Next Article in Journal
The Changing Roles of the Building Guild in Construction, Maintenance, and Conservation of Earth Buildings: A Case Study
Next Article in Special Issue
Fracture Mode and Thermal Damage Evolution of Sandstone Under the Coupling Effect of Thermal Treatment and Impact Load
Previous Article in Journal
A Restoring Force Correction Model for Enveloped Steel Jacket-Confined Seismic-Damaged Rectangular Recycled Aggregate Concrete-Filled Steel Tubular Columns
Previous Article in Special Issue
Study of Flow Characteristics and Anti-Scour Protection Around Tandem Piers Under Ice Cover
 
 
Font Type:
Arial Georgia Verdana
Font Size:
Aa Aa Aa
Line Spacing:
Column Width:
Background:
Article

Three-Dimensional Numerical Analysis of Seismic Response of Steel Frame–Core Wall Structure with Basement Considering Soil–Structure Interaction Effects

1
School of Urban Construction, Changzhou University, Changzhou 213164, China
2
School of Civil Engineering and Architecture, Tianjin University, Tianjin 300072, China
3
Jujiang Construction Group, Jiaxing 314599, China
4
School of Environmental Science and Engineering, Changzhou University, Changzhou 213164, China
5
School of Architecture & Civil Engineering, Shenyang University of Technology, Shenyang 110870, China
*
Author to whom correspondence should be addressed.
Buildings 2024, 14(11), 3522; https://doi.org/10.3390/buildings14113522
Submission received: 16 September 2024 / Revised: 26 October 2024 / Accepted: 27 October 2024 / Published: 4 November 2024
(This article belongs to the Special Issue Advances in Soil-Structure Interaction for Building Structures)

Abstract

In recent years, numerous studies highlighted the crucial role of the soil–structure interaction (SSI) in the seismic performance of basement structures. However, there remains a limited understanding of how this interaction affects buildings with basement structures under varying site conditions. Based on the three-dimensional (3D) numerical analysis method, the influence of the SSI on the seismic response of high-rise steel frame–core wall (SFCW) structures situated on shallow-box foundations were investigated in this study. To further investigate the effects of the SSI and site conditions, three types of soil profiles—soft, medium, and hard—were considered, along with a fixed-foundation model. The results were compared in terms of the maximum lateral displacement, inter-story drift ratio (IDR), acceleration amplification coefficient, and tensile damage for the SFCW structure under different site conditions, with both fixed-base and shallow-box foundation configurations. The findings highlight that the site conditions significantly affected the seismic performance of the SFCW structure, particularly in the soft soil, which increased the lateral deflection and inter-story drift. Moreover, compared with non-pulse-like ground motion, pulse-like ground motion resulted in a higher acceleration amplification coefficient and greater structural response in the SFCW structure. The RC core wall–basement slab junction was a critical region of stress concentration that exhibited a high sensitivity to the site conditions. Additionally, the maximum IDRs showed a more significant variation at incidence angles between 20 and 30 degrees, with a more pronounced effect at a seismic input intensity of 0.3 g than at 0.2 g.

1. Introduction

Historically, assessments of building seismic performance were frequently based on the premise of rigid foundation models. Such methodologies either ignore the substantial impact of the soil–structure interaction (SSI) or attempt to account for it by adjusting the period and damping ratio of the fixed-base building to reflect the flexibility of the foundation [1]. The SSI is a sophisticated phenomenon that occurs in the coupling process between the underground foundations and soil media, particularly for stiff and large structures constructed on relatively soft ground, and has become one of the most significant disciplines in the field of earthquake engineering [2,3,4]. The influence of soil on structural behavior is primarily manifested through the bearing stiffness, damping properties, and dynamic interactions between the soil and the structure, collectively referred to as the site effect. This study investigated the influence of the SSI on the seismic response of a high-rise steel frame–core wall (SFCW) structure located on a shallow-box foundation using a three-dimensional (3D) numerical analysis method across three site conditions.
When an earthquake occurs, the superstructure is subjected to strong inertial forces, while the seismic performance of the non-subterranean structure is different from that of the superstructure because it is limited by the surrounding geotechnical constraints. Moreover, the site effects impact the propagation path and amplification of seismic waves, significantly influencing the dynamic response of both the superstructure and underground structures, thus affecting the overall seismic performance of the entire soil–foundation–structure system [5]. The SSI and local site effects are generally more pronounced in soft-soil formations and high-rise structures, significantly altering the free-field input motion; the dynamic characteristics of the building; and ultimately, its response. Changes in the soil properties are crucial for understanding the SSI effects, as different soil types (such as sand and clay) respond differently to dynamic loads. The stiffness of the soil directly influences the natural frequency and vibration modes of the structure. Therefore, a comprehensive evaluation of the seismic performance of the entire soil–foundation–structure system under different site conditions is required.
The study of SSI effects can be traced back to the late 19th century, and research on this problem developed rapidly in the second half of the 20th century with the advent of computers and the need for improved seismic performance in modern buildings and industries [6]. Previous studies and available experimental data have made it clear that ignoring the soil types or failing to consider the coupling between the soil and structure can have a detrimental effect on the seismic performance analysis of buildings [7,8,9,10]. Consequently, the SSI has garnered significant attention from researchers in recent years, particularly in the context of assessing the seismic performance of both above-ground and below-ground structures. Due to the SSI, the dynamic response of a structure under fixed-foundation conditions is different from that when it is located in the soft-soil site. This conclusion was already confirmed by many scholars. Nasab et al. [11] previously conducted nonlinear dynamic analyses to examine the seismic performance of soft-story buildings, noting a significant increase in the likelihood of structural failure when considering the SSI effect compared with fixed foundations. This was particularly evident in site classes with a low shear wave velocity. In the study of Hamidia et al. [12], different soil types (soft and hard) and other factors were considered to evaluate the seismic collapse resistance of the structure. Far [13] developed a computational model for 5-story and 15-story unsupported steel frames, which was analyzed under two different boundary conditions: a fixed foundation and a flexible foundation (considering the SSI). The results indicate that the IDR of the structure on the soft-soil site increased significantly (more than 2 times) when considering the SSI and was more obviously affected by seismic action. Additionally, many scholars incorporated the SSI and site effects into their studies on the seismic vulnerability assessment of buildings. The findings consistently demonstrate that these factors significantly influence the structural performance [14,15,16,17,18].
A 3D numerical study on the influence of the SSI on the seismic response of high-rise buildings with wall–frame structural systems was conducted by Scarfone et al. [19], highlighting the role of different foundation systems and the very soft-soil layers present in the supporting soil. The numerical results show that the existence of a soft-soil layer has an important influence on the dynamic interaction between the soil and structure. Arboleda-Monsalve et al. [20] developed a numerical model of a 40-story building using OpenSees to study the SSI effects on the seismic performance of high-rise buildings. Mata et al. [21] investigated a 3D regular concrete rectangular frame building with 4, 8, 12, 16, 20, or 24 floors supported by cushion foundations on sandy and cohesive soil with shear wave velocities below 250 m/s. The findings reveal that the SSI significantly impacts the seismic response of RC moment-resisting frame structures. The fragility curve illustrated that a building with a flexible foundation has a greater likelihood of collapse compared with one with a fixed foundation. Kant et al. [22] conducted a series of 3D finite element analyses using ABAQUS software to investigate the effects of the number of floors, foundation size on lateral story displacements, IDR, natural periods, and shear pressures in high-rise buildings. To study the impact of the seismic SSI on a 20-story building, Bagheri et al. [23] performed 3D numerical simulations. In contrast to previous studies, their research featured three different foundation systems, including shallow, deep-buried, and pile foundations under two distinct soil profiles. The results indicate that as the deformation capacity of the foundation increases, the maximum base shear decreases, while the degree of foundation stiffening and rotation increases.
Although the shaking table test is complex, it remains an effective method for studying the dynamic SSI under seismic conditions. Recently, numerous shaking table tests were conducted to investigate the role of the SSI in the seismic analysis of buildings. Lei et al. [24] designed a cylindrical 3D laminar shear soil container for shaking table tests to effectively simulate the dynamic SSI under a 3D seismic input. El Hoseny et al. [25] conducted scale modeling tests on a 15-story steel structure using shaking table tests and numerical simulations to investigate the effects of variable embedment depths, a fixed foundation, and a flexible foundation on the seismic performance of high-rise buildings. The results demonstrated that the SSI effect leads to amplified lateral displacements, potentially jeopardizing the safety of the structure. For the seismic performance of buildings constructed on soft soils, Oz et al. [26] selected 40 existing buildings in Turkey and developed a nonlinear model that accounted for fixed foundations, as well as rigid-, medium-, and soft-soil conditions.
On top of the previous foundation, to cope with the complexity of current building structures, a number of scholars researched the derivation of the SSI effects. For example, if other structures are situated nearby, the response of a given structure can be altered due to scattered waves generated by each surrounding structure. This situation is known as the structure–soil–structure interaction (SSSI). Some researchers pointed out that considering the SSSI may change the response of the structure, either positively or negatively [27,28,29,30,31]. At the same time as the density of buildings increases, people have to find ways to increase the use of space, and the use of buildings gradually develops from expanding upward to expanding downward, so basement structures are becoming more common. At present, most high-rise buildings have basement structures, and the underground space of high-rise buildings, as a special kind of underground space, is surrounded by a large amount of soil, which also affects the dynamic characteristics of the soil–structure system. Therefore, it is necessary to study the seismic performance of high-rise buildings with basement structures under seismic action. Several scholars also researched this issue. When a building has a basement, the foundation is more deeply embedded in the soil, leading to more pronounced kinematic and inertial interactions. In buildings with basements, kinematic interaction occurs due to the difference in stiffness between the building foundation and the surrounding soil. This causes the seismic waves to change as they pass through the structure, impacting the motion at the foundation level [32]. Pinto et al. [33] proposed a combined experimental–numerical method to evaluate the effect of high-rise building superstructures on the basement seismic lateral earth pressure. Zhang and Far [34] developed an SSI numerical model with a basement in ABAQUS software to investigate the effect of the SSI on high-rise frame–core tube structures. The study results show that compared with the fixed foundation case, the maximum lateral shift and inter-story drift of almost all structures with flexible foundation models are amplified to varying degrees, regardless of the aspect ratio, foundation type, and soil type.
In summary, changes in the soil properties not only affect the behavior of structures under seismic or other loads but are also directly related to the accurate simulation and evaluation of the SSI effects. In the study of the SSI effect, soil characteristics analysis is an important link that cannot be ignored. Although the above results provide many new insights into the seismic performance of buildings with basement structures, site conditions were not taken into account in the above studies. At this stage, the problem of the interaction between the two media has been widely emphasized in the field of engineering. Therefore, there are obvious shortcomings in the simple analysis of above-ground structures, so it is urgent to evaluate the seismic performance of the whole soil–foundation-structure system to explore the influence of different soil conditions on the seismic performance of building structures with basements.
Addressing the existing challenges in current research, this study focused on a 16-story, three-bay steel frame–core wall (SFCW) building structural system with a basement. It considered three types of soil profile (soft soil, medium soil, and hard soil), and investigated the effects of the SSI on the dynamic response of the high-rise SFCW structure. In this paper, a 3D numerical analysis method based on a viscous-spring artificial boundary and the seismic wave input method is proposed, and the method was validated using ABAQUS software. Additionally, two widely used seismic records, the near-fault pulse-like motion recorded at the Sylmar Converter Sta Station during the 1994 Northridge seismic event, and the near-fault non-pulse-like motion recorded at the El Centro Array Station #9 during the 1940 Imperial Valley seismic event, were used as seismic inputs. The effects of the site conditions and incident angle on the seismic performance of the SFCW structure with a fixed-base or shallow-box foundation were investigated by analyzing and comparing the inter-story drift ratios, maximum lateral displacements, acceleration amplification factors, and tensile damage.

