Integrating Contextual Information and Attention Mechanisms with Sparse Convolution for the Extraction of Internal Objects within Buildings from Three-Dimensional Point Clouds
Abstract
1. Introduction
- (1)
- Context aggregation module: The context aggregation module enhances the network’s capability to acquire information over long distances during the training and testing phases. This module improves the network’s ability to assess the overall structure, effectively increasing the accuracy of segmentation for complex scenes.
- (2)
- Offset attention module: The offset attention module efficiently captures global contextual information and refines attention weights, thereby mitigating the impact of noise.
- (3)
- Enhancement of accuracy in complex segmentation categories: Compared to the state-of-the-art (SOTA) model, our model demonstrates higher accuracy in complex segmentation categories on the ScanNetV2 dataset. Ablation experiments confirmed that the modules we designed contribute to enhancing sparse convolutional backbone networks’ ability to capture global contextual information, thereby improving the segmentation accuracy of complex indoor objects.
2. Methods
2.1. Network Architecture
2.2. Voxelization and Devoxelization
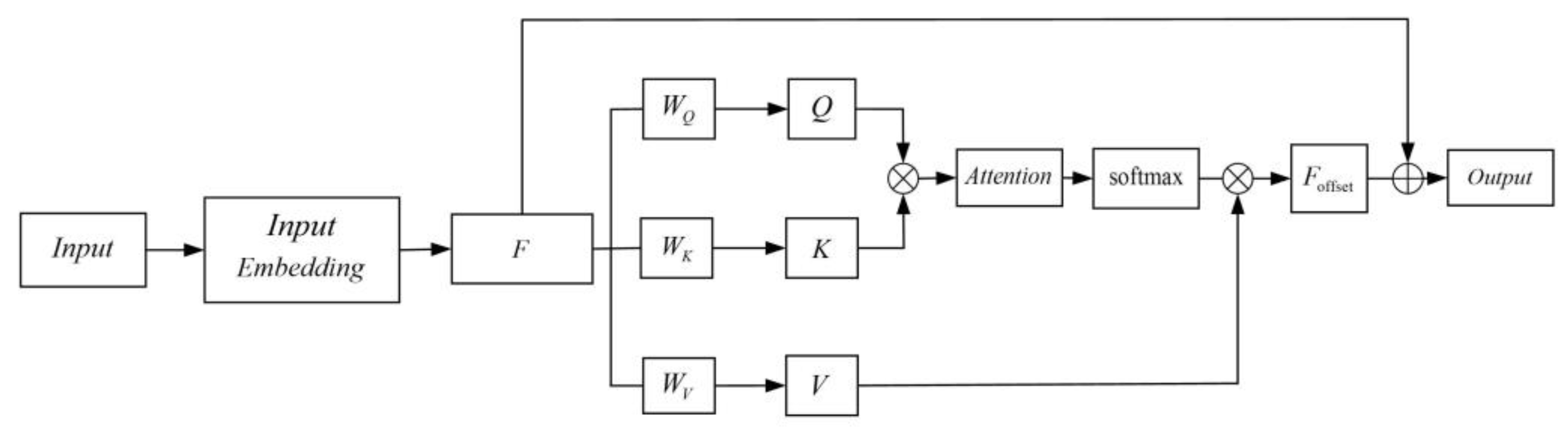
2.3. Offset Attention Module
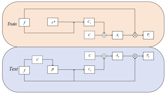
2.4. Context Aggregation Module
2.5. Feature Extraction Network
3. Experiments and Results
3.1. Experimental Settings
3.2. Dataset Description
4. Results
4.1. Results on the S3DIS Dataset
4.2. Results on the ScanNetV2 Dataset
5. Discussion
5.1. Ablation Study
5.1.1. ScanNetV2 Dataset Ablation Experiment
5.1.2. S3DIS Dataset Ablation Experiment
5.2. Comparison with Other Networks
5.3. Limitations
6. Conclusions
Author Contributions
Funding
Data Availability Statement
Acknowledgments
Conflicts of Interest
References
- Su, H.; Maji, S.; Kalogerakis, E.; Learned-Miller, E. Multi-view convolutional neural networks for 3d shape recognition. In Proceedings of the IEEE International Conference on Computer Vision, Santiago, Chile, 11–18 December 2015; pp. 945–953. [Google Scholar]
- Iandola, F.N.; Han, S.; Moskewicz, M.W.; Ashraf, K.; Dally, W.J.; Keutzer, K. SqueezeNet: AlexNet-level accuracy with 50x fewer parameters and <0.5 MB model size. arXiv 2016, arXiv:1602.07360. [Google Scholar]
- Wu, B.; Wan, A.; Yue, X.; Keutzer, K. Squeezeseg: Convolutional neural nets with recurrent crf for real-time road-object segmentation from 3d lidar point cloud. In Proceedings of the 2018 IEEE International Conference on Robotics and Automation (ICRA), Brisbane, Australia, 21–25 May 2018; pp. 1887–1893. [Google Scholar]
