Automated Estimation of Building Heights with ICESat-2 and GEDI LiDAR Altimeter and Building Footprints: The Case of New York City and Los Angeles
Abstract
1. Introduction
2. Materials and Methods
2.1. Study Area
2.2. Data
2.2.1. ICESat-2/ATLAS
2.2.2. GEDI
2.2.3. Building Footprints NYC
2.2.4. Building Footprints LA
2.3. Methodology
2.3.1. Preliminary Denoising of ICESat-2
2.3.2. Preliminary Denoising of GEDI
2.3.3. Preprocessing of Building Footprints
2.3.4. Extracting Building Photons and Ground Photons
- [1]
- First, the downloaded shapefile building footprints and laser altimeter data were merged in ArcGIS Pro, and photons falling on the building boundary were labeled as building photon candidates, while others were labeled as ground photon candidates;
- [2]
- Photons falling within each building were then evaluated and outliers were removed using the interquartile range (IQR) approach [59]. The interquartile range (IQR) approach, which identifies data beyond 1.5 times the difference between the first and third quartiles [59] (Figure 2, middle right), was implemented by applying Equations (1)–(3).
- [3]
- By averaging the latitude and longitude values of the photons within the building boundary, the average location of the photons falling on each building was determined as the building top point. The N number of points closest to the building top were determined as candidate ground photons, and the outliers in these data were removed according to the IQR method. Then, the average of these photons was taken to obtain the ground elevation. Here, N was taken as 10, 25, 50, 100, 250, and 500, respectively, but examining 10 photons caused too much bias, especially in wooded areas. The 50–500 values also did not give the desired ground height as they represented the heights of points quite far from the building. Therefore, the ground height for all buildings was determined based on the 25 closest points (non-filtered count) (Figure 2, middle left);
- [4]
- Building heights were determined by subtracting the average elevation of the top of each building from the ground elevation of that building (Figure 2).
2.3.5. Accuracy Evaluation
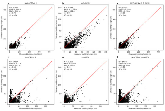
3. Results and Discussion
- [1]
- Spatially accurate determination of building footprints and determination of building height on a global scale by obtaining building footprints worldwide;
- [2]
- Improving the accuracy of photon representation by using high-resolution multispectral satellite imagery to detect reflective surfaces that affect the quality of building photons and ground photons;
- [3]
- More extensive machine learning and deep learning algorithms are planned to be used to separate building photons and ground photons.
4. Conclusions
Funding
Data Availability Statement
Conflicts of Interest
References
- Urban, M.C.; Alberti, M.; De Meester, L.; Zhou, Y.; Verrelli, B.C.; Szulkin, M.; Schmidt, C.; Savage, A.M.; Roberts, P.; Rivkin, L.R.; et al. Interactions between climate change and urbanization will shape the future of biodiversity. Nat. Clim. Chang. 2024, 14, 436–447. [Google Scholar] [CrossRef]
- Leong, D.P.; Teo, K.K.; Rangarajan, S.; Lopez-Jaramillo, P.; Avezum, A., Jr.; Orlandini, A. World Population Prospects 2019. Department of Economic and Social Affairs Population Dynamics. New York (NY): United Nations; 2019 (https://population.un.org/wpp/Download/, accessed 20 September 2020). The decade of healthy ageing. Geneva: World Health Organization. World 2018, 73, 362k2469. [Google Scholar]
- Moreno-Monroy, A.I.; Schiavina, M.; Veneri, P. Metropolitan areas in the world. Delineation and population trends. J. Urban Econ. 2021, 125, 103242. [Google Scholar] [CrossRef]