2. Development and Validation of 3D Numerical FEM Model

2.1. Three-Dimensional Viscous-Spring Artificial Boundary

When using limited space to simulate semi-infinite soil, the application of the boundary conditions and seismic inputs significantly influences the accuracy of the calculation. Many scholars [35,36] extensively researched this area. Among them, the viscous-spring artificial boundary (VSAB) model studied by Liu et al. [35] is widely used in the SSI finite element calculations due to its high accuracy and practicality. The VSAB is a continuous parallel-spring damping system on the artificial truncated boundary. It realizes the absorption of external waves from the finite domain to the infinite domain by employing similar springs and dampers on the discrete boundary grid nodes. Figure 1 illustrates the application of the VSAB in the 3D numerical analysis. The surrounding soil material determines the mechanical parameters of the springs and dampers, and the specific formulas are as follows:
In the tangent direction,
K τ = α τ G R ,   C τ = ρ c s
In the normal direction,
K n = α n G R ,   C n = ρ c p
where Kτ and Kn are the divergent and the standard spring stiffness coefficients, respectively; Cτ and Cn are the damper coefficients of the divergent and traditional springs, respectively; and ατ and αn are the correction coefficients of the VSAB. For the 3D system, their values were taken from reference [35], where αt and αn were 0.667 and 1.333, respectively. R is the distance from the wave source to the point of the artificial boundary; ρ and G are the mass density of the medium and the shear modulus, respectively, in which G = ρ c s 2 and λ + 2 G = ρ c p 2 ; cs and cp are the shear wave velocity and longitudinal wave velocity, respectively, which can be expressed as
c s = E 2 ρ ( 1 + v )
c p = E ( 1 + v ) 2 ρ ( 1 + v ) ( 1 2 v )
where E and ν are the elastic modulus and Poisson’s ratio of the medium, respectively.

2.2. Seismic Wave Input Method Based on VSAB

In the site seismic response and soil–foundation–structure dynamic interaction analysis, the reasonable input method of external seismic waves determine the accuracy and reliability of the final calculation results [37,38]. Based on the VSAB model, Liu and Lu [39] achieved seismic wave input by converting the seismic wave problem into a wave source problem, i.e., converting the seismic wave into equivalent nodal loads that act on the boundary in a concentrated force. According to Liu and Lu [39], the equal node force Fli in direction i (=x, y, z, representing the x-direction, y-direction, and z-direction, respectively) of any node l on the boundary under the action of the incident seismic wave can be expressed as
F l i = K l i u l i f + C l i u ˙ l i f + A l σ l i f
where Kli and Cli are the coefficient matrices of the spring and dashpots in the VSAB, respectively. For the left and right boundaries, K l i = d i a g ( K n , K τ , K τ ) and C l i = d i a g ( C n , C τ , C τ ) ; for the front and rear boundaries, K l i = d i a g ( K τ , K τ , K n ) and C l i = d i a g ( C τ , C τ , C n ) ; for the bottom boundary, K l i = d i a g ( K τ , K n , K τ ) and C l i = d i a g ( C τ , C n , C τ ) , in which diag(·) means the diagonal matrix. Al is the control area of the boundary node l, where Al = (A1 + A2 + A3 + A4)/4. u l i f , u ˙ l i f , and σ l i f represent the displacement, velocity, and stress fields at node l, respectively. The F l i can be calculated according to the law of wave propagation and the stressing state of the wave field [40].
Based on the theory of the VSAB and seismic wave input method, a Python script was developed by the author to transform the displacement and velocity time history of the SV waves into a nodal force time history and transfer all the nodal force time history to the software ABAQUS (see Figure 2).