- Wu, B.; Zhou, X.; Zhao, S.; Yue, X.; Keutzer, K. Squeezesegv2: Improved model structure and unsupervised domain adaptation for road-object segmentation from a lidar point cloud. In Proceedings of the 2019 International Conference on Robotics and Automation (ICRA), Montreal, QC, Canada, 20–24 May 2019; pp. 4376–4382. [Google Scholar]
- Milioto, A.; Vizzo, I.; Behley, J.; Stachniss, C. Rangenet++: Fast and accurate lidar semantic segmentation. In Proceedings of the 2019 IEEE/RSJ International Conference on Intelligent Robots and Systems (IROS), Macao, China, 4–8 November 2019; pp. 4213–4220. [Google Scholar]
- Robert, D.; Vallet, B.; Landrieu, L. Learning multi-view aggregation in the wild for large-scale 3d semantic segmentation. In Proceedings of the IEEE/CVF Conference on Computer Vision and Pattern Recognition, New Orleans, LA, USA, 19–24 June 2022; pp. 5575–5584. [Google Scholar]
- Qi, C.R.; Su, H.; Mo, K.; Guibas, L.J. Pointnet: Deep learning on point sets for 3d classification and segmentation. In Proceedings of the IEEE Conference on Computer Vision and Pattern Recognition, Honolulu, HI, USA, 21–26 July 2017; pp. 652–660. [Google Scholar]
- Qi, C.R.; Yi, L.; Su, H.; Guibas, L.J. Pointnet++: Deep hierarchical feature learning on point sets in a metric space. arXiv 2017, arXiv:1706.02413. [Google Scholar]
- Hu, Q.; Yang, B.; Xie, L.; Rosa, S.; Guo, Y.; Wang, Z.; Trigoni, N.; Markham, A. Randla-net: Efficient semantic segmentation of large-scale point clouds. In Proceedings of the IEEE/CVF Conference on Computer Vision and Pattern Recognition, Seattle, WA, USA, 14–19 June 2020; pp. 11108–11117. [Google Scholar]
- Zhao, H.; Jiang, L.; Fu, C.-W.; Jia, J. Pointweb: Enhancing local neighborhood features for point cloud processing. In Proceedings of the IEEE/CVF Conference on Computer Vision and Pattern Recognition, Los Angeles, CA, USA, 16–20 June 2019; pp. 5565–5573. [Google Scholar]
- Qian, G.; Li, Y.; Peng, H.; Mai, J.; Hammoud, H.; Elhoseiny, M.; Ghanem, B. Pointnext: Revisiting pointnet++ with improved training and scaling strategies. Adv. Neural Inf. Process. Syst. 2022, 35, 23192–23204. [Google Scholar]
- Lin, H.; Zheng, X.; Li, L.; Chao, F.; Wang, S.; Wang, Y.; Tian, Y.; Ji, R. Meta Architecture for Point Cloud Analysis. In Proceedings of the IEEE/CVF Conference on Computer Vision and Pattern Recognition, Oxford, UK, 15–17 September 2023; pp. 17682–17691. [Google Scholar]
- Zhu, H.; Yang, H.; Wu, X.; Huang, D.; Zhang, S.; He, X.; He, T.; Zhao, H.; Shen, C.; Qiao, Y. Ponderv2: Pave the way for 3d foundataion model with a universal pre-training paradigm. arXiv 2023, arXiv:2310.08586. [Google Scholar]
- Zhong, Z.; Cui, J.; Yang, Y.; Wu, X.; Qi, X.; Zhang, X.; Jia, J. Understanding imbalanced semantic segmentation through neural collapse. In Proceedings of the IEEE/CVF Conference on Computer Vision and Pattern Recognition, Oxford, UK, 15–17 September 2023; pp. 19550–19560. [Google Scholar]