- Aldhshan, S.R.; Abdul Maulud, K.N.; Wan Mohd Jaafar, W.S.; Karim, O.A.; Pradhan, B. Energy consumption and spatial assessment of renewable energy penetration and building energy efficiency in Malaysia: A review. Sustainability 2021, 13, 9244. [Google Scholar] [CrossRef]
- Chuah, J.W. Analysis and Optimization of Building Energy Consumption. Ph.D. Thesis, Princeton University, Princeton, NJ, USA, 2013; pp. 1–184. [Google Scholar]
- Han, J.; Meng, X.; Zhou, X.; Yi, B.; Liu, M.; Xiang, W.-N. A long-term analysis of urbanization process, landscape change, and carbon sources and sinks: A case study in China’s Yangtze River Delta region. J. Clean. Prod. 2017, 141, 1040–1050. [Google Scholar] [CrossRef]
- Wang, Y.; Sun, G.; Wu, Y.; Rosenberg, M.W. Urban 3D building morphology and energy consumption: Empirical evidence from 53 cities in China. Sci. Rep. 2024, 14, 12887. [Google Scholar] [CrossRef] [PubMed]
- Leng, H.; Chen, X.; Ma, Y.; Wong, N.H.; Ming, T. Urban morphology and building heating energy consumption: Evidence from Harbin, a severe cold region city. Energy Build. 2020, 224, 110143. [Google Scholar] [CrossRef]
- Li, Z.; Ma, J.; Jiang, F. Exploring the effects of 2D/3D building factors on urban energy consumption using explainable machine learning. J. Build. Eng. 2024, 97, 110827. [Google Scholar] [CrossRef]
- Gong, P.; Li, X.; Wang, J.; Bai, Y.; Chen, B.; Hu, T.; Liu, X.; Xu, B.; Yang, J.; Zhang, W.; et al. Annual maps of global artificial impervious area (GAIA) between 1985 and 2018. Remote Sens. Environ. 2020, 236, 111510. [Google Scholar] [CrossRef]
- Wu, W.B.; Ma, J.; Banzhaf, E.; Meadows, M.E.; Yu, Z.W.; Guo, F.X.; Sengupta, D.; Cai, X.X.; Zhao, B. A first Chinese building height estimate at 10 m resolution (CNBH-10 m) using multi-source earth observations and machine learning. Remote Sens. Environ. 2023, 291, 113578. [Google Scholar] [CrossRef]
- Cai, P.; Guo, J.; Li, R.; Xiao, Z.; Fu, H.; Guo, T.; Zhang, X.; Li, Y.; Song, X. Automated Building Height Estimation Using Ice, Cloud, and Land Elevation Satellite 2 Light Detection and Ranging Data and Building Footprints. Remote Sens. 2024, 16, 263. [Google Scholar] [CrossRef]
- IEA Buildings. Paris. 2022. Available online: https://www.Iea.Org/Reports/Buildings (accessed on 23 October 2024).
- Olasolo-Alonso, P.; López-Ochoa, L.M.; Las-Heras-Casas, J.; López-González, L.M. Energy performance of buildings directive implementation in southern European countries: A review. Energy Build. 2023, 281, 112751. [Google Scholar] [CrossRef]
- Zheng, G.; Feng, Z.; Jiang, M.; Tan, L.; Wang, Z. Predicting the Energy Consumption of Commercial Buildings Based on Deep Forest Model and Its Interpretability. Buildings 2023, 13, 2162. [Google Scholar] [CrossRef]
- De Cristo, E.; Evangelisti, L.; Guattari, C.; De Lieto Vollaro, R. An Experimental Direct Model for the Sky Temperature Evaluation in the Mediterranean Area: A Preliminary Investigation. Energies 2024, 17, 2228. [Google Scholar] [CrossRef]
- Resch, E.; Bohne, R.A.; Kvamsdal, T.; Lohne, J. Impact of urban density and building height on energy use in cities. Energy Procedia 2016, 96, 800–814. [Google Scholar] [CrossRef]
- Schug, F.; Frantz, D.; van der Linden, S.; Hostert, P. Gridded population mapping for Germany based on building density, height and type from Earth Observation data using census disaggregation and bottom-up estimates. PLoS ONE 2021, 16, e0249044. [Google Scholar] [CrossRef]
- Pan, T.C.; Goh, K.S.; Megawati, K. Empirical relationships between natural vibration period and height of buildings in Singapore. Earthq. Eng. Struct. Dyn. 2014, 43, 449–465. [Google Scholar] [CrossRef]