2.3. Validation of the VSAB and Seismic Wave Input Method

The precision of the VSAB and seismic wave input method significantly influences the accuracy of numerical analysis results when considering the dynamic SSI. Therefore, this study utilized an illustrative example of external source fluctuations to validate the precision and accuracy of the VSAB method and seismic wave input by comparing the numerical and analytical solutions. To this end, a calculation region with dimensions of 100 m (length) × 100 m (width) × 50 m (height) was considered within the 3D infinite elastic half-space for the numerical analysis. The material properties of the finite region were defined as follows within the 3D infinite elastic half-space: the mass density was 2000 kg/m3, the elastic modulus was 200 MPa, Poisson’s ratio was 0.25, and the shear wave velocity was 200 m/s. The schematic diagram of the calculation model is shown in Figure 3, and the observation points selected for the analysis are denoted as PA, PB, PC, and PD.
In finite element numerical analysis, to ensure the accuracy and stability of the calculation, it is necessary to control the size of the smallest element. As suggested by Liao and Liu [41], the maximal size (∆x) of elements is related to the wavelength and should meet the following formula:
Δ x = 1 10 ~ 1 8 λ s , min
λ s , min = V s v f max
where λ s , min is the smallest wavelength. Vsv is the SV wave velocity and fmax is the highest frequency of the input seismic wave, both of which were needed in this study. Accordingly, the 8-node C3D8R element of the ABAQUS program was used to model this finite medium. The FEM mesh size of the medium was taken as 2 m × 2 m × 2 m.
A pulse-like SV wave signal was vertically incident at the bottom of the model. The finite difference function of the following formula approximated the input signal:
F ( τ ) = 16 F 0 G 4 ( τ ) 4 G 4 τ 1 4 + 6 G 4 τ 1 2 4 G 4 τ 3 4 + G 4 ( τ 1 )
where G4(τ) = τ3H(τ), τ = t/T0, F0 = 0.5 m, T0 is the pulse duration, and H(τ) is the Heaviside function. In this study, T0 = 0.25 s, total duration = 1.0 s, and time step = 0.005 s. The displacement time history of the input signal is shown in Figure 4.
Figure 5 compares the displacement time history obtained using the VSAB and seismic input method based on the wave superposition technique with the analytical solution. This comparison was made at the bottom observation point PB and the free surface observation point PA within a homogeneous half-space finite-domain model. The results show that the SV wave, which propagated vertically, reached the free surface of the ground after 0.375 s, accompanied by the superposition of the reflected wave. At the free surface observation point PA, the maximum horizontal displacement response was twice the amplitude of the incident wave, and its waveform corresponded to the incident wave. By 0.50 s, the shaking of the free surface ceased, and the displacement response became zero. This indicates that the reflected wave was fully absorbed by the VSAB upon reaching the bottom artificial boundary, without being reflected to the ground. Figure 5 also presents the numerical calculation results of the displacement time history of the free-field surface observation point PA and the bottom observation point PB, consistent with the analytical solution. The results of these numerical simulations were in line with the theory of wave propagation laws, thereby proving the correctness and validity of the VSAB setting and seismic input procedures discussed in this paper.
Figure 6 demonstrates that the equivalent input seismic load obtained through the wave superposition method aligned with the extracted boundary node reactions from the numerical analysis. This alignment demonstrated that the seismic waves at the artificial boundary were unaffected by reflected waves, which further validated the accuracy of the seismic wave input method. Additionally, the verification of the soil–foundation–structure 3D numerical model can be supported by references in the literature [7].

3. Steel Frame–Core Wall Structure Under Investigation

3.1. Description of Structure and Foundation System

A 16-story, three-bay steel frame building with reinforced concrete (RC) core wall structure systems designed according to the Chinese building code [42] and representing conventional high-rise buildings was taken as a reference in this study. This case building was regular along its height (y-direction), with a total height of 57.6 m above ground level and 18 m wide in both the x-direction and z-direction. As shown in Figure 7, the building featured a regular two-way (i.e., the x-direction and z-direction) symmetrical steel frame–core wall structural system, in which the steel columns and beams were coupled with RC core walls through the RC slabs. Specifically, the RC core wall served as an elevator shaft with two doors in the z-direction and the geometric size of these doors was 2.0 m × 2.7 m (width × height). The cross-section of the steel columns was a square steel tube with dimensions of 500 mm × 500 mm × 25 mm (height × width × thickness). The cross-section of the steel beams was an H-beam with a size of 400 mm × 300 mm × 20 mm × 16 mm (height × width × thickness of the flange and web).
To understand the role of the basement systems on the nonlinear dynamic behavior of the steel frame–core wall (SFCW) structure under earthquake excitations, a box foundation system with a one-floor basement (F1) was considered in this work (see Figure 7d), which referred to the foundation system form in the literature [19]. The foundation system with underground structures is widely used as storage rooms or underground garages in cities with high building densities. The F1 system is a relatively shallow-box foundation, with a 4 m height basement beneath ground level, lying on 0.6 m thickness RC base slabs. Table 1 shows the characteristics of the structure and foundation system in the section.
In this study, the steel material grades of all columns and beams were Q345. All the concrete materials for the RC walls and slabs were C45 grade concrete. All the steel bar materials in the RC walls and slabs were HRB400. Furthermore, uniformly distributed dead loads (DLs) and live loads (LLs) of 2.0 kN/m2 each were considered for all the floors. The gravity loads combination (1.0 × DL + 0.5 × LL) was adopted according to the Chinese load design code [43].

3.2. Properties of Soils

Zhang and Far [34] indicate that the SSI leads to increased lateral deflection, especially in soft-soil conditions, which is critical for tall buildings in seismic zones. To this end, this study focused on the soil–foundation–structure interaction effects on the dynamic response of tall building structures, where three typical types of soils were considered for the deformable soil layer, characterized by decreasing mechanical properties. It is worth noting that the three types of soils, which ranged from soft to hard soil, were designated as Site 1, Site 2, and Site 3 and classified B, C, and D according to the EC8 code [22,34,44,45,46], respectively. Table 2 summarizes the properties of the soils used in this study. Moreover, since most amplification effects of the soil profile occur within the top 30 m of the deposit and most modern seismic codes base the calculation of local site effects on the properties of the total 30 m of the soil profile [47], a 50 m thick deformable uniform soil layer that rested on elastic bedrock was considered in this study.

3.3. Numerical Model of Structure and Foundation System

To perform a fully coupling nonlinear dynamic time-history analysis of the soil–foundation–structure system under earthquake conditions, 3D numerical models of the soil–foundation–structure system was carried out with the ABAQUS program. Figure 8 illustrates a 3D numerical model of the complete soil–foundation–structure system for the SFCW structure with a 50 m deep uniform soil layer in this work. In this 3D numerical model, the Timoshenko beam element (B31 in ABAQUS), widely employed for shear deformable beams [48], was adopted to simulate the elastoplastic behavior of the steel columns and steel beams. The RC floor and base slab, core walls, and exterior walls were simulated by the S4R element (a linear, finite membrane strain, reduced integration, and quadrilateral shell element in ABAQUS). In addition, the soil deposit was simulated by the eight-node C3D8R elements (reduced-integration element with an hourglass control).
The Concrete Damage Plasticity (CDP) constitutive model was employed in the numerical analysis models to simulate the concrete material’s nonlinear dynamic response, including the substantial part of the floor slab, base slab, and all shear walls in this work. The steel bar material was simulated by the dynamic hardening bilinear elastoplastic constitutive model, which is based on the Von Mises yield criterion. Table 3 and Table 4 show the material properties of the concrete and steel bars used in this work, respectively. In addition, the Mohr–Coulomb constitutive model was selected to simulate the nonlinear behaviors of the soils. Moreover, a Rayleigh damping ratio of 5% was employed to account for the energy dissipation in the structural systems.
A locally refined grid layout was employed in the 3D numerical model for computational accuracy. For the structure part, the maximum size of the slab and wall elements was 1.0 m, and the minimum length was 0.3 m. According to Formulas (6) and (7), the maximum length was 4.0 m, and the minimum length was 0.8 m. The total number of elements was about 62 thousand.

3.4. Soil–Foundation–Structure Interaction Modeling

The setting of the interface between the foundation and surrounding soil is essential in the numerical simulation of a soil–foundation–structure system due to the different properties of soil and structural material. Mainly during earthquake excitations, sliding or separation between the foundation and surrounding soil might occur [49]. In this study, the surface-to-surface contact algorithm of the ABAQUS program was employed to simulate the interaction between the exterior walls of the basement and the contact surface of the surrounding soil. The contact algorithm considers the finite sliding and separation between the outer walls of the basement and surrounding soil by adopting the Coulomb friction model and penalty function (hard contact) algorithm [50]. In this study, the hard contact was employed in the average direction of the contacting surface. Moreover, the Coulomb friction was adopted with a good coefficient value of 0.35 in the tangential direction.