- Deng, X.; Zhang, W.; Ding, Q.; Zhang, X. PointVector: A Vector Representation In Point Cloud Analysis. In Proceedings of the IEEE/CVF Conference on Computer Vision and Pattern Recognition, Oxford, UK, 15–17 September 2023; pp. 9455–9465. [Google Scholar]
- Landrieu, L.; Simonovsky, M. Large-scale point cloud semantic segmentation with superpoint graphs. In Proceedings of the IEEE Conference on Computer Vision and Pattern Recognition, Salt Lake City, UT, USA, 18–22 June 2018; pp. 4558–4567. [Google Scholar]
- Wang, Y.; Sun, Y.; Liu, Z.; Sarma, S.E.; Bronstein, M.M.; Solomon, J.M. Dynamic graph cnn for learning on point clouds. ACM Trans. Graph. 2019, 38, 1–12. [Google Scholar] [CrossRef]
- Robert, D.; Raguet, H.; Landrieu, L. Efficient 3D Semantic Segmentation with Superpoint Transformer. arXiv 2023, arXiv:2306.08045. [Google Scholar]
- Thomas, H.; Qi, C.R.; Deschaud, J.-E.; Marcotegui, B.; Goulette, F.; Guibas, L.J. Kpconv: Flexible and deformable convolution for point clouds. In Proceedings of the IEEE/CVF International Conference on Computer Vision, Los Angeles, CA, USA, 16–20 June 2019; pp. 6411–6420. [Google Scholar]
- Xiang, P.; Wen, X.; Liu, Y.-S.; Zhang, H.; Fang, Y.; Han, Z. Retro-fpn: Retrospective feature pyramid network for point cloud semantic segmentation. In Proceedings of the IEEE/CVF International Conference on Computer Vision, Oxford, UK, 15–17 September 2023; pp. 17826–17838. [Google Scholar]
- Huang, Q.; Wang, W.; Neumann, U. Recurrent slice networks for 3d segmentation of point clouds. In Proceedings of the IEEE Conference on Computer Vision and Pattern Recognition, Salt Lake City, UT, USA, 18–22 June 2018; pp. 2626–2635. [Google Scholar]
- Allen, M.; Girod, L.; Newton, R.; Madden, S.; Blumstein, D.T.; Estrin, D. Voxnet: An interactive, rapidly-deployable acoustic monitoring platform. In Proceedings of the 2008 International Conference on Information Processing in Sensor Networks (IPSN 2008), City of Saint Louis, MO, USA, 22–24 April 2008; pp. 371–382. [Google Scholar]
- Tchapmi, L.; Choy, C.; Armeni, I.; Gwak, J.; Savarese, S. Segcloud: Semantic segmentation of 3d point clouds. In Proceedings of the 2017 International Conference on 3D Vision (3DV), Qingdao, China, 10–12 October 2017; pp. 537–547. [Google Scholar]
- Le, T.; Duan, Y. Pointgrid: A deep network for 3d shape understanding. In Proceedings of the IEEE Conference on Computer Vision and Pattern Recognition, Salt Lake City, UT, USA, 18–22 June 2018; pp. 9204–9214. [Google Scholar]
- Klokov, R.; Lempitsky, V. Escape from cells: Deep kd-networks for the recognition of 3d point cloud models. In Proceedings of the IEEE International Conference on Computer Vision, Honolulu, HI, USA, 21–26 July 2017; pp. 863–872. [Google Scholar]
- Riegler, G.; Osman Ulusoy, A.; Geiger, A. Octnet: Learning deep 3d representations at high resolutions. In Proceedings of the IEEE Conference on Computer Vision and Pattern Recognition, Honolulu, HI, USA, 21–26 July 2017; pp. 3577–3586. [Google Scholar]