- Kadhim, N.; Mourshed, M. A shadow-overlapping algorithm for estimating building heights from VHR satellite images. IEEE Geosci. Remote Sens. Lett. 2017, 15, 8–12. [Google Scholar] [CrossRef]
- Goetz, M. Towards generating highly detailed 3D CityGML models from OpenStreetMap. Int. J. Geogr. Inf. Sci. 2013, 27, 845–865. [Google Scholar] [CrossRef]
- Biljecki, F.; Ledoux, H.; Stoter, J. Generating 3D city models without elevation data. Comput. Environ. Urban Syst. 2017, 64, 1–18. [Google Scholar] [CrossRef]
- Li, B.; Xie, H.; Tong, X.; Liu, S.; Xu, Q.; Sun, Y. Extracting accurate terrain in vegetated areas from ICESat-2 data. Int. J. Appl. Earth Obs. Geoinf. 2023, 117, 103200. [Google Scholar] [CrossRef]
- Lee, T.; Kim, T. Automatic building height extraction by volumetric shadow analysis of monoscopic imagery. Int. J. Remote Sens. 2013, 34, 5834–5850. [Google Scholar] [CrossRef]
- Zhang, H.; Xu, C.; Fan, Z.; Li, W.; Sun, K.; Li, D. Detection and Classification of Buildings by Height from Single Urban High-Resolution Remote Sensing Images. Appl. Sci. 2023, 13, 10729. [Google Scholar] [CrossRef]
- Zhou, X.; Myint, S.W. Shadow pattern-enhanced building height extraction using very-high-resolution image. IEEE J. Sel. Top. Appl. Earth Obs. Remote Sens. 2022, 16, 180–190. [Google Scholar] [CrossRef]
- Wang, X.; Yu, X.; Ling, F. Building heights estimation using ZY3 data—A case study of Shanghai, China. In Proceedings of the 2014 IEEE Geoscience and Remote Sensing Symposium, Quebec City, QC, Canada, 13–18 July 2014; pp. 1749–1752. [Google Scholar]
- Qi, F.; Zhai, J.Z.; Dang, G. Building height estimation using Google Earth. Energy Build. 2016, 118, 123–132. [Google Scholar] [CrossRef]
- Garzelli, A. Building height retrieval from WorldView-2 multi-angular images. In Proceedings of the 2015 IEEE International Geoscience and Remote Sensing Symposium (IGARSS), Milan, Italy, 26–31 July 2015; IEEE: Piscataway, NJ, USA, 2015; pp. 1163–1166. [Google Scholar]
- Li, B.; Chen, X.; Lin, Z. Building Height Restoration Method of Remote Sensing Images Based on Faster RCNN. In Proceedings of the 2022 IEEE 34th International Conference on Tools with Artificial Intelligence (ICTAI), Macao, China, 31 October–2 November 2022; pp. 955–959. [Google Scholar]
- Kim, T.; Javzandulam, T.; Lee, T.Y. Semiautomatic reconstruction of building height and footprints from single satellite images. In Proceedings of the 2007 IEEE International Geoscience and Remote Sensing Symposium, Barcelona, Spain, 23–28 July 2007; pp. 4737–4740. [Google Scholar]
- Sun, Y.; Hua, Y.; Mou, L.; Zhu, X.X. Large-scale building height estimation from single VHR SAR image using fully convolutional network and GIS building footprints. In Proceedings of the 2019 Joint Urban Remote Sensing Event (JURSE), Vannes, France, 22–24 May 2019; pp. 1–4. [Google Scholar]
- Li, X.; Zhou, Y.; Gong, P.; Seto, K.C.; Clinton, N. Developing a method to estimate building height from Sentinel-1 data. Remote Sens. Environ. 2020, 240, 111705. [Google Scholar] [CrossRef]
- Chen, P.; Huang, H.; Liu, J.; Wang, J.; Liu, C.; Zhang, N.; Su, M.; Zhang, D. Leveraging Chinese GaoFen-7 imagery for high-resolution building height estimation in multiple cities. Remote Sens. Environ. 2023, 298, 113802. [Google Scholar] [CrossRef]
- Huang, H.; Chen, P.; Xu, X.; Liu, C.; Wang, J.; Liu, C.; Clinton, N.; Gong, P. Estimating building height in China from ALOS AW3D30. ISPRS J. Photogramm. Remote Sens. 2022, 185, 146–157. [Google Scholar] [CrossRef]
- Zhang, C.; Cui, Y.; Zhu, Z.; Jiang, S.; Jiang, W. Building height extraction from GF-7 satellite images based on roof contour constrained stereo matching. Remote Sens. 2022, 14, 1566. [Google Scholar] [CrossRef]