3.5. Modal Analyses

The modal analysis was performed to determine the vibration characteristics of the SFCW structure. The first-mode frequencies of all site types are summarized in Table 5. A linear perturbation and the Lanczos method available in ABAQUS were used to extract eigenvalues to calculate the natural frequencies and corresponding mode shapes of the soil–foundation–structure interaction system. According to Table 5, the first mode’s natural frequency decreased with the increase in the hardness of the soil medium. This decrease in the natural frequency stemmed from the extra degrees of freedom induced by introducing the foundations and the soil medium.

4. Selection of Seismic Inputs

Seismic inputs play a crucial role in determining the dynamic response of a structure subjected to seismic excitation, especially when considering the soil–foundation–structure interaction. In this work, two widely used earthquake records were employed as seismic inputs based on similar site information of the designed structure obtained from the Pacific Earthquake Engineering Research Center (PEER) NGA-West 2 ground motion database. One of the selected ground motions was a near-fault pulse-like motion recorded at the Sylmar Converter Sta Station during the 1994 Northridge earthquake event. The other was a near-fault non-pulse-like motion recorded at the El Centro Array #9 station during the 1940 Imperial Valley earthquake event. Table 6 summarizes the corresponding ground motion parameters. To reduce the computation, all records were baseline corrected and scaled to a maximum acceleration of 0.2 g with a duration of 25 s and a time step of 0.01 s. A cutoff frequency of 6.0 Hz was employed in this study by the critical frequency Equation (7) to avoid any adverse effects of the high-frequency components of the input ground motions. The scaled acceleration–time history and Fourier amplitude curves for the two earthquake records are presented in Figure 9.

5. Results and Discussion

5.1. Displacement Response of the SFCW Structure

Figure 10 shows the inter-story drift ratio (IDR) and maximum lateral displacement of the above-ground structure of the SFCW structure subjected to the Northridge earthquake and the Imperial Valley earthquake, considering different soil profiles. As a comparison, Figure 10 also presents the response results of the SFCW structure under the fixed-base conditions. Upon comparing the IDR distributions from the Northridge and the Imperial Valley earthquakes, it became apparent that the lower levels of the structure exhibited the highest IDR. Compared with the SFCW structure with fixed-base conditions, the SFCW structure with the SSI effects exhibited the highest IDR and lateral displacement, indicating that the consideration of the SSI effects amplified the seismic response of the structure. This highlights the importance of accounting for the SSI effects in the design of an SFCW structure to ensure its seismic resistance.
Comparing the IDR response under different soil profiles in Figure 10 a, it can be observed that the soil properties had a significant impact on the IDR distribution of the structures. Specifically, the maximum IDR was obtained on the soft-soil site (i.e., Site 1), and with the increase in soil hardness from Site 1 to Site 3, the maximum IDR gradually decreased, where the fixed-base foundation exhibited the smallest IDR at 0.344% (approximately equal to one-third of that observed at Site 1). The difference in the maximum IDR between Site 2 and Site 3 was not significant, with the IDR at Site 2 being approximately 1.1 times that of Site 3. The same conclusion could be drawn from Figure 10b: with the increase in soil hardness from Site 1 to Site 3, the maximum lateral displacement gradually decreased. This was primarily due to the significant amplification effect of the site’s soil on the seismic signal, which became more pronounced as the soil hardness decreased.
Furthermore, Table 7 presents the maximum IDR and the maximum lateral displacement for the SFCW structure under different site conditions. It is evident from Table 7 that regardless of the site condition, the maximum IDR and maximum lateral displacement under pulse-like excitation from the Northridge earthquake were approximately 1.59 to 1.73 times and 1.70 to 1.76 times higher, respectively, compared with the non-pulse seismic action from the Imperial Valley earthquake. This indicates that high-rise structures exhibit a significantly greater response under pulse-like seismic events compared with non-pulse events, and this difference was not closely related to the characteristics of the site.

5.2. Acceleration Response of the SFCW Structure

The acceleration amplification coefficient provides valuable insights into the structural response to seismic waves. Higher amplification factors indicate that the structure experiences larger accelerations compared with the ground motion, potentially leading to increased deformation and potential damage. Figure 11 illustrates the acceleration amplification coefficient of a seismic wave relative to the bedrock incident on each floor above-ground in the SFCW structure. It can be observed that within the same seismic scenario, the overall acceleration amplification factor of the structural floor, when considering the SSI, exceeded that of the fixed-base structure. This observation suggests that the site soil exhibited an amplification effect on the seismic waves. Furthermore, it can be observed from the figure that regardless of the site conditions, the maximum amplification coefficient of the floor acceleration for the SFCW structure occurred at the roof, where it ranged from 1.5 to 2.5 times.
Notably, the amplification factors of the structural floor accelerations at Site 2 and Site 3 exhibited a relatively close resemblance, surpassing those at Site 1 and under fixed-base conditions. Additionally, the amplification factors of the ground floor acceleration at Site 2 and Site 3 surpassed those at Site 1. This observation can be attributed to the soft-soil characteristics of Site 1, whereby the seismic waves prompted the rapid transition of the soft-soil layer into a nonlinear state. As a result, the soil foundation demonstrated amplified hysteresis energy dissipation, which resulted in a diminished amplification effect of the soft soil on seismic waves.
However, upon comparing Figure 10 and Figure 11, it can be observed that despite the less pronounced amplification effect of the soil layer under the Site 1 conditions, the IDR of the structure was the highest. This observation suggests that the site exhibited amplification effects on seismic waves and a filtering effect. As a result, the seismic records showed a more complex frequency composition, which led to more uncertain impacts on the structure. These findings also highlight the influence of underground structures on the seismic response of neighboring weak soil foundations, which was correlated with the spectral characteristics of the input ground motion [48].
Furthermore, upon comparing the Northridge earthquake and the Imperial Valley earthquake, it became evident that the surface acceleration amplification factor during the Northridge earthquake was significantly higher than that during the Imperial Valley earthquake. However, the relationship for the acceleration amplification factor at the top floor of the structure was the opposite. This observation confirmed that the soil foundation exhibited a more pronounced amplification effect on the seismic waves containing low-frequency pulse signals.

5.3. Tensile Damage of Reinforced Concrete Components

For the SFCW structure, the RC components, such as core walls, basement exterior walls, and slabs, typically exhibited strong compressive strength but limited tensile strength. Therefore, the evaluation of the concrete cracks often relied on assessing the tensile damage of the material. In the ABAQUS program, the CDP model utilized the tensile damage variable to quantify the extent of tensile damage in the concrete components. This variable ranges from 0 (indicating no tensile damage) to 1 (indicating complete tensile damage). In concrete structure damage classifications, it is commonly understood that when the damage value is below 0.1, the structure is considered to be in a state of negligible damage. In the context of this study, areas with damage values below 0.1 are depicted in gray, indicating that these regions were nearly undamaged or exhibited minimal damage.

5.3.1. Tensile Damage of the Basement Exterior Walls

Figure 12 and Figure 13 illustrate the tensile damage of the basement exterior walls. Based on Figure 12 and Figure 13, it was apparent that the extent of tensile damage to the basement exterior walls was most pronounced under the Site 1 conditions. Furthermore, as the soil stiffness of the site increased (i.e., from Site 1 to Site 3), the tensile damage to the basement exterior walls decreased significantly. More specifically, irrespective of the site type, the damage to the basement exterior walls in the “X-” direction was considerably more pronounced than in the “X+” direction. Furthermore, in the “X-” direction, the predominant tensile damage was concentrated in the upper section of the basement exterior walls, while the lower portion of the walls typically experienced relatively smaller amounts of tensile damage. In contrast, in the “X+” direction, the primary tensile damage occurred in the lower section of the basement exterior walls, with comparatively minor tensile damage observed on the sides of the walls.
Moreover, due to the unidirectional seismic input in the x-direction, the tensile damage to the basement exterior walls in the “Z-” and “Z+” directions were almost identical. However, it could still be observed that the tensile damage to the “Z-” and “Z+” basement exterior walls was more pronounced in the case of soft-soil conditions (Site 1). Furthermore, the damage decreased with an increase in site stiffness and exhibited a shear failure mode. This phenomenon could be attributed to the predominant shear forces experienced by walls parallel to the direction of seismic action under unidirectional seismic loading, while the walls whose normals aligned with the seismic action direction primarily underwent bending moments. Lastly, it is worth noting that the impact of the site conditions on the tensile damage of basement exterior walls remained consistent across different types of seismic actions, with the most pronounced tensile damage observed in soft-soil conditions. Additionally, the extent of tensile damage to the basement exterior walls under pulse-like ground motion surpassed that under non-pulse-like ground motion. Therefore, the influence of pulse-like seismic events should be carefully examined in the seismic design of underground structures considering the SSI.