- Zeng, W.; Gevers, T. 3DContextNet: Kd tree guided hierarchical learning of point clouds using local and global contextual cues. In Proceedings of the European Conference on Computer Vision (ECCV) Workshops, Munich, Germany, 8–14 September 2018. [Google Scholar]
- Graham, B.; Engelcke, M.; Van Der Maaten, L. 3d semantic segmentation with submanifold sparse convolutional networks. In Proceedings of the IEEE Conference on Computer Vision and Pattern Recognition, Salt Lake City, UT, USA, 18–22 June 2018; pp. 9224–9232. [Google Scholar]
- Choy, C.; Gwak, J.; Savarese, S. 4d spatio-temporal convnets: Minkowski convolutional neural networks. In Proceedings of the IEEE/CVF Conference on Computer Vision and Pattern Recognition, Los Angeles, CA, USA, 16–20 June 2019; pp. 3075–3084. [Google Scholar]
- Rozenberszki, D.; Litany, O.; Dai, A. Language-grounded indoor 3d semantic segmentation in the wild. In Proceedings of the European Conference on Computer Vision, New Orleans, LA, USA, 19–24 June 2022; pp. 125–141. [Google Scholar]
- Wang, P.-S. OctFormer: Octree-based Transformers for 3D Point Clouds. arXiv 2023, arXiv:2305.03045. [Google Scholar] [CrossRef]
- Vaswani, A.; Shazeer, N.; Parmar, N.; Uszkoreit, J.; Jones, L.; Gomez, A.N.; Kaiser, Ł.; Polosukhin, I. Attention is all you need. arXiv 2017, arXiv:1706.03762. [Google Scholar]
- Lu, D.; Xie, Q.; Wei, M.; Gao, K.; Xu, L.; Li, J. Transformers in 3d point clouds: A survey. arXiv 2022, arXiv:2205.07417. [Google Scholar]
- Guo, M.-H.; Cai, J.-X.; Liu, Z.-N.; Mu, T.-J.; Martin, R.R.; Hu, S.-M. Pct: Point cloud transformer. Comput. Vis. Media 2021, 7, 187–199. [Google Scholar] [CrossRef]
- Han, X.-F.; He, Z.-Y.; Chen, J.; Xiao, G.-Q. 3CROSSNet: Cross-level cross-scale cross-attention network for point cloud representation. IEEE Robot. Autom. Lett. 2022, 7, 3718–3725. [Google Scholar] [CrossRef]
- Yu, X.; Tang, L.; Rao, Y.; Huang, T.; Zhou, J.; Lu, J. Point-bert: Pre-training 3d point cloud transformers with masked point modeling. In Proceedings of the IEEE/CVF Conference on Computer Vision and Pattern Recognition, New Orleans, LA, USA, 19–24 June 2022; pp. 19313–19322. [Google Scholar]
- Zhao, H.; Jiang, L.; Jia, J.; Torr, P.H.; Koltun, V. Point transformer. In Proceedings of the IEEE/CVF International Conference on Computer Vision, Montreal, QC, Canada, 11–17 October 2021; pp. 16259–16268. [Google Scholar]
- Wu, X.; Lao, Y.; Jiang, L.; Liu, X.; Zhao, H. Point transformer v2: Grouped vector attention and partition-based pooling. Adv. Neural Inf. Process. Systems 2022, 35, 33330–33342. [Google Scholar]
- Lai, X.; Liu, J.; Jiang, L.; Wang, L.; Zhao, H.; Liu, S.; Qi, X.; Jia, J. Stratified transformer for 3d point cloud segmentation. In Proceedings of the IEEE/CVF Conference on Computer Vision and Pattern Recognition, New Orleans, LA, USA, 19–24 June 2022; pp. 8500–8509. [Google Scholar]