- Bshouty, E.; Dalyot, S. Calculating OpenStreetMap Building Heights from Single User-Generated Photographs. In Proceedings of the IGARSS 2019-2019 IEEE International Geoscience and Remote Sensing Symposium, Yokohama, Japan, 28 July–2 August 2019; pp. 855–858. [Google Scholar]
- Petty, A.A.; Kurtz, N.T.; Kwok, R.; Markus, T.; Neumann, T.A. Winter Arctic sea ice thickness from ICESat-2 freeboards. J. Geophys. Res. Ocean. 2020, 125, e2019JC015764. [Google Scholar] [CrossRef]
- Osama, N.; Yang, B.; Ma, Y.; Freeshah, M. A digital terrain modeling method in urban areas by the ICESat-2 (Generating precise terrain surface profiles from photon-counting technology). Photogramm. Eng. Remote Sens. 2021, 87, 237–248. [Google Scholar] [CrossRef]
- Narin, O.G.; Abdikan, S.; Gullu, M.; Lindenbergh, R.; Balik Sanli, F.; Yilmaz, I. Improving global digital elevation models using space-borne GEDI and ICESat-2 LiDAR altimetry data. Int. J. Digit. Earth 2024, 17, 2316113. [Google Scholar] [CrossRef]
- Dandabathula, G.; Sitiraju, S.R.; Jha, C.S. Retrieval of building heights from ICESat-2 photon data and evaluation with field measurements. Environ. Res. Infrastruct. Sustain. 2021, 1, 011003. [Google Scholar] [CrossRef]
- Lao, J.; Wang, C.; Zhu, X.; Xi, X.; Nie, S.; Wang, J.; Cheng, F.; Zhou, G. Retrieving building height in urban areas using ICESat-2 photon-counting LiDAR data. Int. J. Appl. Earth Obs. Geoinf. 2021, 104, 102596. [Google Scholar] [CrossRef]
- Zhao, Y.; Wu, B.; Li, Q.; Yang, L.; Fan, H.; Wu, J.; Yu, B. Combining ICESat-2 photons and Google Earth Satellite images for building height extraction. Int. J. Appl. Earth Obs. Geoinf. 2023, 117, 103213. [Google Scholar] [CrossRef]
- Yang, X.; Wang, C.; Xi, X.; Wang, P.; Lei, Z.; Ma, W.; Nie, S. Extraction of multiple building heights using ICESat/GLAS full-waveform data assisted by optical imagery. IEEE Geosci. Remote Sens. Lett. 2019, 16, 1914–1918. [Google Scholar] [CrossRef]
- Dubayah, R.; Blair, J.B.; Goetz, S.; Fatoyinbo, L.; Hansen, M.; Healey, S.; Hofton, M.; Hurtt, G.; Kellner, J.; Luthcke, S.; et al. The Global Ecosystem Dynamics Investigation: High-resolution laser ranging of the Earth’s forests and topography. Sci. Remote Sens. 2020, 1, 100002. [Google Scholar] [CrossRef]
- Fayad, I.; Baghdadi, N.; Alcarde Alvares, C.; Stape, J.L.; Bailly, J.S.; Scolforo, H.F.; Cegatta, I.R.; Zribi, M.; Le Maire, G. Terrain slope effect on forest height and wood volume estimation from GEDI data. Remote Sens. 2021, 13, 2136. [Google Scholar] [CrossRef]
- Morin, D.; Planells, M.; Baghdadi, N.; Bouvet, A.; Fayad, I.; Le Toan, T.; Mermoz, S.; Villard, L. Improving heterogeneous forest height maps by integrating GEDI-based forest height information in a multi-sensor mapping process. Remote Sens. 2022, 14, 2079. [Google Scholar] [CrossRef]
- Ma, X.; Zheng, G.; Chi, X.; Yang, L.; Geng, Q.; Li, J.; Qiao, Y. Mapping fine-scale building heights in urban agglomeration with spaceborne lidar. Remote Sens. Environ. 2023, 285, 113392. [Google Scholar] [CrossRef]
- Civerolo, K.; Hogrefe, C.; Lynn, B.; Rosenthal, J.; Ku, J.Y.; Solecki, W.; Cox, J.; Small, C.; Rosenzweig, C.; Goldberg, R.; et al. Estimating the effects of increased urbanization on surface meteorology and ozone concentrations in the New York City metropolitan region. Atmos. Environ. 2007, 41, 1803–1818. [Google Scholar] [CrossRef]
- NYC Planning. New York City Department of City Planning. Available online: https://www.nyc.gov/site/planning/planning-level/nyc-population/nyc-population-current-estimates.page (accessed on 24 June 2024).