5.3.2. Tensile Damage of the Basement Slab

Figure 14 presents the distribution of the tensile damage in the basement slab of the SFCW structure under the seismic effects of the Northridge and Imperial Valley earthquakes. Figure 14 reveals that under seismic action in the x-direction, the tensile damage in the RC basement slab exhibited a symmetrical distribution along the x-axis. Specifically, under the Site 1 conditions, the RC basement slab experienced the largest area of tensile damage, concentrated primarily near the RC core wall, and formed an approximate circular pattern. The maximum value of the tensile damage reached 0.95, indicating a near-complete tensile failure. Under the Site 2 conditions, the basement slab of the SFCW structure exhibited pronounced tensile damage in the interior of the core wall and on the outer sides of the door, with a maximum tensile damage value of 0.93. Conversely, the outer edges of the basement slab remained largely unaffected by the tensile damage. Notably, under the Site 3 conditions, the extent of the damage in the basement slab decreased further, with the tensile damage concentrated solely in the connection region between the RC core wall and the basement slab. No tensile failure occurred in the outer edges of the basement slab, the maximum value of the tensile damage reduced to 0.88, and the tensile damage in the basement slab on the sides of the basement door was not notably pronounced. Furthermore, the presence of a core wall provided a restraining effect, which resulted in less severe damage to the basement slab in the interior and at the exterior corners of the core wall.
The findings above suggest that the connection region between the RC core wall and the basement slab served as the primary zone of stress concentration within the structure and exhibited significant sensitivity to site-specific conditions. In the soft-soil conditions, such as Site 1, the considerable interaction between the soil and structure led to notable relative deformations and caused observable damage to the RC basement slab. Conversely, under the stiff-soil conditions, as observed in Site 3, the relatively rigid interface between the soil and structure reduced the soil–structure interaction effect, which resulted in smaller relative deformations between the two. Consequently, the damage to the RC basement slab became less significant. However, the basement slab near the core wall experienced pronounced tensile failure due to the cyclic motion of the core wall during seismic events.
Moreover, a comparison between Figure 14 and Figure 15 indicates a similar trend in the impact of the site characteristics on the basement floor under both seismic actions. Irrespective of the seismic type, the basement slab exhibited the most significant tensile failure when the site was characterized as soft soil, and as the soil stiffness of the site increased, the extent of tensile failure in the basement slab substantially decreased. Notably, under the impulsive seismic action of the Northridge earthquake, the overall tensile damage in the basement slab was more pronounced compared with the non-pulse-like seismic action.
By comparing Figure 14 and Figure 15, it can be observed that akin to the basement floor slab, the tensile damage to the first-floor slab displayed a symmetrical distribution along the x-axis. Compared with the stiff-soil conditions at Site 3, the soft-soil conditions at Site 1 exhibited more pronounced tensile damage on the first-floor slab. Particularly, the region surrounding the core wall, especially the floor slabs adjacent to the door openings, experienced the highest levels of tensile damage. This phenomenon could be attributed to door openings within the core wall, which compromised its deformation resistance and reduced the flexural stiffness in the x-direction. Consequently, the core wall’s restraining effect on the floor slabs adjacent to the door openings was weakened.
In addition, the absence of floor slabs within the core wall resulted in a stiffness discontinuity between the core wall and the floor slabs. This discontinuity led to significant horizontal deformation of the core wall and induced substantial stress concentrations in the floor slabs adjacent to the door openings, with comparatively weaker stiffness. As a result, pronounced damage occurred in the floor slabs near the door openings.
Moreover, the tensile damage in the central connection region between the first floor slabs and the core wall, at the outer boundary of the slabs, was relatively low, with damage values significantly below 0.1. This observation aligned with the earlier conclusions regarding the tensile damage in the exterior walls and floor slabs, where it was emphasized that under pulse-like seismic events, the first floor slabs demonstrated more pronounced tensile damage.

5.4. Effects of the Seismic Incident Angle on the SFCW Structure

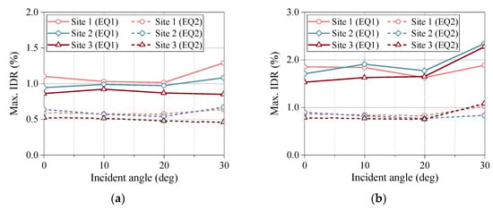
In Figure 16, EQ1 represents pulse-like ground motion (Northridge earthquake), and EQ2 represents non-pulse-like ground motion (Imperial Valley earthquake).
As illustrated in Figure 16, the structural response under the EQ1 seismic action consistently exceeded that of EQ2 when the angle of incidence of the ground motion ranged from 0 to 30 degrees. Specifically, the variation in the maximum inter-story drift ratio was more pronounced at incidence angles of 20 to 30 degrees than at 0 to 20 degrees, with a more significant effect observed at a seismic input intensity of 0.3 g compared with 0.2 g. Furthermore, the change in the incident angle of the ground motion had a more significant impact on the seismic response of the structure under pulse-like ground motion than under non-pulse-like ground motion.

6. Conclusions

This study primarily explored the impacts of the site response and dynamic soil–structure interaction on the performance of steel frame–core wall (SFCW) structures supported by various soil-type foundations. To this end, a three-dimensional finite element model was constructed as the subject of investigation. The findings are summarized as follows:
(1) Compared with the SFCW structure with fixed foundation conditions, the SFCW structure that accounted for the SSI effect demonstrated a higher inter-story drift ratio and lateral displacement. Additionally, the maximum inter-story drift ratio and lateral displacement were observed to diminish progressively as the soil stiffness increased. Consequently, incorporating the SSI effect in the design process is crucial for SFCW structures to ensure their seismic resilience.
(2) The overall magnification factor of the floor acceleration in the SFCW structures that accounted for the SSI effect was greater than that of the fixed foundations. For these structures, the maximum amplification factor for floor acceleration occurred at the roof level, which ranged from 1.5 to 2.5 times, irrespective of the site conditions. Furthermore, while the acceleration amplification coefficient of the soft-soil sites may have been lower than that of the hard-soil sites, the damage to the SFCW structures in the soft-soil areas was more pronounced under the earthquake conditions. Additionally, for the SFCW structures, both the acceleration amplification coefficient and the structural response to pulse-like ground motion were greater than those observed in non-pulse-like ground motion.
(3) Under the seismic action in the X-direction, the damage to the basement exterior wall in all directions decreased significantly with the increased site stiffness. Regardless of the site type, the damage to the basement exterior wall in the “X-” direction was notably more pronounced than in the “X+” direction. In the “X-” direction, the primary tensile damage was concentrated in the upper portion of the basement exterior wall, while in the “X+” direction, it was predominantly located in the lower portion of the wall.
(4) In the base slabs of the SFCW structure, the connection area between the reinforced concrete (RC) core wall and the basement slab served as the primary stress concentration zone. This area exhibited high sensitivity to the site conditions.
(5) Compared with the non-pulse-like ground motion, the maximum inter-story drift of the structure was more significantly influenced by changes in the incidence angle of the pulse-like ground motion. Additionally, the variation in the maximum inter-story drift ratio was more pronounced at incidence angles of 20 to 30 degrees than at 0 to 20 degrees, with a greater effect observed at a seismic input intensity of 0.3 g compared with 0.2 g.
In conclusion, the findings of this study hold significance for the seismic performance-based design of mid- and high-rise structures founded on shallow foundations and elastoplastic soft soils. It should be noted that these numerical results were based on specific structures and were somewhat dependent on the assumed soil models and structural parameters, and thus, had certain limitations. Consequently, further experimental validation is essential. By conducting physical model experiments or large-scale field tests, the SSI mechanism can be more precisely assessed, thereby confirming the reliability and applicability of numerical simulations. Additionally, more intricate soil conditions should be taken into account: current studies may not fully address the spatial variability of the soil properties or complex geological settings, such as stratified soils, fluctuations in the groundwater levels, and other similar factors.