- Liu, Z.; Lin, Y.; Cao, Y.; Hu, H.; Wei, Y.; Zhang, Z.; Lin, S.; Guo, B. Swin transformer: Hierarchical vision transformer using shifted windows. In Proceedings of the IEEE/CVF International Conference on Computer Vision, Montreal, QC, Canada, 11–17 October 2021; pp. 10012–10022. [Google Scholar]
- Wu, X.; Jiang, L.; Wang, P.-S.; Liu, Z.; Liu, X.; Qiao, Y.; Ouyang, W.; He, T.; Zhao, H. Point Transformer V3: Simpler, Faster, Stronger. arXiv 2023, arXiv:2312.10035. [Google Scholar]
- Tian, Z.; Cui, J.; Jiang, L.; Qi, X.; Lai, X.; Chen, Y.; Liu, S.; Jia, J. Learning context-aware classifier for semantic segmentation. arXiv 2023, arXiv:2303.11633. [Google Scholar] [CrossRef]
- Armeni, I.; Sener, O.; Zamir, A.R.; Jiang, H.; Brilakis, I.; Fischer, M.; Savarese, S. 3d semantic parsing of large-scale indoor spaces. In Proceedings of the IEEE Conference on Computer Vision and Pattern Recognition, Las Vegas, NV, USA, 26 June–1 July 2016; pp. 1534–1543. [Google Scholar]
- Dai, A.; Chang, A.X.; Savva, M.; Halber, M.; Funkhouser, T.; Nießner, M. Scannet: Richly-annotated 3d reconstructions of indoor scenes. In Proceedings of the IEEE Conference on Computer Vision and Pattern Recognition, Honolulu, HI, USA, 21–26 July 2017; pp. 5828–5839. [Google Scholar]
- Duan, L.; Zhao, S.; Xue, N.; Gong, M.; Xia, G.-S.; Tao, D. ConDaFormer: Disassembled Transformer with Local Structure Enhancement for 3D Point Cloud Understanding. arXiv 2023, arXiv:2312.11112. [Google Scholar]










| Hardware | Settings | Software | Settings |
|---|---|---|---|
| CPU | Intel Core i9-10850K | System | Ubuntu 18.04 |
| RAM | 32G | CUDA version | CUDA 11.3 |
| Hard disk | 512G | Python version | Python 3.8 |
| GPU | NVIDIA GeForce GTX 3070 | Pytorch version | Pytorch 1.12 |
| S3DIS | Total | Auditorium | Conference Room | Copy Room | Hallway | Lobby |
|---|---|---|---|---|---|---|
| Region1 | 44 | 0 | 2 | 1 | 8 | 0 |
| Region2 | 40 | 2 | 1 | 0 | 12 | 0 |
| Region3 | 23 | 0 | 1 | 0 | 6 | 0 |
| Region4 | 49 | 0 | 3 | 0 | 14 | 2 |
| Region5 | 68 | 0 | 3 | 0 | 15 | 1 |
| Region6 | 48 | 0 | 1 | 1 | 6 | 0 |
| S3DIS | Lounge | Office | Open Space | Pantry | Storage | WC |
| Region1 | 0 | 31 | 0 | 1 | 0 | 1 |
| Region2 | 0 | 14 | 0 | 0 | 9 | 2 |
| Region3 | 2 | 10 | 0 | 0 | 2 | 2 |
| Region4 | 0 | 22 | 0 | 0 | 4 | 4 |
| Region5 | 0 | 42 | 0 | 1 | 4 | 2 |
| Region6 | 1 | 37 | 1 | 1 | 0 | 0 |
| ScanNetV2 | Number of Scenes | Data Number |
|---|---|---|
| Total | 1513 scenes | 0–806 |
