
- GB 50010-2010; Code for Design of Concrete Structures-2010. Ministry of Housing and Urban-Rural Development of China: Beijing, China, 2010.
- Xu, M.; Liang, X.; Yu, J.; Li, L. Theoretical and Experimental Investigation On Immediate Stiffness of UHPC Beams. Eng. Mech. 2019, 36, 146–154+164. [Google Scholar] [CrossRef]
Disclaimer/Publisher’s Note: The statements, opinions and data contained in all publications are solely those of the individual author(s) and contributor(s) and not of MDPI and/or the editor(s). MDPI and/or the editor(s) disclaim responsibility for any injury to people or property resulting from any ideas, methods, instructions or products referred to in the content. |
© 2024 by the authors. Licensee MDPI, Basel, Switzerland. This article is an open access article distributed under the terms and conditions of the Creative Commons Attribution (CC BY) license (https://creativecommons.org/licenses/by/4.0/).