Author Contributions

Conceptualization, F.Y. and X.L.; methodology, F.Y.; software, F.Y. and H.Z.; validation, F.Y., H.Z., Y.B. and K.C.; formal analysis, F.Y., H.Z. and T.M.; investigation, F.Y., Y.B. and H.Z.; resources, F.Y., H.Z. and X.L.; data curation, F.Y., H.Z. and T.M.; writing—original draft preparation, F.Y., H.Z., Y.B. and T.M.; writing—review and editing, F.Y., H.Z., K.C. and T.M.; supervision, X.L.; project administration, F.Y. and X.L.; funding acquisition, F.Y. and X.L. All authors have read and agreed to the published version of the manuscript.

Funding

This work was supported by the National Natural Science Foundation of China (grant numbers 52208460, 42277154, and 42477142); the Natural Science Foundation of Shandong Province (grant number ZR2022ME188); the Leading Innovative Talents Introduction and Cultivation Program of Changzhou City, China (grant number CQ20220100); and the High-Level Talent Introduction Project of Changzhou University, China (grant numbers ZMF21020374 and ZMF24020037).

Data Availability Statement

The original contributions developed in this study are included in this article; further inquiries can be directed to the corresponding authors.

Conflicts of Interest

Author Fujian Yang was employed by the company Jujiang Construction Group. The remaining authors declare that the research was conducted in the absence of any commercial or financial relationships that could be construed as a potential conflict of interest.