| Validation | 312 scenes | 11 15 19 25 30 46 50 63 64 77 81 84 86 88 95 100 131 139 144 146 149 153 164 169 187 193 196 203 207 208 217 221 222 231 246 249 251 256 257 277 278 300 304 307 314 316 328 329 334 338 342 343 351 353–357 377 378 435 441 458 461 462 474 488 490 494 496 500 518 527 535 549 550 552 553 558 559 565 568 574 575 578 580 583 591 593 595 598 599 606–609 616 618 621 629 633 643–645 647 648 651–653 655 658 660 670 671 678 684–686 689 690 693 695–697 663–665 699 700–702 704 |
| Train | 1201 scenes | Other |
| Offset Attention | Context Aggregation | mIoU (%) | OA (%) | mAcc (%) |
|---|---|---|---|---|
| 75.22 | 91.21 | 82.69 | ||
| √ | 75.73 | 91.37 | 83.24 | |
| √ | √ | 76.94 | 91.72 | 85.14 |
| Two Modules | mIoU (%) | OA (%) | mAcc (%) |
|---|---|---|---|
| 63.05 | 88.58 | 68.26 | |
| √ | 64.57 | 89.13 | 71.09 |
| Method | mIoU (%) | OA (%) | mAcc (%) | Params. (M) | Ceiling (%) | Floor (%) | Wall (%) | Beam (%) | Column (%) |
|---|---|---|---|---|---|---|---|---|---|
| PointNet [7] | 41.1 | - | 49.0 | 3.6 | 88.8 | 97.3 | 69.8 | 0.1 | 3.9 |
| SegCloud [23] | 48.9 | - | 57.4 | - | 90.1 | 96.1 | 69.9 | 0.0 | 18.4 |
| SPGraph [16] | 58.0 | 86.4 | 66.5 | - | 89.4 | 96.9 | 78.1 | 0.0 | 42.8 |
| OcspareNet (ours) | 64.6 | 89.1 | 71.1 | 37.5 | 93.0 | 97.3 | 83.5 | 0.0 | 22.3 |
| Point Transformer [37] | 70.4 | 90.8 | 76.5 | - | 94.0 | 98.5 | 86.3 | 0.0 | 38.0 |
| PointNeXt-XL [11] | 70.5 | 90.6 | - | 41.6 | - | - | - | - | - |
| PTv3 [41] | 74.4 | - | - | 46.2 | - | - | - | - | - |
| Method | Window (%) | Door (%) | Table (%) | Chair (%) | Sofa (%) | Bookcase (%) | Board (%) | Clutter (%) | |
| PointNet | 46.3 | 10.8 | 59.0 | 52.6 | 5.9 | 40.3 | 26.4 | 33.2 | |
| SegCloud | 38.4 | 23.1 | 75.9 | 70.4 | 58.4 | 40.9 | 13.0 | 41.6 | |
| SPGraph | 48.9 | 61.6 | 84.7 | 75.4 | 69.8 | 52.6 | 2.1 | 52.2 | |
| OcspareNet (ours) | 53.7 | 59.1 | 79.2 | 87.4 | 61.9 | 74.4 | 70.9 | 56.7 | |
| Point Transformer | 63.4 | 74.3 | 89.1 | 82.4 | 74.3 | 80.2 | 76.0 | 59.3 | |
| PointNeXt-XL | - | - | - | - | - | - | - | - | |
| PTv3 | - | - | - | - | - | - | - | - | |
| Method | Val. mIoU (%) | Test mIoU (%) | OA (%) | mAcc (%) | Params. (M) | Wall (%) | Floor (%) | Cabinet (%) | Bed (%) |
|---|---|---|---|---|---|---|---|---|---|
| PointNet++ [8] | 53.5 | 55.7 | - | - | - | 75.6 | 94.6 | 49.1 | 66.1 |
| SSCN [28] | 70.8 | - | - | - | - | 83.6 | 95.1 | 65.3 | 80.7 |
| MinkowskiNet [29] | 72.2 | 73.6 | - | - | 37.9 | 85.2 | 95.1 | 70.9 | 81.8 |
| OctFormer [31] | 75.7 | 76.6 | - | - | 44.0 | 87.7 | 96.0 | 78.6 | 80.8 |
| ConDaFormer [45] | 76.0 | 75.5 | - | - | - | 87.3 | 95.8 | 80.1 | 82.2 |
| OcspareNet (ours) | 76.9 | - | 91.7 | 85.1 | 37.5 | 86.7 | 95.8 | 68.6 | 83.0 |
| PTv3 + PPT [41] | 78.6 | 79.4 | - | - | 46.2 | 90.3 | 97.9 | 78.2 | 81.3 |
| Method | Chair (%) | Table (%) | Door (%) | Window (%) | Bookshelf (%) | Picture (%) | Counter (%) | Desk (%) | |
| PointNet++ | 74.4 | 49.7 | 37.5 | 51.5 | 68.6 | 20.5 | 39.2 | 45.1 | |
| SSCN | 90.4 | 72.2 | 64.3 | 60.5 | 78.0 | 31.3 | 62.5 | 58.7 | |
| MinkowskiNet | 84.0 | 68.3 | 64.3 | 72.7 | 83.2 | 28.6 | 52.1 | 66.0 | |