- NYC Open Data. New York City Building Footprints. Available online: https://data.cityofnewyork.us/Housing-Development/Building-Footprints/nqwf-w8eh (accessed on 24 June 2024).
- USCB. United States Census Bureau. Available online: https://data.census.gov/profile/Los_Angeles_city,_California?g=160XX00US0644000 (accessed on 24 June 2024).
- FRED. Federal Reserve Bank of St. Louis. Available online: https://fred.stlouisfed.org/series/NGMP31080 (accessed on 24 June 2024).
- Los Angeles City Building Footprints. Available online: https://geohub.lacity.org/datasets/813fcefde1f64b209103107b26a8909f/explore (accessed on 24 June 2024).
- Schutz, B.E.; Zwally, H.J.; Shuman, C.A.; Hancock, D.; DiMarzio, J.P. Overview of the ICESat mission. Geophys. Res. Lett. 2005, 32. [Google Scholar] [CrossRef]
- Feng, Y.; Yang, L.; Zhan, P.; Luo, S.; Chen, T.; Liu, K.; Song, C. Synthesis of the ICESat/ICESat-2 and CryoSat-2 observations to reconstruct time series of lake level. Int. J. Digit. Earth 2023, 16, 183–209. [Google Scholar] [CrossRef]
- Neumann, T.A.; Martino, A.J.; Markus, T.; Bae, S.; Bock, M.R.; Brenner, A.C.; Brunt, K.M.; Cavanaugh, J.; Fernandes, S.T.; Hancock, D.W.; et al. The Ice, Cloud, and Land Elevation Satellite–2 Mission: A global geolocated photon product derived from the advanced topographic laser altimeter system. Remote Sens. Environ. 2019, 233, 111325. [Google Scholar] [CrossRef] [PubMed]
- Gao, M.; Xing, S.; Zhang, G.; Zhang, X.; Li, P. Assessment of ICESat-2’s horizontal accuracy using an iterative matching method based on high-accuracy terrains. Remote Sens. 2023, 15, 2236. [Google Scholar] [CrossRef]
- Yuan, C.; Gong, P.; Bai, Y. Performance assessment of ICESat-2 laser altimeter data for water-level measurement over lakes and reservoirs in China. Remote Sens. 2020, 12, 770. [Google Scholar] [CrossRef]






Disclaimer/Publisher’s Note: The statements, opinions and data contained in all publications are solely those of the individual author(s) and contributor(s) and not of MDPI and/or the editor(s). MDPI and/or the editor(s) disclaim responsibility for any injury to people or property resulting from any ideas, methods, instructions or products referred to in the content. |
© 2024 by the author. Licensee MDPI, Basel, Switzerland. This article is an open access article distributed under the terms and conditions of the Creative Commons Attribution (CC BY) license (https://creativecommons.org/licenses/by/4.0/).
Share and Cite
Kaya, Y. Automated Estimation of Building Heights with ICESat-2 and GEDI LiDAR Altimeter and Building Footprints: The Case of New York City and Los Angeles. Buildings 2024, 14, 3571. https://doi.org/10.3390/buildings14113571
Kaya Y. Automated Estimation of Building Heights with ICESat-2 and GEDI LiDAR Altimeter and Building Footprints: The Case of New York City and Los Angeles. Buildings. 2024; 14(11):3571. https://doi.org/10.3390/buildings14113571
Chicago/Turabian StyleKaya, Yunus. 2024. "Automated Estimation of Building Heights with ICESat-2 and GEDI LiDAR Altimeter and Building Footprints: The Case of New York City and Los Angeles" Buildings 14, no. 11: 3571. https://doi.org/10.3390/buildings14113571
APA StyleKaya, Y. (2024). Automated Estimation of Building Heights with ICESat-2 and GEDI LiDAR Altimeter and Building Footprints: The Case of New York City and Los Angeles. Buildings, 14(11), 3571. https://doi.org/10.3390/buildings14113571