References

  1. Rajeev, P.; Tesfamariam, S. Tesfamariam, Seismic fragilities of non-ductile reinforced concrete frames with consideration of soil structure interaction. Soil Dyn. Earthq. Eng. 2012, 40, 78–86. [Google Scholar] [CrossRef]
  2. Wang, H.F.; Lou, M.L.; Chen, X.; Zhai, Y.M. Structure-soil-structure interaction between underground structure and ground structure. Soil Dyn. Earthq. Eng. 2013, 54, 31–38. [Google Scholar] [CrossRef]
  3. Raychowdhury, P.; Hutchinson, T.C. Performance evaluation of a nonlinear Winkler-based shallow foundation model using centrifuge test results. Earthq. Eng. Struct. Dyn. 2009, 38, 679–698. [Google Scholar] [CrossRef]
  4. Seo, C.G.; Yun, C.B.; Kim, J.M. Three-dimensional frequency-dependent infinite elements for soil-structure interaction. Eng. Struct. 2007, 29, 3106–3120. [Google Scholar] [CrossRef]
  5. Liu, S.T.; Li, P.Z.; Zhang, W.Y.; Lu, Z. Experimental study and numerical simulation on dynamic soil-structure interaction under earthquake excitations. Soil Dyn. Earthq. Eng. 2020, 138, 106333. [Google Scholar] [CrossRef]
  6. Aviles, J.; Perez-Rocha, L.E. Site effects and soil-structure interaction in the Valley of Mexico. Soil Dyn. Earthq. Eng. 1998, 17, 29–39. [Google Scholar] [CrossRef]
  7. Zhang, X.F.; Far, H. Effects of dynamic soil-structure interaction on seismic behaviour of high-rise buildings. Bull. Earthq. Eng. 2022, 20, 3443–3467. [Google Scholar] [CrossRef]
  8. Bararnia, M.; Hassani, N.; Ganjavi, B.; Amiri, G.G. Estimation of inelastic displacement ratios for soil-structure systems with embedded foundation considering kinematic and inertial interaction effects. Eng. Struct. 2018, 159, 252–264. [Google Scholar] [CrossRef]
  9. Galal, K.; Naimi, M. Effect of soil conditions on the response of reinforced concrete tall structures to near-fault earthquakes. Struct. Des. Tall Spec. Build. 2008, 17, 541–562. [Google Scholar] [CrossRef]
  10. Han, Y.C. Seismic response of tall building considering soil-pile-structure interaction. Earthq. Eng. Eng. Vib. 2002, 1, 57–64. [Google Scholar] [CrossRef]
  11. Nasab, M.S.E.; Chun, S.; Kim, J. Soil-structure interaction effect on seismic retrofit of a soft first-story structure. Structures 2021, 32, 1553–1564. [Google Scholar] [CrossRef]
  12. Hamidia, M.; Shokrollahi, N.; Nasrolahi, M. Soil-structure interaction effects on the seismic collapse capacity of steel moment-resisting frame buildings. Structures 2021, 32, 1331–1345. [Google Scholar] [CrossRef]
  13. Far, H. Dynamic behaviour of unbraced steel frames resting on soft ground. Steel Constr. 2019, 12, 135–140. [Google Scholar] [CrossRef]
  14. Pitilakis, K.D.; Karapetrou, S.T.; Fotopoulou, S.D. Consideration of aging and SSI effects on seismic vulnerability assessment of RC buildings. Bull. Earthq. Eng. 2014, 12, 1755–1776. [Google Scholar] [CrossRef]
  15. El Hoseny, M.; Ma, J.X.; Josephine, M. Effect of Embedded Basement Stories on Seismic Response of Low-Rise Building Frames Considering SSI via Small Shaking Table Tests. Sustainability 2022, 14, 1275. [Google Scholar] [CrossRef]
  16. Saez, E.; Lopez-Caballero, F. Modaressi-Farahmand-Razavi, Effect of the inelastic dynamic soil-structure interaction on the seismic vulnerability assessment. Struct. Saf. 2011, 33, 51–63. [Google Scholar] [CrossRef]
  17. Mitropoulou, C.C.; Kostopanagiotis, C.; Kopanos, M.; Ioakim, D.; Lagaros, N.D. Influence of soil-structure interaction on fragility assessment of building structures. Structures 2016, 6, 85–98. [Google Scholar] [CrossRef]
  18. Karapetrou, S.T.; Fotopoulou, S.D.; Pitilakis, K.D. Seismic vulnerability assessment of high-rise non-ductile RC buildings considering soil-structure interaction effects. Soil Dyn. Earthq. Eng. 2015, 73, 42–57. [Google Scholar] [CrossRef]
  19. Scarfone, R.; Morigi, M.; Conti, R. Assessment of dynamic soil-structure interaction effects for tall buildings: A 3D numerical approach. Soil Dyn. Earthq. Eng. 2020, 128, 105864. [Google Scholar] [CrossRef]
  20. Arboleda-Monsalve, L.G.; Mercado, J.A.; Terzic, V.; Mackie, K.R. Soil-Structure Interaction Effects on Seismic Performance and Earthquake-Induced Losses in Tall Buildings. J. Geotech. Geoenviron. Eng. 2020, 146, 04020028. [Google Scholar] [CrossRef]
  21. Mata, R.; Nuñez, E.; Hernández, M.; Correa, C.; Bustamante, G. Seismic Performance of RC Moment Frame Buildings Considering SSI Effects: A Case Study of the New Venezuelan Seismic Code. Buildings 2023, 13, 7. [Google Scholar] [CrossRef]
  22. Kant, R.; Al Agha, W.; Alozzo Almorad, W.; Thakur, M.S.; Umamaheswari, N. Study on seismic performance of reinforced concrete multi-storey building considering soil-structure interaction effect. Mater. Today Proc. 2022, 56, 2158–2166. [Google Scholar] [CrossRef]
  23. Bagheri, M.; Jamkhaneh, M.E.; Samali, B. Effect of Seismic Soil-Pile-Structure Interaction on Mid- and High-Rise Steel Buildings Resting on a Group of Pile Foundations. Int. J. Geomech. 2018, 18, 04018103. [Google Scholar] [CrossRef]
  24. Lei, H.Y.; Hu, Y.; Han, Q.H.; Zheng, G.; Zhao, B.; Du, Y.M. Design and test verification of a cylindrical 3D laminar shear soil container for use on shaking tables. Soil Dyn. Earthq. Eng. 2020, 139, 106384. [Google Scholar] [CrossRef]
  25. El Hoseny, M.; Ma, J.X.; Dawoud, W.; Forcellini, D. The role of soil structure interaction (SSI) on seismic response of tall buildings with variable embedded depths by experi-mental and numerical approaches. Soil Dyn. Earthq. Eng. 2023, 164, 107583. [Google Scholar] [CrossRef]
  26. Oz, I.; Senel, S.M.; Palanci, M.; Kalkan, A. Effect of Soil-Structure Interaction on the Seismic Response of Existing Low and Mid-Rise RC Buildings. Appl. Sci. 2020, 10, 23. [Google Scholar] [CrossRef]
  27. Ngo, V.L.; Kim, J.M.; Chang, S.H.; Lee, C. Effect of Height Ratio and Mass Ratio on Structure-Soil-Structure Interaction of Two Structures Using Centrifugal Experiment. Appl. Sci. 2019, 9, 526. [Google Scholar] [CrossRef]
  28. Wang, J.S.; Guo, T.; Du, Z.Y. Experimental and numerical study on the influence of dynamic structure-soil-structure interaction on the responses of two adjacent idealized structural systems. J. Build. Eng. 2022, 52, 104454. [Google Scholar] [CrossRef]
  29. Ada, M.; Ayvaz, Y. The Structure-Soil-Structure Interaction Effects on the Response of the Neighbouring Frame Structures. Lat. Am. J. Solids Struct. 2019, 16, e224. [Google Scholar] [CrossRef]
  30. Gan, J.S.; Li, P.Z.; Liu, Q. Study on Dynamic Structure-Soil-Structure Interaction of Three Adjacent Tall Buildings Subjected to Seismic Loading. Sustainability 2020, 12, 336. [Google Scholar] [CrossRef]
  31. Shamsi, M.; Shabani, M.J.; Zakerinejad, M.; Vakili, A.H. Slope topographic effects on the nonlinear seismic behavior of groups of similar buildings. Earthq. Eng. Struct. Dyn. 2022, 51, 2292–2314. [Google Scholar] [CrossRef]
  32. Koteswara, Z.L.T.K.P.V.R.P. Seismic response assessment of building structures with underground stories: A state-of-the-art review. Innov. Infrastruct. Solut. 2022, 7, 6. [Google Scholar]
  33. Pinto, F.J.; Dashti, S.; Ledezma, C.; Abell, J. How do tall buildings affect seismic earth pressures on their basement walls? Soil Dyn. Earthq. Eng. 2023, 171, 107968. [Google Scholar] [CrossRef]
  34. Zhang, X.F.; Far, H. Seismic behaviour of high-rise frame-core tube structures considering dynamic soil-structure interaction. Bull. Earthq. Eng. 2022, 20, 5073–5105. [Google Scholar] [CrossRef]
  35. Liu, J.; Du, Y.; Du, X.; Wang, Z.; Wu, J. 3D viscous-spring artificial boundary in time domain. Earthq. Eng. Eng. Vib. 2006, 5, 93–102. [Google Scholar] [CrossRef]
  36. Sun, B.B.; Zhang, S.R.; Deng, M.J.; Wang, C. Nonlinear dynamic analysis and damage evaluation of hydraulic arched tunnels under mainshock-aftershock ground motion sequences. Tunn. Undergr. Space Technol. 2020, 98, 103321. [Google Scholar] [CrossRef]
  37. Liu, J.B.; Hui, T.; Bao, X.; Wang, D.Y.; Li, S.T. Seismic wave input method for three-dimensional soil-structure dynamic interaction analysis based on the substructure of artificial boundaries. Earthq. Eng. Eng. Vib. 2019, 18, 747–758. [Google Scholar] [CrossRef]
  38. Ma, S.J.; Chi, M.; Chen, H.J.; Chen, S. Implementation of viscous-spring boundary in ABAQUS and comparative study on seismic motion input methods. Chin. J. Rock Mech. Eng. 2020, 39, 1445–1457. (In Chinese) [Google Scholar]
  39. Liu, J.B.; Lu, Y.D. A direct method for analysis of dynamic soil-structure interaction based on interface idea. Dev. Geotech. Eng. 1998, 83, 261–276. [Google Scholar]
  40. Du, X.; Zhao, M. Analysis method for seismic response of arch dams in time domain based on viscous-spring artificial boundary condition. J. Hydraul. Eng. 2006, 37, 1063. [Google Scholar]
  41. Liao, Z.P.; Liu, J.B. Elastic wave motion in discrete grids. Earthq. Eng. Eng. Vib. 1986, 6, 1–16. [Google Scholar]
  42. GB50011-2010; Code for Seismic Design of Buildings. National Standards of the People’s Republic of China: Beijing, China, 2010.
  43. GB50009-2010; Load Code for the Design of Building Structures. National Standards of the People’s Republic of China: Beijing, China, 2012.
  44. Qiu, D.; Chen, J.; Xu, Q. 3-D numerical analysis on seismic responses of the underground large scale frame structure under near-fault ground motions. Tunn. Undergr. Space Technol. 2019, 91, 103020. [Google Scholar] [CrossRef]
  45. El-Hoseiny, K.E.; Tayel, M.A.; Abdel Lateef, A.B. Influence of soil-structure interaction on seismic response of multi-storey buildings. ERJ Eng. Res. J. 2021, 44, 33–41. [Google Scholar] [CrossRef]
  46. BS EN 1998-1:2004; Eurocode 8: Design of Structures for Earthquake Resistance—Part 1: General Rules, Seismic Actions and Rules for Buildings. British Standards Institution: London, British, 2005.
  47. Hokmabadi, A.S.; Fatahi, B.; Samali, B. Assessment of soil-pile-structure interaction influencing seismic response of mid-rise buildings sitting on floating pile foundations. Comput. Geotech. 2014, 55, 172–186. [Google Scholar] [CrossRef]
  48. Manual, A.U. Abaqus Theory Guide; Version 6.14; Dassault Systemes Simulia Corp.: Johnston, RI, USA, 2014. [Google Scholar]
  49. Fatahi, B.; Nguyen, Q.V.; Xu, R.S.; Sun, W.J. Three-Dimensional Response of Neighboring Buildings Sitting on Pile Foundations to Seismic Pounding. Int. J. Geomech. 2018, 18, 04018007. [Google Scholar] [CrossRef]
  50. Chen, G.X.; Chen, S.; Zuo, X.; Du, X.L.; Qi, C.Z.; Wang, Z.H. Shaking-table tests and numerical simulations on a subway structure in soft soil. Soil Dyn. Earthq. Eng. 2015, 76, 13–28. [Google Scholar]
Figure 1. Mechanical model of the 3D VSAB.
Figure 1. Mechanical model of the 3D VSAB.
Buildings 14 03522 g001
Figure 2. Schematic flow-chart of the implementation of SV waves into ABAQUS.
Figure 2. Schematic flow-chart of the implementation of SV waves into ABAQUS.
Buildings 14 03522 g002
Figure 3. Schematic diagram of seismic wave incidence calculation model.
Figure 3. Schematic diagram of seismic wave incidence calculation model.
Buildings 14 03522 g003
Figure 4. Displacement–time history curve of an incident wave.
Figure 4. Displacement–time history curve of an incident wave.
Buildings 14 03522 g004
Figure 5. Displacement of different observation points under the vertical input SV wave.
Figure 5. Displacement of different observation points under the vertical input SV wave.
Buildings 14 03522 g005
Figure 6. Equivalent input seismic loads in the x-direction were obtained from different observation points.
Figure 6. Equivalent input seismic loads in the x-direction were obtained from different observation points.
Buildings 14 03522 g006
Figure 7. Case study for the SFCW structure: (a) section along the x-direction (Section A-A); (b) section along the z-direction (Section B-B); (c) standard floor plan; (d) shallow-box foundation (1-floor basement, F1).
Figure 7. Case study for the SFCW structure: (a) section along the x-direction (Section A-A); (b) section along the z-direction (Section B-B); (c) standard floor plan; (d) shallow-box foundation (1-floor basement, F1).
Buildings 14 03522 g007
Figure 8. Three-dimensional numerical model of soil–foundation–structure system with a uniform soil layer.
Figure 8. Three-dimensional numerical model of soil–foundation–structure system with a uniform soil layer.
Buildings 14 03522 g008
Figure 9. Scaled acceleration–time histories and Fourier amplitudes of the selected earthquake records.
Figure 9. Scaled acceleration–time histories and Fourier amplitudes of the selected earthquake records.
Buildings 14 03522 g009
Figure 10. Displacement response of the SFCW structure due to the Northridge earthquake and the Imperial Valley earthquake: (a) inter-story drift ratio; (b) maximum lateral displacement.
Figure 10. Displacement response of the SFCW structure due to the Northridge earthquake and the Imperial Valley earthquake: (a) inter-story drift ratio; (b) maximum lateral displacement.
Buildings 14 03522 g010
Figure 11. Acceleration amplification factor of the SFCW structure: (a) Northridge earthquake; (b) Imperial Valley earthquake.
Figure 11. Acceleration amplification factor of the SFCW structure: (a) Northridge earthquake; (b) Imperial Valley earthquake.
Buildings 14 03522 g011
Figure 12. Tensile damage of the basement exterior walls in the SFCW systems due to the Northridge earthquake: (a) Site 1; (b) Site 2; (c) Site 3.
Figure 12. Tensile damage of the basement exterior walls in the SFCW systems due to the Northridge earthquake: (a) Site 1; (b) Site 2; (c) Site 3.
Buildings 14 03522 g012
Figure 13. Tensile damage of the basement exterior walls in the SFCW systems due to the Imperial Valley earthquake: (a) Site 1; (b) Site 2; (c) Site 3.
Figure 13. Tensile damage of the basement exterior walls in the SFCW systems due to the Imperial Valley earthquake: (a) Site 1; (b) Site 2; (c) Site 3.
Buildings 14 03522 g013
Figure 14. Tensile damage of the base slabs in the SFCW structure due to the Northridge and Imperial Valley earthquakes: (a) Northridge; (b) Imperial Valley.
Figure 14. Tensile damage of the base slabs in the SFCW structure due to the Northridge and Imperial Valley earthquakes: (a) Northridge; (b) Imperial Valley.
Buildings 14 03522 g014
Figure 15. Tensile damage of the 1st-floor slab in the SFCW systems due to the Northridge and Imperial Valley earthquakes: (a) Northridge; (b) Imperial Valley.
Figure 15. Tensile damage of the 1st-floor slab in the SFCW systems due to the Northridge and Imperial Valley earthquakes: (a) Northridge; (b) Imperial Valley.
Buildings 14 03522 g015
Figure 16. Effect of the Northridge and Imperial Valley ground motions at different angles of incidence on the maximum inter-story displacement ratio of the SFCW systems: (a) 0.2 g; (b) 0.3 g.
Figure 16. Effect of the Northridge and Imperial Valley ground motions at different angles of incidence on the maximum inter-story displacement ratio of the SFCW systems: (a) 0.2 g; (b) 0.3 g.
Buildings 14 03522 g016
Table 1. Section characteristics of structure and foundation system.
Table 1. Section characteristics of structure and foundation system.
ParametersCore WallsExterior WallsFloor SlabsBase Slabs
Reinforcement bars spacing (m)0.150.150.150.15
Number of reinforcement bar layers2223
Reinforcement ratios (%)0.60.60.60.7
Thickness of slab or wall (m)0.40.30.20.6
Table 2. Physical and geotechnical properties of soil deposit.
Table 2. Physical and geotechnical properties of soil deposit.
ParametersSite 1—Soft SoilSite 2—Medium SoilSite 3—Hard Soil
Mass density (kg/m3)160018002100
Modulus of elasticity (MPa)1003352000
Poisson’s ratio0.320.300.28
Friction angle (°)293340
Cohesion (kPa)2050100
Shear wave velocity (m/s)154268610
Table 3. Material properties of C45 concrete.
Table 3. Material properties of C45 concrete.
Material ParametersParameter IndexC45
Mass density (kg/m3)ρc2400
Elastic modulus (GPa)Ec33.5
Poisson’s ratiov0.2
Compressive strength (MPa)fc29.6
Tensile strength (MPa)ft2.51
Table 4. Material properties of the steel bars, steel columns, and beams.
Table 4. Material properties of the steel bars, steel columns, and beams.
Material ParametersParameter IndexHRB400Q345
Mass density (kg/m3)ρs78307850
Young’s modulus (GPa)Es198207
Poisson’s ratiov0.30.3
Yield strength (MPa)fy452415
Ultimate strength (MPa)fu639562
Table 5. Natural frequencies of the SFCW structure under different site types.
Table 5. Natural frequencies of the SFCW structure under different site types.
Site TypeSite 1Site 2Site 3Fixed Base
1st natural frequency (Hz)0.5300.6030.6680.713
Table 6. Information on selected seismic inputs.
Table 6. Information on selected seismic inputs.
EventYearMagnitude 1StationRrup 2 (km)Vs30 (m/s)
Northridge19946.7Sylmar Converter Sta5.35251.2
Imperial Valley19406.9El Centro Array #96.09213.4
1 Moment magnitude. 2 Closest distance to rupture plane.
Table 7. Values of the maximum IDR and the maximum lateral displacement of the SFCW structure under different site types.
Table 7. Values of the maximum IDR and the maximum lateral displacement of the SFCW structure under different site types.
Site TypesMaximum IDR (%)RatioMaximum Lateral Displacement (m)Ratio
NorthridgeImperial ValleyNorthridgeImperial Valley
Site 11.1000.6361.730.5320.3121.71
Site 20.9420.5921.590.4380.2581.70
Site 30.8580.5221.640.3810.2171.76
Fixed base0.3440.2171.590.1580.0911.74
Disclaimer/Publisher’s Note: The statements, opinions and data contained in all publications are solely those of the individual author(s) and contributor(s) and not of MDPI and/or the editor(s). MDPI and/or the editor(s) disclaim responsibility for any injury to people or property resulting from any ideas, methods, instructions or products referred to in the content.