| OctFormer | 84.6 | 72.2 | 67.4 | 77.6 | 84.9 | 22.6 | 56.6 | 69.0 | |
| ConDaFormer | 84.9 | 67.8 | 68.0 | 75.6 | 83.6 | 28.2 | 51.6 | 65.1 | |
| OcspareNet | 92.5 | 77.9 | 74.3 | 70.6 | 86.3 | 41.4 | 70.3 | 72.5 | |
| PTv3 + PPT | 89.0 | 69.6 | 71.3 | 80.5 | 85.1 | 38.4 | 59.7 | 69.6 | |
| Method | Sofa | Curtain (%) | Refrigerator (%) | Shower (%) | Toilet (%) | Sink (%) | Bathtub (%) | Other (%) | |
| PointNet++ | 64.3 | 53.9 | 40.3 | 35.6 | 82.4 | 55.3 | 73.5 | 37.6 | |
| SSCN | 82.0 | 75.8 | 49.4 | 70.8 | 93.0 | 63.9 | 87.4 | 51.4 | |
| MinkowskiNet | 77.2 | 85.3 | 73.1 | 89.3 | 87.4 | 67.5 | 85.9 | 54.4 | |
| OctFormer | 81.5 | 87.6 | 75.3 | 90.4 | 92.3 | 77.7 | 92.5 | 57.6 | |
| ConDaFormer | 80.2 | 86.4 | 75.9 | 85.5 | 88.0 | 72.8 | 92.7 | 58.4 | |
| OcspareNet | 84.2 | 79.2 | 66.8 | 77.5 | 92.0 | 69.9 | 86.9 | 62.2 | |
| PTv3 + PPT | 79.0 | 91.6 | 79.3 | 90.7 | 96.7 | 82.1 | 94.1 | 63.5 | |
Disclaimer/Publisher’s Note: The statements, opinions and data contained in all publications are solely those of the individual author(s) and contributor(s) and not of MDPI and/or the editor(s). MDPI and/or the editor(s) disclaim responsibility for any injury to people or property resulting from any ideas, methods, instructions or products referred to in the content. |
© 2024 by the authors. Licensee MDPI, Basel, Switzerland. This article is an open access article distributed under the terms and conditions of the Creative Commons Attribution (CC BY) license (https://creativecommons.org/licenses/by/4.0/).
Share and Cite
Yu, M.; Li, Z.; Xu, Q.; Su, F.; Chen, X.; Cui, W.; Ji, Q. Integrating Contextual Information and Attention Mechanisms with Sparse Convolution for the Extraction of Internal Objects within Buildings from Three-Dimensional Point Clouds. Buildings 2024, 14, 636. https://doi.org/10.3390/buildings14030636
Yu M, Li Z, Xu Q, Su F, Chen X, Cui W, Ji Q. Integrating Contextual Information and Attention Mechanisms with Sparse Convolution for the Extraction of Internal Objects within Buildings from Three-Dimensional Point Clouds. Buildings. 2024; 14(3):636. https://doi.org/10.3390/buildings14030636
Chicago/Turabian StyleYu, Mingyang, Zhongxu Li, Qiuxiao Xu, Fei Su, Xin Chen, Weikang Cui, and Qingrui Ji. 2024. "Integrating Contextual Information and Attention Mechanisms with Sparse Convolution for the Extraction of Internal Objects within Buildings from Three-Dimensional Point Clouds" Buildings 14, no. 3: 636. https://doi.org/10.3390/buildings14030636
APA StyleYu, M., Li, Z., Xu, Q., Su, F., Chen, X., Cui, W., & Ji, Q. (2024). Integrating Contextual Information and Attention Mechanisms with Sparse Convolution for the Extraction of Internal Objects within Buildings from Three-Dimensional Point Clouds. Buildings, 14(3), 636. https://doi.org/10.3390/buildings14030636