Share and Cite

MDPI and ACS Style

Yang, F.; Zhao, H.; Ma, T.; Bao, Y.; Cao, K.; Li, X. Three-Dimensional Numerical Analysis of Seismic Response of Steel Frame–Core Wall Structure with Basement Considering Soil–Structure Interaction Effects. Buildings 2024, 14, 3522. https://doi.org/10.3390/buildings14113522

AMA Style

Yang F, Zhao H, Ma T, Bao Y, Cao K, Li X. Three-Dimensional Numerical Analysis of Seismic Response of Steel Frame–Core Wall Structure with Basement Considering Soil–Structure Interaction Effects. Buildings. 2024; 14(11):3522. https://doi.org/10.3390/buildings14113522

Chicago/Turabian Style

Yang, Fujian, Haonan Zhao, Tianchang Ma, Yi Bao, Kai Cao, and Xiaoshuang Li. 2024. "Three-Dimensional Numerical Analysis of Seismic Response of Steel Frame–Core Wall Structure with Basement Considering Soil–Structure Interaction Effects" Buildings 14, no. 11: 3522. https://doi.org/10.3390/buildings14113522

APA Style

Yang, F., Zhao, H., Ma, T., Bao, Y., Cao, K., & Li, X. (2024). Three-Dimensional Numerical Analysis of Seismic Response of Steel Frame–Core Wall Structure with Basement Considering Soil–Structure Interaction Effects. Buildings, 14(11), 3522. https://doi.org/10.3390/buildings14113522

Note that from the first issue of 2016, this journal uses article numbers instead of page numbers. See further details here.

Article Metrics

Back to TopTop